Essential Oils from Bolivia. XV. Herzogole, an Original Monoterpene Benzodioxole from an Essential Oil from Pentacalia herzogii (Cabrera) Cuatrec
Abstract
1. Introduction
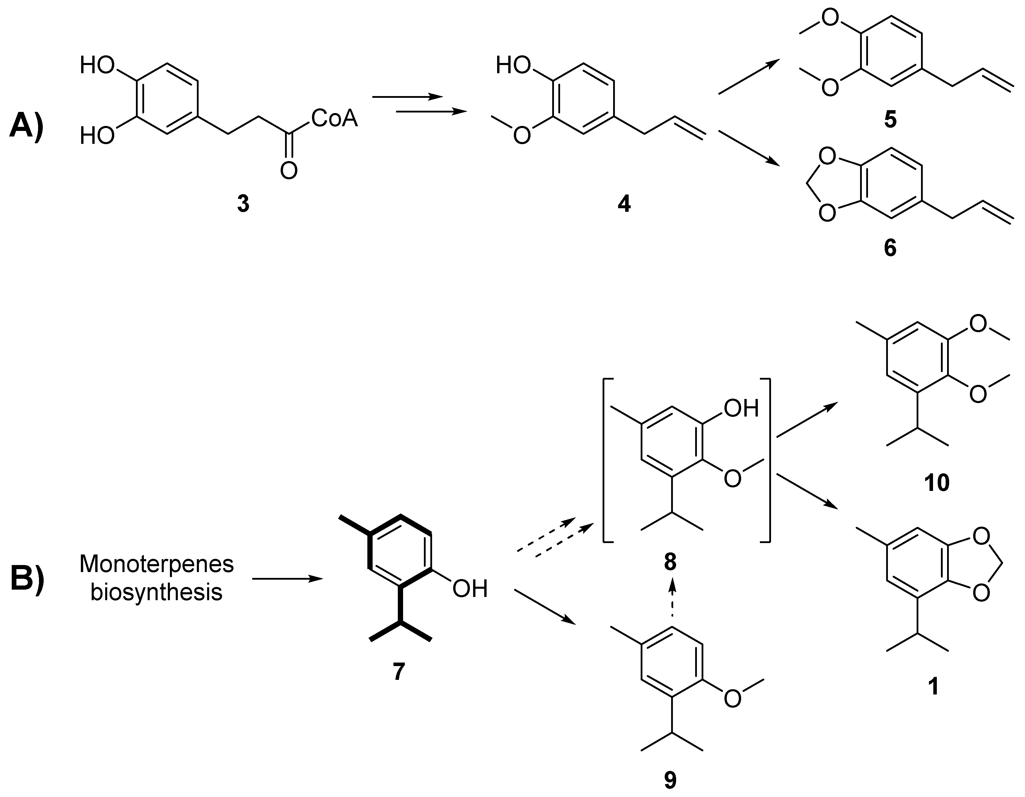
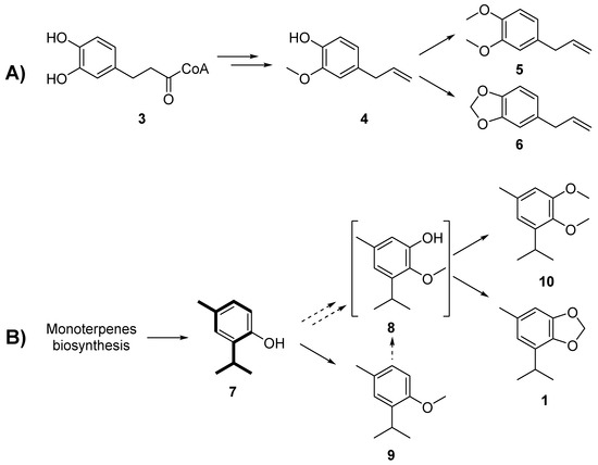
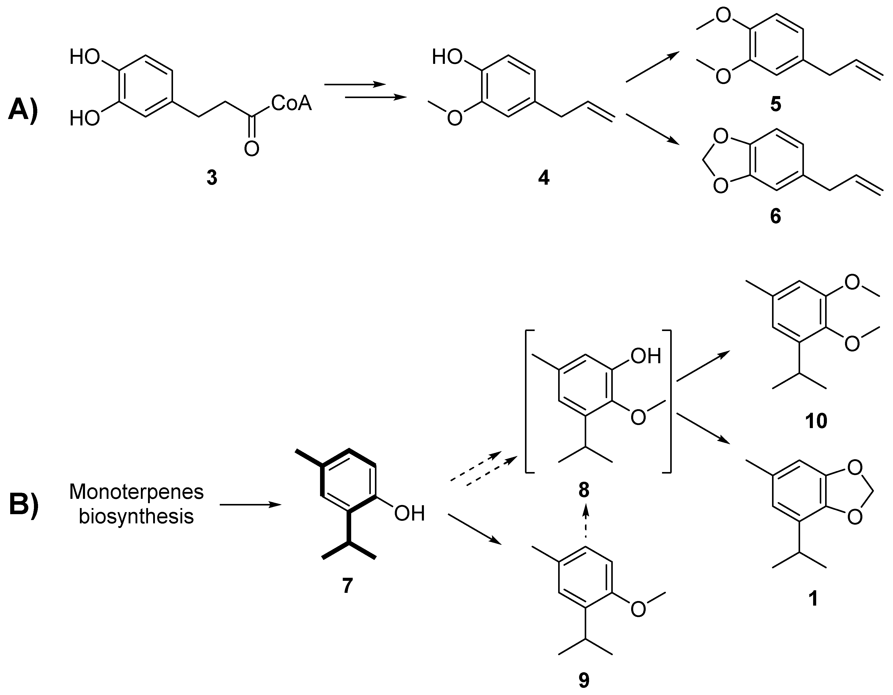
2. Results and Discussion
3. Conclusions
4. Materials and Methods
4.1. Plant Material
4.2. Essential Oil Extraction
4.3. General Experimental Procedures
4.4. Isolation, Synthesis and Structural Elucidation
Supplementary Materials
Author Contributions
Funding
Institutional Review Board Statement
Informed Consent Statement
Data Availability Statement
Acknowledgments
Conflicts of Interest
References
- Wood, J.R.I. Clinopodium L. (Lamiaceae) in Bolivia. Kew Bull. 2011, 66, 199–226. [Google Scholar] [CrossRef]
- Arze, J.B.L.; Collin, G.; Jean, F.-I.; Gagnon, H. Essential oils from Bolivia. XIV. Lamiaceae: Clinopodium axillare. Am. J. Essent. Oils Nat. Prod. 2019, 7, 1–5. [Google Scholar]
- Loayza, I.; Deslauriers, H.; Jean, F.-I.; Collin, G.J. Volatile constituents of the essential oil of Lepidophyllum quadrangulare (Meyen) Benth and Hook. J. Essent. Oil Res. 1992, 4, 83–85. [Google Scholar] [CrossRef]
- Muñoz-Collazos, S.; Soriano-Ferrufino, J.; Collin, G.J.; Jean, F.-I.; Deslauriers, H. Variability in the composition of the essential oils of Mintostachys andina in central Bolivia. Phytochemistry 1993, 33, 123–127. [Google Scholar] [CrossRef]
- Loayza, I.; Abujder, D.; Aranda, R.; Jakupovic, J.; Collin, G.; Deslauriers, H.; Jean, F.-I. Essential oils of Baccharis salicifolia, B. latifolia and B. dracunculifolia. Phytochemistry 1995, 38, 381–389. [Google Scholar] [CrossRef]
- Arze, J.B.L.; Garneau, F.-X.; Collin, G.; Jean, F.-I.; Gagnon, H. Essential oils from Bolivia. I. Asteraceae: Baccharis tricuneata (L.f.) Pers. var. ruiziana Cuatrecassas. J. Essent. Oil Res. 2004, 16, 429–431. [Google Scholar] [CrossRef]
- Garneau, F.-X.; Collin, G.J.; Jean, F.-I.; Gagnon, H.; Arze, J.B.L. Essential oils from Bolivia. XII. Asteraceae: Ophryosporus piquerioides (D.C.) Benth. ex Baker. J. Essent. Oil Res. 2013, 25, 388–394. [Google Scholar] [CrossRef]
- Laurent, D.; Vilaseca, L.A.; Chantraine, J.-M.; Ballivan, C.; Saavedra, G.; Ibañez, R. Insecticidal activity of essential oils on Triatoma infestans. Phyther. Res. 1997, 11, 285–290. [Google Scholar] [CrossRef]
- Rosas-Romero, A.; Saavedra, G. Screening Bolivian plants for antioxidant activity. Pharm. Biol. 2005, 43, 79–86. [Google Scholar] [CrossRef]
- Arze, J.B.L.; Collin, G. Preliminary results on Senecio herzogii essential oil. 1998; unpublished results. [Google Scholar]
- Hassler, M. World Plants. Synonymic Checklist and Distribution of the World Flora, Version 12.2. Available online: www.worldplants.de (accessed on 12 May 2021).
- Najar, B.; Pistelli, L.; Mancini, S.; Fratini, F. Chemical composition and in vitro antibacterial activity of essential oils from different species of Juniperus (section Juniperus). Flavour Fragr. J. 2020, 35, 623–638. [Google Scholar] [CrossRef]
- Chemical Abstract Services: SciFinder. Available online: https://scifinder-cas-org (accessed on 18 April 2021).
- Bohlmann, F.; Knoll, K.-H.; Zdero, C.; Mahanta, P.K.; Grenz, M.; Suwita, A.; Ehlers, D.; Le Van, N.; Abraham, W.-R.; Natu, A.A. Terpen-derivate aus Senecio-arten. Phytochemistry 1977, 16, 965–985. [Google Scholar] [CrossRef]
- Joshi, R.K. GC/MS analysis of the essential oil of Senecio belgaumensis flowers. Nat. Prod. Commun. 2011, 6, 1145–1146. [Google Scholar] [CrossRef] [PubMed]
- Joshi, R.K. Chemical constituents of essential oil of Senecio bombayensis flower. Maejo Int. J. Sci. Technol. 2014, 8, 161–164. [Google Scholar]
- Usta, A.; Ücüncü, O.; Cansu, T.B.; Terzioglu, S.; Yayli, N. Chemical composition of the essential oils from flowers of Senecio vernalis and Senecio platyphyllus var. platyphyllus. Asian J. Chem. 2009, 21, 6369–6374. [Google Scholar]
- Thakuri, B.C.; Padalia, R.C.; Chanotiya, C.S.; Tiwari, A.; Mathela, C.S.; Kharkwal, H. Sesquiterpene rich oils from leaves and roots of Senecio rufinervis DC. J. Essent. Oil Res. 2008, 20, 435–436. [Google Scholar] [CrossRef]
- Lu, S.; Su, Y.; Guo, Y. Analysis of the volatile compounds in Senecio scandens Buch-Ham by gas chromatography-tandem mass spectrometry based on diversified scan technologies. Eur. J. Mass Spectrom. 2011, 17, 353–363. [Google Scholar] [CrossRef]
- Joshi, R.K. Volatile constituents of Senecio tenuifolius from India. Chem. Nat. Compd. 2016, 52, 1–2. [Google Scholar] [CrossRef]
- Üçüncü, O.; Yaylı, N.; Yaşar, A.; Terzioğlu, S.; Yaylı, N. Chemical composition of the essential oils from flower, leaf, and stem of Senecio trapezuntinus Boiss. Grown in Turkey. Nat. Prod. Commun. 2008, 3, 925–928. [Google Scholar] [CrossRef]
- Radulovic, N.S.; Mladenovic, M.Z.; Blagojevic, P.D. (Un)Targeted metabolomics in Asteraceae: Probing the applicability of essential-oil profiles of Senecio L. (Senecioneae) taxa in chemotaxonomy. Chem. Biodivers. 2014, 11, 1330–1353. [Google Scholar] [CrossRef]
- Dambolena, J.S.; Zunino, M.P.; Banchio, E.; Lucini, E.I.; Biurrun, F.N.; Rotman, A.; Ahumada, O.; Zygadlo, J.A. Essential oil composition of three species of Senecio from Argentina. J. Essent. Oil-Bearing Plants 2008, 11, 623–627. [Google Scholar] [CrossRef]
- Arancibia, L.; Naspi, C.; Pucci, G.; Arce, M. Aromatic plants from patagonia: Chemical composition and antimicrobial activity of the essential oil of Senecio mustersii and S. subpanduratus. Bol. Latinoam. y del Caribe Plantas Med. y Aromat. 2010, 9, 123–126. [Google Scholar]
- Benites, J.; Bravo, F.; Rojas, M.; Fuentes, R.; Moiteiro, C.; Venancia, F. Composition and antimicrobial screening of the essential oil from the leaves and stems of Senecio atacamensis Phil. from Chile. J. Chil. Chem. Soc. 2011, 2, 2009–2011. [Google Scholar] [CrossRef]
- de Feo, V.; Soria, E.U.; Soria, R.U.; Senatore, F. Chemical composition of essential oils of Senecio nutans Sch.-Bip. (Asteraceae). Flavour Fragr. J. 2003, 18, 234–236. [Google Scholar] [CrossRef]
- Murari, A.L.; de Carvalho, F.H.; Heinzmann, B.M.; Michelot, T.M.; Hörner, R.; Mallmann, C.A. Composição e atividade antibacteriana dos óleos essenciais de Senecio crassiflorus var. crassiflorus. Quim. Nova 2008, 31, 1081–1084. [Google Scholar] [CrossRef][Green Version]
- Silva, G.N.S.; Spader, T.B.; Alves, S.H.; Mallmann, C.A.; Heinzmann, B.M. Composition and evaluation of the antimicrobial activity of the essential oil of Senecio selloi Spreng DC. Rev. Bras. Plantas Med. 2013, 15, 503–507. [Google Scholar] [CrossRef]
- Galvez, C.E.; Jimenez, C.M.; Gomez, A.D.L.A.; Lizarraga, E.F.; Sampietro, D.A. Chemical composition and antifungal activity of essential oils from Senecio nutans, Senecio viridis, Tagetes terniflora and Aloysia gratissima against toxigenic Aspergillus and Fusarium species. Nat. Prod. Res. 2020, 34, 1442–1445. [Google Scholar] [CrossRef]
- Baser, K.H.; Özek, T.; Kürkçüoglu, M.; Tümen, G. Composition of the essential oil of Origanum sipyleum of turkish origin. J. Essent. Oil Res. 1992, 4, 139–142. [Google Scholar] [CrossRef]
- Laghmouchi, Y.; Belmehdi, O.; Senhaji, N.S.; Abrini, J. Chemical composition and antibacterial activity of Origanum compactum Benth. essential oils from different areas at northern Morocco. South. African J. Bot. 2018, 115, 120–125. [Google Scholar] [CrossRef]
- Dob, T.; Dahmane, D.; Benabdelkader, T.; Chelghoum, C. Composition and antimicrobial activity of the essential oil of Thymus fontanesii. Pharm. Biol. 2006, 44, 607–612. [Google Scholar] [CrossRef]
- Pande, C.; Tewari, G.; Singh, C.; Singh, S. Essential oil composition of aerial parts of Cyclospermum leptophyllum (Pers.) Sprague ex Britton and P. Wilson. Nat. Prod. Res. 2011, 25, 592–595. [Google Scholar] [CrossRef]
- Souhaiel, N.; Sifaoui, I.; Ben Hassine, D.; Bleton, J.; Bonose, M.; Moussa, F.; Piñero, J.E.; Lorenzo-Morales, J.; Abderrabba, M. Ammoides pusilla (Apiaceae) essential oil: Activity against Acanthamoeba castellanii Neff. Exp. Parasitol. 2017, 183, 99–103. [Google Scholar] [CrossRef]
- Asamenew, G.; Tadesse, S.; Asres, K.; Mazumder, A.; Bucar, F. A study on the composition, antimicrobial and antioxidant activities of the leaf essential oil of Apium leptophylum (Pers.) Benth. growing in Ethiopia. Ethiop. Pharm. J. 2009, 26. [Google Scholar] [CrossRef]
- Özcan, M.; Akgül, A.; Başer, K.H.C.; Özck, T.; Tabanca, N. Essential oil composition of sea fennel (Crithmum maritimum) form Turkey. Nahrung Food 2001, 45, 353–356. [Google Scholar] [CrossRef]
- Flamini, G.; Mastrorilli, E.; Cioni, P.L.; Panizzi, L. Essential oil from Crithmum maritimum grown in Liguria (Italy): Seasonal variation and antimicrobial activity. J. Essent. Oil Res. 1999, 11, 788–792. [Google Scholar] [CrossRef]
- Senatore, F.; de Feo, V. Essential oil of a possible new chemotype of Crithmum maritimum L. growing in Campania (Southern Italy). Flavour Fragr. J. 1994, 9, 305–307. [Google Scholar] [CrossRef]
- Barroso, J.G.; Pedro, L.G.; Pais, M.S.S.; Scheffer, J.J.C. Analysis of the essential oil of Crithmum maritimum L. J. Essent. Oil Res. 1991, 3, 313–316. [Google Scholar] [CrossRef]
- Poulose, A.J.; Croteau, R. Biosynthesis of aromatic monoterpenes. Arch. Biochem. Biophys. 1978, 187, 307–314. [Google Scholar] [CrossRef]
- Tissandié, L.; Viciana, S.; Brevard, H.; Meierhenrich, U.J.; Filippi, J.J. Towards a complete characterisation of guaiacwood oil. Phytochemistry 2018, 149, 64–81. [Google Scholar] [CrossRef]
- van Den Dool, H.; Kratz, P.D. A generalization of the retention index system including linear temperature programmed gas—liquid partition chromatography. J. Chromatogr. A 1963, 11, 463–471. [Google Scholar] [CrossRef]
- Kováts, E. Gas-chromatographische charakterisierung organischer verbindungen. Teil 1: Retentionsindices aliphatischer Halogenide, Alkohole, Aldehyde und Ketone. Helv. Chim. Acta 1958, 41, 1915–1932. [Google Scholar] [CrossRef]
- Ghosh, D.; Basu, S.; Singha, M.; Das, J.; Bhattacharya, P.; Basak, A. Synthesis of crescent shaped heterocycle-fused aromatics via Garratt-Braverman cyclization and their DNA-binding studies. Tetrahedron Lett. 2017, 58, 2014–2018. [Google Scholar] [CrossRef]
- Liu, J.; Xu, C.; Zhang, H.; Liu, F.; Ma, D.; Liu, Z. Comparative transcriptomics analysis for gene mining and identification of a cinnamyl alcohol dehydrogenase involved in methyleugenol biosynthesis from Asarum sieboldii Miq. Molecules 2018, 23, 3184. [Google Scholar] [CrossRef]
- Zhao, X.Z.; Maddali, K.; Smith, S.J.; Métifiot, M.; Johnson, B.C.; Marchand, C.; Hughes, S.H.; Pommier, Y.; Burke, T.R. 6,7-Dihydroxy-1-oxoisoindoline-4-sulfonamide-containing HIV-1 integrase inhibitors. Bioorg. Med. Chem. Lett. 2012, 22, 7309–7313. [Google Scholar] [CrossRef] [PubMed]
- Shimizu, Y.; Imayoshi, Y.; Kato, M.; Maeda, K.; Iwabuchi, H.; Shimomura, K. New eudesmane-type sesquiterpenoids and other volatile constituents from the roots of Gynura bicolor DC. Flavour Fragr. J. 2011, 26, 55–64. [Google Scholar] [CrossRef]
- Ayubova, M.; Guelleh, Z.O.; Guelleh, M.O.; Brévard, H.; Baldovini, N. Analytical investigations on Boswellia occulta essential oils. Phytochemistry 2019, 164, 78–85. [Google Scholar] [CrossRef] [PubMed]
- Adams, R.P. Identification of Essential Oil Components by Gas Chromatography/Mass Spectrometry, 4th ed.; Allured Publisher Corporation: Carol Stream, IL, USA, 2007. [Google Scholar]
- National Institute of Standards and Technology. NIST Mass Spectral Database; NIST17; National Institute of Standards and Technology: Gaithersburg, MD, USA, 2017. [Google Scholar]
- Hochmuth, D.H. MassFinder 4; 4.25; Hochmuth Scientific Consulting: Hamburg, Germany, 2004. [Google Scholar]




| Peak No. | Compound | RI (DB-5) 1 | RI (DB-Wax) 2 | % |
|---|---|---|---|---|
| 3 | Hexanal | 801 | 1047 | 0.05 |
| 4 | (2E)-Hex-2-enal | 849 | 1176 | 0.05 |
| 5 | Hexanol | 873 | 1327 | tr |
| 6 | Nonene | 893 | 923 | tr |
| 7 | Tricyclene | 918 | 974 | 0.05 |
| 8 | α-Thujene | 926 | 1002 | 0.1 |
| 9 | α-Pinene | 933 | 998 | 33.6 |
| 10 | Camphene | 943 | 1029 | 0.1 |
| 11 | β-Pinene | 970 3 | 1068 | 0.6 |
| 12 | Sabinene | 970 3 | 1087 | 1.6 |
| 13 | Dehydro-1,8-cineole | 986 | 1154 | tr |
| 14 | Myrcene | 992 | 1136 | 1.2 |
| 15 | α-Phellandrene | 1001 | 1128 | 0.8 |
| 16 | Δ3-Carene | 1007 | 1112 | 0.1 |
| 17 | α-Terpinene | 1013 | 1142 | tr |
| 18 | para-Cymene | 1021 | 1229 | 1.9 |
| 19 | Limonene | 1028 3 | 1163 | 21.6 |
| 20 | β-Phellandrene | 1028 3 | 1167 | 0.1 |
| 21 | 1,8-Cineole | 1028 3 | 1169 | tr |
| 22 | (Z)-β-Ocimene | 1039 | 1205 | tr |
| 23 | (E)-β-Ocimene | 1049 | 1220 | 0.05 |
| 24 | γ-Terpinene | 1056 | 1207 | 0.3 |
| 25 | cis-Sabinene hydrate | 1064 | 1430 | tr |
| 26 | Octanol | 1075 | 1524 3 | tr |
| 27 | Terpinolene | 1088 3 | 1242 | 0.1 |
| 28 | para-Cymenene | 1088 3 | 1390 | tr |
| 29 | Linalool | 1100 | 1521 | 0.05 |
| 30 | Nonanal | 1104 | 1357 | tr |
| 31 | (E)-4,8-Dimethylnona-1,3,7-triene | 1118 | 1277 | 0.05 |
| 32 | trans-Limonene oxide | 1134 | 1409 | tr |
| 33 | Terpinen-4-ol | 1174 | 1555 | 0.05 |
| 34 | α-Terpineol | 1189 | 1648 | tr |
| 35 | Isothymol methyl ether (9) | 1234 | 1539 3 | 6 |
| 36 | Thymol methyl ether | 1239 | 1552 | 6.6 |
| 37 | Carvacrol methyl ether | 1246 | 1560 3 | 0.6 |
| 38 | Isomer of thymol methyl ether | 1252 | 1571 | tr |
| 39 | Carvacrol | 1307 | 2157 | tr |
| 40 | Herzogole (1) | 1330 | 1749 | 9.2 |
| 41 | δ-Elemene | 1336 | 1434 | 0.3 |
| 42 | α-Cubebene | 1348 | 1421 | tr |
| 43 | α-Ylangene | 1369 | 1440 | tr |
| 44 | α-Copaene | 1372 | 1448 | 0.05 |
| 45 | α-Isocomene | 1380 3 | 1482 | tr |
| 46 | β-Bourbonene | 1380 3 | 1473 | tr |
| 47 | 1-Isopropyl-2,3-dimethoxy-5-methylbenzene (10) | 1387 3 | 1776 3 | tr |
| 48 | β-Cubebene | 1387 3 | 1495 | 0.1 |
| 49 | β-Elemene | 1390 | 1545 3 | tr |
| 50 | Opposita-4(15),11-diene | 1413 3 | 1560 3 | tr |
| 51 | β-Caryophyllene | 1413 3 | 1545 3 | 0.3 |
| 52 | Cascarilladiene | 1413 3 | 1524 3 | tr |
| 53 | β-Copaene | 1424 | 1539 3 | 0.05 |
| 54 | 2,3,5-Trimethoxy-para-cymene? | 1430 | 1776 3 | tr |
| 55 | Isogermacrene D | 1439 3 | 1588 | tr |
| 56 | Selina-5,11-diene | 1439 3 | 1566 | tr |
| 57 | α-Humulene | 1448 | 1613 | 1.1 |
| 58 | Germacrene D | 1477 | 1655 | 7.5 |
| 59 | Liguloxide epimer | 1481 | 1638 | 0.2 |
| 60 | β-Selinene | 1483 | 1661 | 0.1 |
| 61 | δ-Selinene | 1487 | 1644 | 0.5 |
| 62 | α-Selinene | 1491 3 | 1666 | 0.05 |
| 63 | epi-Cubebol | 1491 3 | 1842 | 0.2 |
| 64 | Bicyclogermacrene | 1491 3 | 1676 3 | 0.5 |
| 65 | α-Zingiberene | 1495 | 1678 | 0.2 |
| 66 | α-Muurolene | 1497 | 1676 3 | 0.1 |
| 67 | γ-Cadinene | 1508 3 | 1703 | tr |
| 68 | β-Bisabolene | 1508 3 | 1684 | 0.2 |
| 69 | Cubebol | 1510 | 1892 | 0.1 |
| 70 | Kessane | 1515 | 1714 | 0.1 |
| 71 | δ-Cadinene | 1521 | 1706 | 0.2 |
| 72 | Bulnesoxide | 1522 | 1727 | 0.7 |
| 73 | Selina-4(15),7(11)-diene | 1529 | 1718 | 0.1 |
| 74 | Germacrene B | 1549 | 1766 3 | 0.05 |
| 75 | Gynurenol | 1556 | 0.05 | |
| 76 | Eudesma-5,7(11)-diene | 1557 | 1766 3 | 0.2 |
| 77 | (E)-Nerolidol | 1564 | 2006 | 0.5 |
| 78 | Germacrene D-4-ol | 1570 | 1995 | 0.05 |
| 79 | Gynuradienol | 1574 | tr | |
| 80 | Caryophyllene oxide | 1576 | 1911 | 0.05 |
| 81 | Cubeban-11-ol | 1584 | 1991 | tr |
| 82 | Eudesm-5-en-11-ol | 1596 | 2057 3 | 0.1 |
| 83 | 4,10-diepi-Guaiol | 1608 | 2057 3 | 0.1 |
| 84 | Eremoligenol | 1622 | 2116 3 | 0.1 |
| 85 | Isoguaiol isomer(s) | 1636 | 2116 3 | 0.6 |
| 86 | β-Eudesmol | 1642 | 2164 | 0.1 |
| 87 | α-Eudesmol | 1645 | 2153 | tr |
| 88 | α-Cadinol | 1648 | 2172 | 0.1 |
| 89 | ent-Germacra-4(15),5,10(14)-trien-1-ol | 1678 | 2292 | 0.05 |
| 90 | Shyobunol | 1681 | 2256 | tr |
| 91 | Juniper camphor | 1687 | tr | |
| 92 | Neophytadiene | 1843 | 0.05 | |
| Total identified | 98.8% | |||
| Species | Origin | Key Constituents of Essential Oil (%) 1 | Reference |
|---|---|---|---|
| S. belgaumensis | India | 1-Undecanol (19.5) β-caryophyllene (18.9) Τhymol methyl ether (0.4) | [15] |
| S. bombayensis | India | Linalool (26.3) β-Cedrene (14.5) Thymol methyl ether (0.7) Carvacrol methyl ether (1.9) | [16] |
| S. platyphyllus | Turkey | β-Pinene (13) α-pinene (10.5) Δ3-Carene (10.4) Thymol methyl ether (0.1) | [17] |
| S. rufinervis | India | Germacrene D (33.7 and 32.9) 2 Germacrene A (1.2 and 10.5) 2 Thymol methyl ether (0.2 and 0.3) 2 Carvacrol methyl ether (0.5 and 0.1) 2 | [18] |
| S. scandens (leaves) | China | α-Pinene (11.9) Dehydrosabinene (6.2) o-Methyl thymol (1.3) | [19] |
| S. tenuifolius | India | (E)-β-Farnesene (16.9) γ-Curcumene (16.3) β-Caryophyllene (14.5) Thymol methyl ether (0.1) | [20] |
| S. trapezuntinus | Turkey | (E)-β-Farnesene (16.9) β-Selinene (11.8) Thymol methyl ether (0.2) | [21] |
| S. vernalis (roots) | Serbia | β-Humulene (1.1) Thymol methyl ether (0.7) Carvacrol methyl ether (0.7) | [22] |
| Parameter | GC-FID | GC-MS |
|---|---|---|
| Instrument | Agilent 7890A GC with two FID detectors | Agilent 7890B GC with 5977B MS |
| Columns | DB-5 and DB-Wax (Agilent) 10 m × 0.10 mm × 0.10 μm | HP-5MS or DB-WaxUI (Agilent) 30 m × 0.25 mm × 0.25 μm |
| Carrier gas | H2 (0.7 mL/min, constant flow) | He (1.0 mL/min, constant flow) |
| Oven temperature program | 35 °C (1 min) to 250 °C at 9 °C/min | 40 °C (2 min) to 270 °C (5 min) at 4 °C/min |
| Injection | Neat, 0.03 µL; split 300:1 | Neat, 0.5 µL; split 200:1 and 50:1 1 |
| Injector inlet temperature | 250 °C | 250 °C |
| Detector temperature | 250 °C | Source 230 °C; quadrupole 150 °C |
| Other detector parameters | Air 450 mL/min, H2 40 mL/min, N2 30 mL/min | 70 eV; scan rate 0.33 s between 40 and 550 amu |
Publisher’s Note: MDPI stays neutral with regard to jurisdictional claims in published maps and institutional affiliations. |
© 2021 by the authors. Licensee MDPI, Basel, Switzerland. This article is an open access article distributed under the terms and conditions of the Creative Commons Attribution (CC BY) license (https://creativecommons.org/licenses/by/4.0/).
Share and Cite
St-Gelais, A.; Maldonado, E.M.; Saavedra, G.; Siles-Alvarado, S.; Alsarraf, J.; Collin, G.; Pichette, A. Essential Oils from Bolivia. XV. Herzogole, an Original Monoterpene Benzodioxole from an Essential Oil from Pentacalia herzogii (Cabrera) Cuatrec. Molecules 2021, 26, 5766. https://doi.org/10.3390/molecules26195766
St-Gelais A, Maldonado EM, Saavedra G, Siles-Alvarado S, Alsarraf J, Collin G, Pichette A. Essential Oils from Bolivia. XV. Herzogole, an Original Monoterpene Benzodioxole from an Essential Oil from Pentacalia herzogii (Cabrera) Cuatrec. Molecules. 2021; 26(19):5766. https://doi.org/10.3390/molecules26195766
Chicago/Turabian StyleSt-Gelais, Alexis, Eliana M. Maldonado, Gloria Saavedra, Samuel Siles-Alvarado, Jérôme Alsarraf, Guy Collin, and André Pichette. 2021. "Essential Oils from Bolivia. XV. Herzogole, an Original Monoterpene Benzodioxole from an Essential Oil from Pentacalia herzogii (Cabrera) Cuatrec" Molecules 26, no. 19: 5766. https://doi.org/10.3390/molecules26195766
APA StyleSt-Gelais, A., Maldonado, E. M., Saavedra, G., Siles-Alvarado, S., Alsarraf, J., Collin, G., & Pichette, A. (2021). Essential Oils from Bolivia. XV. Herzogole, an Original Monoterpene Benzodioxole from an Essential Oil from Pentacalia herzogii (Cabrera) Cuatrec. Molecules, 26(19), 5766. https://doi.org/10.3390/molecules26195766

