Development and Validation of a Method for Determining the Quercetin-3-O-glucuronide and Ellagic Acid Content of Common Evening Primrose (Oenothera biennis) by HPLC-UVD
Abstract
1. Introduction
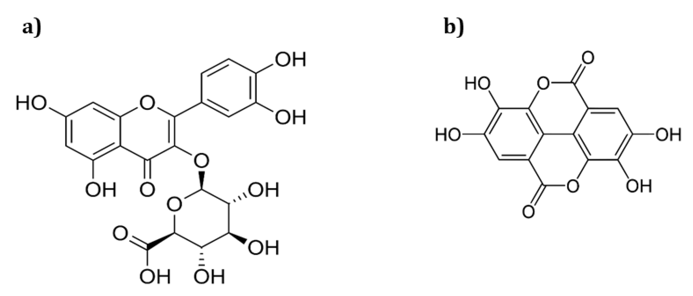
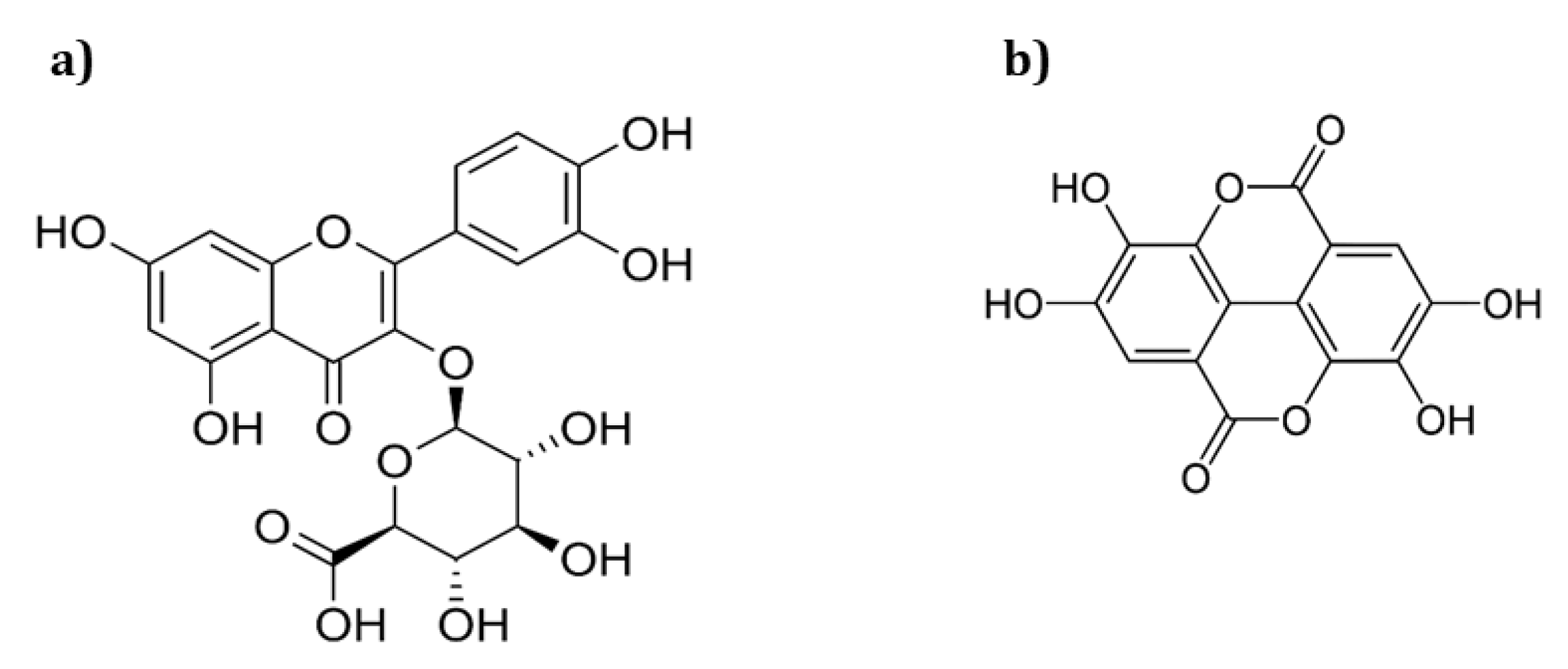
2. Results and Discussion
2.1. Specificity and Linearity
2.2. Limit of Determination and Limit of Quantification
2.3. Precision and Accuracy
2.4. Quantification of Quercetin-3-O-glucuronide and Ellagic Acid in Various O. biennis Sprout Extracts
3. Materials and Methods
3.1. Reagents
3.2. Preparation of Standard Solutions
3.3. HPLC-UVD Instrumentation and Analysis Method
3.4. Validation of Simultaneous Quercetin-3-O-glucuronide and Ellagic Acid Content Analysis Method
3.4.1. Specificity
3.4.2. Linearity
3.4.3. Precision
3.4.4. Accuracy
3.4.5. Limit of Detection and Limit of Quantification
3.5. Preparation of O. biennis Extracts Using Various Concentrations of Ethanol
4. Conclusions
Supplementary Materials
Author Contributions
Funding
Conflicts of Interest
Sample Availability
Abbreviations
| Dimethylsulfoxide | DMSO |
| High performance liquid chromatography-diode array detector | HPLC-DAD |
| High performance liquid chromatography-ultraviolet detector | HPLC-UVD |
| International Council for Harmonisation of Technical Requirements for Pharmaceuticals for Human Use (ICH) | ICH |
| Internal transcribed spacer | ITS |
| Oenothera biennis | OB |
| Oenothera biennis sprout | OBS |
| Oenothera biennis sprout extract | OBS-E |
| Residual standard deviation | RSD |
| Ultra-high performance liquid chromatography-diode array detector-quadrupole time-of-flight mass spectrometry | UHPLC-DAD-QTOF/MS |
| Ultra-high performance liquid chromatography-mass spectrometry | UHPLC-MS |
References
- Wagner, W.L.; Hoch, P.C.; Raven, P.H. Revised classification of the Onagraceae. In Systematic Botany Monographs; Anderson, C., Ed.; American Society of Plant Taxonomists: St. Louis, MO, USA, 2007; pp. 1–240. [Google Scholar]
- Kwak, C.S.; Kim, M.-J.; Kim, S.G.; Park, S.; Kim, I.G.; Kang, H.S. Antioxidant and antiobesity activities of oral treatment with ethanol extract from sprout of evening primrose (Oenothera laciniata) in high fat diet-induced obese mice. J. Nutr. Health 2019, 52, 529–539. [Google Scholar] [CrossRef]
- Ahmad, A.; Singh, D.K.; Fatima, K.; Tandon, S.; Luqman, S. New constituents from the roots of Oenothera biennis and their free radical scavenging and ferric reducing activity. Ind. Crop. Prod. 2014, 58, 125–132. [Google Scholar] [CrossRef]
- Yoon, W.-J.; Ham, Y.M.; Yoo, B.-S.; Moon, J.-Y.; Koh, J.; Hyun, K.H. Oenothera laciniata inhibits lipopolysaccharide induced production of nitric oxide, prostaglandin E2, and proinflammatory cytokines in RAW264.7 macrophages. J. Biosci. Bioeng. 2009, 107, 429–438. [Google Scholar] [CrossRef] [PubMed]
- Gomez-Flores, R.; Reyna-Martínez, R.; Tamez-Guerra, P.; Quintanilla-Licea, R. Antibacterial activity of Oenothera rosea (L ’Hér) leaf extracts. Br. J. Med. Med Res. 2012, 2, 396–404. [Google Scholar] [CrossRef]
- Gorlach, S.; Wagner, W.; Podsȩdek, A.; Sosnowska, D.; Dastych, J.; Koziołkiewicz, M. Polyphenols from evening primrose (Oenothera paradoxa) defatted seeds induce apoptosis in human colon cancer Caco-2 cells. J. Agric. Food Chem. 2011, 59, 6985–6997. [Google Scholar] [CrossRef] [PubMed]
- Pellegrina, C.D.; Padovani, G.; Mainente, F.; Zoccatelli, G.; Bissoli, G.; Mosconi, S.; Veneri, G.; Peruffo, A.; Andrighetto, G.; Rizzi, C.; et al. Anti-tumour potential of a gallic acid-containing phenolic fraction from Oenothera biennis. Cancer Lett. 2005, 226, 17–25. [Google Scholar] [CrossRef]
- Lee, Y.R.; Noh, E.M.; Jeong, E.Y.; Yun, S.K.; Jeong, Y.J.; Kim, J.H.; Kwon, K.B.; Kim, B.S.; Lee, S.H.; Park, C.S.; et al. Cordycepin inhibits UVB-induced matrix metalloproteinase expression by suppressing the NF-κB pathway in human dermal fibroblasts. Exp. Mol. Med. 2009, 41, 548–554. [Google Scholar] [CrossRef] [PubMed]
- Frean, M.; Balkwill, K.; Gold, C.; Anderson, N.; Burt, S. The expanding distributions and invasiveness of Oenothera in southern Africa. S. Afr. J. Bot. 1997, 63, 449–458. [Google Scholar] [CrossRef]
- Peschel, W.; Dieckmann, W.; Sonnenschein, M.; Plescher, A. High antioxidant potential of pressing residues from evening primrose in comparison to other oilseed cakes and plant antioxidants. Ind. Crop. Prod. 2007, 25, 44–54. [Google Scholar] [CrossRef]
- Shahidi, F.; Amarowicz, R.; He, Y.; Wettasinghe, M. Antioxidant activity of phenolic extracts of evening primrose (Oenothera biennis): A preliminary study. J. Food Lipids 1997, 4, 75–86. [Google Scholar] [CrossRef]
- Ma, R.; Chen, Q.; Li, H.; Wu, S.; Lian, M.; Jin, X.; Jiang, J. Extract of Oenothera biennis L. stem inhibits LPS-induced inflammation by regulating MAPK and NF-κB signaling pathways. Pak. J. Pharm. Sci. 2020, 33, 1473–1481. [Google Scholar] [CrossRef]
- La Paz, S.M.-D.; Fernández-Arche, Á.; Ángel-Martín, M.; García-Giménez, M.D. The sterols isolated from evening primrose oil modulate the release of proinflammatory mediators. Phytomedicine 2012, 19, 1072–1076. [Google Scholar] [CrossRef] [PubMed]
- Boesch-Saadatmandi, C.; Loboda, A.; Wagner, A.E.; Stachurska, A.; Jozkowicz, A.; Dulak, J.; Döring, F.; Wolffram, S.; Rimbach, G. Effect of quercetin and its metabolites isorhamnetin and quercetin-3-glucuronide on inflammatory gene expression: Role of miR-155. J. Nutr. Biochem. 2011, 22, 293–299. [Google Scholar] [CrossRef] [PubMed]
- Wu, Q.; Needs, P.W.; Lu, Y.; Kroon, P.A.; Ren, D.; Yang, X. Different antitumor effects of quercetin, quercetin-3′-sulfate and quercetin-3-glucuronide in human breast cancer MCF-7 cells. Food Funct. 2018, 9, 1736–1746. [Google Scholar] [CrossRef] [PubMed]
- Nugroho, A.; Song, B.M.; Lee, K.T.; Park, H.J. Quantification of antidepressant miquelianin in mature and immature fruits of Korean rubus species. Nat. Prod. Sci. 2014, 20, 258–261. [Google Scholar]
- Ahmed, S.; Al-Rehaily, A.J.; Alam, P.; Alqahtani, A.S.; Hidayatullah, S.; Rehman, T.; Mothana, R.A.; Abbas, S.S.; Khan, M.; Khalid, J.M.; et al. Antidiabetic, antioxidant, molecular docking and HPTLC analysis of miquelianin isolated from Euphorbia schimperi C. Presl. Saudi Pharm. J. 2019, 27, 655–663. [Google Scholar] [CrossRef]
- Kim, S.E.; Lee, C.M.; Kim, Y.C. Anti-melanogenic effect of Oenothera laciniata methanol extract in Melan-a cells. Toxicol. Res. 2017, 33, 55–62. [Google Scholar] [CrossRef]
- Khodadadi, S.; Nasri, H. An update on ellagic acid as a natural powerful flavonoid. Ann. Res. Antioxid. 2017, 2, e02. [Google Scholar]
- Schumacher, N.; Colomeu, T.; Figueiredo, D.; Carvalho, V.D.C.; Cazarin, C.B.B.; Prado, M.A.; Meletti, L.M.M.; Zollner, R.D.L. Identification and antioxidant activity of the extracts of Eugenia uniflora leaves. Characterization of the anti-inflammatory properties of aqueous extract on diabetes expression in an experimental model of spontaneous type 1 diabetes (NOD mice). Antioxidants 2015, 4, 662–680. [Google Scholar] [CrossRef] [PubMed]
- Tomás-Barberán, F.A.; González-Sarrías, A.; García-Villalba, R.; Núñez-Sánchez, M.A.; Selma, M.V.; García-Conesa, M.T.; Espín, J.C. Urolithins, the rescue of “old” metabolites to understand a “new” concept: Metabotypes as a nexus among phenolic metabolism, microbiota dysbiosis, and host health status. Mol. Nutr. Food Res. 2017, 61, 1500901. [Google Scholar] [CrossRef] [PubMed]
- García-Niño, W.R.; Zazueta, C. Ellagic acid: Pharmacological activities and molecular mechanisms involved in liver protection. Pharmacol. Res. 2015, 97, 84–103. [Google Scholar] [CrossRef] [PubMed]
- Promsong, A.; Chung, W.O.; Satthakarn, S.; Nittayananta, W. Ellagic acid modulates the expression of oral innate immune mediators: Potential role in mucosal protection. J. Oral Pathol. Med. 2014, 44, 214–221. [Google Scholar] [CrossRef] [PubMed]
- Kim, Y.; Han, S.H.; Jeon, J.Y.; Hwang, M.; Im, Y.J.; Chae, S.W.; Kim, M.G. Method development of ellagic acid as marker compound for standardization of Gochang Bokbunja (Rubus coreanus Miquel) as functional ingredient. J. Korean Soc. Food Sci. Nutr. 2012, 41, 1554–1558. [Google Scholar] [CrossRef]
- Lee, D.Y.; Jeong, E.J.; Jeon, B.J.; Sung, S.H. Quantitative analysis of ellagic acid in Nymphaea tetragona Georgi root by HPLC-UVD. Korean J. Pharmacogn. 2014, 45, 84–87. [Google Scholar]
- Green, J.M. Peer Reviewed: A practical guide to analytical method validation. Anal. Chem. 1996, 68, 305A–309A. [Google Scholar] [CrossRef]
- Shabir, G.A. Validation of high-performance liquid chromatography methods for pharmaceutical analysis. J. Chromatogr. A 2003, 987, 57–66. [Google Scholar] [CrossRef]
- Santos, M.C.; Koetz, M.; Mendez, A.S.; Henriques, A.T. Ultrasound-assisted extraction optimization and validation of ultra-performance liquid chromatographic method for the quantification of miquelianin in Cuphea glutinosa leaves. Talanta 2020, 216, 120988. [Google Scholar] [CrossRef]
- Assunção, P.I.D.; Da Conceição, E.C.; Borges, L.L.; De Paula, J.A.M. Development and validation of a HPLC-UV method for the evaluation of ellagic acid in liquid extracts of Eugenia uniflora L. (Myrtaceae) leaves and its ultrasound-assisted extraction optimization. Evidence-Based Complement. Altern. Med. 2017, 2017, 1–9. [Google Scholar] [CrossRef]
- Jenke, D.R. Chromatographic method validation: A review of current practices and procedures. I. General concepts and guidelines. J. Liq. Chromatogr. Relat. Technol. 1996, 19, 719–736. [Google Scholar] [CrossRef]
- Granica, S.; Czerwińska, M.E.; Piwowarski, J.P.; Ziaja, M.; Kiss, A.K. Chemical composition, antioxidative and anti-Inflammatory activity of extracts prepared from aerial parts of Oenothera biennis L. and Oenothera paradoxa Hudziok obtained after seeds cultivation. J. Agric. Food Chem. 2013, 61, 801–810. [Google Scholar] [CrossRef]
- Fecker, R.; Buda, V.; Alexa, E.; Avram, S.; Pavel, I.; Muntean, D.; Cocan, I.; Watz, C.; Minda, D.; Dehelean, C.; et al. Phytochemical and biological screening of Oenothera biennis L. hydroalcoholic extract. Biomolecules 2020, 10, 818. [Google Scholar] [CrossRef] [PubMed]
- Wang, Z.; Shen, S.; Cui, Z.; Nie, H.; Han, D.; Yan, H. Screening and isolating major aldose reductase inhibitors from the seeds of evening primrose (Oenothera biennis). Molecules 2019, 24, 2709. [Google Scholar] [CrossRef] [PubMed]
- La Paz, S.M.-D.; Fernández-Arche, M.; Ángel-Martín, M.; García-Giménez, M. Phytochemical characterization of potential nutraceutical ingredients from evening primrose oil (Oenothera biennis L.). Phytochem. Lett. 2014, 8, 158–162. [Google Scholar] [CrossRef]



| Standard | Regression Equation | R2 | Residual STD (σ) | Calibration Curve Slope (S) | LOD (μg/mL) | LOQ (μg/mL) |
|---|---|---|---|---|---|---|
| Quercetin-3-O-glucuronide | 33.9200χ + 16.3234 | 1.0000 | 5.0 | 34.0 | 0.5 | 1.5 |
| 33.9749χ + 16.3269 | 1.0000 | |||||
| 33.9666χ + 7.6711 | 1.0000 | |||||
| Integration (n = 3) | 33.9538χ + 13.4405 | 1.0000 | ||||
| Ellagic acid | 118.7395χ + 322.2313 | 0.9997 | 36.3 | 119.4 | 1.0 | 3.0 |
| 120.2432χ + 249.6622 | 0.9999 | |||||
| 119.2289χ + 285.3886 | 0.9998 | |||||
| Integration (n = 3) | 119.4039χ + 285.7607 | 0.9998 |
| Standard | Conc. (μg/mL) | Intra-Day Variability (n = 3) | Inter-Day Variability (n = 3) | ||
|---|---|---|---|---|---|
| Mean ± SD | RSD (%) | Mean ± SD | RSD (%) | ||
| Quercetin-3-O-glucuronide | 93.6 | 97.3 ± 0.5 | 0.6 | 97.7 ± 0.7 | 0.7 |
| 187.2 | 194.2 ± 0.2 | 0.1 | 193.8 ± 0.5 | 0.3 | |
| 374.4 | 386.3 ± 0.6 | 0.2 | 387.2 ± 2.0 | 0.5 | |
| Ellagic acid | 96.0 | 104.5 ± 0.5 | 0.5 | 104.2 ± 2.1 | 2.0 |
| 192.0 | 210.3 ± 0.6 | 0.3 | 209.3 ± 2.9 | 1.4 | |
| 384.0 | 416.1 ± 1.5 | 0.4 | 415.2 ± 5.5 | 1.3 | |
| Standard | Conc. (μg/mL) | Observed (μg/mL) | Recovery (%) |
|---|---|---|---|
| Mean ± SD | Mean ± SD | ||
| Quercetin-3-O-glucuronide | 93.6 | 96.0 ± 1.0 | 102.5 ± 1.0 |
| 187.2 | 193.3 ± 0.7 | 103.3 ± 0.4 | |
| 374.4 | 381.3 ± 1.4 | 101.8 ± 0.4 | |
| Average (n = 9) | 102.6 ± 0.8 | ||
| Confidence interval (95%) | 101.9–103.2 | ||
| Ellagic acid | 96.0 | 101.0 ± 0.6 | 105.2 ± 0.6 |
| 192.0 | 204.2 ± 3.6 | 106.3 ± 1.9 | |
| 384.0 | 406.7 ± 4.3 | 105.9 ± 1.1 | |
| Average (n = 9) | 105.8 ± 1.2 | ||
| Confidence interval (95%) | 104.9–106.8 | ||
| Sample | Quercetin-3-O-glucuronide (mg/g) | Ellagic Acid (mg/g) | ||
|---|---|---|---|---|
| Mean ± SD | RSD (%) | Mean ± SD | RSD (%) | |
| 0% EtOH | 24.6 ± 0.0 | 0.1 | 2.4 ± 0.1 | 5.5 |
| 30% EtOH | 25.3 ± 0.0 | 0.1 | 2.8 ± 0.1 | 3.7 |
| 50% EtOH | 27.7 ± 0.5 | 1.9 | 3.3 ± 0.1 | 2.0 |
| 70% EtOH | 16.5 ± 0.0 | 0.2 | 15.4 ± 0.1 | 0.3 |
| 90% EtOH | 24.9 ± 0.1 | 0.4 | 1.9 ± 0.2 | 10.6 |
Publisher’s Note: MDPI stays neutral with regard to jurisdictional claims in published maps and institutional affiliations. |
© 2021 by the authors. Licensee MDPI, Basel, Switzerland. This article is an open access article distributed under the terms and conditions of the Creative Commons Attribution (CC BY) license (http://creativecommons.org/licenses/by/4.0/).
Share and Cite
Kim, T.H.; Shin, H.Y.; Park, S.Y.; Kim, H.; Chung, D.K. Development and Validation of a Method for Determining the Quercetin-3-O-glucuronide and Ellagic Acid Content of Common Evening Primrose (Oenothera biennis) by HPLC-UVD. Molecules 2021, 26, 267. https://doi.org/10.3390/molecules26020267
Kim TH, Shin HY, Park SY, Kim H, Chung DK. Development and Validation of a Method for Determining the Quercetin-3-O-glucuronide and Ellagic Acid Content of Common Evening Primrose (Oenothera biennis) by HPLC-UVD. Molecules. 2021; 26(2):267. https://doi.org/10.3390/molecules26020267
Chicago/Turabian StyleKim, Tae Heon, Hyun Young Shin, Soon Yeong Park, Hoon Kim, and Dae Kyun Chung. 2021. "Development and Validation of a Method for Determining the Quercetin-3-O-glucuronide and Ellagic Acid Content of Common Evening Primrose (Oenothera biennis) by HPLC-UVD" Molecules 26, no. 2: 267. https://doi.org/10.3390/molecules26020267
APA StyleKim, T. H., Shin, H. Y., Park, S. Y., Kim, H., & Chung, D. K. (2021). Development and Validation of a Method for Determining the Quercetin-3-O-glucuronide and Ellagic Acid Content of Common Evening Primrose (Oenothera biennis) by HPLC-UVD. Molecules, 26(2), 267. https://doi.org/10.3390/molecules26020267

