Regioselective C-H Functionalization of the Six-Membered Ring of the 6,5-Fused Heterocyclic Systems: An Overview
Abstract
:1. Introduction
2. C-H Activation at C4, C5, C6 and C7 Positions of 6,5-Fused Heterocyclic Systems (Direct Arylation)
2.1. Direct Arylation without Directing Groups
2.1.1. Benzofurazans
2.1.2. Benzothiadiazoles
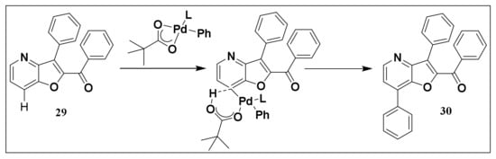
2.1.3. Furo[3,2-b]pyridines
2.1.4. Pyrazolo[1,5-a]pyrimidines
2.1.5. Benzoxazoles and Benzothiazoles
2.2. Direct Arylation with Directing Groups
2.2.1. Indole
C4 and C5 Arylations of Indoles
C6 Arylation of Indoles
C7 Arylation of Indoles
2.2.2. Indazole
C7 Arylation of Indazoles
2.2.3. Azaindazole
Direct C5 and C7 Arylation of 4-Azaindazoles
2.2.4. Azaindole
C4 Arylation of Azaindoles
C6 Arylation of Azaindoles
C7 Arylation of Azaindoles
2.2.5. Imidazo[1,2-a]pyrazine
C5 Arylation of imidazo[1,2-a]pyrazines
C6 Arylation of imidazo[1,2-a]pyrazines
2.2.6. Benzoxazole
C7 Arylation of Benzoxazoles
3. Oxidative Alkenylation at C4, C5, C6 and C7 Position of 6,5-Fused Heterocyclic Systems (C-H/C-H Activation)
3.1. Oxidative Alkenylation without Directing Groups
3.1.1. Indazole
C7-Oxidative Alkenylation
3.2. Oxidative Alkenylation with Directing Groups
3.2.1. Indole
C4-Oxidative Alkenylation
C5-Oxidative Alkenylation
C6-Oxidative Alkenylation
C7-Oxidative Alkenylation
3.2.2. Indazole
C7-Oxidative Alkenylation
4. Conclusions
Author Contributions
Funding
Institutional Review Board Statement
Informed Consent Statement
Conflicts of Interest
References
- Zhao, Q.; Meng, G.; Nolan, S.P.; Szostak, M. N-Heterocyclic Carbene Complexes in C-H Activation Reactions. Chem. Rev. 2020, 120, 1981–2048. [Google Scholar] [CrossRef]
- Ackermann, L.; Vicente, R.; Kapdi, A.R. Transition-Metal-Catalyzed Direct Arylation of (Hetero)arenes by C-H Bond Cleavage. Angew. Chem. Int. Ed. 2009, 48, 9792–9826. [Google Scholar] [CrossRef]
- Wang, C.S.; Dixneuf, P.H.; Soulé, J.F. Photoredox Catalysis for Building C-C Bonds from C(sp2)-H Bonds. Chem. Rev. 2018, 118, 7532–7585. [Google Scholar] [CrossRef]
- Huang, C.Y.; Kang, H.; Li, J.; Li, C.J. En Route to Intermolecular Cross-Dehydrogenative Coupling Reactions. J. Org. Chem. 2019, 84, 12705–12721. [Google Scholar] [CrossRef]
- Tang, S.; Zeng, L.; Lei, A. Oxidative R1-H/R2-H Cross-Coupling with Hydrogen Evolution. J. Am. Chem. Soc. 2018, 140, 13128–13135. [Google Scholar] [CrossRef] [PubMed]
- Rej, S.; Ano, Y.; Chatani, N. Bidentate Directing Groups: An Efficient Tool in C-H Bond Functionalization Chemistry for the Expedient Construction of C-C Bonds. Chem. Rev. 2020, 120, 1788–1887. [Google Scholar] [CrossRef]
- Sambiagio, C.; Schönbauer, D.; Blieck, R.; Dao-Huy, T.; Pototschnig, G.; Schaaf, P.; Wiesinger, T.; Zia, M.F.; Wencel-Delord, J.; Besset, T.; et al. A Comprehensive Overview of Directing Groups Applied in Metal-Catalysed C-H Functionalisation Chemistry. Chem. Soc. Rev. 2018, 47, 6603–6743. [Google Scholar] [CrossRef] [PubMed] [Green Version]
- Rasheed, O.K.; Sun, B. Advances in Development of C–H Activation/Functionalization Using a Catalytic Directing Group. ChemistrySelect 2018, 3, 5689–5708. [Google Scholar] [CrossRef]
- Bhattacharya, T.; Pimparkar, S.; Maiti, D. Combining Transition Metals and Transient Directing Groups for C-H Functionalizations. RSC Adv. 2018, 8, 19456–19464. [Google Scholar] [CrossRef] [Green Version]
- Kommagalla, Y.; Chatani, N. Cobalt(II)-Catalyzed C–H Functionalization using an N,N′-Bidentate Directing Group. Coord. Chem. Rev. 2017, 350, 117–135. [Google Scholar] [CrossRef]
- Ping, Y.; Wang, L.; Ding, Q.; Peng, Y. Nitrile as a Versatile Directing Group for C(sp 2 )-H Functionalizations. Adv. Synth. Catal. 2017, 359, 3274–3291. [Google Scholar] [CrossRef]
- Drapeau, M.P.; Gooßen, L.J. Carboxylic Acids as Directing Groups for C−H Bond Functionalization. Chem. Eur. J. 2016, 22, 18654–18677. [Google Scholar] [CrossRef] [PubMed]
- Li, D.D.; Yuan, T.T.; Wang, G.W. Palladium-Catalyzed Ortho-arylation of Benzamides via Direct sp 2 C-H Bond Activation. J. Org. Chem. 2012, 77, 3341–3347. [Google Scholar] [CrossRef] [PubMed]
- Gao, P.; Liu, L.; Shi, Z.; Yuan, Y. Iridium(III)-Catalyzed Regioselective Direct Arylation of sp2 C-H Bonds with Diaryliodonium Salts. Org. Biomol. Chem. 2016, 14, 7109–7113. [Google Scholar] [CrossRef]
- Chen, S.; Feng, B.; Zheng, X.; Yin, J.; Yang, S.; You, J. Iridium-Catalyzed Direct Regioselective C4-Amidation of Indoles under Mild Conditions. Org. Lett. 2017, 19, 2502–2505. [Google Scholar] [CrossRef]
- Li, G.; Wan, L.; Zhang, G.; Leow, D.; Spangler, J.; Yu, J.Q. Pd(II)-Catalyzed C-H Functionalizations Directed by Distal Weakly Coordinating Functional Groups. J. Am. Chem. Soc. 2015, 137, 4391–4397. [Google Scholar] [CrossRef] [Green Version]
- Bera, S.S.; Maji, M.S. Carbamates: A Directing Group for Selective C−H Amidation and Alkylation under Cp * Co(III) Catalysis. Org. Lett. 2020, 22, 2615–2620. [Google Scholar] [CrossRef]
- Ihanainen, N.E.; Kumpulainen, E.T.T.; Koskinen, A.M.P. Palladium-Catalyzed Direct C-H Arylation of Dicyanobenzenes. Eur. J. Org. Chem. 2015, 2015, 3226–3229. [Google Scholar] [CrossRef]
- Ren, Y.; Yan, C.; Jia, J.; Wu, H.S. Theoretical Study on the Mechanism of Palladium-Catalyzed sp2 C-H Bond Activation using Cyano as a Directing Group. J. Organomet. Chem. 2016, 824, 88–98. [Google Scholar] [CrossRef]
- Liu, X.; Li, X.; Liu, H.; Guo, Q.; Lan, J.; Wang, R.; You, J. Aldehyde as a Traceless Directing Group for Rh(III)-Catalyzed C-H Activation: A Facile Access to Diverse Indolo[1,2-a]quinolines. Org. Lett. 2015, 17, 2936–2939. [Google Scholar] [CrossRef] [PubMed]
- Huang, Z.; Lumb, J.P. Phenol-Directed C-H Functionalization. ACS Catal. 2019, 9, 521–555. [Google Scholar] [CrossRef]
- Xu, X.; Luo, J. Transition Metal-Catalyzed Directing-Group-Assisted C−H Activation of Phenols. ChemSusChem 2019, 12, 4601–4616. [Google Scholar] [CrossRef]
- Hu, J.; Guan, M.; Han, J.; Huang, Z.B.; Shi, D.Q.; Zhao, Y. Palladium-Catalyzed ortho-Olefination of Phenyl Acetic and Phenyl Propylacetic Esters via C-H Bond Activation. J. Org. Chem. 2015, 80, 7896–7904. [Google Scholar] [CrossRef]
- Subhedar, D.D.; Mishra, A.A.; Bhanage, B.M. N-Methoxybenzamide: A Versatile Directing Group for Palladium-, Rhodium- and Ruthenium-Catalyzed C−H Bond Activations. Adv. Synth. Catal. 2019, 361, 4149–4195. [Google Scholar] [CrossRef]
- Nishikata, T.; Abela, A.R.; Huang, S.; Lipshutz, B.H. Cationic Pd(II)-catalyzed C-H Activation/Cross-Coupling Reactions at Room Temperature: Synthetic and Mechanistic Studies. Beilstein J. Org. Chem. 2016, 12, 1040–1064. [Google Scholar] [CrossRef] [Green Version]
- Lv, H.; Shi, J.; Huang, J.; Zhang, C.; Yi, W. Rhodium(III)-Catalyzed and MeOH-Involved Regioselective Mono-Alkenylation of: N-Arylureas with Acrylates. Org. Biomol. Chem. 2017, 15, 7088–7092. [Google Scholar] [CrossRef]
- Hu, F.; Szostak, M. Ruthenium(0)-Catalyzed C-H Arylation of Aromatic Imines under Neutral Conditions: Access to Biaryl Aldehydes. Org. Lett. 2016, 18, 4186–4189. [Google Scholar] [CrossRef] [PubMed]
- Xu, W.; Yoshikai, N. Pivalophenone Imine as a Benzonitrile Surrogate for Directed C-H Bond Functionalization. Chem. Sci. 2017, 8, 5299–5304. [Google Scholar] [CrossRef] [PubMed] [Green Version]
- Muralirajan, K.; Haridharan, R.; Prakash, S.; Cheng, C.-H. Rhodium(III)-Catalyzed in situ Oxidizing Directing Group- Assisted C-H Bond Activation and Olefination: A Route to 2-Vinylanilines. Adv. Synth. Catal. 2015, 357, 761–766. [Google Scholar] [CrossRef]
- Zhou, S.; Wang, J.; Zhang, F.; Song, C.; Zhu, J. A Versatile, Traceless C-H Activation-Based Approach for the Synthesis of Heterocycles. Org. Lett. 2016, 18, 2427–2430. [Google Scholar] [CrossRef]
- Wen, J.; Wu, A.; Miao, Y.; Zhu, J. Rhodium(III)-Catalyzed Coupling of Aromatic Ketazines or Oximes with 2-Vinyloxirane via C-H Activation. Tetrahedron Lett. 2015, 56, 5512–5516. [Google Scholar] [CrossRef]
- Yang, L.; Fu, L.; Li, G. Incorporation of Carbon Dioxide into Carbamate Directing Groups: Palladium-Catalyzed meta -C-H Olefination and Acetoxylation of Aniline Derivatives. Adv. Synth. Catal. 2017, 359, 2235–2240. [Google Scholar] [CrossRef]
- Wesch, T.; Leroux, F.R.; Colobert, F. Atropodiastereoselective C-H Olefination of Biphenyl p -Tolyl Sulfoxides with Acrylates. Adv. Synth. Catal. 2013, 355, 2139–2144. [Google Scholar] [CrossRef]
- Vanjari, R.; Guntreddi, T.; Singh, K.N. Palladium-Catalyzed Site-Selective C−H Functionalization of Weakly Coordinating Sulfonamides: Synthesis of Biaryl Sulfonamides. Chem. Asian J. 2016, 11, 696–699. [Google Scholar] [CrossRef]
- Cheng, G.; Wang, P.; Yu, J.-Q. meta -C−H Arylation and Alkylation of Benzylsulfonamide Enabled by a Palladium(II)/Isoquinoline Catalyst. Angew. Chem. Int. Ed. 2017, 56, 8183–8186. [Google Scholar] [CrossRef]
- Yadav, M.R.; Rit, R.K.; Shankar, M.; Sahoo, A.K. Sulfoximine-Directed Ruthenium-Catalyzed ortho -C-H Alkenylation of (Hetero)Arenes: Synthesis of EP3 Receptor Antagonist Analogue. J. Org. Chem. 2014, 79, 6123–6134. [Google Scholar] [CrossRef]
- Ma, Y.N.; Zhang, H.Y.; Yang, S.D. Pd(II)-Catalyzed P(O)R1R2-Directed Asymmetric C-H Activation and Dynamic Kinetic Resolution for the Synthesis of Chiral Biaryl Phosphates. Org. Lett. 2015, 17, 2034–2037. [Google Scholar] [CrossRef]
- Li, S.X.; Ma, Y.N.; Yang, S.D. P(O)R2-Directed Enantioselective C-H Olefination toward Chiral Atropoisomeric Phosphine-Olefin Compounds. Org. Lett. 2017, 19, 1842–1845. [Google Scholar] [CrossRef]
- Yokoyama, Y.; Unoh, Y.; Hirano, K.; Satoh, T.; Miura, M. Rhodium(III)-Catalyzed Regioselective C-H Alkenylation of Phenylphosphine Sulfides. J. Org. Chem. 2014, 79, 7649–7655. [Google Scholar] [CrossRef]
- Yokoyama, Y.; Unoh, Y.; Bohmann, R.A.; Satoh, T.; Hirano, K.; Bolm, C.; Miura, M. Rhodium-Catalyzed Direct Coupling of Benzothioamides with Alkenes and Alkynes through Directed C–H Bond Cleavage. Chem. Lett. 2015, 44, 1104–1106. [Google Scholar] [CrossRef] [Green Version]
- Liang, L.; Xie, M.S.; Wang, H.X.; Niu, H.Y.; Qu, G.R.; Guo, H.M. Visible-Light-Mediated Monoselective ortho C-H Arylation of 6-Arylpurine Nucleosides with Diazonium Salts. J. Org. Chem. 2017, 82, 5966–5973. [Google Scholar] [CrossRef]
- Gupta, S.; Melanson, J.A.; Vaillancourt, L.; Nugent, W.A.; Tanoury, G.J.; Schatte, G.; Snieckus, V. Pyrimidine as an Aryl C-H Activating Group. Org. Lett. 2018, 20, 3745–3748. [Google Scholar] [CrossRef]
- Teskey, C.J.; Abu Sohel, S.M.; Bunting, D.L.; Modha, S.; Greaney, M.F. Domino N -/C -Arylation via In Situ Generation of a Directing Group: Atom-Efficient Arylation Using Diaryliodonium Salts. Angew. Chem. Int. Ed. 2017, 56, 5263–5266. [Google Scholar] [CrossRef] [Green Version]
- Shome, S.; Singh, S.P. Solvent-Free Ruthenium(II)-Catalyzed C-H Activation: Synthesis of Alkenylarylpyrazole Derivatives. Eur. J. Org. Chem. 2015, 2015, 6025–6032. [Google Scholar] [CrossRef]
- Oi, S.; Sasamoto, H.; Funayama, R.; Inoue, Y. ortho-Selective Arylation of Arylazoles with Aryl Bromides Catalyzed by Ruthenium Complexes. Chem. Lett. 2008, 37, 994–995. [Google Scholar] [CrossRef]
- Ding, Q.; Ji, H.; Wang, D.; Lin, Y.; Yu, W.; Peng, Y. Pd(II)-Catalyzed ortho Arylation of 2-Arylbenzothiazoles with Aryl Iodides via Benzothiazole-Directed C-H Activation. J. Organomet. Chem. 2012, 711, 62–67. [Google Scholar] [CrossRef] [PubMed] [Green Version]
- Mei, R.; Ackermann, L. Cobalt-Catalyzed C−H Functionalizations by Imidate Assistance with Aryl and Alkyl Chlorides. Adv. Synth. Catal. 2016, 358, 2443–2448. [Google Scholar] [CrossRef]
- Yang, F.; Wu, Y.; Zhu, Z.; Zhang, J.; Li, Y. Direct ortho-Arylation of 2-Arylbenzoxazoles via C-H Activation. Tetrahedron 2008, 64, 6782–6787. [Google Scholar] [CrossRef]
- Zhou, Q.; Zhang, J.F.; Cao, H.; Zhong, R.; Hou, X.F. Synthesis of o-Alkenylated 2-Arylbenzoxazoles via Rh-Catalyzed Oxidative Olefination of 2-Arylbenzoxazoles: Scope Investigation, Structural Features, and Mechanism Studies. J. Org. Chem. 2016, 81, 12169–12180. [Google Scholar] [CrossRef]
- Li, W.-H.; Wu, L.; Li, S.-S.; Liu, C.-F.; Zhang, G.-T.; Dong, L. Rhodium-Catalyzed Hydrogen-Releasing ortho -Alkenylation of 7-Azaindoles. Chem. Eur. J. 2016, 22, 17926–17929. [Google Scholar] [CrossRef]
- Seung, H.C.; Seung, J.H.; Chang, S. Palladium-Catalyzed C-H Functionalization of Pyridine N-Oxides: Highly Selective Alkenylation and Direct Arylation with Unactivated Arenes. J. Am. Chem. Soc. 2008, 130, 9254–9256. [Google Scholar]
- Campeau, L.C.; Rousseaux, S.; Fagnou, K. A Solution to the 2-Pyridyl Organometallic Cross-Coupling Problem: Regioselective Catalytic Direct Arylation of Pyridine N-Oxides. J. Am. Chem. Soc. 2005, 127, 18020–18021. [Google Scholar] [CrossRef]
- Campeau, L.C.; Stuart, D.R.; Leclerc, J.P.; Bertrand-Laperle, M.; Villemure, E.; Sun, H.Y.; Lasserre, S.; Guimond, N.; Lecavallier, M.; Fagnou, K. Palladium-Catalyzed Direct Arylation of Azine and Azole N-Oxides: Reaction Development, Scope and Applications in Synthesis. J. Am. Chem. Soc. 2009, 131, 3291–3306. [Google Scholar] [CrossRef]
- Campeau, L.C.; Bertrand-Laperle, M.; Leclerc, J.P.; Villemure, E.; Gorelsky, S.; Fagnou, K. C2, C5, and C4 azole N-Oxide Direct Arylation Including Room-Temperature Reactions. J. Am. Chem. Soc. 2008, 130, 3276–3277. [Google Scholar] [CrossRef] [PubMed]
- Wu, J.; Cui, X.; Chen, L.; Jiang, G.; Wu, Y. Palladium-Catalyzed Alkenylation of Quinoline-N-Oxides via C-H Activation under External-Oxidant-Free Conditions. J. Am. Chem. Soc. 2009, 131, 13888–13889. [Google Scholar] [CrossRef] [PubMed]
- Huestis, M.P.; Fagnou, K. Site-Selective Azaindole Arylation at the Azine and Azole Rings via N-Oxide Activation. Org. Lett. 2009, 11, 1357–1360. [Google Scholar] [CrossRef] [PubMed]
- Alberico, D.; Scott, M.E.; Lautens, M. Aryl-Aryl Bond Formation by Transition-Metal-Catalyzed Direct Arylation. Chem. Rev. 2007, 107, 174–238. [Google Scholar] [CrossRef]
- Willemse, T.; Schepens, W.; Van Vlijmen, H.W.T.; Maes, B.U.W.; Ballet, S. The Suzuki-Miyaura Cross-Coupling as a Versatile Tool for Peptide Diversification and Cyclization. Catalysts 2017, 7, 74. [Google Scholar] [CrossRef] [Green Version]
- Shi, S.; Nawaz, K.S.; Zaman, M.K.; Sun, Z. Advances in Enantioselective C-H Activation/Mizoroki-Heck Reaction and Suzuki Reaction. Catalysts 2018, 8, 90. [Google Scholar] [CrossRef] [Green Version]
- Skhiri, A.; Ben Salem, R.; Soulé, J.-F.; Doucet, H. Access to (Hetero)arylated Selenophenes via Palladium-Catalysed Stille, Negishi or Suzuki Couplings or C−H Bond Functionalization Reaction. ChemCatChem 2017, 9, 2895–2913. [Google Scholar] [CrossRef] [Green Version]
- Heravi, M.M.; Mohammadkhani, L. Recent Applications of Stille Reaction in Total Synthesis of Natural Products: An Update. J. Organomet. Chem. 2018, 869, 106–200. [Google Scholar] [CrossRef]
- Brittain, W.D.G.; Cobb, S.L. Negishi Cross-Couplings in the Synthesis of Amino Acids. Org. Biomol. Chem. 2017, 16, 10–20. [Google Scholar] [CrossRef] [PubMed] [Green Version]
- Heravi, M.M.; Hashemi, E.; Nazari, N. Negishi Coupling: An Easy Progress for C-C Bond Construction in Total Synthesis. Mol. Divers. 2014, 18, 441–472. [Google Scholar] [CrossRef] [PubMed]
- Idris, I.; Derridj, F.; Soulé, J.-F.; Doucet, H. Palladium-Catalyzed Regioselective Direct Arylation of Benzofurazans at the C-4 Position. Adv. Synth. Catal. 2017, 359, 2448–2456. [Google Scholar] [CrossRef] [Green Version]
- Zhang, J.; Chen, W.; Rojas, A.J.; Jucov, E.V.; Timofeeva, T.V.; Parker, T.C.; Barlow, S.; Marder, S.R. Controllable Direct Arylation: Fast Route to Symmetrical and Unsymmetrical 4,7-Diaryl-5,6-difluoro-2,1,3-benzothiadiazole Derivatives for Organic Optoelectronic Materials. J. Am. Chem. Soc. 2013, 135, 16376–16379. [Google Scholar] [CrossRef]
- Carrër, A.; Rousselle, P.; Florent, J.-C.; Bertounesque, E. Selective Palladium-Catalyzed Direct Arylation of Furo[3,2- b]pyridines. Adv. Synth. Catal. 2012, 354, 2751–2756. [Google Scholar] [CrossRef]
- Liégault, B.; Lapointe, D.; Caron, L.; Vlassova, A.; Fagnou, K. Establishment of Broadly Applicable Reaction Conditions for the Palladium-Catalyzed Direct Arylation of Heteroatom-containing Aromatic Compounds. J. Org. Chem. 2009, 74, 1826–1834. [Google Scholar] [CrossRef]
- Bedford, R.B.; Durrant, S.J.; Montgomery, M. Catalyst-Switchable Regiocontrol in the Direct Arylation of Remote C-H Groups in Pyrazolo[1,5-a]pyrimidines. Angew. Chem. Int. Ed. 2015, 54, 8787–8790. [Google Scholar] [CrossRef] [Green Version]
- Wu, H.C.; Chu, J.H.; Li, C.W.; Hwang, L.C.; Wu, M.J. Palladium-Catalyzed Regioselective Arylation of Pyrazolo[1,5-a]pyridines via C-H Activation and Synthetic Applications on P38 Kinase Inhibitors. Organometallics 2016, 35, 288–300. [Google Scholar] [CrossRef]
- Abdellaoui, F.; Youssef, C.; Ben Ammar, H.; Roisnel, T.; Soulé, J.F.; Doucet, H. Palladium-Catalyzed Regioselective C-H Bond Arylations of Benzoxazoles and Benzothiazoles at the C7 Position. ACS Catal. 2016, 6, 4248–4252. [Google Scholar] [CrossRef]
- Pindur, U.; Lemster, T. Advances in Marine Natural Products of the Indole and Annelated Indole Series: Chemical and Biological Aspects. Curr. Med. Chem. 2001, 8, 1681–1698. [Google Scholar] [CrossRef]
- Ramirez, A.; Garcia-Rubio, S. Current Progress in the Chemistry and Pharmacology of Akuammiline Alkaloids. Curr. Med. Chem. 2005, 10, 1891–1915. [Google Scholar] [CrossRef]
- Lal, S.; Snape, T.J. 2-Arylindoles: A Privileged Molecular Scaffold with Potent, Broad-Ranging Pharmacological Activity. Curr. Med. Chem. 2012, 19, 4828–4837. [Google Scholar] [CrossRef]
- Humphrey, G.R.; Kuethe, J.T. Practical Methodologies for the Synthesis of Indoles. Chem. Rev. 2006, 106, 2875–2911. [Google Scholar] [CrossRef]
- Bandini, M.; Eichholzer, A. Catalytic Functionalization of Indoles in a New Dimension. Angew. Chem. Int. Ed. 2009, 48, 9608–9644. [Google Scholar] [CrossRef] [PubMed]
- Joucla, L.; Djakovitch, L. Transition Metal-Catalysed, Direct and Site-Selective N1-, C2- or C3-Arylation of the Indole Nucleus: 20 Years of Improvements. Adv. Synth. Catal. 2009, 351, 673–714. [Google Scholar] [CrossRef]
- Liu, X.-H.; Park, H.; Hu, J.-H.; Hu, Y.; Zhang, Q.-L.; Wang, B.-L.; Sun, B.; Yeung, K.-S.; Zhang, F.-L.; Yu, J.-Q. Diverse ortho-C(sp2)-H Functionalization of Benzaldehydes using Transient Directing Groups. J. Am. Chem. Soc. 2017, 139, 888–896. [Google Scholar] [CrossRef] [PubMed]
- Yang, Y.; Gao, P.; Zhao, Y.; Shi, Z. Regiocontrolled Direct C−H Arylation of Indoles at the C4 and C5 Positions. Angew. Chem. Int. Ed. 2017, 56, 3966–3971. [Google Scholar] [CrossRef]
- Thrimurtulu, N.; Dey, A.; Singh, A.; Pal, K.; Maiti, D.; Volla, C.M.R. Palladium Catalyzed Regioselective C4-Arylation and Olefination of Indoles and Azaindoles. Adv. Synth. Catal. 2019, 361, 1441–1446. [Google Scholar] [CrossRef]
- Yang, Y.; Li, R.; Zhao, Y.; Zhao, D.; Shi, Z. Cu-Catalyzed Direct C6-Arylation of Indoles. J. Am. Chem. Soc. 2016, 138, 8734–8737. [Google Scholar] [CrossRef]
- Phipps, R.J.; Gaunt, M.J. A Meta-selective Copper-catalyzed C-H Bond Arylation. Science 2009, 323, 1593–1597. [Google Scholar] [CrossRef] [PubMed]
- Chen, B.; Hou, X.L.; Li, Y.X.; Wu, Y.D. Mechanistic Understanding of the Unexpected Meta Selectivity in Copper-catalyzed Anilide C-H Bond Arylation. J. Am. Chem. Soc. 2011, 133, 7668–7671. [Google Scholar] [CrossRef]
- Paul, S.; Chotana, G.A.; Holmes, D.; Reichle, R.C.; Maleczka, R.E., Jr.; Smith, M.R., III. Ir-Catalyzed Functionalization of 2-Substituted Indoles at the 7-Position: Nitrogen-Directed Aromatic Borylation. J. Am. Chem. Soc. 2006, 128, 15552–15553. [Google Scholar] [CrossRef] [PubMed]
- Yang, G.; Lindovska, P.; Zhu, D.; Kim, J.; Wang, P.; Tang, R.-Y.; Movassaghi, M.; Yu, J.-Q. Pd(II)-catalyzed meta-C-H Olefination, Arylation, and Acetoxylation of Indolines using a U-Shaped Template. J. Am. Chem. Soc. 2014, 136, 10807–10813. [Google Scholar] [CrossRef] [PubMed]
- Mishra, N.K.; Jeong, T.; Sharma, S.; Shin, Y.; Han, S.; Park, J.; Oh, J.S.; Kwak, J.H.; Jung, Y.H.; Kim, I.S. Rhodium(III)-catalyzed Selective C-H Cyanation of Indolines and Indoles with an Easily Accessible Cyano Source. Adv. Synth. Catal. 2015, 357, 1293–1298. [Google Scholar] [CrossRef]
- Premi, C.; Dixit, A.; Jain, N. Palladium-catalyzed Regioselective Decarboxylative Alkylation of Arenes and Heteroarenes with Aliphatic Carboxylic Acids. Org. Lett. 2015, 17, 2598–2601. [Google Scholar] [CrossRef]
- Pan, S.; Ryu, N.; Shibata, T. Iridium(I)-catalyzed Direct C-H Bond Alkylation of the C-7 Position of Indolines with Alkenes. Adv. Synth. Catal. 2014, 356, 929–933. [Google Scholar] [CrossRef]
- Jiao, L.Y.; Smirnov, P.; Oestreich, M. Exceptionally Mild Palladium(II)-Catalyzed Dehydrogenative C-H/C-H Arylation of Indolines at the C-7 Position under Air. Org. Lett. 2014, 16, 6020–6023. [Google Scholar] [CrossRef]
- Jiao, L.Y.; Oestreich, M. Oxidative Palladium(II)-catalyzed C-7 Alkenylation of Indolines. Org. Lett. 2013, 15, 5374–5377. [Google Scholar] [CrossRef]
- Jiao, L.-Y.; Oestreich, M. Oxidative Palladium(II)-Catalyzed Dehydrogenative C-H/C-H Cross-Coupling of 2,3-Substituted Indolines with Arenes at the C7 Position. Chem. Eur. J. 2013, 19, 10845–10848. [Google Scholar] [CrossRef]
- Yang, Y.; Qiu, X.; Zhao, Y.; Mu, Y.; Shi, Z. Palladium-Catalyzed C-H Arylation of Indoles at the C7 Position. J. Am. Chem. Soc. 2016, 138, 495–498. [Google Scholar] [CrossRef]
- Qiu, X.; Deng, H.; Zhao, Y.; Shi, Z. Rhodium-catalyzed, P-Directed Selective C7 Arylation of Indoles. Sci. Adv. 2018, 4, 6468–6482. [Google Scholar] [CrossRef] [Green Version]
- Simonetti, M.; Cannas, D.M.; Panigrahi, A.; Kujawa, S.; Kryjewski, M.; Xie, P.; Larrosa, I. Ruthenium-Catalyzed C−H Arylation of Benzoic Acids and Indole Carboxylic Acids with Aryl Halides. Chem. Eur. J. 2017, 23, 549–553. [Google Scholar] [CrossRef]
- Bouissane, L.; El Kazzouli, S.; Léonce, S.; Pfeiffer, B.; Rakib, E.M.; Khouili, M.; Guillaumet, G. Synthesis and Biological Evaluation of N-(7-indazolyl)benzenesulfonamide Derivatives as Potent Cell Cycle Inhibitors. Bioorg. Med. Chem. 2006, 14, 1078–1088. [Google Scholar] [CrossRef] [PubMed]
- Ben-Yahia, A.; Naas, M.; El Kazzouli, S.; Essassi, E.M.; Guillaumet, G. Direct C-3-Arylations of 1 H -Indazoles. Eur. J. Org. Chem. 2012, 2012, 7075–7081. [Google Scholar] [CrossRef]
- Naas, M.; El Kazzouli, S.; Essassi, E.M.; Bousmina, M.; Guillaumet, G. Palladium-catalyzed Direct C7-Arylation of Substituted Indazoles. J. Org. Chem. 2014, 79, 7286–7293. [Google Scholar] [CrossRef]
- Faarasse, S.; El Kazzouli, S.; Bourzikat, O.; Bourg, S.; Aci-Sèche, S.; Bonnet, P.; Suzenet, F.; Guillaumet, G. Palladium-Catalyzed Regioselective C−H Arylation of 4-Azaindazole at C3, C5 and C7 Positions. Adv. Synth. Catal. 2021, 363, 3937–3945. [Google Scholar] [CrossRef]
- Wang, J.-X.; McCubbin, J.A.; Jin, M.; Laufer, R.S.; Mao, Y.; Crew, A.P.; Mulvihill, M.J.; Snieckus, V. Palladium-catalyzed Direct Heck Arylation of Dual π-Deficient/π- Excessive Heteroaromatics. Synthesis of C-5 Arylated Imidazo[1,5-a]pyrazines. Org. Lett. 2008, 10, 2923–2926. [Google Scholar] [CrossRef] [PubMed]
- Guchhait, S.K.; Kandekar, S.; Kashyap, M.; Taxak, N.; Bharatam, P.V. C-H Bond Functionalization under Metalation-Deprotonation Process: Regioselective Direct Arylation of 3-Aminoimidazo[1,2-a]pyrazine. J. Org. Chem. 2012, 77, 8321–8328. [Google Scholar] [CrossRef] [PubMed]
- Johnson, B.M.; Huestis, M.P. Sequential C3 and C5 Direct C-H Arylation of Imidazo[1,2-a]pyrazines with (Hetero)aryl Bromides. Eur. J. Org. Chem. 2014, 2014, 1589–1593. [Google Scholar] [CrossRef]
- Lee, J.; Han, S.-Y.; Jung, H.; Yang, J.; Choi, J.-W.; Chae, C.H.; Park, C.H.; Choi, S.U.; Lee, K.; Du Ha, J.; et al. Synthesis and structure–activity relationship of aminopyridines with substituted benzoxazoles as c-Met kinase inhibitors. Bioorg. Med. Chem. Lett. 2012, 22, 4044–4048. [Google Scholar] [CrossRef] [PubMed]
- Naas, M.; El Kazzouli, S.; Essassi, E.M.; Bousmina, M.; Guillaumet, G. Palladium-Catalyzed Oxidative Direct C3- and C7-Alkenylations of Indazoles: Application to the Synthesis of Gamendazole. Org. Lett. 2015, 17, 4320–4323. [Google Scholar] [CrossRef] [PubMed]
- Liu, Q.; Li, Q.; Ma, Y.; Jia, Y. Direct Olefination at the C-4 Position of Tryptophan via C-H Activation: Application to Biomimetic Synthesis of Clavicipitic Acid. Org. Lett. 2013, 15, 4528–4531. [Google Scholar] [CrossRef] [PubMed]
- Lanke, V.; Prabhu, K.R. Regioselective Synthesis of 4-Substituted Indoles via C-H Activation: A Ruthenium Catalyzed Novel Directing Group Strategy. Org. Lett. 2013, 15, 6262–6265. [Google Scholar] [CrossRef]
- Lv, J.; Wang, B.; Yuan, K.; Wang, Y.; Jia, Y. Regioselective Direct C-4 Functionalization of Indole: Total Syntheses of (−)-Agroclavine and (−)-Elymoclavine. Org. Lett. 2017, 19, 3664–3667. [Google Scholar] [CrossRef] [PubMed]
- Lanke, V.; Bettadapur, K.R.; Prabhu, K.R. Electronic Nature of Ketone Directing Group as a Key to Control C-2 vs C-4 Alkenylation of Indoles. Org. Lett. 2016, 18, 5496–5499. [Google Scholar] [CrossRef]
- Chen, H.; Lin, C.; Xiong, C.; Liu, Z.; Zhang, Y. One-pot Synthesis of Fluorescent 2,4-Dialkenylindoles by Rhodium-catalyzed dual C-H Functionalization. Org. Chem. Front. 2017, 4, 455–459. [Google Scholar] [CrossRef]
- Banjare, S.K.; Nanda, T.; Ravikumar, P.C. Cobalt-Catalyzed Regioselective Direct C-4 Alkenylation of 3-Acetylindole with Michael Acceptors Using a Weakly Coordinating Functional Group. Org. Lett. 2019, 21, 8138–8143. [Google Scholar] [CrossRef]
- Patureau, F.W.; Besset, T.; Glorius, F. Rhodium-Catalyzed Oxidative Olefination of C-H Bonds in Acetophenones and Benzamides. Angew. Chem. Int. Ed. 2011, 50, 1064–1067. [Google Scholar] [CrossRef]
- He, Y.P.; Zhang, C.; Fan, M.; Wu, Z.; Ma, D. Assembly of Indoline-2-carboxylate-embodied Dipeptides via Pd-catalyzed C(sp2)-H Bond Direct Functionalization. Org. Lett. 2015, 17, 496–499. [Google Scholar] [CrossRef]
- Song, Z.; Samanta, R.; Antonchick, A.P. Rhodium(III)-Catalyzed Direct Regioselective Synthesis of 7-Substituted Indoles. Org. Lett. 2013, 15, 5662–5665. [Google Scholar] [CrossRef]
- Shi, J.; Yan, Y.; Li, Q.; Xu, H.E.; Yi, W. Rhodium(iii)-Catalyzed C2-Selective Carbenoid Functionalization and Subsequent C7-Alkenylation of Indoles. Chem. Commun. 2014, 50, 6483–6486. [Google Scholar] [CrossRef] [PubMed]
- Fan, M.; Ma, D. Palladium-catalyzed Direct Functionalization of 2-Aminobutanoic Acid Derivatives: Application of a Convenient and Versatile Auxiliary. Angew. Chem. Int. Ed. 2013, 52, 12152–12155. [Google Scholar] [CrossRef] [PubMed]
- Xu, L.; Zhang, C.; He, Y.; Tan, L.; Ma, D. Rhodium-Catalyzed Regioselective C7-Functionalization of N-Pivaloylindoles. Angew. Chem. Int. Ed. 2016, 55, 321–325. [Google Scholar] [CrossRef] [PubMed]
- Guo, L.; Chen, Y.; Zhang, R.; Peng, Q.; Xu, L.; Pan, X. Rhodium-Catalyzed Regioselective C7-Olefination of Indazoles Using an N-Amide Directing Group. Chem. Asian J. 2017, 12, 289–292. [Google Scholar] [CrossRef] [PubMed]































































| Entry | Substrat | Yield % |
|---|---|---|
| 1 | CONMe2 | 24 |
| 2 | CONMe(Et) | 32 |
| 3 | CONEt2 | 49 |
| 4 | CONnHex2 | 70 |
| 5 | CONiPr2 | 85 |
Publisher’s Note: MDPI stays neutral with regard to jurisdictional claims in published maps and institutional affiliations. |
© 2021 by the authors. Licensee MDPI, Basel, Switzerland. This article is an open access article distributed under the terms and conditions of the Creative Commons Attribution (CC BY) license (https://creativecommons.org/licenses/by/4.0/).
Share and Cite
Faarasse, S.; El Brahmi, N.; Guillaumet, G.; El Kazzouli, S. Regioselective C-H Functionalization of the Six-Membered Ring of the 6,5-Fused Heterocyclic Systems: An Overview. Molecules 2021, 26, 5763. https://doi.org/10.3390/molecules26195763
Faarasse S, El Brahmi N, Guillaumet G, El Kazzouli S. Regioselective C-H Functionalization of the Six-Membered Ring of the 6,5-Fused Heterocyclic Systems: An Overview. Molecules. 2021; 26(19):5763. https://doi.org/10.3390/molecules26195763
Chicago/Turabian StyleFaarasse, Soukaina, Nabil El Brahmi, Gérald Guillaumet, and Saïd El Kazzouli. 2021. "Regioselective C-H Functionalization of the Six-Membered Ring of the 6,5-Fused Heterocyclic Systems: An Overview" Molecules 26, no. 19: 5763. https://doi.org/10.3390/molecules26195763
APA StyleFaarasse, S., El Brahmi, N., Guillaumet, G., & El Kazzouli, S. (2021). Regioselective C-H Functionalization of the Six-Membered Ring of the 6,5-Fused Heterocyclic Systems: An Overview. Molecules, 26(19), 5763. https://doi.org/10.3390/molecules26195763

