Synthesis and Toxicity Evaluation of New Pyrroles Obtained by the Reaction of Activated Alkynes with 1-Methyl-3-(cyanomethyl)benzimidazolium Bromide
Abstract
:1. Introduction
2. Results and Discussions
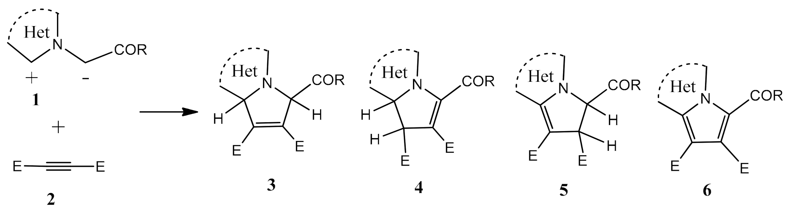
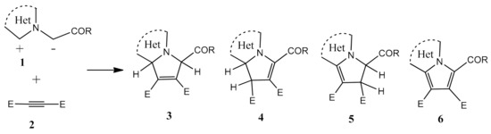
2.1. Chemistry
2.2. Toxicity Evaluation
2.2.1. Plant Toxicity Evaluation
2.2.2. Animal Toxicity Evaluation
Artemia Franciscana Toxicity Assay
Daphnia Magna Toxicity Assay
2.3. Prediction of the Molecular Mechanism of Action and Toxicity
2.3.1. PASS Prediction
2.3.2. Predicted Acute Rat Toxicity
3. Materials and Methods
3.1. Chemistry
3.1.1. Synthesis of 1-Methyl-3-cyanomethyl-benzimidazolium Bromide 13
3.1.2. General Procedure for the Synthesis of Pyrroles 17a–f
3.2. Toxicity Evaluation
3.2.1. Phytotoxicity Evaluation
3.2.2. Animal Toxicity Assay
Artemia Franciscana Toxicity Assay
Daphnia Magna Toxicity Assay
3.3. Prediction of the Molecular Mechanism of Action and Compounds’ Toxicity
3.4. Statistical Analyses
4. Conclusions
Author Contributions
Funding
Institutional Review Board Statement
Informed Consent Statement
Data Availability Statement
Conflicts of Interest
Sample Availability
References
- Fukuda, T.; Ishibashi, F.; Iwao, M. Synthesis and biological activity of lamellarin alkaloids: An overview. Heterocycles 2011, 83, 491–529. [Google Scholar] [CrossRef] [Green Version]
- Imbri, D.; Tauber, J.; Opatz, T. Synthetic approaches to the lamellarins—A comprehensive review. Mar. Drugs 2014, 12, 6142–6177. [Google Scholar] [CrossRef] [PubMed] [Green Version]
- Fan, H.; Peng, J.; Hamann, M.T.; Hu, J.-F. Lamellarins and related pyrrole-derived alkaloids from marine organisms. Chem. Rev. 2008, 108, 264–287. [Google Scholar] [CrossRef] [PubMed] [Green Version]
- Pla, D.; Albericio, F.; Alvarez, M. Recent Advances in Lamellarin Alkaloids: Isolation, Synthesis and Activity. Anticancer Agents Med. Chem. 2008, 8, 746–760. [Google Scholar] [CrossRef] [Green Version]
- Rostami, H.; Shiri, L. Review on synthesis of pyrrole derivatives promoted by nanoparticles. Appl. Organomet. Chem. 2021, 35, e6209. [Google Scholar] [CrossRef]
- Domagala, A.; Jarosz, T.; Lapkowski, M. Living on pyrrolic foundations—Advances in natural and artificial bioactive pyrrole derivatives. Eur. J. Med. Chem. 2015, 100, 176–187. [Google Scholar] [CrossRef]
- Bhardwaj, V.; Gumber, D.; Abbot, V.; Dhiman, S.; Sharma, P. Pyrrole: A resourceful small molecule in key medicinal hetero-aromatics. RSC Adv. 2015, 5, 15233–15266. [Google Scholar] [CrossRef]
- Ahmad, S.; Alam, O.; Naim, M.J.; Shaquiquzzaman, M.; Alam, M.M.; Iqbal, M. Pyrrole: An insight into recent pharmacological advances with structure activity relationship. Eur. J. Med. Chem. 2018, 157, 527–561. [Google Scholar] [CrossRef]
- Mohamed, M.; Fathallah, S. Pyrroles and Fused Pyrroles: Synthesis and Therapeutic Activities. Mini. Rev. Org. Chem. 2014, 11, 477–507. [Google Scholar] [CrossRef]
- Kaur, R.; Rani, V.; Abbot, V.; Kapoor, Y.; Konar, D.; Kumar, K. Recent synthetic and medicinal perspectives of pyrroles: An overview. J. Pharm. Chem. Chem. Sci. 2017, 1, 17–32. [Google Scholar]
- Anzenbacher, P. Pyrrole-Based Anion Sensors, Part II: Fluorescence, Luminescence, and Electrochemical Sensors. In Anion Recognition in Supramolecular Chemistry; Gale, P.A., Dehaen, W., Eds.; Springer: Berlin/Heidelberg, Germany, 2010; pp. 237–265. [Google Scholar] [CrossRef]
- Yen, Y.-S.; Hsu, Y.-C.; Lin, J.T.; Chang, C.-W.; Hsu, C.-P.; Yin, D.-J. Pyrrole-based organic dyes for dye-sensitized solar cells. J. Phys. Chem. C 2008, 112, 12557–12567. [Google Scholar] [CrossRef]
- Li, H.; Yang, L.; Tang, R.; Hou, Y.; Yang, Y.; Wang, H.; Han, H.; Qin, J.; Li, Q.; Li, Z. Organic dyes incorporating N-functionalized pyrrole as conjugated bridge for dye-sensitized solar cells: Convenient synthesis, additional withdrawing group on the pi-bridge and the suppressed aggregation. Dyes Pigm. 2013, 99, 863–870. [Google Scholar] [CrossRef]
- Zhang, S.; Tan, X.; Liang, C.; Zhang, W. Design, synthesis, and antifungal evaluation of novel coumarin-pyrrole hybrids. J. Heterocycl. Chem. 2021, 58, 450–458. [Google Scholar] [CrossRef]
- Puxeddu, M.; Shen, H.; Bai, R.; Coluccia, A.; Bufano, M.; Nalli, M.; Sebastiani, J.; Brancaccio, D.; Da Pozzo, E.; Tremolanti, C.; et al. Discovery of pyrrole derivatives for the treatment of glioblastoma and chronic myeloid leukemia. Eur. J. Med. Chem. 2021, 221, 113532. [Google Scholar] [CrossRef]
- Akbaşlar, D.; Gülnaz, O.; Alagöz, M.A.; Giray, E.S. Antibacterial activity of some 1, 2, 3, 4-tetrasubstituted pyrrole derivatives and molecular docking studies. Bioorg. Med. Chem. Rep. 2021, 4, 1–9. [Google Scholar] [CrossRef]
- Yang, T.H.; Lee, C.I.; Huang, W.H.; Lee, A.R. Synthesis and evaluation of novel 2-pyrrolidone-fused (2-oxoindolin-3-ylidene)methylpyrrole derivatives as potential multi-target tyrosine kinase receptor inhibitors. Molecules 2017, 22, 913. [Google Scholar] [CrossRef] [Green Version]
- Agarwal, S.; Cammerer, S.; Filali, S.; Frohner, W.; Knoll, J.; Krahl, M.P.; Reddy, K.R.; Knolker, H.J. Novel routes to pyrroles, indoles and carbazoles—Applications in natural product synthesis. Curr. Org. Chem. 2005, 9, 1601–1614. [Google Scholar] [CrossRef]
- Jefford, C.W. Pyrroles as building blocks for the enantioselective synthesis of indolizidines. Curr. Org. Chem. 2000, 4, 205–230. [Google Scholar] [CrossRef]
- Trofimov, B.A.; Sobenina, L.N.; Demenev, A.P.; Mikhaleva, A.I. C-vinylpyrroles as pyrrole building blocks. Chem. Rev. 2004, 104, 2481–2506. [Google Scholar] [CrossRef]
- Orejarena, C.J.; Gomez, L.S.; Palma, A.; Cobo, J.; Nogueras, M. 1-(2-Allylaryl)-1H-pyrroles as Building Blocks for Novel 4-Methyl-4,5-di-hydropyrrolo[1,2-a]quinoline Derivatives. Synlett 2014, 25, 243–246. [Google Scholar] [CrossRef]
- Estevez, V.; Villacampa, M.; Menendez, J.C. Recent advances in the synthesis of pyrroles by multicomponent reactions. Chem. Soc. Rev. 2014, 43, 4633–4657. [Google Scholar] [CrossRef]
- Wang, D.; Fan, Y.; Yu, P.; Desaubry, L. Recent advances in the synthesis of 2,3-dihydropyrroles. Chem. Commun. 2020, 56, 5584–5592. [Google Scholar] [CrossRef]
- Neto, J.S.S.; Zeni, G. Transition Metal-Catalyzed and Metal-Free Cyclization Reactions of Alkynes with Nitrogen-Containing Substrates: Synthesis of Pyrrole Derivatives. ChemCatChem 2020, 12, 3335–3408. [Google Scholar] [CrossRef]
- Babaev, E.V. Pyrroles from oxazoles. Chem. Heterocycl. Compd. 2012, 48, 59–72. [Google Scholar] [CrossRef]
- Cardoso, A.L.; Pinho e Melo, T.M.V.D. Aziridines in Formal [3 + 2] Cycloadditions: Synthesis of Five-Membered Heterocycles. Eur. J. Org. Chem. 2012, 33, 6479–6501. [Google Scholar] [CrossRef]
- Nenajdenko, V.; Muzalevskiy, V.M.; Serdyuk, O. Chemistry of Fluorinated Pyrroles—Fluorine in Heterocyclic Chemistry Volume 1: 5-Membered Heterocycles and Macrocycles; Nenajdenko, V., Ed.; Springer International Publishing: Cham, Switzerland, 2014; pp. 55–115. ISBN 978-3-319-04346-3. [Google Scholar] [CrossRef]
- Medran, N.S.; La-Venia, A.; Testero, S.A. Metal-mediated synthesis of pyrrolines. RSC Adv. 2019, 9, 6804–6844. [Google Scholar] [CrossRef] [Green Version]
- Dumitrascu, F.; Ilies, M.A. Chapter Two—Recent advances in the Nenitzescu indole synthesis (1990–2019). Adv. Heterocycl. Chem. 2021, 133, 65–157. [Google Scholar] [CrossRef]
- De Luca, M.; Ioele, G.; Ragno, G. 1,4-Dihydropyridine Antihypertensive Drugs: Recent Advances in Photostabilization Strategies. Pharmaceutics 2019, 11, 85. [Google Scholar] [CrossRef] [Green Version]
- Mishra, A.P.; Bajpai, A.; Rai, A.K. 1,4-Dihydropyridine: A Dependable Heterocyclic Ring with the Promising and the Most Anticipable Therapeutic Effects. Mini-Rev. Med. Chem. 2019, 19, 1219–1254. [Google Scholar] [CrossRef]
- Dumitrascu, F.; Georgescu, E.; Caira, M.R.; Georgescu, F.; Popa, M.; Draghici, B.; Dumitrescu, D.G. A Novel Approach for the Synthesis of N-Arylpyrroles. Synlett 2009, 20, 3336–3340. [Google Scholar] [CrossRef]
- Caira, M.R.; Georgescu, E.; Barbu, L.; Georgescu, F.; Dumitrascu, F. New tri- and tetra-substituted pyrroles via quinazolinium N1-ylides. Arkivoc 2011, 10, 44–54. [Google Scholar] [CrossRef] [Green Version]
- Dumitrescu, D.; Popa, M.M.; Georgescu, F.; Georgescu, E.; Barbu, L.; Dumitrascu, F. New Substituted Pyrroles Obtained In Searching For Pyrrolo[1,2-a]Quinazoline Framework. Rev. Roum. Chim. 2013, 58, 785–790. [Google Scholar]
- Dumitrescu, D.; Georgescu, E.; Caira, M.R.; Draghici, C.; Dumitrascu, F. A New Synthesis of Pyrroles from Benzimidazolium N-Cyanomethyl Ylides and Alkyne Dipolarophiles. Synlett 2017, 28, 2241–2246. [Google Scholar] [CrossRef]
- Zhang, X.C.; Huang, W.Y. Reaction of 1-alkylbenzimidazolium 3-ylides with ethyl 2,2-dihydropolyfluoroalkanoates. Tetrahedron 1998, 54, 12465–12474. [Google Scholar] [CrossRef]
- Gulevskaya, A.V.; Nelina-Nemtseva, J.I. 1,3-Dipolar cycloaddition reactions of azomethine ylides and alkynes. Chem. Heterocycl. Compd. 2018, 54, 1084–1107. [Google Scholar] [CrossRef]
- Caira, M.R.; Georgescu, E.; Georgescu, F.; Albota, F.; Dumitrascu, F. Contributions to syntheses of pyrrolo[2,1-a]phthalazines. Monatsh. Chem. 2011, 142, 743–748. [Google Scholar] [CrossRef]
- Dumitrascu, F.; Caira, M.R.; Georgescu, E.; Georgescu, F.; Draghici, C.; Popa, M.M. Generation of Pyrrolo[2,1-a]isoquinoline Derivatives from N-ylides: Synthetic Control and Structural Characterization. Heteroat. Chem. 2011, 22, 723–729. [Google Scholar] [CrossRef]
- Caira, M.R.; Popa, M.M.; Draghici, C.; Barbu, L.; Dumitrescu, D.; Dumitrascu, F. 7,8,9,10-Tetrahydropyrrolo[2,1-a]isoquinolines in the search for new indolizine derivatives. Tetrahedron Lett. 2014, 55, 5635–5638. [Google Scholar] [CrossRef]
- Georgescu, E.; Nicolescu, A.; Georgescu, F.; Teodorescu, F.; Shova, S.; Marinoiu, A.T.; Dumitrascu, F.; Deleanu, C. Fine tuning the outcome of 1,3-dipolar cycloaddition reactions of benzimidazolium ylides to activated alkynes. Tetrahedron 2016, 72, 2507–2520. [Google Scholar] [CrossRef]
- Dumitrascu, F.; Georgescu, F.; Georgescu, E.; Caira, M.R. Pyrroloquinolines, imidazoquinolines, and pyrroloquinazolines with a bridgehead nitrogen. Adv. Heterocycl. Chem. 2019, 129, 155–244. [Google Scholar] [CrossRef]
- Tan, L.-Y.; Huang, B.; Xu, S.; Wei, Z.-B.; Yang, L.-Y.; Miao, A.-J. TiO2 Nanoparticle Uptake by the Water Flea Daphnia magna via Different Routes is Calcium-Dependent. Environ. Sci. Technol. 2016, 50, 7799–7807. [Google Scholar] [CrossRef] [PubMed]
- Villegas-Navarro, A.; Rosas-L, E.; Reyes, J.L. The heart of Daphnia magna: Effects of four cardioactive drugs. Comp. Biochem. Physiol. Part. C Toxicol. Pharmacol. 2003, 136, 127–134. [Google Scholar] [CrossRef]
- Filimonov, D.A.; Druzhilovskiy, D.S.; Lagunin, A.A.; Gloriozova, T.A.; Rudik, A.V.; Dmitriev, A.V.; Pogodin, P.V.; Poroikov, V.V. Computer-aided prediction of biological activity spectra for chemical compounds: Opportunities and limitation. Biomed. Chem. Res. Methods 2018, 1, e00004. [Google Scholar] [CrossRef] [Green Version]
- Nifedipine: Uses, Interactions, Mechanism of Action. DrugBank Online. Available online: https://go.drugbank.com/drugs/DB01115 (accessed on 4 October 2021).
- CrysAlisPro Software System, Version 1.171.38.46; Rigaku Corporation: Oxford, UK, 2015.
- Dolomanov, O.V.; Bourhis, L.J.; Gildea, R.J.; Howard, J.A.K.; Puschmann, H. OLEX2: A complete structure solution, refinement and analysis program. J. Appl. Crystallogr. 2009, 42, 339–341. [Google Scholar] [CrossRef]
- Sheldrick, G.M. Crystal structure refinement with SHELXL. Acta Crystallogr. Sect. C-Structural Chem. 2015, 71, 3–8. [Google Scholar] [CrossRef]
- Dinu, M.; Anghel, A.I.; Olaru, O.T.; Seremet, O.C.; Calalb, T.; Cojocaru-Toma, M.; Negres, S.; Hovanet, M.V.; Zbarcea, C.E.; Ancuceanu, R. Toxicity investigation of an extract of Amaranthus retroflexus L. (Amaranthaceae) leaves. Farmacia 2017, 65, 289–294. [Google Scholar]
- Hovanet, M.-V.; Ancuceanu, R.V.; Dinu, M.; Oprea, E.; Budura, E.A.; Negres, S.; Velescu, B.S.; Dutu, L.E.; Anghel, I.A.; Ancu, I.; et al. Toxicity and anti-inflammatory activity of Ziziphus jujuba mill. leaves. Farmacia 2016, 64, 802–808. [Google Scholar]
- Kashtwari, M.; Zargar, S.A.; Wani, A.A. Laboratory Techniques of Studying Plant Chromosomes. In Chromosome Structure and Aberrations; Bhat, T.A., Wani, A.A., Eds.; Springer: New Delhi, India, 2017; pp. 75–107. ISBN 978-81-322-3673-3. [Google Scholar]
- Olajuyigbe, O.O.; Afolayan, A.J. Pharmacological Assessment of the Medicinal Potential of Acacia mearnsii De Wild.: Antimicrobial and Toxicity Activities. Int. J. Mol. Sci. 2012, 13, 4255–4267. [Google Scholar] [CrossRef] [Green Version]
- Apu, A.S.; Muhit, M.A.; Tareq, S.M.; Pathan, A.H.; Jamaluddin, A.T.M.; Ahmed, M. Antimicrobial Activity and Brine Shrimp Lethality Bioassay of the Leaves Extract of Dillenia indica Linn. J. Young Pharm. 2010, 2, 50–53. [Google Scholar] [CrossRef] [Green Version]
- Cock, I.E.; Kalt, F.R. Toxicity evaluation of Xanthorrhoea johnsonii leaf methanolic extract using the Artemia franciscana bioassay. Pharmacogn. Mag. 2010, 6, 166–171. [Google Scholar] [CrossRef] [Green Version]
- Lupascu, G.; Pahontu, E.; Shova, S.; Barbuceanu, S.F.; Ilies, D.C.; Badea, M.; Paraschivescu, C.; Ducu, C.; Neamtu, J.; Dinu, M.; et al. Synthesis, characterization, crystal structure and toxicity evaluation of Co (II), Cu (II), Mn (II), Ni (II), Pd (II) and Pt (II) complexes with Schiff base derived from 2-chloro-5-(trifluoromethyl)aniline. Appl. Organomet. Chem. 2020, 34, e5931. [Google Scholar] [CrossRef]
- Lupascu, G.; Pahontu, E.; Shova, S.; Barbuceanu, S.F.; Badea, M.; Paraschivescu, C.; Neamtu, J.; Dinu, M.; Ancuceanu, R.V.; Draganescu, D.; et al. Co (II), Cu (II), Mn (II), Ni (II), Pd (II), and Pt (II) complexes of bidentate Schiff base ligand: Synthesis, crystal structure, and acute toxicity evaluation. Appl. Organomet. Chem. 2021, 35, e6149. [Google Scholar] [CrossRef]
- Stecoza, C.E.; Nitulescu, G.M.; Draghici, C.; Caproiu, M.T.; Olaru, O.T.; Bostan, M.; Mihaila, M. Synthesis and anticancer evaluation of new 1,3,4-oxadiazole derivatives. Pharmaceuticals 2021, 14, 438. [Google Scholar] [CrossRef]
- Nitulescu, G.; Nicorescu, I.M.; Olaru, O.T.; Ungurianu, A.; Mihai, D.P.; Zanfirescu, A.; Nitulescu, G.M.; Margina, D. Molecular Docking and Screening Studies of New Natural Sortase A Inhibitors. Int. J. Mol. Sci. 2017, 18, 2217. [Google Scholar] [CrossRef] [Green Version]
- Olaru, O.T.; Venables, L.; Van De Venter, M.; Nitulescu, G.M.; Margina, D.; Spndidos, D.A.; Tsatsakis, A.M. Anticancer potential of selected Fallopia Adans species. Oncol. Lett. 2015, 10, 1323–1332. [Google Scholar] [CrossRef] [Green Version]
- Nitulescu, G.; Mihai, D.P.; Nicorescu, I.M.; Olaru, O.T.; Ungurianu, A.; Zanfirescu, A.; Nitulescu, G.M.; Margina, D. Discovery of natural naphthoquinones as sortase A inhibitors and potential anti-infective solutions against Staphylococcus aureus. Drug Dev. Res. 2019, 80, 1136–1145. [Google Scholar] [CrossRef]
- Zakharov, A.V.; Peach, M.L.; Sitzmann, M.; Nicklaus, M.C. A new approach to radial basis function approximation and its application to QSAR. J. Chem. Inf. Model. 2014, 54, 713–719. [Google Scholar] [CrossRef]
- Bates, D.; Mächler, M.; Bolker, B.M.; Walker, S.C. Fitting linear mixed-effects models using lme4. J. Stat. Softw. 2015, 67, 1–48. [Google Scholar] [CrossRef]
- Koller, M. Robustlmm: An R package for Robust estimation of linear Mixed-Effects models. J. Stat. Softw. 2016, 75, 1–24. [Google Scholar] [CrossRef] [Green Version]
- Kuznetsova, A.; Brockhoff, P.B.; Christensen, R.H.B. lmerTest Package: Tests in Linear Mixed Effects Models. J. Stat. Softw. 2017, 82, 1–26. [Google Scholar] [CrossRef] [Green Version]
- Fox, J.; Weisberg, S. An R Companion to Applied Regression: Appendices. Available online: https://socialsciences.mcmaster.ca/jfox/Books/Companion/ (accessed on 9 October 2021).
- Wang, J.; Zamar, R.; Marazzi, A.; Yohai, V.; Salibian-Barrera, M.; Maronna, R.; Zivot, E.; Rocke, D.; Martin, D.; Maechler, M.; et al. Robust: Port of the S+ “Robust Library”. R Package Version 0.4-18.1. 2019. Available online: https://CRAN.R-project.org/package=robust (accessed on 9 October 2021).
- Maechler, M.; Rousseeuw, P.; Croux, C.; Todorov, V.; Ruckstuhl, A.; Salibian-Barrera, M.; Verbeke, T.; Koller, M.; Conceicao, E.L.T.; di Palma, M.A. CRAN—Package Robustbase. Available online: https://cran.r-project.org/web/packages/robustbase/index.html (accessed on 4 October 2021).
- Venables, W.N.; Ripley, B.D. Modern Applied Statistics with S [Internet], 4th ed.; Springer: New York, NY, USA, 2002; Available online: http://www.stats.ox.ac.uk/pub/MASS4 (accessed on 9 October 2021).
- Peña, E.A.; Slate, E.H. Global Validation of Linear Model Assumptions. J. Am. Stat. Assoc. 2006, 101, 341. [Google Scholar] [CrossRef] [PubMed]
- Behrendt, S. lm.beta: Add Standardized Regression Coefficients to lm-Objects. Available online: https://cran.r-project.org/package=lm.beta (accessed on 1 October 2021).
- Wickham, H. ggplot2: Elegant Graphics for Data Analysis; Springer: New York, NY, USA, 2016. [Google Scholar]













| Chemical Formula | C15H15N3O2 |
|---|---|
| Mr | 269.30 |
| Crystal system | monoclinic |
| Space group | P21/c |
| Temperature (K) | 180 |
| a, b, c (Å) | 11.3092(4), 11.6261(4), 10.8025(4) |
| β(°) | 96.930(4) |
| V(Å3) | 1409.96(10) |
| Z | 4 |
| ρcalcd (g cm−3) | 1.269 |
| Crystal size (mm) | 0.30 × 0.20 × 0.15 |
| μ (MoKα) (mm−1) | 0.087 |
| 2Θ range | 3.628 to 58.318 |
| Reflections collected | 8712 |
| Independent reflections | 3261 |
| Rint | 0.0280 |
| No. of parameters | 183 |
| No. of restraints | 0 |
| R1obs | 0.0477 |
| wR2obs | 0.1008 |
| R1all | 0.0703 |
| wR2all | 0.1137 |
| GOF | 1.037 |
| F(000) | 568 |
| completeness Θmax | 99.99% |
| largest diff. peak/hole (e Å–3) | 0.15/−0.25 |
| CCDC No. | 2007999 |
| Compound | LC 15024h (µM) | 95% CI 224h (µM) | LC5048h (µM) | 95% CI48h (µM) |
|---|---|---|---|---|
| 13 | 259.9 | 222.4–303.7 | 136.0 | 110.2–167.9 |
| 17a | 179.6 | 127.6–252.9 | 64.8 | 47.77–87.86 |
| 17b | 121.3 | 89.7–164.0 | ND * | 13.27–43.19 |
| 17c | ND * | 3.0–134.2 | ND * | ND * |
| 17d | 889.6 | 850.7–930.2 | 410.4 | ND ** |
| 17e | 970.6 | 892.7–1055 | 496.2 | 408.9–602.1 |
| 17f | 149.6 | 119.0–188.1 | ND * | ND * |
| Nifedipine | ND * | ND * | 8.3 | 7.1–9.7 |
| Activity | 17a | 17b | 17c | 17d | 17e | 17f | Nifedipine |
|---|---|---|---|---|---|---|---|
| Anti-ischemic cerebral | 0.43 | 0.53 | 0.59 | 0.67 | 0.38 | 0.46 | 0.65 |
| Anti-ischemic | 0.28 | 0.36 | 0.35 | 0.41 | 0.34 | 0.33 | 0.87 |
| Antianginal | - | 0.44 | 0.48 | 0.55 | 0.38 | 0.43 | 0.81 |
| Calcium channel (voltage-sensitive) activator | 0.36 | 0.45 | 0.43 | - | 0.53 | 0.51 | 0.68 |
| Cardiotonic | 0.33 | 0.38 | 0.39 | 0.41 | 0.45 | 0.46 | 0.41 |
| Calcium channel blocker | - | 0.29 | 0.34 | 0.32 | 0.28 | 0.32 | 0.72 |
| Antihypertensive | - | 0.30 | 0.32 | 0.39 | 0.20 | 0.23 | 0.97 |
| Activity | 17a | 17b | 17c | 17d | 17e | 17f |
|---|---|---|---|---|---|---|
| Anti-arthritic | 0.67 | 0.61 | 0.58 | 0.51 | - | - |
| Interleukin antagonist | 0.63 | 0.54 | 0.50 | 0.48 | - | - |
| Interleukin 2 antagonist | 0.48 | 0.43 | 0.38 | 0.36 | - | - |
| Rheumatoid arthritis treatment | 0.40 | 0.46 | 0.46 | 0.37 | 0.36 | 0.37 |
| Compound | Oral LD50 (mg/kg) | Oral LD50 Class | IV LD50 (mg/kg) | IV LD50 Class |
|---|---|---|---|---|
| 17a | 1984 | 4 | 65.75 | 4 |
| 17b | 1412 * | 4 * | 71.56 | 4 |
| 17c | 981 | 4 | 67.30 | 4 |
| 17d | 809.8 * | 4 * | 40.72 | 4 |
| 17e | 1735 * | 4 * | 120.60 | 4 |
| 17f | 914.6 | 4 | 85.54 | 4 |
| nifedipine | 1225 | 4 | 57.46 | 4 |
| 18a | 513.6 * | 4 * | 23.99 | 3 |
| 18b | 1792 | 4 | 69.14 | 4 |
| 18c | 877.6 * | 4 | 46.77 | 4 |
| 18d | 506.4 | 4 | 40.00 | 3 |
Publisher’s Note: MDPI stays neutral with regard to jurisdictional claims in published maps and institutional affiliations. |
© 2021 by the authors. Licensee MDPI, Basel, Switzerland. This article is an open access article distributed under the terms and conditions of the Creative Commons Attribution (CC BY) license (https://creativecommons.org/licenses/by/4.0/).
Share and Cite
Ivan, B.-C.; Dumitrascu, F.; Anghel, A.I.; Ancuceanu, R.V.; Shova, S.; Dumitrescu, D.; Draghici, C.; Olaru, O.T.; Nitulescu, G.M.; Dinu, M.; et al. Synthesis and Toxicity Evaluation of New Pyrroles Obtained by the Reaction of Activated Alkynes with 1-Methyl-3-(cyanomethyl)benzimidazolium Bromide. Molecules 2021, 26, 6435. https://doi.org/10.3390/molecules26216435
Ivan B-C, Dumitrascu F, Anghel AI, Ancuceanu RV, Shova S, Dumitrescu D, Draghici C, Olaru OT, Nitulescu GM, Dinu M, et al. Synthesis and Toxicity Evaluation of New Pyrroles Obtained by the Reaction of Activated Alkynes with 1-Methyl-3-(cyanomethyl)benzimidazolium Bromide. Molecules. 2021; 26(21):6435. https://doi.org/10.3390/molecules26216435
Chicago/Turabian StyleIvan, Beatrice-Cristina, Florea Dumitrascu, Adriana Iuliana Anghel, Robert Viorel Ancuceanu, Sergiu Shova, Denisa Dumitrescu, Constantin Draghici, Octavian Tudorel Olaru, George Mihai Nitulescu, Mihaela Dinu, and et al. 2021. "Synthesis and Toxicity Evaluation of New Pyrroles Obtained by the Reaction of Activated Alkynes with 1-Methyl-3-(cyanomethyl)benzimidazolium Bromide" Molecules 26, no. 21: 6435. https://doi.org/10.3390/molecules26216435
APA StyleIvan, B.-C., Dumitrascu, F., Anghel, A. I., Ancuceanu, R. V., Shova, S., Dumitrescu, D., Draghici, C., Olaru, O. T., Nitulescu, G. M., Dinu, M., & Barbuceanu, S.-F. (2021). Synthesis and Toxicity Evaluation of New Pyrroles Obtained by the Reaction of Activated Alkynes with 1-Methyl-3-(cyanomethyl)benzimidazolium Bromide. Molecules, 26(21), 6435. https://doi.org/10.3390/molecules26216435

