Preparation of Bamboo-Based Hierarchical Porous Carbon Modulated by FeCl3 towards Efficient Copper Adsorption
Abstract
:1. Introduction
2. Results and Discussion
2.1. Physical Characteristics
2.2. Chemical Characteristics
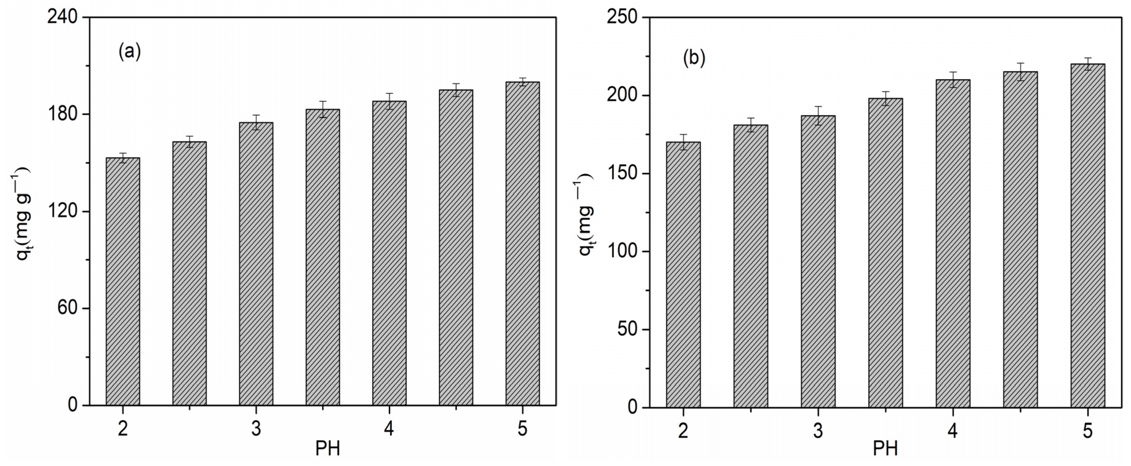
2.3. Adsorption Studies
3. Materials and Methods
3.1. Preparation of Bamboo Powder Biochar and BPC
3.2. Preparation of Hierarchical Porous Carbon Catalyzed by Fe3+ Ions
3.3. Material Characterization
3.4. Adsorption Experiments
4. Conclusions
Author Contributions
Funding
Institutional Review Board Statement
Informed Consent Statement
Data Availability Statement
Acknowledgments
Conflicts of Interest
Sample Availability
References
- Rocha, G.S.; Tonietto, A.E.; Lombardi, A.T.; Melao, M.D.G.G. Effect of copper contaminated food on the life cycle and secondary production of Daphnia laevis. Ecotoxicol. Environ. Saf. 2016, 133, 235–242. [Google Scholar] [CrossRef] [PubMed]
- Ajmal, M.; Khan, A.H.; Ahmad, S.; Ahmad, A. Role of sawdust in the removal of copper(II) from industrial wastes. Water Res. 1998, 30, 3085–3091. [Google Scholar] [CrossRef]
- Bilal, M.; Shah, J.A.; Ashfaq, T.; Gardazi, S.; Tahir, A.A.; Pervez, A.; Haroon, H.; Mahmood, Q. Waste biomass adsorbents for copper removal from industrial wastewater—A review. J. Hazard. Mater. 2013, 263, 322–333. [Google Scholar] [CrossRef] [PubMed]
- Ss, A.; Cb, B.; Ed, B.; Jp, A. High efficiency removal of heavy metals using tire-derived activated carbon vs commercial activated carbon: Insights into the adsorption mechanisms. Chemosphere 2020, 264 Pt 1, 128455. [Google Scholar]
- Cséfalvay, E.; Pauer, V.; Mizsey, P. Recovery of copper from process waters by nanofiltration and reverse osmosis. Desalination 2009, 240, 132–142. [Google Scholar] [CrossRef]
- Christensen, E.R.; Delwiche, J.T. Removal of heavy metals from electroplating rinsewaters by precipitation, flocculation and ultrafiltration. Water Res. 1982, 16, 729–737. [Google Scholar] [CrossRef]
- Sutcu, H.; Dural, A. The adsorption of lead, copper and nickel ions from aqueous solutions on activated carbon produced from bituminous coal. Fresenius Environ. Bull. 2007, 16, 235–241. [Google Scholar]
- Bouhamed, F.; Elouear, Z.; Bouzid, J. Adsorptive removal of copper(II) from aqueous solutions on activated carbon prepared from Tunisian date stones: Equilibrium, kinetics and thermodynamics. J. Taiwan Inst. Chem. Eng. 2012, 43, 741–749. [Google Scholar] [CrossRef]
- Aydın, H.; Bulut, Y.; Yerlikaya, Ç. Removal of copper (II) from aqueous solution by adsorption onto low-cost adsorbents. J. Environ. Manag. 2008, 87, 37–45. [Google Scholar] [CrossRef]
- Feng, C.; Chen, Y.A.; Yu, C.P.; Hou, C.H. Highly porous activated carbon with multi-channeled structure derived from loofa sponge as a capacitive electrode material for the deionization of brackish water. Chemosphere 2018, 208, 285–293. [Google Scholar] [CrossRef]
- Fu, Y.; Shen, Y.; Zhang, Z.; Ge, X.; Chen, M. Activated bio-chars derived from rice husk via one- and two-step KOH-catalyzed pyrolysis for phenol adsorption. Sci. Total Environ. 2018, 646, 1567–1577. [Google Scholar] [CrossRef] [PubMed]
- Ge, X.; Ma, Y.; Song, X.; Wang, G.; Zhang, H.; Zhang, Y.; Zhao, H. β-FeOOH nanorods/carbon foam based hierarchically porous monolith for highly effective arsenic removal. ACS Appl. Mater. Interfaces 2017, 9, 13480. [Google Scholar] [CrossRef]
- Dutta, S.; Bhaumik, A.; Wu, C.W. Hierarchically porous carbon derived from polymers and biomass: Effect of interconnected pores on energy applications. Energy Environ. Sci. 2014, 7, 3574–3592. [Google Scholar] [CrossRef]
- Sun, J.; Zhang, Z.; Ji, J.; Dou, M.; Wang, F. Removal of Cr6+ from wastewater via adsorption with high-specific-surface-area nitrogen-doped hierarchical porous carbon derived from silkworm cocoon. Appl. Surf. Sci. 2017, 405, 372–379. [Google Scholar] [CrossRef]
- Yin, W.; Dai, D.; Hou, J.; Wang, S.; Wu, X.; Wang, X. Hierarchical porous biochar-based functional materials derived from biowaste for Pb(II) removal. Appl. Surf. Sci. 2019, 465, 297–302. [Google Scholar] [CrossRef]
- Soltani, N.; Bahrami, A.; Pech-Canul, M.I.; Gonzalez, L.A. Review on the physicochemical treatments of rice husk for production of advanced materials. Chem. Eng. J. 2014, 264, 899–935. [Google Scholar] [CrossRef]
- Xia, Y.; Li, Y.; Gu, Y.; Jin, T.; Yang, Q.; Hu, J.; Liu, H.; Wang, H. Adsorption desulfurization by hierarchical porous organic polymer of poly-methylbenzene with metal impregnation. Fuel 2016, 170, 100–106. [Google Scholar] [CrossRef]
- He, X.; Zhao, N.; Qiu, J.; Xiao, N.; Yu, M.; Yu, C.; Zhang, X.; Zheng, M. Synthesis of hierarchical porous carbons for supercapacitors from coal tar pitch with nano-Fe2O3 as template and activation agent coupled with KOH activation. J. Mater. Chem. A 2013, 1, 9440–9448. [Google Scholar] [CrossRef]
- Xu, W.-C.; Tomita, A. The effects of temperature and residence time on the secondary reactions of volatiles from coal pyrolysis. Fuel Process. Technol. 1989, 21, 25–37. [Google Scholar] [CrossRef]
- Öztaş, N.; Yürüm, Y. Pyrolysis of Turkish Zonguldak bituminous coal. Part 1. Effect of mineral matter. Fuel 2000, 79, 1221–1227. [Google Scholar] [CrossRef]
- Rodriguez Correa, C.; Stollovsky, M.; Hehr, T.; Rauscher, Y.; Rolli, B.; Kruse, A. Influence of the Carbonization Process on Activated Carbon Properties from Lignin and Lignin-Rich Biomasses. ACS Sustain. Chem. Eng. 2017, 5, 8222–8233. [Google Scholar] [CrossRef]
- Yeh, C.L.; Hsi, H.C.; Li, K.C.; Hou, C.H. Improved performance in capacitive deionization of activated carbon electrodes with a tunable mesopore and micropore ratio. Desalination 2015, 367, 60–68. [Google Scholar] [CrossRef]
- Song, X.; Ying, Z.; Chang, C. Novel Method for Preparing Activated Carbons with High Specific Surface Area from Rice Husk. Ind. Eng. Chem. Res. 2012, 51, 15075–15081. [Google Scholar] [CrossRef]
- Linares-Solano, C.A. Understanding chemical reactions between carbons and NaOH and KOH: An insight into the chemical activation mechanism. Carbon 2003, 41, 267–275. [Google Scholar]
- Bedia, J.; Belver, C.; Ponce, S.; Rodriguez, J.; Rodriguez, J.J. Adsorption of antipyrine by activated carbons from FeCl3-activation of Tara gum. Chem. Eng. J. 2018, 333, 58–65. [Google Scholar] [CrossRef]
- Zhang, J.; Hao, F.; Lu, X.; Jie, T.; Xu, X. Removal of Cu(II) from aqueous solution using the rice husk carbons prepared by the physical activation process. Biomass Bioenergy 2011, 35, 464–472. [Google Scholar] [CrossRef]
- Kennedy, L.J.; Vijaya, J.J.; Sekaran, G. Effect of Two-Stage Process on the Preparation and Characterization of Porous Carbon Composite from Rice Husk by Phosphoric Acid Activation. Ind. Eng. Chem. Res. 2004, 43, 1832–1838. [Google Scholar] [CrossRef]
- Tian, Q.; Zhang, Y.; Li, G.; Wang, Y. Floc-flotation of ultrafine coal slimes achieved by flotation column. Energy Sources 2017, 39, 899–904. [Google Scholar] [CrossRef]
- Lambert, A.; Drogui, P.; Daghrir, R.; Zaviska, F.; Benzaazoua, M. Removal of copper in leachate from mining residues using electrochemical technology. J. Environ. Manag. 2014, 133, 78–85. [Google Scholar] [CrossRef]
- Liu, N.; Zhang, Y.; Xu, C.; Liu, P.; Wang, Q. Removal mechanisms of aqueous Cr(VI) using apple wood biochar: A spectroscopic study. J. Hazard. Mater. 2019, 384, 121371. [Google Scholar] [CrossRef]
- Zhang, P.; O’Connor, D.; Wang, Y.; Jiang, L.; Hou, D. A green biochar/iron oxide composite for methylene blue removal. J. Hazard. Mater. 2019, 384, 121286. [Google Scholar] [CrossRef]
- Muniandy, L.; Adam, F.; Mohamed, A.R.; Ng, E.-P. The synthesis and characterization of high purity mixed microporous/mesoporous activated carbon from rice husk using chemical activation with NaOH and KOH. Microporous Mesoporous Mater. 2014, 197, 316–323. [Google Scholar] [CrossRef]
- Demirbas, A. Effect of temperature on pyrolysis products from four nut shells. J. Anal. Appl. Pyrolysis 2006, 76, 285–289. [Google Scholar] [CrossRef]
- Demiral, H.; Güngör, C. Adsorption of copper(II) from aqueous solutions on activated carbon prepared from grape bagasse. J. Clean. Prod. 2016, 126, 103–113. [Google Scholar] [CrossRef]
- Ca Rpio, I.M.; Machado-Santelli, G.; Sakata, S.K.; Filho, S.F.; Rodrigues, D.F. Copper removal using a heavy-metal resistant microbial consortium in a fixed-bed reactor. Water Res. 2014, 62, 156–166. [Google Scholar] [CrossRef]
- Larous, S.; Meniai, A.H.; Lehocine, M.B. Experimental study of the removal of copper from aqueous solutions by adsorption using sawdust. Desalination 2005, 185, 483–490. [Google Scholar] [CrossRef]
- Chen, J.; Clark, M.; Yan, Y. Adsorption of copper to different biogenic oyster shell structures. Appl. Surf. Sci. 2014, 311, 264–272. [Google Scholar]
- Drage, T.C. Activated Carbon Adsorption, Roop Chand Bansal, Goyal Meenakshi, CRC Press, Taylor & Francis Group (2005), pp. 520, Hardback, $170.96, ISBN: 0-8247-5344-5. Fuel 2007, 86, 313. [Google Scholar]
- Revellame, E.D.; Fortela, D.L.; Sharp, W.; Hernandez, R.; Zappi, M. Adsorption kinetic modeling using pseudo-first order and pseudo-second order rate laws: A review. Clean. Eng. Technol. 2020, 1, 100032. [Google Scholar] [CrossRef]
- Lyu, H.; Tang, J.; Huang, Y.; Gai, L.; Zeng, E.Y.; Liber, K.; Gong, Y. Removal of hexavalent chromium from aqueous solutions by a novel biochar supported nanoscale iron sulfide composite. Chem. Eng. J. 2017, 322, 516–524. [Google Scholar] [CrossRef]
- Zhang, J.; Zhong, Z.; Guo, H.; Jiang, X. Preparation of Bamboo-Based Activated Carbon. In Proceedings of the 2010 Asia-Pacific Power and Energy Engineering Conference, Chengdu, China, 28–31 March 2010. [Google Scholar]
- Oezcimen, D.; Ersoy-Mericboyu, A. Removal of copper from aqueous solutions by adsorption onto chestnut shell and grapeseed activated carbons. J. Hazard. Mater. 2009, 168, 1118–1125. [Google Scholar] [CrossRef] [PubMed]
- Milenković, D.D.; Dašić, P.V.; Veljković, V.B. Ultrasound-assisted adsorption of copper(II) ions on hazelnut shell activated carbon. Ultrason. Sonochem. 2009, 16, 557–563. [Google Scholar] [CrossRef] [PubMed]












| Adsorbent | SBET a (m2 g−1) | Vtotal b (cm3 g−1) | Vmicro c (cm3 g−1) | Vmeso d (cm3 g−1) | Vmicro/Vtotal % | Vmeso/Vtotal% | Dave(nm) | |
|---|---|---|---|---|---|---|---|---|
| BC | 468 | 0.303 | 0.154 | 0.149 | 50.8 | 49.2 | 2.921 | |
| BPC 2.5-700 | 1405 | 0.582 | 0.518 | 0.064 | 89.0 | 11.0 | 1.913 | |
| BPC 2.5-800 | 1688 | 0.729 | 0.626 | 0.103 | 85.9 | 14.1 | 2.130 | |
| BPC 2.5-900 | 1793 | 0.894 | 0.615 | 0.279 | 68.8 | 31.2 | 2.414 | |
| BPC 2.5-1000 | 1528 | 0.724 | 0.532 | 0.192 | 73.4 | 26.6 | 2.435 | |
| BPC 1-900 | 1301 | 0.556 | 0.478 | 0.078 | 86.0 | 14.0 | 1.872 | |
| BPC 2-900 | 1607 | 0.760 | 0.588 | 0.172 | 77.3 | 22.7 | 2.232 | |
| BPC 3-900 | 1612 | 0.798 | 0.569 | 0.229 | 71.3 | 28.7 | 2.246 | |
| BPC 3.5-900 | 1508 | 0.729 | 0.537 | 0.192 | 73.7 | 26.3 | 2.268 | |
| FBPC 2.5-900-1% | 1823 | 1.265 | 0.608 | 0.657 | 48.1 | 51.9 | 3.685 | |
| FBPC 2.5-900-2% | 1996 | 1.571 | 0.659 | 0.912 | 41.9 | 58.1 | 3.890 | |
| FBPC 2.5-900-4% | 1894 | 1.380 | 0.618 | 0.762 | 44.8 | 55.2 | 3.792 | |
| FBPC 2.5-900-6% | 1537 | 0.935 | 0.492 | 0.443 | 52.6 | 47.4 | 3.603 | |
| Sample | qe, exp (mg g−1) | Pseudo-First-Order Equation | Pseudo-Second-Order Equation | ||||
|---|---|---|---|---|---|---|---|
| qe, cal (mg g −1) | K1 (L h−1) | R2 | qe, cal (mg g −1) | K2 (g mg−1 h−1) | R2 | ||
| FBPC 2.5-900-1% | 19.90 | 19.07 | 0.060 | 0.9612 | 20.32 | 0.007 | 0.9987 |
| FBPC 2.5-900-2% | 27.50 | 26.70 | 0.081 | 0.9425 | 27.86 | 0.011 | 0.9994 |
| FBPC 2.5-900-4% | 25.36 | 25.01 | 0.074 | 0.9718 | 26.10 | 0.009 | 0.9995 |
| Sample | Langmuir | Freundlich | ||||
|---|---|---|---|---|---|---|
| qm (mg g−1) | KL (L g−1) | R2 | KF (mg g−1) | n (L g−1) | R2 | |
| FBPC 2.5-900-1% | 221 | 0.21 | 0.96 | 43.15 | 2.54 | 0.87 |
| FBPC 2.5-900-2% | 256 | 0.30 | 0.97 | 61.53 | 2.72 | 0.91 |
| FBPC 2.5-900-4% | 238 | 0.27 | 0.96 | 44.25 | 2.36 | 0.89 |
| Adsorbent | SBET (m2 g−1) | Vtotal (cm3 g−1) | Functional Group | Maximum Capacity (mg g−1) | Equilibrium Time (min) | Reference |
|---|---|---|---|---|---|---|
| Chestnut shell-activated carbon | 1319 | 0.57 | -OH, C-H, C=C, C=O | 98 | 120 | [42] |
| Grape bagasse-activated carbon | 1455 | 0.88 | -OH, C-H, C=C, C=O | 44 | 180 | [34] |
| Rice husk-activated carbons | 232 | 0.15 | -OH, C-H, -CH2, C=O, C=C | 21 | 1440 | [26] |
| Hazelnut shell-activated carbon | 1651 | 1.38 | — | 239 | 120 | [43] |
| Bamboo shaving-activated carbon | 1996 | 1.571 | -OH, C-H, C-C, C=O, C-O | 256 | 70 | This work |
Publisher’s Note: MDPI stays neutral with regard to jurisdictional claims in published maps and institutional affiliations. |
© 2021 by the authors. Licensee MDPI, Basel, Switzerland. This article is an open access article distributed under the terms and conditions of the Creative Commons Attribution (CC BY) license (https://creativecommons.org/licenses/by/4.0/).
Share and Cite
Zhang, Y.; Qiu, G.; Wang, R.; Guo, Y.; Guo, F.; Wu, J. Preparation of Bamboo-Based Hierarchical Porous Carbon Modulated by FeCl3 towards Efficient Copper Adsorption. Molecules 2021, 26, 6014. https://doi.org/10.3390/molecules26196014
Zhang Y, Qiu G, Wang R, Guo Y, Guo F, Wu J. Preparation of Bamboo-Based Hierarchical Porous Carbon Modulated by FeCl3 towards Efficient Copper Adsorption. Molecules. 2021; 26(19):6014. https://doi.org/10.3390/molecules26196014
Chicago/Turabian StyleZhang, Yixin, Guofeng Qiu, Rumeng Wang, Yang Guo, Fanhui Guo, and Jianjun Wu. 2021. "Preparation of Bamboo-Based Hierarchical Porous Carbon Modulated by FeCl3 towards Efficient Copper Adsorption" Molecules 26, no. 19: 6014. https://doi.org/10.3390/molecules26196014
APA StyleZhang, Y., Qiu, G., Wang, R., Guo, Y., Guo, F., & Wu, J. (2021). Preparation of Bamboo-Based Hierarchical Porous Carbon Modulated by FeCl3 towards Efficient Copper Adsorption. Molecules, 26(19), 6014. https://doi.org/10.3390/molecules26196014

