Phosphate and Ammonium Removal from Wastewaters Using Natural-Based Innovative Bentonites Impacting on Resource Recovery and Circular Economy
Abstract
:1. Introduction
2. Results and Discussion
2.1. SEM
2.2. Efficiency of f-MB in Phosphate and Ammonium Removal
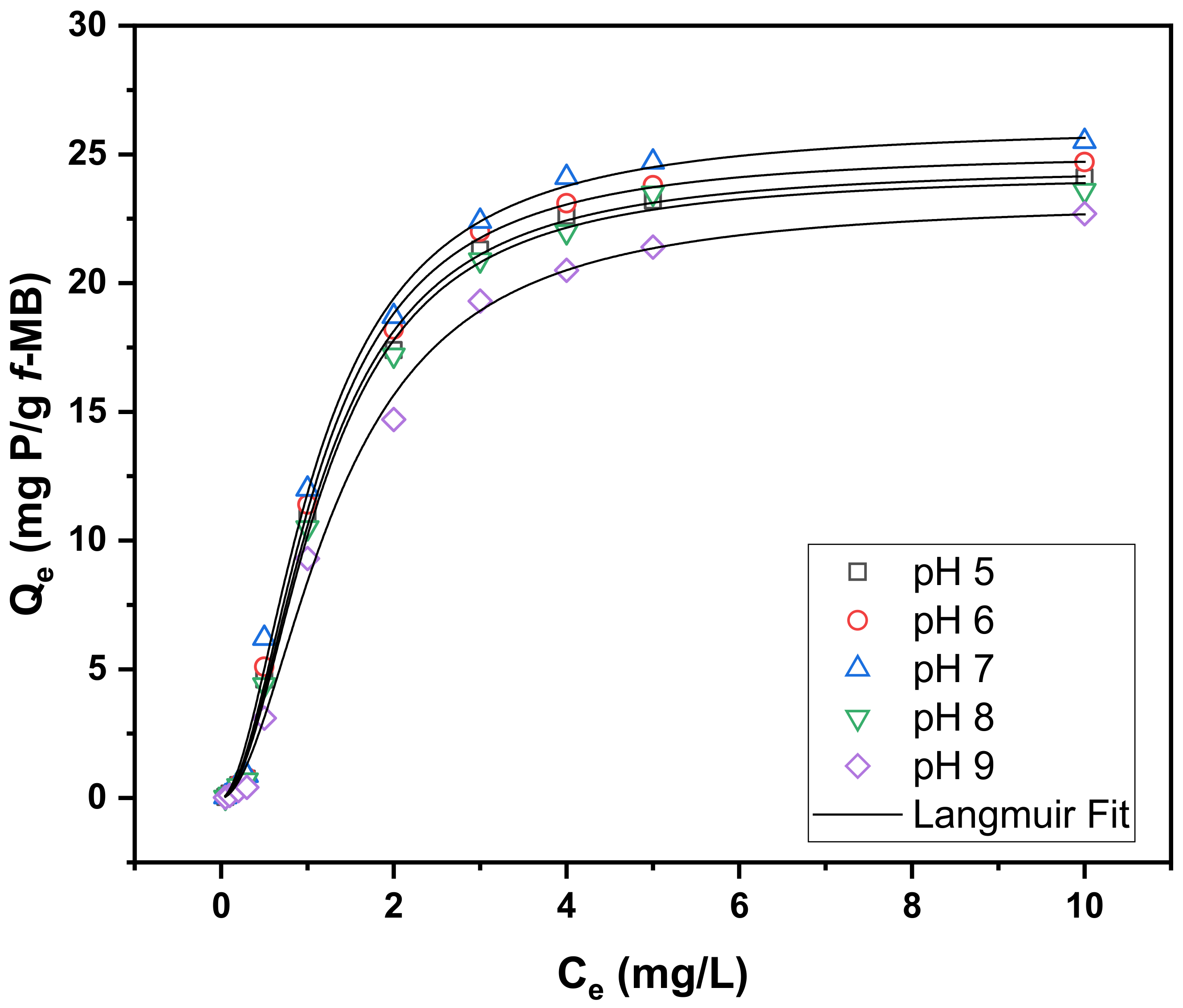
2.2.1. Synthetic Wastewaters (SWW)
2.2.2. Real Wastewaters (RWW)
2.2.3. Dairy Wastewaters (DWW)
2.2.4. Regeneration and Reuse f-MB for P and N Removal from Wastewaters
2.2.5. P and N Release Experiments for Sustainable Applications of f-MB
3. Materials and Methods
3.1. Reagents
3.2. Phosphate and Ammonium Adsorption Batch Experiments
3.2.1. Synthetic Wastewater (SWW)
3.2.2. Real Domestic Wastewaters (RDW)
3.2.3. Dairy Wastewaters (DWW)
3.3. Desorption Studies
3.3.1. Regeneration and Reuse f-MB for P & N Removal from Wastewaters
3.3.2. Slow-Release P in Soil
3.4. SEM Analysis
4. Conclusions
- ▪
- The natural-based innovative f-MB was highly efficient for simultaneous P and N removal from wastewaters at a wide range of pH values (5–9). Compared with other various materials commonly used for phosphate adsorption from wastewaters, f-MB exhibits higher adsorption capacity (Table 3). In addition, the simultaneous removal of P and N by Fe-modified bentonite is an additional advantage over other materials that are unable to adsorb phosphate and ammonium ions simultaneously and are usually selective concerning P or N (Table 3). For example, the material shows more than three times the adsorptive capacity of La-modified bentonite and over twice the adsorptive capacity of Fe-Al pillared bentonite (Table 3). From the overview in the literature, it can be concluded that our material shows high efficiency, which is in the same order of magnitude as materials, such as iron oxide/zeolite, while it is significantly superior to most materials mentioned in the literature (Table 3). The clay used appeared to be quite efficient in adsorbing phosphate and ammonium under different types of wastewaters, such as municipal/domestic wastewaters and dairy wastewaters.
- ▪
- f-MB can be effectively regenerated by NaHCO3 treatment using the adsorption/desorption method. The modified clay f-MB achieved the phosphate and NH4+ recovery rates of 80% and 78.5%, respectively.
- ▪
- f-MB can slowly release the largest proportion of phosphate and ammonium ions for a long time, thus extending the application as a slow-release fertilizer and soil improver.
Author Contributions
Funding
Institutional Review Board Statement
Informed Consent Statement
Data Availability Statement
Conflicts of Interest
Sample Availability
References
- Preisner, M.; Neverova-Dziopak, E.; Kowalewski, Z. Analysis of eutrophication potential of municipal wastewater. Water Sci. Technol. 2020, 81, 1994–2003. [Google Scholar] [CrossRef] [PubMed]
- Zamparas, M. The Role of Resource Recovery Technologies in Reducing the Demand of Fossil Fuels and Conventional Fossil-Based Mineral Fertilizers. In Low Carbon Energy Technologies in Sustainable Energy Systems; Elsevier B.V.: Amsterdam, The Netherlands, 2021; pp. 3–24. [Google Scholar]
- Kok, D.-J.D.; Pande, S.; Van Lier, J.B.; Ortigara, A.R.C.; Savenije, H.; Uhlenbrook, S. Global phosphorus recovery from wastewater for agricultural reuse. Hydrol. Earth Syst. Sci. 2018, 22, 5781–5799. [Google Scholar] [CrossRef] [Green Version]
- Parde, D.; Patwa, A.; Shukla, A.; Vijay, R.; Killedar, D.J.; Kumar, R. A review of constructed wetland on type, treatment and technology of wastewater. Environ. Technol. Innov. 2021, 21, 101261. [Google Scholar] [CrossRef]
- Vymazal, J. Constructed wetlands for treatment of industrial wastewaters: A review. Ecol. Eng. 2014, 73, 724–751. [Google Scholar] [CrossRef]
- Vymazal, J. Constructed Wetlands for Wastewater Treatment. In Encyclopedia of Ecology; Elsevier B.V.: Amsterdam, The Netehrlands, 2018; ISBN 9780444641304. [Google Scholar]
- Lakatos, G. Biological Wastewater Treatment. In Wastewater and Water Contamination: Sources, Assessment and Remediation; Nova Science Publishers, Incorporated: Hauppauge, NY, USA, 2018; ISBN 9781536135800. [Google Scholar]
- Narayanan, C.M.; Narayan, V. Biological wastewater treatment and bioreactor design: A review. Sustain. Environ. Res. 2019, 29, 1–17. [Google Scholar] [CrossRef] [Green Version]
- Huang, C.; Luo, M.-T.; Chen, X.-F.; Xiong, L.; Li, X.-M.; Chen, X.-D. Recent advances and industrial viewpoint for biological treatment of wastewaters by oleaginous microorganisms. Bioresour. Technol. 2017, 232, 398–407. [Google Scholar] [CrossRef]
- Garrido-Cardenas, J.A.; Esteban-García, B.; Agüera, A.; Sánchez-Pérez, J.A.; Manzano-Agugliaro, F. Wastewater Treatment by Advanced Oxidation Process and Their Worldwide Research Trends. Int. J. Environ. Res. Public Health 2019, 17, 170. [Google Scholar] [CrossRef] [Green Version]
- Farooq, S.; Bari, A. Physico-chemical treatment of domestic wastewater. Environ. Technol. Lett. 1986, 7, 87–98. [Google Scholar] [CrossRef]
- Carvalho, F.; Prazeres, A.R.; Rivas, J. Cheese whey wastewater: Characterization and treatment. Sci. Total Environ. 2013, 445, 385–396. [Google Scholar] [CrossRef]
- López-Maldonado, E.A.; Oropeza-Guzman, M.T.; Jurado-Baizaval, J.; Ochoa-Terán, A. Coagulation–flocculation mechanisms in wastewater treatment plants through zeta potential measurements. J. Hazard. Mater. 2014, 279, 1–10. [Google Scholar] [CrossRef]
- Aboulhassan, M.A.; Souabi, S.; Yaacoubi, A.; Baudu, M. Removal of surfactant from industrial wastewaters by coagulation flocculation process. Int. J. Environ. Sci. Technol. 2006, 3, 327–332. [Google Scholar] [CrossRef] [Green Version]
- Correia, T.; Regato, M.; Almeida, A.; Santos, T.; Amaral, L.; Carvalho, F. Manual Treatment of Urban Wastewater by Chemical Precipitation for Production of Hydroponic Nutrient Solutions. J. Ecol. Eng. 2020, 21, 143–152. [Google Scholar] [CrossRef]
- Beccari, M.; Di Pinto, A.; Paolini, A.; Ramadori, R.; Spagnesi, P. A Pre-Precipitation Process Using Low Lime Dosage as a Feasible Method for Reducing Phosphorus Discharges. In Proceedings of the Marine Coastal Eutrophication; Elsevier B.V.: Amsterdam, The Netherlands, 1992; pp. 1297–1304. [Google Scholar]
- Prazeres, A.R.; Luz, S.; Fernandes, F.; Jerónimo, E. Cheese wastewater treatment by acid and basic precipitation: Application of H2SO4, HNO3, HCl, Ca(OH)2 and NaOH. J. Environ. Chem. Eng. 2020, 8, 103556. [Google Scholar] [CrossRef]
- Kyriakopoulos, G.L.; Kapsalis, V.C.; Aravossis, K.G.; Zamparas, M.; Mitsikas, A. Evaluating Circular Economy under a Multi-Parametric Approach: A Technological Review. Sustainability 2019, 11, 6139. [Google Scholar] [CrossRef] [Green Version]
- Hong, S.-H.; Ndingwan, A.M.; Yoo, S.-C.; Lee, C.-G.; Park, S.-J. Use of calcined sepiolite in removing phosphate from water and returning phosphate to soil as phosphorus fertilizer. J. Environ. Manag. 2020, 270, 110817. [Google Scholar] [CrossRef]
- Lee, C.-G.; Alvarez, P.J.; Kim, H.-G.; Jeong, S.; Lee, S.; Lee, K.B.; Lee, S.-H.; Choi, J.-W. Phosphorous recovery from sewage sludge using calcium silicate hydrates. Chemosphere 2018, 193, 1087–1093. [Google Scholar] [CrossRef]
- Bacelo, H.; Pintor, A.M.; Santos, S.C.; Boaventura, R.; Botelho, C. Performance and prospects of different adsorbents for phosphorus uptake and recovery from water. Chem. Eng. J. 2020, 381, 122566. [Google Scholar] [CrossRef]
- Huang, W.; Zhang, Y.; Li, D. Adsorptive removal of phosphate from water using mesoporous materials: A review. J. Environ. Manag. 2017, 193, 470–482. [Google Scholar] [CrossRef]
- Kim, W.K.; Sung, Y.K.; Yoo, H.S.; Kim, J.T. Optimization of coagulation/flocculation for phosphorus removal from activated sludge effluent discharge using an online charge analyzing system titrator (CAST). J. Ind. Eng. Chem. 2015, 21, 269–277. [Google Scholar] [CrossRef]
- Mehta, C.M.; Khunjar, W.O.; Nguyen, V.; Tait, S.; Batstone, D. Technologies to Recover Nutrients from Waste Streams: A Critical Review. Crit. Rev. Environ. Sci. Technol. 2015, 45, 385–427. [Google Scholar] [CrossRef] [Green Version]
- Loganathan, P.; Vigneswaran, S.; Kandasamy, J.; Bolan, N. Removal and Recovery of Phosphate From Water Using Sorption. Crit. Rev. Environ. Sci. Technol. 2014, 44, 847–907. [Google Scholar] [CrossRef]
- Midorikawa, I.; Aoki, H.; Omori, A.; Shimizu, T.; Kawaguchi, Y.; Kassai, K.; Murakami, T. Recovery of high purity phosphorus from municipal wastewater secondary effluent by a high-speed adsorbent. Water Sci. Technol. 2008, 58, 1601–1607. [Google Scholar] [CrossRef] [Green Version]
- Kasprzyk, M.; Gajewska, M. Phosphorus removal by application of natural and semi-natural materials for possible recovery according to assumptions of circular economy and closed circuit of P. Sci. Total Environ. 2019, 650, 249–256. [Google Scholar] [CrossRef]
- Zheng, Y.; Wang, B.; Wester, A.E.; Chen, J.; He, F.; Chen, H.; Gao, B. Reclaiming phosphorus from secondary treated municipal wastewater with engineered biochar. Chem. Eng. J. 2019, 362, 460–468. [Google Scholar] [CrossRef]
- Li, R.; Wang, J.J.; Zhou, B.; Awasthi, M.K.; Ali, A.; Zhang, Z.; Lahori, A.H.; Mahar, A. Recovery of phosphate from aqueous solution by magnesium oxide decorated magnetic biochar and its potential as phosphate-based fertilizer substitute. Bioresour. Technol. 2016, 215, 209–214. [Google Scholar] [CrossRef] [Green Version]
- Yang, K.; Yan, L.-G.; Yang, Y.-M.; Yu, S.-J.; Shan, R.-R.; Yu, H.-Q.; Zhu, B.-C.; Du, B. Adsorptive removal of phosphate by Mg–Al and Zn–Al layered double hydroxides: Kinetics, isotherms and mechanisms. Sep. Purif. Technol. 2014, 124, 36–42. [Google Scholar] [CrossRef]
- Popuri, A.K.; Guttikonda, P. Zero liquid discharge (ZLD) industrial wastewater treatment system. Int. J. ChemTech Res. 2016, 9, 80–86. [Google Scholar]
- Kong, L.; Tian, Y.; Li, N.; Liu, Y.; Zhang, J.; Zhang, J.; Zuo, W. Highly-effective phosphate removal from aqueous solutions by calcined nano-porous palygorskite matrix with embedded lanthanum hydroxide. Appl. Clay Sci. 2018, 162, 507–517. [Google Scholar] [CrossRef]
- Tu, C.; Wang, S.; Qiu, W.; Xie, R.; Hu, B.; Qu, G.; Ning, P. Phosphorus Removal From Aqueous Solution by Adsorption onto La-modified Clinoptilolite. In Proceedings of the MATEC Web of Conferences; EDP Sciences: Les Ulis, France, 2016; Volume 67, p. 7013. [Google Scholar]
- Zheng, X.; Su, Y.; Chen, Y.; Wei, Y.; Li, M.; Huang, H. The effects of carbon nanotubes on nitrogen and phosphorus removal from real wastewater in the activated sludge system. RSC Adv. 2014, 4, 45953–45959. [Google Scholar] [CrossRef]
- Liu, X.; Xiang, L.; Song, Y.; Qian, F.; Meng, X. The effects and mechanism of alkalinity on the phosphate recovery from anaerobic digester effluent using dolomite lime. Environ. Earth Sci. 2015, 73, 5067–5073. [Google Scholar] [CrossRef]
- Cui, M.-M.; Wang, D.-S.; Huang, T.-Y.; Liu, F. Adsorption Characteristics of Phosphorus Wastewater on the Synthetic Ferrihydrite. Huan Jing Ke Xue Huanjing Kexue 2016, 37, 3498–3507. [Google Scholar] [PubMed]
- Chen, X.; Wu, L.; Liu, F.; Luo, P.; Zhuang, X.; Wu, J.; Zhu, Z.; Xu, S.; Xie, G. Performance and mechanisms of thermally treated bentonite for enhanced phosphate removal from wastewater. Environ. Sci. Pollut. Res. 2018, 25, 15980–15989. [Google Scholar] [CrossRef] [PubMed]
- Mitrogiannis, D.; Psychoyou, M.; Baziotis, I.; Inglezakis, V.; Koukouzas, N.; Tsoukalas, N.; Palles, D.; Kamitsos, E.I.; Oikonomou, G.; Markou, G. Removal of phosphate from aqueous solutions by adsorption onto Ca(OH)2 treated natural clinoptilolite. Chem. Eng. J. 2017, 320, 510–522. [Google Scholar] [CrossRef]
- Zamparas, M.; Drosos, M.; Kalavrouziotis, I.K. Sorption of phosphate from innovative composite material focusing on physicochemical interactions. Desalin. Water Treat. 2019, 151, 212–218. [Google Scholar] [CrossRef]
- Zamparas, M.; Gianni, A.; Stathi, P.; Deligiannakis, Y.; Zacharias, I. Removal of phosphate from natural waters using innovative modified bentonites. Appl. Clay Sci. 2012, 62, 101–106. [Google Scholar] [CrossRef]
- Zamparas, M.; Drosos, M.; Deligiannakis, Y.; Zacharias, I. Eutrophication control using a novel bentonite humic-acid composite material Bephos™. J. Environ. Chem. Eng. 2015, 3, 3030–3036. [Google Scholar] [CrossRef]
- Zamparas, M.; Gavriil, G.; Coutelieris, F.A.; Zacharias, I. A theoretical and experimental study on the P-adsorption capacity of Phoslock™. Appl. Surf. Sci. 2015, 335, 147–152. [Google Scholar] [CrossRef]
- Wang, X.; Lü, S.; Gao, C.; Feng, C.; Xu, X.; Bai, X.; Gao, N.; Yang, J.; Liu, M.; Wu, L. Recovery of Ammonium and Phosphate from Wastewater by Wheat Straw-based Amphoteric Adsorbent and Reusing as a Multifunctional Slow-Release Compound Fertilizer. ACS Sustain. Chem. Eng. 2016, 4, 2068–2079. [Google Scholar] [CrossRef]
- Deeth, R.J.; Anastasi, A.; Diedrich, C.; Randell, K. Molecular modelling for transition metal complexes: Dealing with d-electron effects. Coord. Chem. Rev. 2009, 253, 795–816. [Google Scholar] [CrossRef]
- Derakhshani, E.; Naghizadeh, A.; Khodadadi, M. Application of Different Isotherm Models for Humic Acid Adsorption on to Bentonite and Montmorillonite Nanoparticles. Health Scope 2016, 6, 40416. [Google Scholar] [CrossRef] [Green Version]
- Papadas, I.T.; Kosma, C.; Deligiannakis, Y. Ternary [Al2O3–electrolyte–Cu2+] species: EPR spectroscopy and surface complexation modeling. J. Colloid Interface Sci. 2009, 339, 19–30. [Google Scholar] [CrossRef]
- Li, M.; Liu, J.; Xu, Y.; Qian, G. Phosphate adsorption on metal oxides and metal hydroxides: A comparative review. Environ. Rev. 2016, 24, 319–332. [Google Scholar] [CrossRef]
- Genz, A.; Kornmüller, A.; Jekel, M. Advanced phosphorus removal from membrane filtrates by adsorption on activated aluminium oxide and granulated ferric hydroxide. Water Res. 2004, 38, 3523–3530. [Google Scholar] [CrossRef]
- Xu, K.; Deng, T.; Liu, J.; Peng, W. Study on the phosphate removal from aqueous solution using modified fly ash. Fuel 2010, 89, 3668–3674. [Google Scholar] [CrossRef]
- Gajewska, M.H.; Kasprzyk, M. Preliminary results from application Phoslock® to remove phosphorus compounds from wastewater. J. Ecol. Eng. 2017, 18, 82–89. [Google Scholar] [CrossRef] [Green Version]
- Zamparas, M.; Kyriakopoulos, G.L.; Drosos, M.; Kapsalis, V.C.; Kalavrouziotis, I.K. Novel Composite Materials for Lake Restoration: A New Approach Impacting on Ecology and Circular Economy. Sustainability 2020, 12, 3397. [Google Scholar] [CrossRef] [Green Version]
- Zamparas, M.; Kapsalis, V.C.; Kanteraki, A.E.; Vardoulakis, E.; Kyriakopoulos, G.L.; Drosos, M.; Kalavrouziotis, I.K. Novel composite materials as P-adsorption agents and their potential application as fertilizers. Glob. Nest J. 2019, 21, 48–57. [Google Scholar] [CrossRef]
- Bansiwal, A.K.; Rayalu, S.S.; Labhasetwar, N.K.; Juwarkar, A.A.; Devotta, S. Surfactant-Modified Zeolite as a Slow Release Fertilizer for Phosphorus. J. Agric. Food Chem. 2006, 54, 4773–4779. [Google Scholar] [CrossRef]
- Hale, S.E.; Alling, V.; Martinsen, V.; Mulder, J.; Breedveld, G.D.; Cornelissen, G. The sorption and desorption of phosphate-P, ammonium-N and nitrate-N in cacao shell and corn cob biochars. Chemosphere 2013, 91, 1612–1619. [Google Scholar] [CrossRef]
- Takaya, C.; Fletcher, L.; Singh, S.; Anyikude, K.; Ross, A. Phosphate and ammonium sorption capacity of biochar and hydrochar from different wastes. Chemosphere 2016, 145, 518–527. [Google Scholar] [CrossRef]
- Zamparas, M.; Kyriakopoulos, G.L.; Kapsalis, V.C.; Drosos, M.; Kalavrouziotis, I.K. Application of novel composite materials as sediment capping agents: Column experiments and modelling. Desalin. Water Treat. 2019, 170, 111–118. [Google Scholar] [CrossRef]
- Zamparas, M.; Deligiannakis, Y.; Zacharias, I. Phosphate adsorption from natural waters and evaluation of sediment capping using modified clays. Desalin. Water Treat. 2013, 51, 2895–2902. [Google Scholar] [CrossRef]
- Kokkinos, P.; Mandilara, G.; Nikolaidou, A.; Velegraki, A.; Theodoratos, P.; Kampa, D.; Blougoura, A.; Christopoulou, A.; Smeti, E.; Kamizoulis, G.; et al. Performance of three small-scale wastewater treatment plants. A challenge for possible re use. Environ. Sci. Pollut. Res. 2015, 22, 17744–17752. [Google Scholar] [CrossRef]
- Zamparas, M.; Kapsalis, V.C.; Kyriakopoulos, G.L.; Aravossis, K.G.; Kanteraki, A.E.; Vantarakis, A.; Kalavrouziotis, I.K. Medical waste management and environmental assessment in the Rio University Hospital, Western Greece. Sustain. Chem. Pharm. 2019, 13, 100163. [Google Scholar] [CrossRef]
- Zamparas, M.; Kalavrouziotis, I. Healthcare waste management in Greece. The example of Health Region of Western Greece, Peloponnese, Epirus and Ionian Islands. Glob. Nest J. 2018, 20, 96–102. [Google Scholar]
- Water Environment Federation. Standard Methods for the Examination of Water and Wastewater; American Public Health Association, American Water Works Association, and Water Environment Federation: Alexandria, VA, USA, 1999. [Google Scholar]
- Gianni, A.; Zamparas, M.; Papadas, I.T.; Kehayias, G.; Deligiannakis, Y.; Zacharias, I. Monitoring and Modeling of Metal Concentration Distributions in Anoxic Basins: Aitoliko Lagoon, Greece. Aquat. Geochem. 2012, 19, 77–95. [Google Scholar] [CrossRef]
- Wu, K.; Li, Y.; Liu, T.; Zhang, N.; Wang, M.; Yang, S.; Wang, W.; Jin, P. Evaluation of the adsorption of ammonium-nitrogen and phosphate on a granular composite adsorbent derived from zeolite. Environ. Sci. Pollut. Res. 2019, 26, 17632–17643. [Google Scholar] [CrossRef]
- Sun, S.; Ji, G.; Lv, Y.; Liu, H.; Hu, T.; Chen, Z.; Xu, S. Simultaneous recovery of ammonium and total phosphorus from toilet tail water by modified palygorskite–bentonite clay. Water Environ. Res. 2021, 93, 1077–1086. [Google Scholar] [CrossRef]
- Yan, L.-G.; Xu, Y.-Y.; Yu, H.-Q.; Xin, X.-D.; Wei, Q.; Du, B. Adsorption of phosphate from aqueous solution by hydroxy-aluminum, hydroxy-iron and hydroxy-iron–aluminum pillared bentonites. J. Hazard. Mater. 2010, 179, 244–250. [Google Scholar] [CrossRef]
- Goscianska, J.; Ptaszkowska-Koniarz, M.; Frankowski, M.; Franus, M.; Panek, R.; Franus, W. Removal of phosphate from water by lanthanum-modified zeolites obtained from fly ash. J. Colloid Interface Sci. 2018, 513, 72–81. [Google Scholar] [CrossRef]
- Cheng, H.; Zhu, Q.; Xing, Z. Adsorption of ammonia nitrogen in low temperature domestic wastewater by modification bentonite. J. Clean. Prod. 2019, 233, 720–730. [Google Scholar] [CrossRef]
- Xu, Q.; Li, W.; Ma, L.; Cao, D.; Owens, G.; Chen, Z. Simultaneous removal of ammonia and phosphate using green synthesized iron oxide nanoparticles dispersed onto zeolite. Sci. Total. Environ. 2020, 703, 135002. [Google Scholar] [CrossRef]
- Jing, Q.-X.; Chai, L.-Y.; Huang, X.-D.; Tang, C.-J.; Guo, H.; Wang, W. Behavior of ammonium adsorption by clay mineral halloysite. Trans. Nonferrous Met. Soc. China 2017, 27, 1627–1635. [Google Scholar] [CrossRef]
- Şahin, D.; Öz, M.; Sertaşı, E.; Öz, Ü.; Karslı, Z.; Aral, O. Evaluation of Natural Minerals (Zeolite and Bentonite) for Nitrogen Compounds Adsorption in Different Water Temperatures Suitable for Aquaculture. Int. Lett. Nat. Sci. 2018, 71, 34–42. [Google Scholar] [CrossRef]
- Zamparas, M.; Zacharias, I. Restoration of eutrophic freshwater by managing internal nutrient loads. A review. Sci. Total Environ. 2014, 496, 551–562. [Google Scholar] [CrossRef]
- Angar, Y.; Djelali, N.-E.; Kebbouche-Gana, S. Investigation of ammonium adsorption on Algerian natural bentonite. Environ. Sci. Pollut. Res. 2017, 24, 11078–11089. [Google Scholar] [CrossRef]
- Guaya, D.; Hermassi, M.; Valderrama, C.; Farran, A.; Cortina, J.L. Recovery of ammonium and phosphate from treated urban wastewater by using potassium clinoptilolite impregnated hydrated metal oxides as N-P-K fertilizer. J. Environ. Chem. Eng. 2016, 4, 3519–3526. [Google Scholar] [CrossRef]
- Garnier-Sillam, E.; Harry, M. Distribution of humic compounds in mounds of some soil-feeding termite species of tropical rainforests: Its influence on soil structure stability. Insectes Sociaux 1995, 42, 167–185. [Google Scholar] [CrossRef]










| Model | Equation | Parameter | pH 5 | pH 6 | pH 7 | pH 8 | pH 9 | |
|---|---|---|---|---|---|---|---|---|
| Langmuir | qm | 24.54 | 25.09 | 26.13 | 24.28 | 23.21 | ||
| H2PO4−/HPO42− | b | 0.75 | 0.79 | 0.83 | 0.72 | 0.56 | ||
| R2 | 0.99 | 0.99 | 0.99 | 0.99 | 0.99 | |||
| qm | 131.8 | 145.7 | 168.5 | 156.7 | 159.6 | |||
| NH4+ | Langmuir | b | 0.002 | 0.005 | 0.013 | 0.011 | 0.011 | |
| R2 | 0.99 | 0.99 | 0.99 | 0.99 | 0.99 |
| Parameters | RDW | DWW |
|---|---|---|
| Total solids (%) | 3.0 | 5.9 |
| Phosphate (mg/L) | 0.82 | 10.47 |
| Ammonium (mg/L) | 11.56 | 120.14 |
| BOD (mg/L) | 145 | 58 |
| COD (mg/L) | 188 | 64 |
| Calcium (mg/L) | 52.3 | - |
| Magnesium (mg/L) | 16.4 | - |
| Potassium (mg/L) | 17.7 | - |
| Sodium (mg/L) | 164 | - |
| Temperature (°C) | 20 | 23.4 |
| pH | 7.8 | 4.12 |
| Adsorbent | Qm Phosphate (mg/g) | Qm Ammonium (mg/g) | References |
|---|---|---|---|
| Modified palygorskite-bentonite clay | 1.74 | 12.87 | [64] |
| Hydroxy-Fe-Al pillared bentonite | 10.5 | - | [65] |
| Lanthanum-modified zeolite | 6.6 | - | [66] |
| Modified bentonite | - | 5.85 | [67] |
| Al-bentonite | 12.7 | - | [65] |
| Iron oxide/zeolite | 38.91 | 3.74 | [68] |
| Natural halloysite | - | 1.66 | [69] |
| La-modified clinoptilolite | 8.3 | - | [66] |
| Natural Ca-bentonite | 0.5 | - | [70] |
| Calcite | 6 | - | [71] |
| Natural bentonite (Algerian) | - | 19.01 | [72] |
| Potassium clinoptilolite | 6.8 | 29.0 | [73] |
| Fe-modified bentonite f-MB | 26.13 | 168.5 | This study |
Publisher’s Note: MDPI stays neutral with regard to jurisdictional claims in published maps and institutional affiliations. |
© 2021 by the authors. Licensee MDPI, Basel, Switzerland. This article is an open access article distributed under the terms and conditions of the Creative Commons Attribution (CC BY) license (https://creativecommons.org/licenses/by/4.0/).
Share and Cite
Zamparas, M.; Kyriakopoulos, G.L.; Drosos, M.; Kapsalis, V.C. Phosphate and Ammonium Removal from Wastewaters Using Natural-Based Innovative Bentonites Impacting on Resource Recovery and Circular Economy. Molecules 2021, 26, 6684. https://doi.org/10.3390/molecules26216684
Zamparas M, Kyriakopoulos GL, Drosos M, Kapsalis VC. Phosphate and Ammonium Removal from Wastewaters Using Natural-Based Innovative Bentonites Impacting on Resource Recovery and Circular Economy. Molecules. 2021; 26(21):6684. https://doi.org/10.3390/molecules26216684
Chicago/Turabian StyleZamparas, Miltiadis, Grigorios L. Kyriakopoulos, Marios Drosos, and Vasilis C. Kapsalis. 2021. "Phosphate and Ammonium Removal from Wastewaters Using Natural-Based Innovative Bentonites Impacting on Resource Recovery and Circular Economy" Molecules 26, no. 21: 6684. https://doi.org/10.3390/molecules26216684
APA StyleZamparas, M., Kyriakopoulos, G. L., Drosos, M., & Kapsalis, V. C. (2021). Phosphate and Ammonium Removal from Wastewaters Using Natural-Based Innovative Bentonites Impacting on Resource Recovery and Circular Economy. Molecules, 26(21), 6684. https://doi.org/10.3390/molecules26216684
