Quality Characteristics and Anthocyanin Profiles of Different Vitis amurensis Grape Cultivars and Hybrids from Chinese Germplasm
Abstract
:1. Introduction
2. Material and Methods
2.1. Plant Material
2.2. Chemicals and Standards
2.3. Determination of General Berry Characteristics
2.4. Pretreatment and Extraction of Phenolic Compounds
2.5. Determination of Total Contents of Phenolic Compounds
2.6. Analysis of Anthocyanin Compounds
2.7. Determination of Antioxidant Activities
2.8. Statistical Analysis
3. Results and Discussion
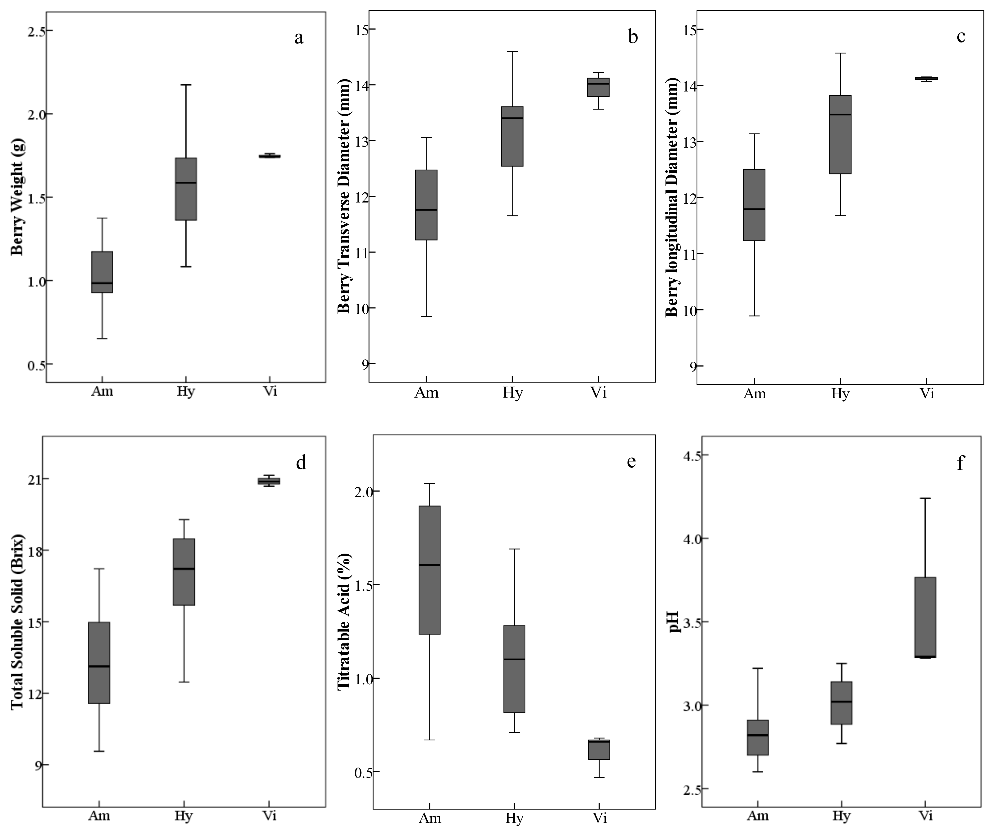
3.1. General Characteristics
3.2. Total Contents of Phenolic Compounds in Grape Skins and Seeds
3.3. Anthocyanin Profiles
3.3.1. Identification of Anthocyanin Compounds
3.3.2. Total Anthocyanin Contents
3.3.3. Composition of Anthocyanins
3.4. Antioxidant Properties of Phenolic Extracts from Grape Skins and Seeds
3.5. Correlation Analysis
3.6. Principle Component Analysis
4. Discussion
4.1. Selection of Core V. amurensis Germplasm
4.2. General Characteristics and Total Phenolic Contents of V. amurensis Grapes and Hybrids
4.3. Anthocyanin Profiles of V. amurensis Grapes and Hybrids
5. Conclusions
Supplementary Materials
Author Contributions
Funding
Institutional Review Board Statement
Informed Consent Statement
Data Availability Statement
Acknowledgments
Conflicts of Interest
Sample Availability
References
- Shen, Y.J.; Zhao, S.L.; Yang, Y.M.; Li, X.H.; Song, R.G.; Lu, W.P. The research and utilization on Amur grape (V. amurensis Rupr.) germplasm resources in China. Spec. Wild Econ. Anim. Plant Res. 2006, 28, 53–57. [Google Scholar]
- Zhang, Q.T.; Lu, W.P.; Fan, S.T.; Yang, Y.M.; Ai, J.; Song, R.G. Research progress and prospect of Vitis amurensis Rupr. breeding in China. J. Heibei For. Sci. Technol. 2014, 5, 121–123. [Google Scholar]
- He, P.C.; Wang, Y.J.; Wang, G.Y.; Pen, Z.B.; He, C.C. The studies on the disease–resistance of Vitis wild species originated in China. Sci. Agric. Sin. 1991, 24, 50–56. [Google Scholar]
- Song, R.G.; Ai, J.; Li, X.H.; Yan, Y.M.; Shen, Y.J. Industrial development and countermeasure V. amurensis Rupr. in China. Sino-Overseas Grapevine Wine 2009, 11, 64–69. [Google Scholar]
- Liu, L.Y.; Li, H. Review: Research progress in amur grape, Vitis amurensis Rupr. Can. J. Plant Sci. 2013, 93, 565–575. [Google Scholar] [CrossRef] [Green Version]
- Chen, Q.; Li, C.; Song, H.; Zhu, X. Vitis amurensis Rupr: A review of chemistry and pharmacology. Phytomed. Int. J. Phytother. Phytopharm. 2018, 49, 111–122. [Google Scholar] [CrossRef] [PubMed]
- Hilbert, G.; Temsamani, H.; Bordenave, L.; Pedrot, E.; Chaher, N.; Cluzet, S.; Richard, T. Flavonol profiles in berries of wild Vitis accessions using liquid chromatography coupled to mass spectrometry and nuclear magnetic resonance spectrometry. Food Chem. 2015, 169, 49–58. [Google Scholar] [CrossRef]
- Ji, M.; Li, C.; Li, Q. Rapid separation and identification of phenolics in crude red grape skin extracts by high performance liquid chromatography coupled to diode array detection and tandem mass spectrometry. J. Chromatogr. A 2015, 1414, 138–146. [Google Scholar] [CrossRef] [PubMed]
- Zhao, Q.; Duan, C.Q.; Wang, J. Components of non–anthocyanin phenolic compounds in wines of Vitis amurensis and its hybrids. Afr. J. Biotechnol. 2011, 10, 14767–14777. [Google Scholar] [CrossRef]
- Razgonova, M.; Zakharenko, A.; Pikula, K.; Manakov, Y.; Ercisli, S.; Derbush, I.; Kislin, E.; Seryodkin, I.; Sabitov, A.; Kalenik, T.; et al. LC–MS/MS screening of phenolic compounds in wild and cultivated grapes Vitis amurensis Rupr. Molecules 2021, 26, 3650. [Google Scholar] [CrossRef] [PubMed]
- Min, Z.; Guo, Z.; Wang, K.; Zhang, A.; Li, H.; Fang, Y. Antioxidant effects of grape vine cane extracts from different Chinese grape varieties on edible oils. Molecules 2014, 19, 15213–15223. [Google Scholar] [CrossRef] [Green Version]
- Bak, M.J.; Truong, V.L.; Kang, H.S.; Jun, M.; Jeong, W.S. Anti–inflammatory effect of procyanidins from wild grape (Vitis amurensis) seeds in LPS–induced RAW 264.7 cells. Oxidative Med. Cell. Longev. 2013, 2013, 409321. [Google Scholar] [CrossRef] [PubMed] [Green Version]
- Pervaiz, S. Resveratrol: From grapevines to mammalian biology. FASEB J. 2003, 17, 1975–1985. [Google Scholar] [CrossRef] [PubMed] [Green Version]
- Roemer, K.; Mahyar, R.M. The basis for the chemopreventive action of resveratrol. Drug Today 2002, 38, 571–580. [Google Scholar] [CrossRef]
- Jeong, H.Y.; Kim, J.Y.; Lee, H.K.; Ha, D.T.; Song, K.S.; Bae, K.; Seong, Y.H. Leaf and stem of Vitis amurensis and its active components protect against amyloid beta protein (25–35)–induced neurotoxicity. Arch. Pharm. Res. 2010, 33, 1655–1664. [Google Scholar] [CrossRef]
- Xuan, L.; Jiang, R.; Wu, Z.; Yi, H.; Yao, C.; Hou, Q.; Qu, C. Vam3, a compound derived from Vitis amurensis Rupr., attenuated colitis–related tumorigenesis by inhibiting NF–kappaB signaling pathway. Front. Pharmacol. 2016, 7, 311–315. [Google Scholar] [CrossRef] [PubMed] [Green Version]
- Hien, T.T.; Oh, W.K.; Quyen, B.T.; Dao, T.T.; Yoon, J.H.; Yun, S.Y.; Kang, K.W. Potent vasodilation effect of amurens in G is mediated through the phosphorylation of endothelial nitric oxide synthase. Biochem. Pharmacol. 2012, 84, 1437–1450. [Google Scholar] [CrossRef] [PubMed]
- Zhu, L.; Zhang, Y.; Lu, J. Phenolic contents and compositions in skins of red wine grape cultivars among various genetic backgrounds and originations. Int. J. Mol. Sci. 2012, 13, 3492–3510. [Google Scholar] [CrossRef] [Green Version]
- De la Cruz, A.A.; Ghislaine, H.; Céline, R.; Virginie, M.; Nathalie, O.; Louis, B.; Stéphane, D.; Delaunay, J.C.; Serge, D.; Jean, M.M.; et al. Anthocyanin identification and composition of wild Vitis spp. accessions by using LC–MS and LC–NMR. Anal. Chim. Acta 2012, 732, 145–152. [Google Scholar] [CrossRef] [PubMed]
- Liang, Z.H.; Wu, B.H.; Fan, P.G.; Yang, C.X.; Duan, W.; Zheng, X.B.; Liu, C.Y.; Li, S.H. Anthocyanin composition and content in grape berry skin in Vitis germplasm. Food Chem. 2008, 111, 837–844. [Google Scholar] [CrossRef]
- Zhao, Q.; Duan, C.Q.; Wang, J. Anthocyanins profile of grape berries of Vitis amurensis, its hybrids and their wines. Int. J. Mol. Sci. 2010, 11, 2212–2228. [Google Scholar] [CrossRef] [Green Version]
- Margaret, A.C.; Marjoire, C.K.; Jimmy, S. Anthocyanin, phenolic composition, colour measurement and sensory analysis of BC commercial red wines. Food Res. Int. 2007, 40, 92–100. [Google Scholar]
- Zhu, L.; Zhang, Y.L.; Zhang, W.; Lu, J. Effects of exogenous abscisic acid on phenolic characteristics of red Vitis vinifera grapes and wines. Food Sci. Biotechnol. 2016, 25, 361–370. [Google Scholar] [CrossRef]
- Singleton, V.L.; Rossi, J.A. Colorimetry of total phenolics with phosphomolybdic–phosphotungstic acid reagents. Am. J. Enol. Viticult. 1965, 16, 144–158. [Google Scholar]
- Dewanto, V.; Wu, X.; Adom, K.K.; Liu, R.H. Thermal processing enhances the nutritional values of tomatoes by increasing the total antioxidant activity. J. Agric. Food Chem. 2002, 50, 3010–3014. [Google Scholar] [CrossRef]
- Sun, B.; Ricardo, J.M.; Spranger, I. Critical factors of vanillin assay for catechins and proanthocyanidins. J. Agric. Food Chem. 1998, 46, 4267–4274. [Google Scholar] [CrossRef]
- Brand-Williams, W.; Cuvelier, M.E.; Berset, C. Use of a free–radical method to evaluate antioxidant activity. LWT Food Sci. Technol. 1995, 28, 25–30. [Google Scholar] [CrossRef]
- Re, R.; Pellegrini, N.; Proteggente, A.; Pannala, A.; Yang, M.; Rice, E.C. Antioxidant activity applying an improved ABTS radical cation decolorization assay. Free Radic. Biol. Med. 1999, 26, 1231–1237. [Google Scholar] [CrossRef]
- Benzie, I.F.F.; Strain, J.J. Ferric reducing ability of plasma (FRAP) as a measure of antioxidant power: The FRAP assay. Anal. Biochem. 1996, 239, 70–76. [Google Scholar] [CrossRef] [Green Version]
- Xu, C.; Zhang, Y.; Cao, L. Phenolic compounds and antioxidant properties of different grape cultivars grown in China. Food Chem. 2010, 119, 1557–1565. [Google Scholar] [CrossRef]
- Mazzuca, P.; Ferranti, P.; Picariello, G.; Chianese, L.; Addeo, F. Mass spectrometry in the study of anthocyanins and their derivatives: Differentiation of Vitis vinifera and hybrid grapes by liquid chromatography electrospray ionization mass spectrometry and tandem mass spectrometry. Mass Spectrom. Rev. 2005, 40, 83–90. [Google Scholar] [CrossRef]
- Gianluca, P.; Pasquale, F.; Lina, C.; Francesco, A. Differentiation of Vitis vinifera L. and Hybrid Red Grapes by Matrix–Assisted Laser Desorption/Ionization Mass Spectrometry Analysis of Berry Skin Anthocyanins. J. Agric. Food Chem. 2012, 60, 4559–4566. [Google Scholar]
- Nørbæk, K.; Brandt, J.K.; Nielsen, M.; Ørgaard, N.J. Flower pigment composition of crocus species and cultivars used for a chemotaxonomic investigation. Biochem. Syst. Ecol. 2002, 30, 763–791. [Google Scholar] [CrossRef]
- Alcalde, E.; María, T.E.B.; Celestino, S.B.; Julián, C.R.G. Changes in the detailed pigment composition of red wine during maturity and ageing: A comprehensive study. Anal. Chim. Acta 2006, 563, 238–254. [Google Scholar] [CrossRef]
- Liang, Z.C.; Owens, H.L.; Zhong, G.Y.; Cheng, L.L. Polyphenolic profiles detected in the ripe berries of Vitis vinifera germplasm. Food Chem. 2011, 129, 940–950. [Google Scholar] [CrossRef] [PubMed]
- Castillo, M.N.; Fernandez, G.M.; Gomez, A.S.; Garcia, R.E.; Hermosin, G.I. Red–colour related phenolic composition of Garnacha Tintorera (Vitis vinifera L.) grapes and red wines. J. Agric. Food Chem. 2009, 57, 7883–7891. [Google Scholar] [CrossRef] [PubMed]
- He, F.; He, J.J.; Pan, Q.H.; Duan, C.Q. Mass–spectrometry evidence confirming the presence of pelargonidin–3–O–glucoside in the berry skins of Cabernet Sauvignon and Pinot Noir (Vitis vinifera L.). Aust. J. Grape Wine Res. 2010, 16, 464–468. [Google Scholar] [CrossRef]
- Sandhu, A.K.; Gu, L.W. Antioxidant capacity, phenolic content, and profiling of phenolic compounds in the seeds, skin, and pulp of Vitis rotundifolia (Muscadine Grapes) as determined by HPLC–DAD–ESI–MS. Agric. Food Chem. 2010, 58, 4681–4692. [Google Scholar] [CrossRef] [PubMed]
- He, F.; Liang, N.N.; Mu, L.; Pan, Q.H.; Wang, J.; Reeves, M.J.; Duan, C.Q. Anthocyanins and their variation in red wines I. monomeric anthocyanins and their color expression. Molecules 2012, 17, 1571–1601. [Google Scholar] [CrossRef] [Green Version]
- Tanaka, Y.; Brugliera, F. Flower colour and cytochromes P450. Phil. Trans. R. Soc. B 2013, 368, 20120432. [Google Scholar] [CrossRef] [Green Version]
- Liang, Z.C.; Yang, Y.Z.; Cheng, L.L.; Zhong, G.Y. Polyphenolic composition and content in the ripe berries of wild Vitis species. Food Chem. 2012, 132, 730–738. [Google Scholar] [CrossRef]
- Benbouguerra, N.; Richard, T.; Saucier, C.; Garcia, F. Voltammetric behavior, flavanol and anthocyanin contents, and antioxidant capacity of grape skins and seeds during ripening (Vitis vinifera var. Merlot, Tannat, and Syrah). Antioxidants 2020, 9, 800. [Google Scholar] [CrossRef]
- Yang, Y.; Labate, J.A.; Liang, Z. Multiple loss-of-function 5–O–glucosyltransferase alleles revealed in Vitis vinifera, but not in other Vitis species. Theor. Appl. Genet. 2014, 127, 2433–2451. [Google Scholar] [CrossRef] [PubMed]
- Song, R.G.; Lu, W.P.; Wang, J.; Shen, Y.J.; Lin, X.G.; Ge, Y.X.; Li, X.H.; Sun, K. Achievements and prospect on wine grape breeding in China. North. Hortic. 1996, 6, 3638. [Google Scholar]
- Wang, J.; Zong, R.G.; Yin, L.R.; Sun, K.J.; Lin, X.G. ShuangFeng—A new hermaphrodite cultivar of Vitis amurensis Rupr. Acta Hortic. Sin. 1996, 23, 207. [Google Scholar]
- Lin, X.G.; Zhang, H.; Xiu, J.C.; Feng, Y.C. Study on breeding of Shuangyou—A new hermaphrodite cultivar of Vitis amurensis Rupr. Sino-Overseas Grapevine Wine 1994, 4, 51–53. [Google Scholar]
- Song, R.G.; Lu, W.P.; Wang, J.; Shen, Y.J.; Shi, G.W. Studies on the breeding of shuang hong—A new cultivar of Vitis amurensis Rupr. Spec. Wild Econ. Anim. Plant Res. 1999, 1, 17–20. [Google Scholar]
- Lu, W.P.; Wang, J.; Song, R.G.; Zang, Y.F.; Shen, Y.J.; Guo, Z.G.; Liu, Z.H.; Liu, J.K. Bereding research of cold–resistant grape variety of ‘Zuohong No.1’. Sino-Overseas Grapevine Wine 2000, 1, 13–14. [Google Scholar]
- Song, R.G.; Lu, W.P.; Guo, T.J.; Liu, J.K.; Shen, Y.J.; Lin, X.G.; Li, X.H.; Guo, Z.G. A new dry-red brewing grape variety ‘Zuoyouhong’. Acta Hortic. Sin. 2005, 32, 757. [Google Scholar]
- Song, R.G.; Lu, W.P.; Zhang, Q.T.; Li, X.H.; Yang, Y.M.; Fan, S.T.; Ai, J.; Shen, Y.J.; Lin, X.G. A new dry-red brewing grape variety ‘Xuelanhong’. Spec. Wild Econ. Anim. Plant Res. 2012, 3, 14–19. [Google Scholar]
- Li, S.C.; Wen, L.Z.; Zhang, F.Q.; Luo, F.M.; Yang, M.R.; Zhang, Y.Z.; Huang, D.F. A new cold–resistant and disease–resistant grape variety-Beichun. Chin. Bull. Bot. 1983, 2, 28–30. [Google Scholar]
- Fan, P.G.; Li, S.C.; Wang, L.J.; Yang, M.R.; Wu, B.H.; Duan, W.; Li, L.S.; Zhong, J.Y.; Zhang, Y.Z.; Wen, L.Z.; et al. Breeding of new wine grapes of Beihong and Beimei. China Fruits 2010, 4, 5–8. [Google Scholar]
- Fruit Research Institute of Jilin Academy of Agricultural Sciences. Introduction of new wine grape cultivars. Food Ferment. Ind. 1978, 6, 49–51. [Google Scholar]
- Yang, J.H.; Wu, D.L. Grape cold resistance breeding. China Fruits 1959, 3, 22–24. [Google Scholar]
- Song, R.G.; Lu, W.P.; Shen, Y.J.; Jin, R.H.; Jin, R.H.; Li, X.H.; Guo, Z.G.; Liu, J.K.; Lin, X.G. A new ice–red brewing grape cultivar ‘Beibinghong’. Acta Hortic. Sin. 2008, 35, 1085. [Google Scholar]
- Zhuang, Y. Study on the Physiological Ecological Characteristics of Eight Vines. Master’s Thesis, Anhui Agricultural University, Hefei, China, 2008. [Google Scholar]
- Jie, M. The Study on Polyploid Breeding Technology of V. amurensis. Master’s Thesis, Jilin Agricultural University, Changchun, China, 2008. [Google Scholar]
- Pantelić, M.M.; Dabić Zagorac, D.Č.; Davidović, S.M.; Todić, S.R.; Bešlić, Z.S.; Gašić, U.M.; Tešić, Ž.L.; Natić, M.M. Identification and quantification of phenolic compounds in berry skin, pulp, and seeds in 13 grapevine varieties grown in Serbia. Food Chem. 2016, 211, 243–252. [Google Scholar]
- Yue, Q.Y.; Xu, L.L.; Xiang, G.Q.; Yu, X.; Yao, Y.X. Characterization of gene expression profile, phenolic composition, and antioxidant capacity in red–fleshed grape berries and their wines. J. Agric. Food Chem. 2018, 66, 7190–7199. [Google Scholar] [CrossRef]
- Robinson, W.B.; Weirs, L.D.; Bertino, J.J.; Mattick, L.R. The relation of anthocyanin composition to color stability of New York State wines. Am. J. Enol. Vitic. 1966, 17, 178–184. [Google Scholar]
- Jánváry, L.; Hoffmann, T.; Pfeiffer, J.; Hausmann, L.; Töpfer, R.; Fischer, T.C.; Schwab, W.A. Double mutation in the anthocyanin 5–Oglucosyltransferase gene disrupts enzymatic activity in Vitis vinifera L. J. Agric. Food Chem. 2009, 57, 3512–3518. [Google Scholar] [CrossRef]
- He, F.; Chen, W.K.; Yu, K.J.; Ji, X.N.; Duan, C.Q.; Reeves, M.J.; Wang, J. Molecular and biochemical characterization of the UDP-glucose:Anthocyanin 5-O-glucosyltransferase fromVitis amurensis. Phytochemistry 2015, 117, 363–372. [Google Scholar] [CrossRef]
- Xing, R.R.; Li, S.Y.; He, F.; Yang, Z.; Duan, C.Q.; Li, Z.; Wang, J.; Pan, Q.H. Mass spectrometric and enzymatic evidence confirm the existence of anthocyanidin 3,5–O–diglucosides in cabernet sauvignon (Vitis vinifera L.) grape berries. Agric. Food Chem. 2015, 63, 3251–3260. [Google Scholar] [CrossRef] [PubMed]





| Pedigree | Number | Cultivars/Accessions |
|---|---|---|
| Vitis amurensis | 20 | Tonghua-1; Tonghua-3; Tonghua-7; Changbai-5; Changbai-8; Changbai-9; 92; 14; 75081; 73102; 84001; 84002; 85010; 086919; Zuoshan-1; Zuoshan-2; Shuangqing (Changbai-11); Shuangyou *; Shuanghong *; Shuangfeng * |
| Hybrids of V. amurensis and V. vinifera | 11 | Zuohong-1; Zuoyouhong; Beichun; Beihong; Beimei; Xuelanhong; Gongniang-1; Huapu-1; Beibinghong; Hasang; RS |
| V. vinifera | 3 | Cabernet Sauvignon; CabernetGernischt; Gem Cabernet |
| Rt (min). | MS; MS2 (m/z) | Anthocyanin | V. amurensis | Interspecific Hybrids | V. vinifera | |||
|---|---|---|---|---|---|---|---|---|
| Mean | SE | Mean | SE | Mean | SE | |||
| 2.41 | 789; 627,465,303 | Dp-3,5,7-triglc * | 35.96 | 21.63 | 6.37 | 5.53 | — | — |
| 2.97 | 773; 611,449,287 | Cy-3,5,7-triglc * | 26.88 | 15.48 | 4.19 | 3.31 | — | — |
| 3.01 | 627; 465,303 | Dp-3,5-diglc | 4608.23 | 3395.62 | 321.30 | 352.87 | 15.79 | 19.66 |
| 3.11 | 803; 641; 479,317 | Pt-3,5,7-triglc * | 26.15 | 18.45 | 15.14 | 32.68 | — | — |
| 3.48 | 611; 449,287 | Cy-3,5-diglc | 3229.93 | 2843.26 | 311.09 | 406.38 | — | — |
| 3.57 | 787; 625,463,301 | Pn-3,5,7-triglc * | 7.34 | 6.81 | 8.69 | 7.60 | — | — |
| 3.73 | 817; 655,493,331 | Mv-3,5,7-triglc * | 681.46 | 1404.39 | 33.16 | 20.69 | — | — |
| 3.72 | 641; 479,317 | Pt-3,5-diglc | 3157.22 | 2087.73 | 388.53 | 321.75 | — | — |
| 3.91 | 465; 303 | Dp-3-glc | 861.17 | 824.13 | 1261.65 | 1607.40 | 148.58 | 194.19 |
| 3.99 | 595; 433,271 | Pg-3,5-diglc | 16.01 | 10.77 | 3.38 | 2.32 | — | — |
| 4.18 | 625; 463,301 | Pn-3,5-diglc | 3027.85 | 2968.72 | 802.29 | 562.95 | — | — |
| 4.26 | 655; 493,331 | Mv-3,5-diglc | 17,344.52 | 6146.84 | 4273.00 | 2643.70 | 1.75 | 0.49 |
| 4.4 | 669; 507,465,303 | Dp-3-acglc-5-glc | 4.91 | 5.00 | 6.99 | 8.67 | — | — |
| 4.42 | 449; 287 | Cy-3-glc | 235.81 | 179.96 | 321.29 | 306.54 | 48.17 | 59.19 |
| 4.7 | 479; 317 | Pt-3-glc | 302.33 | 204.74 | 477.40 | 351.41 | 168.02 | 181.37 |
| 4.96 | 433; 271 | Pg-3-glc | 1.02 | 0.96 | 1.27 | 1.01 | 0.78 | 0.79 |
| 5.09 | 653; 491,449,287 | Cy-3-acglc-5-glc | 14.65 | 14.83 | 28.60 | 81.11 | — | — |
| 5.09 | 683; 521,479,317 | Pt-3-acglc-5-glc | 16.37 | 7.44 | 67.33 | 201.79 | — | — |
| 5.17 | 463; 301 | Pn-3-glc | 67.85 | 52.91 | 233.71 | 214.31 | 261.38 | 163.51 |
| 5.34 | 493; 331 | Mv-3-glc | 434.03 | 287.52 | 1350.04 | 867.34 | 2502.94 | 2426.91 |
| 5.6 | 667; 505,463,301 | Pn-3-acglc-5-glc | 15.93 | 17.60 | 6.84 | 3.98 | — | — |
| 5.6 | 697; 535,493,331 | Mv-3-acglc-5-glc | 71.59 | 38.15 | 32.77 | 27.89 | — | — |
| 5.61 | 963; 801,639,493,331 | Mv-3-cmglc-5-glc-7-glc * | — | — | 3.84 | 2.48 | — | — |
| 5.76 | 789; 627,465,303 | Dp-3-cfglc-5-glc | — | — | 17.65 | 39.97 | — | — |
| 5.73 | 507; 303 | Dp-3-acglc | 2.73 | 4.62 | 23.10 | 58.79 | 9.96 | 13.93 |
| 6.17 | 803; 641,479,317 | Pt-3-cfglc-5-glc | — | — | 9.02 | 15.20 | — | — |
| 6.18 | 773; 611,465,303 /773; 611,449,287 | Dp-3-cmglc-5-glc /Cy-3-cfglc-5-glc # | 10.19 | 25.14 | 213.59 | 636.50 | — | — |
| 6.2 | 491; 287 | Cy-3-acglc | 1.01 | 0.94 | 3.72 | 3.18 | 2.96 | 4.21 |
| 6.33 | 521; 317 | Pt-3-acglc | 0.88 | 0.64 | 10.93 | 13.32 | 21.02 | 25.23 |
| 6.16 | 627; 303 | Dp-3-cfglc | — | — | 0.67 | 1.14 | 0.18 | 0.23 |
| 6.6 | 817; 655,493, 331 | Mv-3-cfglc-5-glc | 2.24 | 0.00 | 21.62 | 32.73 | — | — |
| 6.56 | 611; 287 | Cy-3-cfglc | — | — | 0.07 | 0.04 | 0.56 | 0.91 |
| 6.61 | 757; 595,449,287 | Cy-3-cmglc-5-glc | 1.07 | 1.49 | 23.54 | 35.97 | — | — |
| 6.62 | 787; 625,479,317 /787; 625,463, 301 | Pt-3-cmglc-5-glc /Pn-3-cfglc-5-glc # | 4.24 | 8.92 | 54.50 | 107.03 | — | — |
| 6.84 | 505; 301 | Pn-3-acglc | 0.36 | 0.33 | 3.07 | 3.19 | 29.84 | 21.99 |
| 6.91 | 535; 331 | Mv-3-acglc | 1.83 | 1.68 | 22.46 | 29.21 | 191.51 | 38.03 |
| 6.73 | 641; 317 | Pt-3-cfglc | — | — | 0.25 | 0.29 | 0.46 | 0.60 |
| 6.93 | 611; 303 | Dp-3-cmglc | 0.51 | 0.56 | 2.25 | 4.85 | 8.49 | 14.50 |
| 7.07 | 771; 609,463,301 | Pn-3-cmglc-5-glc | 0.94 | 1.06 | 14.56 | 10.38 | — | — |
| 7.02 | 801; 639,493,331 | Mv-3-cmglc-5-glc | 1.10 | 1.08 | 94.32 | 142.02 | — | — |
| 7.07 | 625; 301 | Pn-3-cfglc | — | — | 0.19 | 0.23 | 4.53 | 6.12 |
| 7.23 | 655; 331 | Mv-3-cfglc | — | — | 0.57 | 1.50 | 18.88 | 15.31 |
| 7.37 | 595; 287 | Cy-3-cmglc | — | — | 0.13 | 0.24 | 3.62 | 6.06 |
| 7.48 | 625; 317 | Pt-3-cmglc | — | — | 0.69 | 1.18 | 14.31 | 23.56 |
| 8.25 | 609; 301 | Pn-3-cmglc | — | — | 0.36 | 0.69 | 29.73 | 42.93 |
| 8.37 | 639; 331 | Mv-3-cmglc | 0.00 | 0.00 | 4.60 | 10.86 | 197.95 | 256.04 |
Publisher’s Note: MDPI stays neutral with regard to jurisdictional claims in published maps and institutional affiliations. |
© 2021 by the authors. Licensee MDPI, Basel, Switzerland. This article is an open access article distributed under the terms and conditions of the Creative Commons Attribution (CC BY) license (https://creativecommons.org/licenses/by/4.0/).
Share and Cite
Zhu, L.; Li, X.; Hu, X.; Wu, X.; Liu, Y.; Yang, Y.; Zang, Y.; Tang, H.; Wang, C.; Xu, J. Quality Characteristics and Anthocyanin Profiles of Different Vitis amurensis Grape Cultivars and Hybrids from Chinese Germplasm. Molecules 2021, 26, 6696. https://doi.org/10.3390/molecules26216696
Zhu L, Li X, Hu X, Wu X, Liu Y, Yang Y, Zang Y, Tang H, Wang C, Xu J. Quality Characteristics and Anthocyanin Profiles of Different Vitis amurensis Grape Cultivars and Hybrids from Chinese Germplasm. Molecules. 2021; 26(21):6696. https://doi.org/10.3390/molecules26216696
Chicago/Turabian StyleZhu, Lei, Xinyue Li, Xixi Hu, Xin Wu, Yunqing Liu, Yiming Yang, Yanqing Zang, Huacheng Tang, Changyuan Wang, and Jingyu Xu. 2021. "Quality Characteristics and Anthocyanin Profiles of Different Vitis amurensis Grape Cultivars and Hybrids from Chinese Germplasm" Molecules 26, no. 21: 6696. https://doi.org/10.3390/molecules26216696
APA StyleZhu, L., Li, X., Hu, X., Wu, X., Liu, Y., Yang, Y., Zang, Y., Tang, H., Wang, C., & Xu, J. (2021). Quality Characteristics and Anthocyanin Profiles of Different Vitis amurensis Grape Cultivars and Hybrids from Chinese Germplasm. Molecules, 26(21), 6696. https://doi.org/10.3390/molecules26216696

