Extraction and Stabilization of Betalains from Beetroot (Beta vulgaris) Wastes Using Deep Eutectic Solvents
Abstract
:1. Introduction
2. Results and Discussion
2.1. Chemical Structure of DES
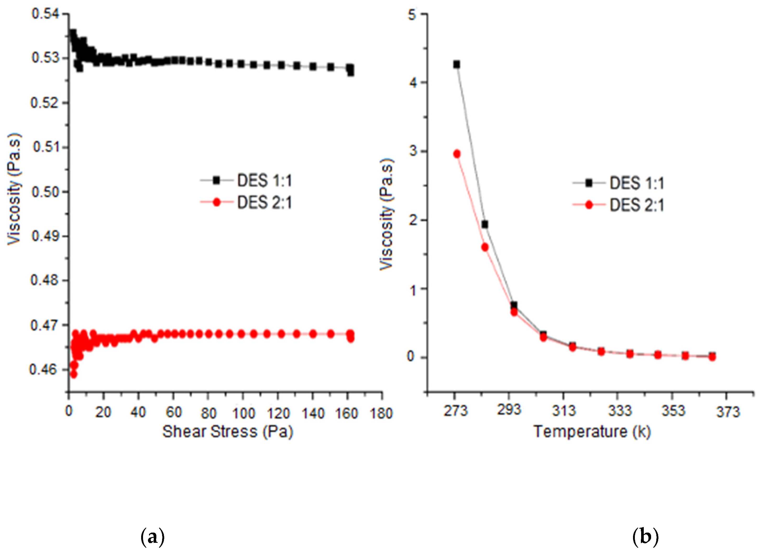
2.2. Viscosity Behaviour of DES
2.3. Physicochemical Characteristics of DES
2.4. Beetroot Betalain Extraction by DES
2.5. Stabilization Analysis of Betalains in DES Extracts by Environmental Conditions of Light and Oxygen
3. Materials and Methods
3.1. Preparation and Determination of DES Characteristics
3.2. Beet Betalain Extraction by DES
3.3. Stabilization Analysis of Betalains in DES by Environmental Conditions of Light and Oxygen
3.4. Statistical Analysis
4. Conclusions
Author Contributions
Funding
Institutional Review Board Statement
Informed Consent Statement
Data Availability Statement
Conflicts of Interest
Sample Availability
References
- Deng, Q.; Penner, M.; Zhao, Y. Chemical composition of dietary fiberand polyphenols of five different varieties of wine grape pomace skins. Food Res. Int. 2011, 44, 2712–2720. [Google Scholar] [CrossRef]
- Sagar, N.A.; Pareek, S.; Sharma, S.; Yahia, E.M.; Lobo, M.G. Fruit and Vegetable Waste: Bioactive Compounds, Their Extraction, and Possible Utilization. Comp. Rev. Food Sci. Food Saf. 2018, 17, 512–531. [Google Scholar] [CrossRef] [Green Version]
- Castellar, M.R.; Obón, J.M.; Fernández-López, J.A. The isolation and properties of a concentrated red-purple betacyanin food colorant from Opuntia stricta fruits. J. Sci. Food Agric. 2006, 86, 122–128. [Google Scholar] [CrossRef]
- Delgado-Vargas, F.; Jiménez, A.R.; Paredes-López, O. Natural Pigments: Carotenoids, anthocyanins, and betalains characteristics, biosynthesis, processing, and stability. Crit. Rev. Food Sci. Nutr. 2000, 40, 173–289. [Google Scholar] [CrossRef] [PubMed]
- Galaffu, N.; Bortlik, K.; Michel, M. An industry perspective on natural food colour stability. In Colour Additives for Foods and Beverages; Scotter, M.J., Ed.; Woodhead Publishing: Oxford, UK, 2015; pp. 91–130. [Google Scholar] [CrossRef]
- Esquivel, P. Betalains. In Handbook on Natural Pigments in Food and Beverages; Carle, R., Schweiggert, R.M., Eds.; Woodhead Publishing: Oxford, UK, 2016; pp. 81–99. ISBN 9780081003923. [Google Scholar]
- Chemat, F.; Rombaut, N.; Meullemiestre, A.; Turk, M.; Perino, S.; Fabiano-Tixier, A.S.; Abert-Vian, M. Review of Green Food Processing techniques. Preservation, transformation, and extraction. Innov. Food Sci. Emerg. Technol. 2017, 41, 357–377. [Google Scholar] [CrossRef]
- Benvenutti, L.; Zielinski, A.A.F.; Ferreira, S.R.S. Which is the best food emerging solvent: IL, DES or NADES? Trends Food Sci. Technol. 2019, 90, 133–146. [Google Scholar] [CrossRef]
- Wu, K.; Su, T.; Hao, D.; Liao, W.; Zhao, Y.; Ren, W.; Deng, C.; Lü, H. Choline chloride-based deep eutectic solvents for efficient cycloaddition of CO(2) with propylene oxide. Chem. Commun. 2018, 54, 9579–9582. [Google Scholar] [CrossRef] [PubMed]
- Xia, Q.; Liu, Y.; Meng, J.; Cheng, W.; Chen, W.; Liu, S.; Liu, Y.; Li, J.; Yu, H. Multiple hydrogen bond coordination in three-constituent deep eutectic solvent enhances lignin fractionation from biomass. Green Chem. 2018, 20, 2711–2721. [Google Scholar] [CrossRef]
- Passos, H.; Freire, M. Ionic Liquid Solutions as Extractive Solvents for Value-Added Compounds from Biomass. Green Chem. 2014, 16, 4786–4815. [Google Scholar] [CrossRef] [Green Version]
- Stefanovic, R.; Ludwig, M.; Webber, G.; Atkin, R.; Page, A. Nanostructure, hydrogen bonding and rheology in choline chloride deep eutectic solvents as a function of the hydrogen bond donor. Phys. Chem. Chem. Phys. 2017, 19, 3297–3306. [Google Scholar] [CrossRef]
- Passos, H.; Dinis, T.B.V.; Cláudio, A.F.M.; Freire, M.G.; Coutinho, J.A.P. Hydrogen bond basicity of ionic liquids and molar entropy of hydration of salts as major descriptors in the formation of aqueous biphasic systems. Phys. Chem. Chem. Phys. 2018, 20, 14234–14241. [Google Scholar] [CrossRef] [PubMed]
- Ivanovi’c, M.; Razboršek, M.I.; Kolar, M. Innovative extraction techniques using Deep Eutectic Solvents and analytical methods for the isolation and characterization of natural bioactive compounds from plant material. Plants 2020, 9, 1428. [Google Scholar] [CrossRef] [PubMed]
- Ameer, H.M.; Shahbaz, H.M.; Kwon, J.H. Green Extraction Methods for Polyphenols from Plant Matrices and Their Byproducts: A Review. Compr. Rev. Food Sci. Food Saf. 2017, 16, 295–315. [Google Scholar] [CrossRef] [PubMed] [Green Version]
- Cunha, S.C.; Fernandes, J.O. Extraction techniques with deep eutectic solvents. TrAC Trends Anal. Chem. 2018, 105, 225–239. [Google Scholar] [CrossRef]
- Vanda, H.; Dai, Y.; Wilson, E.G.; Verpoorte, R.; Choi, Y.H. Green solvents from ionic liquids and deep eutectic solvents to natural deep eutectic solvents. C. R. Chim. 2018, 21, 628–638. [Google Scholar] [CrossRef]
- Renard, C.M.G.C. Extraction of bioactives from fruit and vegetables: State of the art and perspectives. LWT 2018, 93, 390–395. [Google Scholar] [CrossRef]
- Zhang, H.; Wang, Y.; Zhou, Y.; Chen, J.; Wei, X.; Xu, P. Aqueous biphasic systems formed by deep eutectic solvent and new-type salts for the high-performance extraction of pigments. Talanta 2018, 181, 210–216. [Google Scholar] [CrossRef]
- Xue, H.; Tan, J.; Li, Q.; Tang, J.; Cai, X. Ultrasound-Assisted Deep Eutectic Solvent Extraction of Anthocyanins from Blueberry Wine Residues: Optimization, Identification, and HepG2 Antitumor Activity. Molecules 2020, 25, 5456. [Google Scholar] [CrossRef]
- Wang, H.; Jing, Y.; Wang, X.; Yao, Y.; Jia, Y. Ionic liquid analogous formed from magnesium chloride hexahydrate and its physico-chemical properties. J. Mol. Liq. 2011, 163, 77–82. [Google Scholar] [CrossRef]
- Jablonský, M.; Škulcová, A.; Šima, J. Use of Deep Eutectic Solvents in Polymer Chemistry-A Review. Molecules 2019, 24, 3978. [Google Scholar] [CrossRef] [Green Version]
- Huddleston, J.; Visser, A.; Reichert, W.; Willauer, H.; Broker, G.; Rogers, R. Characterization and Comparison of Hydrophilic and Hydrophobic Room Temperature Ionic Liquids Incorporating the Imidazolium Cation. Green Chemistry. Green Chem. 2001, 3, 156–164. [Google Scholar] [CrossRef]
- Abbott, A.; Ahmed, E.; Harris, R.; Ryder, K. Evaluating water miscible deep eutectic solvents (DESs) and ionic liquids as potential lubricants. Green Chem. 2014, 16, 4156–4161. [Google Scholar] [CrossRef] [Green Version]
- Zhang, Q.; De Oliveira Vigier, K.; Royer, S.; Jerome, F. Deep eutectic solvents: Syntheses, properties and applications. Chem Soc. Rev. 2012, 41, 7108–7146. [Google Scholar] [CrossRef] [PubMed]
- Sun, H.; Li, Y.; Wu, X.; Li, G. Theoretical study on the structures and properties of mixtures of urea and choline chloride. J. Mol. Model. 2013, 19, 2433–2441. [Google Scholar] [CrossRef] [PubMed]
- Ashworth, C.; Matthews, R.; Welton, T.; Hunt, P. Doubly ionic hydrogen bond interactions within the choline chloride-urea deep eutectic solvent. Phys. Chem. Chem. Phys. 2016, 18, 18145–18160. [Google Scholar] [CrossRef] [Green Version]
- Popescu, A.; Donath, C.; Constantin, V. Density, viscosity and electrical conductivity of three choline chloride based ionic liquids. Bulg. Chem. Commun. 2014, 46, 452–457. [Google Scholar]
- Schick, C. Differential scanning calorimetry (DSC) of semicrystalline polymers. Anal. Bioanal. Chem. 2009, 395, 1589–1611. [Google Scholar] [CrossRef] [PubMed]
- Craveiro, R.; Aroso, I.; Flammia, V.; Carvalho, T.; Viciosa, T.M.; Dionísio, M.; Barreiros, S.; Reis, R.L.; Duarte, A.R.C.; Paiva, A. Properties and thermal behavior of natural deep eutectic solvents. J. Mol. Liq. 2016, 215, 534–540. [Google Scholar] [CrossRef]
- Naser, J.; Mjalli, F.S.; Gano, Z.S. Molar Heat Capacity of Selected Type III Deep Eutectic Solvents. J. Chem. Eng. Data 2016, 61, 1608–1615. [Google Scholar] [CrossRef]
- Cejudo-Bastante, M.J.; Hurtado, N.; Delgado, A.; Heredia, F.J. Impact of pH and temperature on the colour and betalain content of Colombian yellow pitaya peel (Selenicereus megalanthus). J. Food Sci. Technol. 2016, 53, 2405–2413. [Google Scholar] [CrossRef] [Green Version]
- Svenson, J.; Smallfield, B.; Joyce, N.; Sansom, C.; Perry, N. Betalains in Red and Yellow Varieties of the Andean Tuber Crop Ulluco (Ullucus tuberosus). J. Agric. Food Chem. 2008, 56, 7730–7737. [Google Scholar] [CrossRef] [PubMed]
- Rebecca, O.P.S.; Boyce, A.N.; Chandran, S. Pigment identification and antioxidant properties of red dragon fruit (Hylocereus polyrhizus). Afr. J. Biotechnol. 2010, 9, 1450–1454. [Google Scholar] [CrossRef] [Green Version]
- Attia, G.Y.; Moussa, M.E.M.; Sheashea, E.R. Characterization of red pigments extracted from red beet (beta vulgaris, l.) and its potential uses as antioxidant and natural food colorants. Egypt. J. Agric. Res. 2013, 91, 1095–1110. [Google Scholar] [CrossRef]
- Singh, A.; Ganesapillai, M.; Gnanasundaram, N. Optimizaton of extraction of betalain pigments from beta vulgaris peels by microwave pretreatment. In IOP Conference Series: Materials Science and Engineering; IOP Publishing: Bristol, UK, 2017; Volume 263. [Google Scholar] [CrossRef] [Green Version]
- Strack, D.; Vogt, T.; Schliemann, W. Recent advances in betalain research. Phytochemistry 2003, 62, 247–269. [Google Scholar] [CrossRef]
- López, N.; Puértolas, E.; Condón, S.; Raso, J.; Alvarez, I. Enhancement of the extraction of betanine from red beetroot by pulsed electric fields. J. Food Eng. 2009, 90, 60–66. [Google Scholar] [CrossRef]
- Herbach, K.M.; Stintzing, F.C.; Carle, R. Betalain Stability and Degradation-Structural and Chromatic Aspects. J. Food Sci. 2006, 71, 41–50. [Google Scholar] [CrossRef]
- Chandran, J.; Nisha, P.; Singhal, R.S.; Pandit, A.B. Degradation of colour in beetroot (Beta vulgaris L.): A kinetics study. J. Food Sci. Technol. 2014, 51, 2678–2684. [Google Scholar] [CrossRef] [Green Version]
- Ravichandran, K.; Saw, N.M.M.T.; Mohdaly, A.A.A.; Gabr, A.M.M.; Kastell, A.; Riedel, H.; Cai, Z.; Knorr, D.; Smetanska, I. Impact of processing of red beet on betalain content and antioxidant activity. Food Res. Int. 2013, 50, 670–675. [Google Scholar] [CrossRef]
- Antigo, J.; Bergamasco, R.; Madrona, G. Effect of ph on the stability of red beet extract (Beta vulgaris L.) microcapsules produced by spray drying or freeze drying. Food Sci. Technol. 2017, 38, 72–77. [Google Scholar] [CrossRef] [Green Version]
- Castellar, R.; Obón, J.M.; Alacid, M.; Fernández-López, J.M. Color Properties and Stability of Betacyanins from Opuntia Fruits. J. Agric. Food Chem. 2003, 51, 2772–2776. [Google Scholar] [CrossRef] [PubMed]




| Physicochemical Properties | Individual Components of DES | DES Proportions | ||
|---|---|---|---|---|
| [U] | [MgCl2∙6H2O] | 1:1 | 2:1 | |
| Water contained (mass fraction) | 0 | 0.53 | 0.36 | 0.72 |
| Melting point (°C) | 135 ± 1 | 118 ± 0.5 | 19 ± 0.4 | 21 ± 0.3 |
| Density (g/mL) | 1.21 ± 0.5 | 1.27 ± 0.4 | 1.46 ± 0.3 | 1.47 ± 0.3 |
| Electrical conductivity (mS/mL) 20 °C | 5.2 ± 0.2 | 7.9 ± 0.1 | 3 ± 0.4 | 1.9 ± 0.4 |
| Degradation temperature (Td/°C) | 155 ± 2 | 197 ± 1 | 215 ± 1 | 210 ± 1 |
| Glass transition temperature (Tg/°C) | - | - | −45.8 ± 1 | −40.1 ± 1 |
| Extraction Solvent | Betacyanin (mg/L) | Betaxanthin (mg/L) | Total Betalain (mg/g) | Betalain Yield (%) |
|---|---|---|---|---|
| BED7 (2:1) | 234.23 ± 7.7 | 93.1 ± 8.5 | 3.65 ± 0.25 | 78.00 ± 11. |
| BED3 (2:1) | 296.7 ± 7.6 | 98.5 ± 7.5 | 3.99 ± 0.26 | 83.75 ± 12 |
| BEW7 | 229.9 ± 5.1 | 137.5± 4.8 | 3.49 ± 0.14 | 75.30 ± 6 |
| BEW3 | 250.5 ± 8.8 | 148.4 ± 7.8 | 3.55 ± 0.20 | 77.31 ± 9 |
| Betalain Extracts | BED7 | BED3 | BEW7 | BEW3 |
|---|---|---|---|---|
| Kb (day−1) | 0.0502 | 0.0279 | 0.4965 | 0.4725 |
| R2 | 0.9694 | 0.9855 | 0.9779 | 0.9861 |
Publisher’s Note: MDPI stays neutral with regard to jurisdictional claims in published maps and institutional affiliations. |
© 2021 by the authors. Licensee MDPI, Basel, Switzerland. This article is an open access article distributed under the terms and conditions of the Creative Commons Attribution (CC BY) license (https://creativecommons.org/licenses/by/4.0/).
Share and Cite
Hernández-Aguirre, O.A.; Muro, C.; Hernández-Acosta, E.; Alvarado, Y.; Díaz-Nava, M.d.C. Extraction and Stabilization of Betalains from Beetroot (Beta vulgaris) Wastes Using Deep Eutectic Solvents. Molecules 2021, 26, 6342. https://doi.org/10.3390/molecules26216342
Hernández-Aguirre OA, Muro C, Hernández-Acosta E, Alvarado Y, Díaz-Nava MdC. Extraction and Stabilization of Betalains from Beetroot (Beta vulgaris) Wastes Using Deep Eutectic Solvents. Molecules. 2021; 26(21):6342. https://doi.org/10.3390/molecules26216342
Chicago/Turabian StyleHernández-Aguirre, Omar A., Claudia Muro, Evelyn Hernández-Acosta, Yolanda Alvarado, and María del Carmen Díaz-Nava. 2021. "Extraction and Stabilization of Betalains from Beetroot (Beta vulgaris) Wastes Using Deep Eutectic Solvents" Molecules 26, no. 21: 6342. https://doi.org/10.3390/molecules26216342
APA StyleHernández-Aguirre, O. A., Muro, C., Hernández-Acosta, E., Alvarado, Y., & Díaz-Nava, M. d. C. (2021). Extraction and Stabilization of Betalains from Beetroot (Beta vulgaris) Wastes Using Deep Eutectic Solvents. Molecules, 26(21), 6342. https://doi.org/10.3390/molecules26216342

