Study of Long-Term Determination Accuracy for REEs in Geological Samples by Inductively Coupled Plasma Quadrupole Mass Spectrometry
Abstract
1. Introduction
2. Results and Discussion
2.1. Optimization of Spray Chamber Temperature
2.2. Operating Parameter Optimization of ICP-QMS
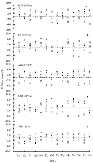
2.3. REEs Determination Results for Sample Solution Stored in PFA Material
2.4. REEs Determination Results for Sample Solution Stored in PP Material
2.5. Long-Term Stability Assessment of REEs Quantification Covering Storage Materials
3. Materials and Methods
3.1. Reagents and Chemicals
3.2. Instrumental Apparatus
3.3. Geological Standard and Sample Materials
3.4. Sample Decomposition Procedure
4. Conclusions
Supplementary Materials
Author Contributions
Funding
Institutional Review Board Statement
Informed Consent Statement
Data Availability Statement
Acknowledgments
Conflicts of Interest
Sample Availability
References
- Kabata-Pendias, A.; Pendias, H. Trace Elements in Soils and Plants; CRC Press: Boca Raton, FL, USA, 2001. [Google Scholar]
- Lipin, B.R.; McKay, G.A. Geochemistry and Mineralogy of Rare Earth Elements; Mineralogical Society of America: Blacksburg, VA, USA, 1989. [Google Scholar]
- Nance, W.; Taylor, S. Rare earth element patterns and crustal evolution—II. Archean sedimentary rocks from Kalgoorlie, Australia. Geochim. Cosmochim. Acta 1977, 41, 225–231. [Google Scholar] [CrossRef]
- Osborne, A.; Hathorne, E.C.; Schijf, J.; Plancherel, Y.; Böning, P.; Frank, M. The potential of sedimentary foraminiferal rare earth element patterns to trace water masses in the past. Geochem. Geophys. Geosyst. 2017, 18, 1550–1568. [Google Scholar] [CrossRef]
- Migaszewski, Z.M.; Gałuszka, A.; Dołęgowska, S. Rare earth and trace element signatures for assessing an impact of rock mining and processing on the environment: Wiśniówka case study, south-central Poland. Environ. Sci. Pollut. Res. 2016, 23, 24943–24959. [Google Scholar] [CrossRef] [PubMed]
- Hou, Z.; Liu, Y.; Tian, S.; Yang, Z.; Xie, Y. Formation of carbonatite-related giant rare-earth-element deposits by the recycling of marine sediments. Sci. Rep. 2015, 5, srep10231. [Google Scholar] [CrossRef] [PubMed]
- Zhang, J.; Zhao, B.; Schreiner, B. Separation Hydrometallurgy of Rare Earth Elements; Springer International Publishing: Berlin/Heidelberg, Germany; Macmillan: New York, NY, USA, 2016. [Google Scholar]
- Gorbatenko, A.A.; Revina, E.I. A review of instrumental methods for determination of rare earth elements. Inorg. Mater. 2015, 51, 1375–1388. [Google Scholar] [CrossRef]
- Zawisza, B.; Pytlakowska, K.; Feist, B.; Polowniak, M.; Kita, A.; Sitko, R. Determination of rare earth elements by spectroscopic techniques: A review. J. Anal. At. Spectrom. 2011, 26, 2373–2390. [Google Scholar] [CrossRef]
- Akam, C.A.; Simandl, G.J.; Lett, R.; Paradis, S.; Hoshino, M.; Kon, Y.; Araoka, D.; Green, C.; Kodama, S.; Takagi, T.; et al. Comparison of methods for the geochemical determination of rare earth elements: Rock Canyon Creek REE–F–Ba deposit case study, SE British Columbia, Canada. Geochem. Explor. Environ. Anal. 2019, 19, 414–430. [Google Scholar] [CrossRef]
- Smoliński, A.; Stempin, M.; Howaniec, N. Determination of rare earth elements in combustion ashes from selected Polish coal mines by wavelength dispersive X-ray fluorescence spectrometry. Spectrochim. Acta Part B At. Spectrosc. 2016, 116, 63–74. [Google Scholar] [CrossRef]
- De Vito, E.; Masi, A.N.; Olsina, R.A. Determination of trace rare earth elements by X-ray fluorescence spectrometry after preconcentration on a new chelating resin loaded with thorin. Talanta 1999, 49, 929–935. [Google Scholar] [CrossRef]
- Zuzaan, P.; Gansukh, N.; Bolortuya, D. Radionuclide induced energy dispersive X-ray fluorescence for the determination of La, Ce, Pr and Nd and their content sums in the rare-earth ores. X-ray Spectrom. 2010, 39, 52–56. [Google Scholar] [CrossRef]
- Gupta, J.G.S. Determination of scandium, yttrium and eight rare earth elements in silicate rocks and six new geological reference materials by simultaneous multi-element electrothermal atomic absorption spectrometry with Zeeman-effect background correction. J. Anal. At. Spectrom. 1993, 8, 93–101. [Google Scholar] [CrossRef]
- El-Taher, A. Nuclear Analytical Techniques for Detection of Rare Earth Elements. J. Radiat. Nucl. Appl. 2018, 3, 53–64. [Google Scholar] [CrossRef]
- Stosch, H.-G. Neutron Activation Analysis of the Rare Earth Elements (REE)—With Emphasis on Geological Materials. Phys. Sci. Rev. 2016, 1, 1–25. [Google Scholar] [CrossRef]
- Navarro, M.; Ulbrich, H.H.G.J.; Andrade, S.; Janasi, V.A. Adaptation of ICP–OES routine determination techniques for the analysis of rare earth elements by chromatographic separation in geologic materials: Tests with reference materials and granitic rocks. J. Alloy. Compd. 2002, 344, 40–45. [Google Scholar] [CrossRef]
- Guimarães-Silva, A.K.; de Lena, J.C.; Froes, R.E.S.; Costa, L.M.; Nascentes, C.C. Evaluation of signal-to-background and Mg II/Mg I ratios as response for the optimization of rare earth elements determination by inductively coupled plasma optical emission spectrometry. J. Braz. Chem. Soc. 2012, 23, 753–762. [Google Scholar] [CrossRef]
- Sahoo, S.; Hosoda, M.; Prasad, G.; Takahashi, H.; Sorimachi, A.; Ishikawa, T.; Tokonami, S.; Uchida, S. Naturally occurring radionuclides and rare earth elements in weathered Japanese soil samples. Acta Geophys. 2013, 61, 876–885. [Google Scholar] [CrossRef]
- Neves, V.M.; Heidrich, G.M.; Hanzel, F.B.; Muller, E.I.; Dressler, V.L. Rare earth elements profile in a cultivated and non-cultivated soil determined by laser ablation-inductively coupled plasma mass spectrometry. Chemosphere 2018, 198, 409–416. [Google Scholar] [CrossRef]
- Thomas, R. Practical Guide to ICP-MS: A Tutorial for Beginners; CRC Press: Boca Raton, FL, USA, 2013. [Google Scholar]
- Jiang, W.; Sun, G.; Cui, W.; Men, S.; Jing, M.; Pu, D.; Zhang, S.; Yuan, X.; Zhang, X.; Wang, C. Evaluation of an Element-Tagged Duplex Immunoassay Coupled with Inductively Coupled Plasma Mass Spectrometry Detection: A Further Study for the Application of the New Assay in Clinical Laboratory. Molecules 2020, 25, 5370. [Google Scholar] [CrossRef]
- Hall, G.E.M. Inductively coupled plasma mass spectrometry in geoanalysis. J. Geochem. Explor. 1992, 44, 201–249. [Google Scholar] [CrossRef]
- Kin, F.D.; Prudêncio, M.I.; Gouveia, M. Ângela; Magnusson, E. Determination of Rare Earth Elements in Geological Reference Materials: A Comparative Study by INAA and ICP-MS. Geostand. Geoanalytical Res. 1999, 23, 47–58. [Google Scholar] [CrossRef]
- Dulski, P. Interferences of oxide, hydroxide and chloride analyte species in the determination of rare earth elements in geological samples by inductively coupled plasma-mass spectrometry. J. Anal. Bioanal. Chem. 1994, 350, 194–203. [Google Scholar] [CrossRef]
- Ardini, F.; Soggia, F.; Rugi, F.; Udisti, R.; Grotti, M. Comparison of inductively coupled plasma spectrometry techniques for the direct determination of rare earth elements in digests from geological samples. Anal. Chim. Acta 2010, 678, 18–25. [Google Scholar] [CrossRef] [PubMed]
- Kasar, S.; Murugan, R.; Arae, H.; Aono, T.; Sahoo, S.K. A Microwave Digestion Technique for the Analysis of Rare Earth Elements, Thorium and Uranium in Geochemical Certified Reference Materials and Soils by Inductively Coupled Plasma Mass Spectrometry. Molecules 2020, 25, 5178. [Google Scholar] [CrossRef] [PubMed]
- Satyanarayanan, M.; Balaram, V.; Sawant, S.S.; Subramanyam, K.S.V.; Vamsi Krishna, G.; Dasaram, B.; Manikyamba, C. Rapid Determination of REEs, PGEs, and Other Trace Elements in Geological and Environmental Materials by High Resolution Inductively Coupled Plasma Mass Spectrometry. At. Spectrosc. 2018, 39, 1–15. [Google Scholar] [CrossRef]
- Whitty-Léveillé, L.; Turgeon, K.; Bazin, C.; Larivière, D. A comparative study of sample dissolution techniques and plasma-based instruments for the precise and accurate quantification of REEs in mineral matrices. Anal. Chim. Acta 2017, 961, 33–41. [Google Scholar] [CrossRef] [PubMed]
- Moody, J.R.; Lindstrom, R.A. Selection and cleaning of plastic containers for storage of trace element samples. Anal. Chem. 1977, 49, 2264–2267. [Google Scholar] [CrossRef]
- Reimann, C.; Siewers, U.; Skarphagen, H.; Banks, D. Does bottle type and acid-washing influence trace element analyses by ICP-MS on water samples? Sci. Total. Environ. 1999, 239, 111–130. [Google Scholar] [CrossRef]
- Hall, G.E.M. Relative contamination levels observed in different types of bottles used to collect water samples. Explore 1998, 101, 3–7. [Google Scholar]
- Takenaka, M.; Hayashi, M.; Suzuki, I.; Yamada, Y.; Takamatsu, K.; Kageyama, M. Evaluation of a Mirror-Polishing Technique for Fluorocarbon Polymer Surfaces for Reduction of Contamination from Containers Used in Ultratrace Analysis. Anal. Chem. 1997, 69, 972–976. [Google Scholar] [CrossRef]
- May, T.W.; Wiedmeyer, R.H. A table of polyatomic interferences in ICP-MS. At. Spectrosc. 1998, 19, 150–155. [Google Scholar]
- Tan, X.; Wang, Z. General High-Pressure Closed Acidic Decomposition Method of Rock Samples for Trace Element Determination Using Inductively Coupled Plasma Mass Spectrometry. J. Anal. Chem. 2020, 75, 1295–1303. [Google Scholar] [CrossRef]



| BCR-2 | La | Ce | Pr | Nd | Sm | Eu | Gd | Tb | Dy | Ho | Er | Tm | Yb | Lu | |
| Referred value | 25.0 | 53.0 | 6.80 | 28.0 | 6.70 | 2.00 | 6.80 | 1.07 | 6.41 | 1.33 | 3.66 | 0.54 | 3.50 | 0.51 | |
| PFA | 1 day | 25.3 | 52.2 | 7.13 | 29.1 | 6.88 | 2.02 | 7.07 | 1.01 | 6.45 | 1.32 | 3.77 | 0.56 | 3.62 | 0.53 |
| 7 days | 26.5 | 53.8 | 7.06 | 28.2 | 6.94 | 2.10 | 6.49 | 1.02 | 6.37 | 1.39 | 3.53 | 0.56 | 3.58 | 0.52 | |
| 30 days | 25.1 | 53.9 | 6.86 | 28.8 | 6.67 | 2.07 | 7.03 | 1.08 | 6.33 | 1.27 | 3.65 | 0.53 | 3.35 | 0.48 | |
| 6 months | 25.4 | 52.6 | 6.66 | 28.9 | 6.54 | 2.10 | 6.72 | 1.10 | 6.41 | 1.32 | 3.77 | 0.56 | 3.68 | 0.53 | |
| 7 months | 25.9 | 52.7 | 6.59 | 27.7 | 6.59 | 2.10 | 6.48 | 1.04 | 6.56 | 1.40 | 3.64 | 0.54 | 3.48 | 0.51 | |
| 2σ | 0.24 | 0.30 | 0.09 | 0.23 | 0.07 | 0.01 | 0.11 | 0.01 | 0.04 | 0.02 | 0.04 | 0.01 | 0.05 | 0.01 | |
| BE-N | La | Ce | Pr | Nd | Sm | Eu | Gd | Tb | Dy | Ho | Er | Tm | Yb | Lu | |
| Referred value | 82.0 | 152.0 | 17.5 | 67.0 | 12.2 | 3.60 | 9.70 | 1.30 | 6.40 | 1.10 | 2.50 | 0.34 | 1.80 | 0.24 | |
| PFA | 1 day | 80.8 | 159.8 | 18.0 | 65.6 | 12.6 | 3.62 | 9.47 | 1.25 | 6.35 | 1.15 | 2.57 | 0.34 | 1.82 | 0.23 |
| 7 days | 83.1 | 157.2 | 17.3 | 64.4 | 12.3 | 3.67 | 9.39 | 1.27 | 6.23 | 1.16 | 2.46 | 0.36 | 1.76 | 0.25 | |
| 30 days | 84.6 | 159.9 | 17. 8 | 69.1 | 12.6 | 3.65 | 9.44 | 1.32 | 6.40 | 1.13 | 2.52 | 0.32 | 1.85 | 0.24 | |
| 6 months | 79.5 | 154.0 | 17.6 | 69.9 | 12.4 | 3.81 | 9.71 | 1.30 | 6.39 | 1.14 | 2.44 | 0.35 | 1.83 | 0.24 | |
| 7 months | 82.0 | 151.7 | 17.7 | 66.4 | 13.0 | 3.55 | 9.78 | 1.36 | 6.21 | 1.14 | 2.34 | 0.35 | 1.85 | 0.25 | |
| 2σ | 0.79 | 1.44 | 0.10 | 0.93 | 0.10 | 0.04 | 0.07 | 0.02 | 0.04 | 0.005 | 0.04 | 0.01 | 0.01 | 0.003 | |
| AGV-2 | La | Ce | Pr | Nd | Sm | Eu | Gd | Tb | Dy | Ho | Er | Tm | Yb | Lu | |
| Referred value | 38.0 | 68.0 | 8.30 | 30.0 | 5.70 | 1.54 | 4.69 | 0.64 | 3.60 | 0.71 | 1.79 | 0.26 | 1.60 | 0.25 | |
| PFA | 1 day | 38.2 | 71.0 | 8.45 | 31.1 | 5.84 | 1.62 | 4.63 | 0.66 | 3.65 | 0.72 | 1.87 | 0.27 | 1.64 | 0.26 |
| 7 days | 39.0 | 66.2 | 8.48 | 30.3 | 5.97 | 1.45 | 4.82 | 0.66 | 3.72 | 0.73 | 1.89 | 0.28 | 1.70 | 0.25 | |
| 30 days | 36.4 | 66.1 | 7.94 | 30.2 | 5.56 | 1.55 | 4.43 | 0.67 | 3.51 | 0.69 | 1.85 | 0.27 | 1.63 | 0.24 | |
| 6 months | 38.4 | 70.9 | 8.63 | 30.1 | 5.85 | 1.60 | 4.81 | 0.65 | 3.75 | 0.72 | 1.82 | 0.25 | 1.54 | 0.26 | |
| 7 months | 38.4 | 69.6 | 8.42 | 31.3 | 5.72 | 1.45 | 4.44 | 0.67 | 3.71 | 0.69 | 1.79 | 0.25 | 1.67 | 0.24 | |
| 2σ | 0.40 | 0.98 | 0.10 | 0.23 | 0.06 | 0.03 | 0.08 | 0.003 | 0.04 | 0.01 | 0.02 | 0.01 | 0.03 | 0.004 | |
| GSR-1 | La | Ce | Pr | Nd | Sm | Eu | Gd | Tb | Dy | Ho | Er | Tm | Yb | Lu | |
| Referred value | 54.0 | 108 | 12.7 | 47.0 | 9.70 | 0.85 | 9.30 | 1.65 | 10.2 | 2.05 | 6.50 | 1.06 | 7.40 | 1.15 | |
| PFA | 1 day | 54.9 | 110 | 12.6 | 46.4 | 10.0 | 0.90 | 9.91 | 1.67 | 10.3 | 2.15 | 6.89 | 1.10 | 7.73 | 1.11 |
| 7 days | 55.1 | 111 | 13.0 | 47.3 | 10.0 | 0.89 | 9.33 | 1.68 | 9.90 | 2.15 | 6.78 | 1.11 | 7.76 | 1.17 | |
| 30 days | 52.4 | 102 | 12.5 | 46.1 | 9.92 | 0.84 | 8.99 | 1.58 | 9.99 | 1.91 | 6.83 | 1.00 | 7.07 | 1.16 | |
| 6 months | 52.9 | 107 | 12.8 | 45.9 | 9.99 | 0.87 | 9.34 | 1.65 | 10.3 | 2.12 | 6.96 | 1.10 | 7.65 | 1.13 | |
| 7 months | 53.5 | 107 | 12.7 | 45.9 | 9.34 | 0.83 | 9.31 | 1.67 | 9.86 | 1.93 | 6.60 | 0.99 | 6.98 | 1.10 | |
| 2σ | 0.48 | 1.44 | 0.08 | 0.24 | 0.12 | 0.01 | 0.13 | 0.02 | 0.09 | 0.05 | 0.05 | 0.02 | 0.15 | 0.01 | |
| PP | 1 day | 53.9 | 105 | 12.5 | 45.1 | 9.48 | 0.86 | 9.49 | 1.62 | 10.3 | 2.13 | 6.65 | 1.10 | 7.44 | 1.19 |
| 7 days | 54.3 | 108 | 12.7 | 48.4 | 10.1 | 0.84 | 9.54 | 1.70 | 10.6 | 2.11 | 6.54 | 1.06 | 7.57 | 1.17 | |
| 30 days | 52.1 | 106 | 12.4 | 46.3 | 9.56 | 0.86 | 9.61 | 1.63 | 9.96 | 1.98 | 6.33 | 1.10 | 7.12 | 1.13 | |
| 6 months | 54.4 | 104 | 13.0 | 45.4 | 9.43 | 0.87 | 9.09 | 1.65 | 10.5 | 2.13 | 6.41 | 1.05 | 7.33 | 1.16 | |
| 7 months | 55.5 | 109 | 12.7 | 47.1 | 9.78 | 0.86 | 9.34 | 1.57 | 10.3 | 1.99 | 6.50 | 1.09 | 7.25 | 1.19 | |
| 2σ | 0.50 | 0.93 | 0.09 | 0.54 | 0.11 | 0.01 | 0.08 | 0.02 | 0.10 | 0.03 | 0.05 | 0.01 | 0.07 | 0.01 | |
Publisher’s Note: MDPI stays neutral with regard to jurisdictional claims in published maps and institutional affiliations. |
© 2021 by the authors. Licensee MDPI, Basel, Switzerland. This article is an open access article distributed under the terms and conditions of the Creative Commons Attribution (CC BY) license (http://creativecommons.org/licenses/by/4.0/).
Share and Cite
Tan, X.; Liu, M.; He, K. Study of Long-Term Determination Accuracy for REEs in Geological Samples by Inductively Coupled Plasma Quadrupole Mass Spectrometry. Molecules 2021, 26, 290. https://doi.org/10.3390/molecules26020290
Tan X, Liu M, He K. Study of Long-Term Determination Accuracy for REEs in Geological Samples by Inductively Coupled Plasma Quadrupole Mass Spectrometry. Molecules. 2021; 26(2):290. https://doi.org/10.3390/molecules26020290
Chicago/Turabian StyleTan, Xijuan, Minwu Liu, and Ke He. 2021. "Study of Long-Term Determination Accuracy for REEs in Geological Samples by Inductively Coupled Plasma Quadrupole Mass Spectrometry" Molecules 26, no. 2: 290. https://doi.org/10.3390/molecules26020290
APA StyleTan, X., Liu, M., & He, K. (2021). Study of Long-Term Determination Accuracy for REEs in Geological Samples by Inductively Coupled Plasma Quadrupole Mass Spectrometry. Molecules, 26(2), 290. https://doi.org/10.3390/molecules26020290
