Energetic and Geometric Characteristics of the Substituents: Part 2: The Case of NO2, Cl, and NH2 Groups in Their Mono-Substituted Derivatives of Simple Nitrogen Heterocycles
Abstract
:1. Introduction
- when the group is neighboring two endocyclic nitrogen atoms;
- when only one nitrogen atom is in ortho position to the group; and
- when neighbors are only CH groups.
2. Methodology
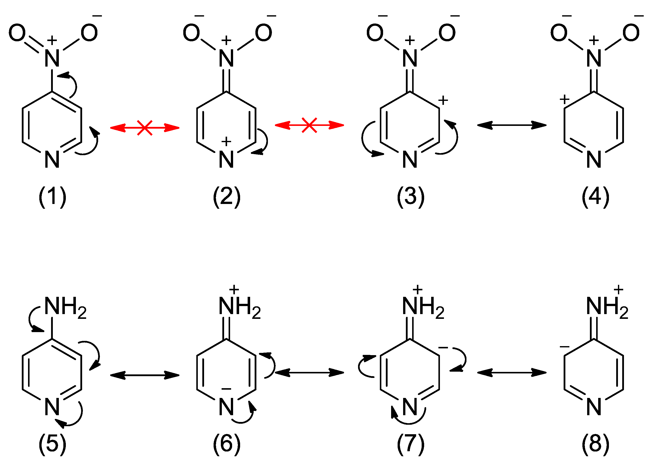
3. Results and Discussion
3.1. Energetic Characteristics of Substituents
3.2. Electronic and Geometric Properties of Substituents
3.3. Proximity Interactions
4. Conclusions
Supplementary Materials
Author Contributions
Funding
Institutional Review Board Statement
Informed Consent Statement
Data Availability Statement
Acknowledgments
Conflicts of Interest
Sample Availability
References
- Katritzky, A.R.; Rees, C.W.; Scriven, E.F.V. (Eds.) Comprehensive Heterocyclic Chemistry II: A Review of the Literature 1982–1995: The Structure, Reactions, Synthesis, and Uses of Heterocyclic Compounds, 1st ed.; Pergamon: Oxford, UK; New York, NY, USA, 1996. [Google Scholar]
- Pozharskii, A.F.; Katritzky, A.R.; Soldatenkov, A.T. Heterocycles in Life and Society: An Introduction to Heterocyclic Chemistry, Biochemistry, and Applications, 2nd ed.; Wiley: Chichester, UK, 2011; ISBN 978-0-470-71411. [Google Scholar]
- Pluta, K.; Jeleń, M.; Morak-Młodawska, B.; Zimecki, M.; Artym, J.; Kocięba, M.; Zaczyńska, E. Azaphenothiazines—Promising Phenothiazine Derivatives. An Insight into Nomenclature, Synthesis, Structure Elucidation and Biological Properties. Eur. J. Med. Chem. 2017, 138, 774–806. [Google Scholar] [CrossRef]
- Liu, W.-S.; Yang, B.; Wang, R.-R.; Li, W.-Y.; Ma, Y.-C.; Zhou, L.; Du, S.; Ma, Y.; Wang, R.-L. Design, Synthesis and Biological Evaluation of Pyridine Derivatives as Selective SHP2 Inhibitors. Bioorg. Chem. 2020, 100, 103875. [Google Scholar] [CrossRef] [PubMed]
- Tripathi, R.K.P.; Ayyannan, S.R. Emerging Chemical Scaffolds with Potential SHP2 Phosphatase Inhibitory Capabilities—A Comprehensive Review. Chem. Biol. Drug Des. 2021, 97, 721–773. [Google Scholar] [CrossRef] [PubMed]
- Haiduc, I. Inverse Coordination. Organic Nitrogen Heterocycles as Coordination Centers. A Survey of Molecular Topologies and Systematization. Part 2. Six-Membered Rings. J. Coord. Chem. 2019, 72, 2805–2903. [Google Scholar] [CrossRef]
- De Clercq, E. C-Nucleosides To Be Revisited: Miniperspective. J. Med. Chem. 2016, 59, 2301–2311. [Google Scholar] [CrossRef]
- Feng, P.; Lee, K.N.; Lee, J.W.; Zhan, C.; Ngai, M.-Y. Access to a New Class of Synthetic Building Blocks via Trifluoromethoxylation of Pyridines and Pyrimidines. Chem. Sci. 2016, 7, 424–429. [Google Scholar] [CrossRef] [Green Version]
- Han, S.; Chakrasali, P.; Park, J.; Oh, H.; Kim, S.; Kim, K.; Pandey, A.K.; Han, S.H.; Han, S.B.; Kim, I.S. Reductive C2-Alkylation of Pyridine and Quinoline N -Oxides Using Wittig Reagents. Angew. Chem. Int. Ed. 2018, 57, 12737–12740. [Google Scholar] [CrossRef]
- Preeti; Singh, K.N. Metal-Free Multicomponent Reactions: A Benign Access to Monocyclic Six-Membered N-Heterocycles. Org. Biomol. Chem. 2021, 19, 2622–2657. [Google Scholar] [CrossRef]
- dos Santos, P.L.; Chen, D.; Rajamalli, P.; Matulaitis, T.; Cordes, D.B.; Slawin, A.M.Z.; Jacquemin, D.; Zysman-Colman, E.; Samuel, I.D.W. Use of Pyrimidine and Pyrazine Bridges as a Design Strategy To Improve the Performance of Thermally Activated Delayed Fluorescence Organic Light Emitting Diodes. ACS Appl. Mater. Interf. 2019, 11, 45171–45179. [Google Scholar] [CrossRef]
- Sivakova, S.; Rowan, S.J. Nucleobases as Supramolecular Motifs. Chem. Soc. Rev. 2005, 34, 9. [Google Scholar] [CrossRef] [PubMed]
- Pu, F.; Ren, J.; Qu, X. Nucleobases, Nucleosides, and Nucleotides: Versatile Biomolecules for Generating Functional Nanomaterials. Chem. Soc. Rev. 2018, 47, 1285–1306. [Google Scholar] [CrossRef]
- Wieczorkiewicz, P.A.; Szatylowicz, H.; Krygowski, T.M. Energetic and Geometric Characteristics of the Substituents. Part 1. The Case of NO2 and NH2 Groups in Their Mono-Substituted Derivatives of Simple Benzenoid Hydrocarbons. Struct. Chem. 2021, 32, 915–923. [Google Scholar] [CrossRef]
- Jabłoński, M.; Krygowski, T.M. Dependence of the Substituent Energy on the Level of Theory. J. Comput. Chem. 2021, 2021, 2079–2088. [Google Scholar] [CrossRef]
- Lee, C.; Yang, W.; Parr, R.G. Development of the Colle-Salvetti Correlation-Energy Formula into a Functional of the Electron Density. Phys. Rev. B 1988, 37, 785–789. [Google Scholar] [CrossRef] [Green Version]
- Krishnan, R.; Binkley, J.S.; Seeger, R.; Pople, J.A. Self-consistent Molecular Orbital Methods. XX. A Basis Set for Correlated Wave Functions. J. Chem. Phys. 1980, 72, 650–654. [Google Scholar] [CrossRef]
- Frisch, M.J.; Trucks, G.W.; Schlegel, H.B.; Scuseria, G.E.; Robb, M.A.; Cheeseman, J.R.; Scalmani, G.; Barone, V.; Petersson, G.A.; Nakatsuji, H.; et al. Gaussian 16, Revision C.01; J. Gaussian Inc.: Wallingford, CT, USA, 2016. [Google Scholar]
- Sadlej-Sosnowska, N. On the Way to Physical Interpretation of Hammett Constants: How Substituent Active Space Impacts on Acidity and Electron Distribution in p-Substituted Benzoic Acid Molecules. Pol. J. Chem. 2007, 81, 1123–1134. [Google Scholar]
- Sadlej-Sosnowska, N. Substituent Active Region—A Gate for Communication of Substituent Charge with the Rest of a Molecule: Monosubstituted Benzenes. Chem. Phys. Lett. 2007, 447, 192–196. [Google Scholar] [CrossRef]
- Hirshfeld, F.L. Bonded-Atom Fragments for Describing Molecular Charge Densities. Theoret. Chim. Acta 1977, 44, 129–138. [Google Scholar] [CrossRef]
- Ozimiński, W.P.; Dobrowolski, J.C. σ- and π -Electron Contributions to the Substituent Effect: Natural Population Analysis. J. Phys. Org. Chem. 2009, 22, 769–778. [Google Scholar] [CrossRef]
- Mazurek, A.; Dobrowolski, J.C. Heteroatom Incorporation Effect in σ- and π-Electron Systems: The SEDA(II) and PEDA(II) Descriptors. J. Org. Chem. 2012, 77, 2608–2618. [Google Scholar] [CrossRef] [PubMed]
- Szatylowicz, H.; Jezuita, A.; Ejsmont, K.; Krygowski, T.M. Substituent Effect on the σ- and π-Electron Structure of the Nitro Group and the Ring in Meta- and Para -Substituted Nitrobenzenes. J. Phys. Chem. A 2017, 121, 5196–5203. [Google Scholar] [CrossRef] [PubMed]
- Glendening, E.D.; Landis, C.R.; Weinhold, F. NBO 6.0: Natural Bond Orbital Analysis Program. J. Comput. Chem. 2013, 34, 1429–1437. [Google Scholar] [CrossRef] [PubMed]
- Todd, A.; Keith, T.K. Gristmill Software, Overland Park KS, AIMAll (Version 19.10.12), USA. 2019. Available online: Aim.tkgristmill.com (accessed on 26 September 2021).
- Johnson, E.R.; Keinan, S.; Mori-Sánchez, P.; Contreras-García, J.; Cohen, A.J.; Yang, W. Revealing Noncovalent Interactions. J. Am. Chem. Soc. 2010, 132, 6498–6506. [Google Scholar] [CrossRef] [Green Version]
- Kozuch, S.; Martin, J.M.L. Halogen Bonds: Benchmarks and Theoretical Analysis. J. Chem. Theory Comput. 2013, 9, 1918–1931. [Google Scholar] [CrossRef]
- Dalvit, C.; Invernizzi, C.; Vulpetti, A. Fluorine as a Hydrogen-Bond Acceptor: Experimental Evidence and Computational Calculations. Chem. Eur. J. 2014, 20, 11058–11068. [Google Scholar] [CrossRef]
- Lu, T.; Chen, F. Multiwfn: A Multifunctional Wavefunction Analyzer. J. Comput. Chem. 2012, 33, 580–592. [Google Scholar] [CrossRef] [PubMed]
- Murray, J.S.; Politzer, P. The Electrostatic Potential: An Overview. WIREs Comput. Mol. Sci. 2011, 1, 153–163. [Google Scholar] [CrossRef]
- Lu, T.; Chen, F. Quantitative Analysis of Molecular Surface Based on Improved Marching Tetrahedra Algorithm. J. Mol. Graph. Model. 2012, 38, 314–323. [Google Scholar] [CrossRef]
- Humphrey, W.; Dalke, A.; Schulten, K. VMD—Visual Molecular Dynamics. J. Molec. Graph. 1996, 14, 33–38. [Google Scholar] [CrossRef]
- Hansch, C.; Leo, A.; Taft, R.W. A Survey of Hammett Substituent Constants and Resonance and Field Parameters. Chem. Rev. 1991, 91, 165–195. [Google Scholar] [CrossRef]
- Koch, U.; Popelier, P.L.A. Characterization of C-H-O Hydrogen Bonds on the Basis of the Charge Density. J. Phys. Chem. 1995, 99, 9747–9754. [Google Scholar] [CrossRef]
- Walsh, A.D. The properties of bonds involving carbon. Discuss. Faraday Soc. 1947, 2, 18–25. [Google Scholar] [CrossRef]
- Bent, H.A. An Appraisal of Valence-bond Structures and Hybridization in Compounds of the First-row elements. Chem. Rev. 1961, 61, 275–311. [Google Scholar] [CrossRef]
- Cavallo, G.; Metrangolo, P.; Milani, R.; Pilati, T.; Priimagi, A.; Resnati, G.; Terraneo, G. The Halogen Bond. Chem. Rev. 2016, 116, 2478–2601. [Google Scholar] [CrossRef] [PubMed] [Green Version]








| X = NO2 | X = NH2 | X = Cl | |||||
|---|---|---|---|---|---|---|---|
| R-X | Int. | Erel | Erel-add | Erel | Erel-add | Erel | Erel-add |
| 2-X-pyridine | (o) | 2.27 | −6.71 | −1.50 | |||
| 3-X-pyridine | (m) | 2.63 | 0.04 | 1.01 | |||
| 4-X-pyridine | (p) | 3.01 | −3.02 | 0.23 | |||
| 2-X-pyrimidine | (o, o) | 6.29 | 4.54 | −11.99 | −13.42 | −0.51 | −3.00 |
| 4-X-pyrimidine | (o, p) | 4.97 | 5.28 | −10.08 | −9.73 | −1.35 | −1.27 |
| 5-X-pyrimidine | (m, m) | 5.29 | 5.26 | −0.05 | 0.08 | 1.99 | 2.02 |
| X-pyrazine | (o, m) | 5.02 | 4.90 | −6.99 | −6.67 | −0.60 | −0.49 |
| X-triazine | (o, o, p) | 8.55 | 7.55 | −15.84 | −16.44 | −0.56 | −2.77 |
| 2-X-quinoline | (o) | 1.74 | 1.89 | −7.61 | −6.89 | −2.25 | −1.50 |
| 3-X-quinoline | (m) | 1.95 | 2.25 | 0.03 | −0.14 | 0.92 | 1.01 |
| 4-X-quinoline | (p) | 6.10 | 7.55 | −2.19 | −2.06 | 0.67 | 0.23 |
| 5-X-quinoline | 4.12 | 4.54 | 1.01 | 0.96 | 0.94 | ||
| 6-X-quinoline | 0.59 | −0.38 | −0.49 | −0.18 | 0.39 | ||
| 7-X-quinoline | 1.13 | −0.38 | −1.08 | −0.18 | 0.35 | ||
| 8-X-quinoline | 7.33 | 4.54 | −3.38 | 0.96 | 2.60 | ||
| X = NO2 | X = NH2 | X = Cl | |||||||
|---|---|---|---|---|---|---|---|---|---|
| R-X | cSAR | ∆pEDA | ∆sEDA | cSAR | ∆pEDA | ∆sEDA | cSAR | ∆pEDA | ∆sEDA |
| 2-X-pyridine | −0.078 | −0.032 | 0.002 | 0.163 | −0.053 | 0.065 | 0.016 | −0.015 | −0.002 |
| 3-X-pyridine | −0.128 | −0.010 | −0.024 | 0.103 | −0.042 | 0.060 | −0.030 | −0.002 | −0.017 |
| 4-X-pyridine | −0.097 | −0.024 | −0.019 | 0.140 | −0.049 | 0.060 | −0.004 | −0.011 | −0.012 |
| 2-X-pyrimidine | 0.000 | −0.166 | 0.096 | 0.244 | −0.068 | 0.057 | 0.083 | −0.031 | −0.016 |
| 4-X-pyrimidine | −0.038 | −0.042 | −0.016 | 0.213 | −0.064 | −0.041 | 0.054 | −0.027 | −0.010 |
| 5-X-pyrimidine | −0.118 | −0.013 | −0.019 | 0.113 | −0.042 | −0.023 | −0.020 | −0.005 | −0.029 |
| X-pyrazine | −0.065 | −0.035 | −0.004 | 0.181 | −0.056 | 0.068 | 0.031 | −0.016 | 0.005 |
| X-triazine | 0.043 | −0.207 | 0.114 | 0.292 | −0.075 | 0.058 | 0.124 | −0.039 | 0.000 |
| 2-X-quinoline | −0.079 | −0.034 | −0.016 | 0.172 | −0.074 | −0.014 | 0.017 | −0.019 | −0.009 |
| 3-X-quinoline | −0.143 | −0.014 | −0.017 | 0.103 | −0.045 | −0.011 | −0.035 | −0.003 | −0.004 |
| 4-X-quinoline | −0.093 | −0.102 | 0.063 | 0.143 | −0.063 | −0.013 | 0.008 | −0.010 | −0.008 |
| 5-X-quinoline | −0.127 | −0.057 | 0.046 | 0.101 | −0.054 | 0.077 | −0.021 | −0.003 | −0.002 |
| 6-X-quinoline | −0.137 | −0.013 | −0.018 | 0.108 | −0.054 | 0.074 | −0.032 | −0.003 | −0.008 |
| 7-X-quinoline | −0.130 | −0.017 | −0.019 | 0.115 | −0.048 | 0.063 | −0.027 | −0.005 | −0.011 |
| 8-X-quinoline | −0.130 | −0.195 | 0.128 | 0.104 | −0.053 | 0.057 | −0.028 | −0.010 | −0.020 |
| X = NO2 | X = NH2 | |||||||||
|---|---|---|---|---|---|---|---|---|---|---|
| R-X | dCN | ∠ONO | ∆α | dNO(H) | dNO(N) | dCN | ∠HNH | ∆α | dNH(H) | dNH(N) |
| 2-X-pyridine | 1.509 | 125.7 | 2.46 | 1.227 | 1.213 | 1.383 | 115.3 | −1.14 | 1.007 | 1.009 |
| 3-X-pyridine | 1.478 | 125.1 | 2.27 | 1.224 | 1.223 | 1.394 | 112.5 | −1.40 | 1.009 | 1.009 |
| 4-X-pyridine | 1.488 | 125.3 | 2.53 | 1.222 | 1.222 | 1.383 | 114.1 | −1.63 | 1.008 | 1.008 |
| 2-X-pyrimidine | 1.503 | 127.0 | 3.13 | 1.218 | 1.218 | 1.363 | 119.4 | −0.75 | 1.006 | 1.006 |
| 4-X-pyrimidine | 1.515 | 126.3 | 2.66 | 1.225 | 1.211 | 1.366 | 117.6 | −1.32 | 1.006 | 1.008 |
| 5-X-pyrimidine | 1.474 | 125.5 | 2.30 | 1.223 | 1.223 | 1.388 | 112.8 | −1.37 | 1.009 | 1.009 |
| X-pyrazine | 1.504 | 126.1 | 2.27 | 1.226 | 1.213 | 1.377 | 115.7 | −1.14 | 1.007 | 1.009 |
| X-triazine | 1.500 | 127.6 | 3.22 | 1.216 | 1.216 | 1.349 | 120.9 | −0.90 | 1.006 | 1.006 |
| 2-X-quinoline | 1.512 | 125.6 | 2.40 | 1.227 | 1.213 | 1.382 | 115.4 | −1.01 | 1.008 | 1.009 |
| 3-X-quinoline | 1.473 | 124.9 | 2.20 | 1.225 | 1.225 | 1.393 | 112.5 | −1.25 | 1.009 | 1.009 |
| 4-X-quinoline | 1.484 | 125.0 | 2.17 | 1.224 | 1.223 | 1.382 | 113.5 | −1.73 | 1.007 | 1.008 |
| 5-X-quinoline | 1.479 | 124.3 | 1.87 | 1.227 | 1.224 | 1.399 | 111.2 | −1.52 | 1.010 | 1.010 |
| 6-X-quinoline | 1.480 | 124.7 | 2.25 | 1.225 | 1.225 | 1.394 | 112.6 | −1.32 | 1.009 | 1.009 |
| 7-X-quinoline | 1.482 | 124.8 | 2.20 | 1.223 | 1.225 | 1.392 | 112.9 | −1.40 | 1.009 | 1.009 |
| 8-X-quinoline | 1.478 | 125.7 | 2.05 | 1.225 | 1.218 | 1.377 | 116.3 | −1.87 | 1.007 | 1.010 |
| 2-Cl-Pyridine | 3-Cl-Pyridine | 4-Cl-Pyridine | 2-Cl-Pyrimidine | 4-Cl-Pyrimidine | 5-Cl-Pyrimidine | Cl-Pyrazine | Cl-Triazine | 2-Cl-Quinoline | 3-Cl-Quinoline | 4-Cl-Quinoline | 5-Cl-Quinoline | 6-Cl-Quinoline | 7-Cl-Quinoline | 8-Cl-Quinoline | |
|---|---|---|---|---|---|---|---|---|---|---|---|---|---|---|---|
| dCCl | 1.763 | 1.754 | 1.751 | 1.75 | 1.752 | 1.746 | 1.754 | 1.741 | 1.767 | 1.754 | 1.755 | 1.762 | 1.758 | 1.758 | 1.748 |
| ∆α | 1.26 | 1.28 | 1.2 | 1.09 | 1.03 | 1.18 | 1.05 | 0.97 | 1.34 | 1.38 | 1.17 | 1.22 | 1.41 | 1.33 | 0.73 |
| Erel | dCN | ∠YNY | ∆α | α | cSAR | dNY(H) | dNY(N) | ∆pEDA | ∆sEDA | |||||||||||
|---|---|---|---|---|---|---|---|---|---|---|---|---|---|---|---|---|---|---|---|---|
| Erel | 0.19 | 0.89 | 0.74 | 0.55 | 0.82 | −0.79 | −0.22 | −0.83 | 0.79 | |||||||||||
| dCN | 0.97 | 0.55 | 0.41 | 0.73 | 0.62 | 0.09 | −0.95 | −0.34 | 0.31 | |||||||||||
| ∠YNY | −0.99 | −0.98 | 0.89 | 0.86 | 0.98 | −0.72 | −0.49 | −0.93 | 0.91 | |||||||||||
| ∆α | −0.78 | −0.70 | 0.79 | 0.83 | 0.92 | −0.86 | −0.22 | −0.95 | 0.92 | |||||||||||
| α | −0.91 | −0.81 | 0.90 | 0.90 | 0.90 | −0.51 | −0.60 | −0.84 | 0.85 | |||||||||||
| cSAR | −0.99 | −0.99 | 0.99 | 0.78 | 0.88 | −0.70 | −0.53 | −0.93 | 0.89 | |||||||||||
| dNY(H) | 0.97 | 0.94 | −0.96 | −0.67 | −0.87 | −0.95 | −0.23 | 0.87 | −0.85 | |||||||||||
| dNY(N) | 0.83 | 0.89 | −0.89 | −0.66 | −0.74 | −0.88 | 0.78 | 0.22 | −0.19 | |||||||||||
| ∆pEDA | 0.99 | 0.98 | −0.99 | −0.76 | −0.89 | −0.99 | 0.97 | 0.87 | −0.99 | |||||||||||
| ∆sEDA | −0.11 | 0.00 | 0.08 | 0.28 | 0.33 | 0.09 | 0.00 | −0.14 | −0.08 | |||||||||||
| Erel | dCCl | ∆α | α | cSAR | ∆pEDA | ∆sEDA | |||||||||
|---|---|---|---|---|---|---|---|---|---|---|---|---|---|---|---|
| −0.41 | 0.38 | −0.75 | −0.58 | 0.63 | −0.76 | Erel | |||||||||
| 0.58 | −0.02 | −0.45 | 0.41 | 0.24 | dCCl | ||||||||||
| −0.55 | −0.84 | 0.83 | −0.43 | ∆α | |||||||||||
| 0.87 | −0.86 | 0.55 | α | ||||||||||||
| −0.99 | 0.49 | cSAR | |||||||||||||
| −0.47 | ∆pEDA | ||||||||||||||
| ∆sEDA | |||||||||||||||
Publisher’s Note: MDPI stays neutral with regard to jurisdictional claims in published maps and institutional affiliations. |
© 2021 by the authors. Licensee MDPI, Basel, Switzerland. This article is an open access article distributed under the terms and conditions of the Creative Commons Attribution (CC BY) license (https://creativecommons.org/licenses/by/4.0/).
Share and Cite
Wieczorkiewicz, P.A.; Szatylowicz, H.; Krygowski, T.M. Energetic and Geometric Characteristics of the Substituents: Part 2: The Case of NO2, Cl, and NH2 Groups in Their Mono-Substituted Derivatives of Simple Nitrogen Heterocycles. Molecules 2021, 26, 6543. https://doi.org/10.3390/molecules26216543
Wieczorkiewicz PA, Szatylowicz H, Krygowski TM. Energetic and Geometric Characteristics of the Substituents: Part 2: The Case of NO2, Cl, and NH2 Groups in Their Mono-Substituted Derivatives of Simple Nitrogen Heterocycles. Molecules. 2021; 26(21):6543. https://doi.org/10.3390/molecules26216543
Chicago/Turabian StyleWieczorkiewicz, Paweł A., Halina Szatylowicz, and Tadeusz M. Krygowski. 2021. "Energetic and Geometric Characteristics of the Substituents: Part 2: The Case of NO2, Cl, and NH2 Groups in Their Mono-Substituted Derivatives of Simple Nitrogen Heterocycles" Molecules 26, no. 21: 6543. https://doi.org/10.3390/molecules26216543
APA StyleWieczorkiewicz, P. A., Szatylowicz, H., & Krygowski, T. M. (2021). Energetic and Geometric Characteristics of the Substituents: Part 2: The Case of NO2, Cl, and NH2 Groups in Their Mono-Substituted Derivatives of Simple Nitrogen Heterocycles. Molecules, 26(21), 6543. https://doi.org/10.3390/molecules26216543

