Next Article in Journal
Bile Salts in Chiral Micellar Electrokinetic Chromatography: 2000–2020
Previous Article in Journal
A Novel Approach to Unraveling the Apoptotic Potential of Rutin (Bioflavonoid) via Targeting Jab1 in Cervical Cancer Cells
Previous Article in Special Issue
In Silico Design and Selection of New Tetrahydroisoquinoline-Based CD44 Antagonist Candidates
 
 
Font Type:
Arial Georgia Verdana
Font Size:
Aa Aa Aa
Line Spacing:
Column Width:
Background:
Article

8-Amino-6-Methoxyquinoline—Tetrazole Hybrids: Impact of Linkers on Antiplasmodial Activity

1
Institute of Pharmaceutical Sciences, Pharmaceutical Chemistry, University of Graz, Schubertstraße 1, A-8010 Graz, Austria
2
Institute for Chemistry and Technology of Materials (ICTM), Graz University of Technology, Stremayrgasse 9, A-8010 Graz, Austria
3
Swiss Tropical and Public Health Institute, Socinstraße 57, CH-4002 Basel, Switzerland
*
Author to whom correspondence should be addressed.
Molecules 2021, 26(18), 5530; https://doi.org/10.3390/molecules26185530
Submission received: 18 August 2021 / Revised: 8 September 2021 / Accepted: 10 September 2021 / Published: 12 September 2021
(This article belongs to the Special Issue Drug Design II)

Abstract

:
A new series of compounds was prepared from 6-methoxyquinolin-8-amine or its N-(2-aminoethyl) analogue via Ugi-azide reaction. Their linkers between the quinoline and the tert-butyltetrazole moieties differ in chain length, basicity and substitution. Compounds were tested for their antiplasmodial activity against Plasmodium falciparum NF54 as well as their cytotoxicity against L-6-cells. The activity and the cytotoxicity were strongly influenced by the linker and its substitution. The most active compounds showed good activity and promising selectivity.

1. Introduction

Malaria, a vector-borne parasitic disease, is still one of the most dangerous infectious diseases worldwide. With more than 200 million cases in 2019 and 400.000 deaths malaria is a huge burden for mostly sub-Saharan African, South American, Southeast Asian countries [1]. Mostly children under the age of five are prone to a critical and fatal course of disease. Malaria is caused by one of five human pathogens of the genus Plasmodium with Plasmodium falciparum and Plasmodium vivax being responsible for most of the infections. P. falciparum is responsible for a majority of fatal outcomes and is therefore considered the deadliest parasite of these five pathogens [2]. Especially P. falciparum’s rapid development of resistances against established drugs is of concern. Even against artemisinin derivatives, which are usually combined with other drugs in the first-line treatment of malaria, first resistances are emerging [3,4]. Because of the threat of potentially untreatable malaria infections new active compounds are urgently needed.
The discovery of chloroquine in the 1960s was an essential early turning point to improve malaria treatment. Unfortunately, first resistances were discovered fairly soon. However, chloroquine with its quinoline moiety is still an attractive pharmcophore, possessing limited toxicity, simple cost-effective synthesis and high clinical efficacy [5,6,7]. A promising strategy for developing new antimalarials and circumventing resistances is quinoline hybridization [8,9]
Pandey et al. published a series of compounds where a 4-aminochinoline moiety was linked with a tetrazole ring. In this case an aminophenyl motive functioned as a linker. These compounds possessed antimalarial activities in the submicromolar range. Especially the tetrazole ring was supposed to be important for complexing heme [10]. Recently we published a series of 7-chloroquinoline derivatives that were linked with a tetrazole ring as well as different lipophilic aliphatic and aromatic side chains. A piperidine ring was used as a linker instead of the aminophenyl moiety. These compounds showed distinct antimalarial activities [11].
The focus of the current work was the synthesis of novel active compounds by using a hybridization approach. The 8-amino-6-methoxyquinoline pharmacophore is part of antimalarials like primaquine and tafenoquine and was therefore used as a central element of the new derivatives. (Figure 1) It was linked to a tetrazole ring via different linkers. Furthermore, lipophilic side chains were varied. All new compounds were characterized and tested in vitro for their activities against P. falciparum. The results were compared to those of formerly prepared analogues and of drugs in use.

2. Results and Discussion

2.1. Chemistry

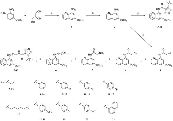
As precursor for all final compounds served 6-methoxyquinolin-8-amine 2, which was synthesized in a two-step reaction from 4-methoxy-2-nitroaniline and glycerol in a so called Skraup reaction [12]. This reaction resulted in 6-methoxy-8-nitroquinoline 1, which was further reduced by SnCl2 to 6-methoxyquinolin-8-amine 2 [13].
Compounds 1322 were obtained by an Ugi-azide reaction of amine 2 with tert-butyl isocyanide, trimethylsilyl azide and various aldehydes to investigate the influence of different side chains adjacent to the newly formed tetrazole group [14].
In case of compounds 712 an additional ethyl linker was integrated into the molecule to examine how a greater distance between the 8-amino group of the quinoline moiety and the tetrazole ring impacts the activity. A straightforward nucleophilic substitution reaction of compound 2 with 2-chloroethyl-1-amine hydrochloride to amine 6 did not give any product. Therefore, we looked for a different approach and the linker was synthesized via multiple steps. At first compound 2 reacted with chloroacetyl chloride to an amide 3 [15,16]. The terminal chloro group of the newly formed compound was subsequently substituted by an azide group using sodium azide in DMF as solvent [16]. This azide group of 4 was converted to an amine in a Staudinger reaction by using triphenylphosphine [16]. In a final reaction with LiAlH4 the amide group of 5 was reduced yielding amine 6 [17]. Different synthesis methods for compounds 3, 5 and 6 are known, but without any NMR data given for these substances [18,19,20,21].
Afterwards compound 6 was converted to compounds 712 via Ugi-azide reactions. For this reaction the aldehyde component was varied to obtain compounds with different aliphatic and aromatic side chains close to the tetrazole moiety (Scheme 1) [14].
The structures of all newly synthesized compounds were clarified by one- and two-dimensional NMR spectroscopy. Products of the Ugi-azide reaction showed characteristic signals in the NMR spectra of compounds 722. Their tert-butyl group gave an intense proton resonance at low frequencies as well as carbon resonances at about 30 and 61.5 ppm. A longrange coupling was observed from their new methine proton to the tetrazole carbon which gave resonances at 155–157 ppm depending on substitution of the methine carbon atom. 1H- and 13C-NMR-spectra are given in the Supplementary Materials.

2.2. Antiplasmodial Activity and Cytotoxicity

All compounds were tested for their antiplasmodial activity against the chloroquine-sensitive strain NF54 of P. falciparum. Further on their cytotoxicity was determined using skeletal myoblasts (L-6 cells). As standards served chloroquine and podophyllotoxin (Table 1).
The prepared compounds showed heterogeneous activities against P. falciparum NF54. Compounds 712 with a basic (methylamino)ethyl linker were usually way less active (PfNF54 IC50 = 15.98–2.51 µM) than compounds 1522 with a methyl linker (PfNF54 IC50 = 2.68–0.324 µM) with the exception of compounds 13 and 14 (PfNF54 IC50 = 23.60–5.12 µM).
In the case of compounds 712 the least active compound was 7 (PfNF54 IC50 = 15.98 µM) with an ethyl side chain. A more lipophilic phenyl ring as side chain improved antiplasmodial activity in general, which is apparent in compounds 812 (PfNF54 IC50 = 7.05–2.51 µM). In this series the most active compounds were 11 and 12 (PfNF54 IC50 = 2.92–2.51 µM) with a 4-bromophenyl and a 2-(trifluoromethyl)phenyl side chain, respectively. Replacement of the bromine atom by a hydrogen, a fluorine or a chlorine atom led to less active compounds 810 (PfNF54 IC50 = 7.05–5.34 µM).
Compounds 1322 with the methyl linker were generally more active. The least active compound 13 (PfNF54 IC50 = 23.60 µM) was again the one with the ethyl side chain. Its more lipophilic phenyl analogue 14 (PfNF54 IC50 = 5.12 µM) showed improved, but still weak activity. Substitution in ring position 4 of the phenyl ring with a fluorine atom, a methyl or an isopropyl group as well as its replacement with a 1-naphthyl moiety further increased the antiplasmodial activity (15 and 1921 PfNF54 IC50 = 2.68–1.04 µM). Compounds with bulkier electron withdrawing substituents like 1618 (PfNF54 IC50 = 0.743–0.464 µM) were even more active. The most active compound 22 (PfNF54 IC50 = 0.324 µM) possesses a heptyl side chain. This indicates a positive impact of highly lipophilic and voluminous side chains. However, an additional stereochemical effect could be relevant, because the 1-naphthyl analogue 21 (PfNF54 IC50 = 1.26 µM) was significantly less active. Compounds 15 and 20 (PfNF54 IC50 = 2.68–2.00 µM) showed low cytotoxicity (L-6 cells IC50 = 119.4–124.0 µM) and good selectivity (S.I. = 46.27–59.7). The most active compounds 1619 and 2122 (PfNF54 IC50 = 1.26–0.324 µM) also showed low cytotoxicity (L-6 cells IC50 = 54.73–248.5 µM) resulting in promising selectivity (S.I. = 137.6–318.3).

3. Materials and Methods

3.1. Instrumentation and Chemicals

Materials: Solvents and reagents were used without further purification. Dry solvents were either purchased in sealed bottles or were dried over molecular sieves or dried with sodium. Column chromatography (CC): silica gel 60 (Merck 70–230 mesh, pore diameter 60 Å), aluminium oxide (pH: 9.5, Fluka). Thin-layer chromatography (TLC): TLC plates silica gel 60 F254 (Merck), aluminium oxide 60 F254 (neutral, Merck). Melting points were obtained on an Electrothermal IA 9200 melting point apparatus. IR spectra: Bruker Alpha Platinum ATR FTIR spectrometer (KBr discs); frequencies are reported in cm−1. The structures of all newly synthesized compounds were determined by one- and two-dimensional NMR spectroscopy. NMR spectra: Varian UnityInova 400 (298 K) 5 mm tubes, TMS as internal standard. Shifts in 1H NMR (400 MHz) and 13C NMR (100 MHz) spectra are reported in ppm; 1H- and 13C-resonances were assigned using 1H,1H- and 1H,13C-correlation spectra and are numbered as given in Scheme 1. Signal multiplicities are abbreviated as follows: br, broad; d, doublet; dd, doublet of doublets; ddd, doublet of doublet of doublets; dt, doublet of triplets; m, multiplet; s, singlet; t, triplet; td, triplet of doublets; q, quartet. HRMS: Micromass Tofspec 3E spectrometer (MALDI) and GCT-Premier, Waters (EI, 70eV). 1H-NMR and 13C-NMR spectra of new compounds are available in Supplementary Materials (Figures S1–S20).

3.2. Syntheses

Compounds 6-methoxy-8-nitroquinoline 1, and 6-methoxyquinoline-8-amine 2 were synthesized according to an already published protocol and their NMR data were in accordance with literature data [12,13].
2-Chloro-N-(6-methoxyquinolin-8-yl)acetamide (3): 6-Methoxyquinolin-8-amine 2 (0.523 g (3.00 mmol)) was dissolved in in dry CH2Cl2 (15 mL) and cooled to 0 °C with an ice bath. Triethylamine (2.079 mL (15.00 mmol)) was added and the mixture was stirred for 10 min. Chloroacetyl chloride (0.477 mL (6.00 mmol)) in dry CH2Cl2 (15 mL) was added dropwise via a dropping funnel. The ice bath was removed and the reaction mixture stirred at 25 °C for 20 h. Then, the reaction was quenched with 2N NaOH at 0 °C and the mixture was basified to a pH of 10–11. The aqueous and organic phases were separated and the aqueous phase was extracted with CH2Cl2. The combined organic phases were washed with 0.1% aqueous NaHCO3 and dried over anhydrous sodium sulfate and filtered. The solvent was removed in vacuo and the obtained raw product purified by column chromatography (silica gel, diethyl ether) to yield compound 3 as off-white amorphous solid (0.700 g (93%)). 1H NMR (CDCl3, 400 MHz) δ = 3.72 (s, 3H, OCH3), 4.15 (s, 2H, CH2Cl), 6.58 (d, J = 2.6 Hz, 1H, 5-H), 7.19 (dd, J = 8.2, 4.2 Hz, 1H, 3-H), 7.80 (dd, J = 8.2, 1.6 Hz, 1H, 4-H), 8.25 (d, J = 2.6 Hz, 1H, 7-H), 8.46 (dd, J = 4.1, 1.6 Hz, 1H, 2-H), 10.60 (s, 1H, NH); 13C NMR (CDCl3, 100 MHz) δ = 43.10 (CH2Cl), 55.26 (OCH3), 100.05 (C-5), 108.91 (C-7), 121.90 (C-3), 128.51 (C-4a), 133.97 (C-8), 134.55 (C-4), 134.78 (C-8a), 145.69 (C-2), 157.75 (C-6), 164.03 (CO).
2-Azido-N-(6-methoxyquinolin-8-yl)acetamide (4): Compound 3 (0.702 g (2.80 mmol)) was dissolved in dry DMF (30 mL) and cooled to 0 °C with an ice bath. Sodium azide (0.364 g (5.60 mmol)) was added in small portions and after that the ice bath was removed and the reaction mixture stirred at 25 °C for 48 h. Then, the reaction was quenched with 0.1% aqueous NaHCO3 (50 mL). The aqueous phase was extracted with ethyl acetate. The combined organic phases were washed with 0.1% aqueous NaHCO3 and dried over anhydrous sodium sulfate and filtered. The solvent was removed in vacuo and the obtained raw product purified by column chromatography (silica gel, ethyl acetate/ethanol 6:1) to yield compound 4 as off-white amorphous solid (0.634 g (88%)). 1H NMR (CDCl3, 400 MHz) δ = 3.85 (s, 3H, OCH3), 4.21 (s, 2H, CH2N3), 6.71 (d, J = 2.6 Hz, 1H, 5-H), 7.33 (dd, J = 8.2, 4.3 Hz, 1H, 3-H), 7.93 (dd, J = 8.2, 1.6 Hz, 1H, 4-H), 8.40 (d, J = 2.6 Hz, 1H, 7-H), 8.60 (dd, J = 4.3, 1.6 Hz, 1H, 2-H), 10.38 (br s, 1H, NH); 13C NMR (CDCl3, 100 MHz) δ = 52.93 (CH2N3), 55.10 (OCH3), 99.80 (C-5), 108.88 (C-7), 121.74 (C-3), 128.41 (C-4a), 133.84 (C-8), 134.45 (C-4), 134.53 (C-8a), 145.49 (C-2), 157.65 (C-6), 164.70 (CO).
2-Amino-N-(6-methoxyquinolin-8-yl)acetamide (5): Compound 4 (0.630 g (2.45 mmol)) was dissolved in THF/H2O 6:1 (40 mL) at room temperature. Triphenylphosphine (1.26 g (4.90 mmol)) was added in small portions. Followed by that the brown reaction mixture was refluxed for 20 h. The mixture was cooled to room temperature and the solvent removed in vacuo. The residue was adsorbed on a column with silica gel and excess triphenylphosphine and triphenylphospine oxide were removed by elution with diethyl ether. Elution of the product with CH2Cl2/MeOH 1:1 afforded a raw product which was further purified by column chromatography (silica gel, ethyl acetate/ethanol 6:1) to yield compound 5 as orange amorphous solid (0.504 g (89%)). 1H NMR (CDCl3, 400 MHz) δ = 1.75 (br s, 2H, NH2), 3.65 (s, 2H, CH2), 3.93 (s, 3H, OCH3), 6.81 (d, J = 2.8 Hz, 1H, 5-H), 7.39 (dd, J = 8.3, 4.2 Hz, 1H, 3-H), 8.03 (d, J = 8.3, 1.5 Hz, 1H, 4-H), 8.57 (d, J = 2.8 Hz, 1H, 7-H), 8.70 (dd, J = 4.2, 1.5 Hz, 1H, 2-H), 11.25 (br s, 1H, NH); 13C NMR (CDCl3, 100 MHz) δ = 46.09 (CH2), 55.45 (OCH3), 99.91 (C-5), 108.92 (C-7), 121.95 (C-3), 129.03 (C-4a), 134.92 (C-4), 135.11 (C-8), 135.53 (C-8a), 145.94 (C-2), 158.37 (C-6), 171.55 (CO).
N1-(6-Methoxyquinolin-8-yl)ethan-1,2-diamine (6): Compound 5 (0.509 g (2.20 mmol)) was dissolved in dry diethyl ether (30 mL) and cooled to 0 °C with an ice bath. Pulverized LiAlH4 (0.167 g (4.40 mmol)) was added slowly in small portions and the reaction mixture was stirred for 30 min at 0 °C. Then the mixture was refluxed for 20 h. The suspension was cooled to 0 °C and quenched with 2N NaOH and was basified to a pH of 10–11. The aqueous and organic phases were separated and the aqueous phase was extracted with diethyl ether. The combined organic phases were dried over anhydrous sodium sulfate and filtered. The solvent was removed in vacuo and the obtained raw product purified by column chromatography (silica gel, CH2Cl2/MeOH 5:1) to yield compound 6 as off-white amorphous solid (0.277 g (58%)). 1H NMR (CDCl3, 400 MHz) δ = 1.40 (br s, 2H, NH2), 3.07 (t, J = 6.0 Hz, 2H, 2′-H), 3.37 (q, J = 6.0 Hz, 2H, 1′-H), 3.89 (s, 3H, OCH3), 6.31–6.38 (m, 1H, NH), 6.34 (d, J = 2.5 Hz, 1H, 7-H), 6.37 (d, J = 2.5 Hz, 1H, 5-H), 7.31 (dd, J = 8.3, 4.2 Hz, 1H, 3-H), 7.93 (dd, J = 8.3, 1.2 Hz, 1H, 4-H), 8.55 (dd, J = 4.2, 1.2 Hz, 1H, 2-H); 13C NMR (CDCl3, 100 MHz) δ = 40.93 (C-2′), 46.18 (C-1′), 55.08 (OCH3), 92.10 (C-5), 96.76 (C-7), 121.73 (C-3), 129.64 (C-4a), 134.62 (C-4), 135.29 (C-8a), 144.35 (C-2), 145.78 (C-8), 159.25 (C-6).
The general procedure for the Ugi-azide reaction (722) is as follows: 6-Methoxyquinoline-8-amine 2 (0.75 mmol) or compound 6 (0.75 mmol) were dissolved in dry methanol (5 mL). The corresponding aldehyde (0.75 mmol) was added and the mixture stirred at room temperature for 1 h under an argon atmosphere. Trimethylsilyl azide (0.75 mmol) and tert-butyl isocyanide (0.75 mmol) were added dropwise and the reaction mixture was stirred for 20–120 h. After that, the solvent was evaporated in vacuo and the residue was dissolved in CH2Cl2. The solution was washed several times with 30% aqueous sodium disulfite followed by 0.1% aqueous NaHCO3. The organic phase was dried over anhydrous sodium sulfate and filtered. The solvent was removed in vacuo, yielding the raw products 722, which were further purified by column chromatography.
N1-(6-Methoxyquinolin-8-yl)-N2-(1-(tert-butyl-1H-tetrazol-5-yl)propyl)ethan-1,2-diamine (7): The reaction of compound 6 (163 mg (0.75 mmol)), propanal (44 mg, 54 µL (0.75 mmol)), trimethylsilyl azide (86 mg, 100 µL (0.75 mmol)) and tert-butyl isocyanide (62 mg, 85 µL (2.00 mmol)) in dry methanol (5 mL) gave the raw tetrazole which was purified by column chromatography (silica gel, diethyl ether) to yield compound 7 as yellow oil (63 mg (22%)). IR = 2959, 1618, 1579, 1519, 1459, 1425, 1390, 1211, 1152, 1115, 918, 828, 794; 1H NMR (CDCl3, 400 MHz) δ = 1.04 (t, J = 7.3 Hz, 3H, 3″-H), 1.72 (s, 9H, (CH3)3), 1.87–1.97 (m, 3H, 2″-H, NH), 2.83 (dt, J = 11.9, 6.0 Hz, 1H, 2′-H), 2.92 (dt, J = 11.9, 5.8 Hz, 1H, 2′-H), 3.30–3.37 (m, 2H, 1′-H), 3.88 (s, 3H, OCH3), 4.17 (t, J = 6.6 Hz, 1H, 1″-H), 6.28 (d, J = 2.5 Hz, 1H, 7-H), 6.36 (d, J = 2.5 Hz, 1H, 5-H), 6.44–6.49 (m, 1H, NH), 7.30 (dd, J = 8.3, 4.2 Hz, 1H, 3-H), 7.92 (dd, J = 8.3, 1.4 Hz, 1H, 4-H), 8.53 (dd, J = 4.2, 1.4 Hz, 1H, 2-H); 13C NMR (CDCl3, 100 MHz) δ = 10.81 (C-3″), 28.87 (C-2″), 30.17 ((CH3)3), 43.21 (C-1′), 45.94 (C-2′), 55.17 (OCH3), 55.70 (C-1″), 61.04 (CMe3), 92.26 (C-5), 96.89 (C-7), 121.82 (C-3), 129.67 (C-4a), 134.61 (C-4), 135.43 (C-8a), 144.47 (C-2), 145.79 (C-8), 157.40 (C-5‴), 159.30 (C-6); HRMS (EI+) calcd for C20H29N7O: 383.2433; found: 383.2441.
N1-(6-Methoxyquinolin-8-yl)-N2-((phenyl)(tert-butyl-1H-tetrazol-5-yl)methyl)ethan-1,2-diamine (8): The reaction of compound 6 (163 mg (0.75 mmol)), benzaldehyde (80 mg, 76 µL (0.75 mmol)), trimethylsilyl azide (86 mg, 100 µL (0.75 mmol)) and tert-butyl isocyanide (62 mg, 85 µL (2.00 mmol)) in dry methanol (5 mL) gave the raw tetrazole which was purified by column chromatography (silica gel, diethyl ether) to yield compound 8 as orange oil (87 mg (27%)). IR = 2937, 1578, 1520, 1454, 1423, 1388, 1213, 1154, 1108, 1028, 823, 792; 1H NMR (CDCl3, 400 MHz) δ = 1.57 (s, 9H, (CH3)3), 2.40 (br, 1H, NH), 2.90 (dt, J = 12.0, 6.0 Hz, 1H, 2′-H), 3.02 (dt, J = 12.0, 6.0 Hz, 1H, 2′-H), 3.37–3.42 (m, 2H, 1′-H), 3.88 (s, 3H, OCH3), 5.38 (s, 1H, 1″-H), 6.30 (d, J = 2.5 Hz, 1H, 7-H), 6.37 (d, J = 2.5 Hz, 1H, 5-H), 6.50 (br, 1H, NH), 7.27–7.35 (m, 6H, 3-H, aromatic H), 7.93 (dd, J = 8.2, 1.5 Hz, 1H, 4-H), 8.55 (dd, J = 4.1, 1.5 Hz, 1H, 2-H); 13C NMR (CDCl3, 100 MHz) δ = 29.90 ((CH3)3), 43.12 (C-1′), 46.34 (C-2′), 55.20 (OCH3), 58.78 (C-1″), 61.33 (CMe3), 92.32 (C-5), 96.95 (C-7), 121.86 (C-3), 128.11, 128.35, 128.91 (aromatic C), 129.70 (C-4a), 134.64 (C-4), 135.43 (C-8a), 138.64 (aromatic Cq), 144.50 (C-2), 145.73 (C-8), 155.51 (C-5‴), 159.32 (C-6); HRMS (EI+) calcd for C24H29N7O: 431.2433; found: 431.2435.
N1-((4-Fluorophenyl)(tert-butyl-1H-tetrazol-5-yl)methyl)-N2-(6-methoxyquinolin-8-yl)ethan-1,2-diamine (9): The reaction of compound 6 (163 mg (0.75 mmol)), 4-fluorobenzaldehyde (93 mg, 81 µL (0.75 mmol)), trimethylsilyl azide (86 mg, 100 µL (0.75 mmol)) and tert-butyl isocyanide (62 mg, 85 µL (2.00 mmol)) in dry methanol (5 mL) gave the raw tetrazole which was purified by column chromatography (silica gel, diethyl ether) to yield compound 9 as yellow oil (206 mg (61%)). IR = 2938, 1619, 1578, 1520, 1459, 1423, 1388, 1215, 1156, 1109, 824, 792; 1H NMR (CDCl3, 400 MHz) δ = 1.57 (s, 9H, (CH3)3), 2.44 (br, 1H, NH), 2.89 (dt, J = 12.2, 6.1 Hz, 1H, 2′-H), 2.99 (dt, J = 12.2, 6.1 Hz, 1H, 2′-H), 3.38–3.43 (m, 2H, 1′-H), 3.88 (s, 3H, OCH3), 5.36 (s, 1H, 1″-H), 6.29 (d, J = 2.5 Hz, 1H, 7-H), 6.38 (d, J = 2.5 Hz, 1H, 5-H), 6.49 (br, 1H, NH), 6.98–7.03 (m, 2H, aromatic H), 7.27–7.34 (m, 3H, 3-H, aromatic H), 7.94 (dd, J = 8.2, 1.6 Hz, 1H, 4-H), 8.55 (dd, J = 4.2, 1.6 Hz, 1H, 2-H); 13C NMR (CDCl3, 100 MHz) δ = 29.92 ((CH3)3), 43.09 (C-1′), 46.21 (C-2′), 55.20 (OCH3), 58.03 (C-1″), 61.37 (CMe3), 92.39 (C-5), 97.04 (C-7), 115.81 (d, J = 21.8 Hz, aromatic C), 121.90 (C-3), 129.73 (C-4a), 129.89 (d, J = 8.4 Hz, aromatic C), 134.56 (d, J = 3.5 Hz, aromatic Cq), 134.68 (C-4), 135.44 (C-8a), 144.53 (C-2), 145.66 (C-8), 155.45 (C-5‴), 159.32 (C-6), 162.49 (d, J = 248 Hz, aromatic Cq); HRMS (EI+) calcd for C24H28FN7O: 449.2339; found: 449.2348.
N1-((4-Chlorophenyl)(tert-butyl-1H-tetrazol-5-yl)methyl)-N2-(6-methoxyquinolin-8-yl)ethan-1,2-diamine (10): The reaction of compound 6 (163 mg (0.75 mmol)), 4-chlorobenzaldehyde (105 mg (0.75 mmol)), trimethylsilyl azide (86 mg, 100 µL (0.75 mmol)) and tert-butyl isocyanide (62 mg, 85 µL (2.00 mmol)) in dry methanol (5 mL) gave the raw tetrazole which was purified by column chromatography (silica gel, diethyl ether) to yield compound 10 as yellow oil (73 mg (21%)). IR = 2938, 1619, 1578, 1520, 1458, 1423, 1388, 1213, 1154, 1091, 1014, 821, 791, 730; 1H NMR (CDCl3, 400 MHz) δ = 1.57 (s, 9H, (CH3)3), 2.46 (br, 1H, NH), 2.88 (dt, J = 12.0, 6.0 Hz, 1H, 2′-H), 2.99 (dt, J = 12.0, 6.0 Hz, 1H, 2′-H), 3.37–3.42 (m, 2H, 1′-H), 3.88 (s, 3H, OCH3), 5.35 (s, 1H, 1″-H), 6.29 (d, J = 2.0 Hz, 1H, 7-H), 6.37 (d, J = 2.0 Hz, 1H, 5-H), 6.49 (br, 1H, NH), 7.25 (d, J = 8.5 Hz, 2H, aromatic H), 7.29 (d, J = 8.5 Hz, 2H, aromatic H), 7.31 (dd, J = 8.3, 4.1 Hz, 1H, 3-H), 7.93 (dd, J = 8.3, 1.6 Hz, 1H, 4-H), 8.55 (dd, J = 4.1 Hz, 1H, 2-H); 13C NMR (CDCl3, 100 MHz) δ = 29.95 ((CH3)3), 43.06 (C-1′), 46.12 (C-2′), 55.22 (OCH3), 58.08 (C-1″), 61.41 (CMe3), 92.41 (C-5), 97.07 (C-7), 121.91 (C-3), 129.06, 129.51 (aromatic C), 129.73 (C-4a), 134.31 (aromatic Cq), 134.69 (C-4), 135.44 (C-8a), 137.22 (aromatic Cq), 144.54 (C-2), 145.64 (C-8), 155.23 (C-5‴), 159.32 (C-6); HRMS (EI+) calcd for C24H28ClN7O: 465.2044; found: 465.2051.
N1-((4-Bromophenyl)(tert-butyl-1H-tetrazol-5-yl)methyl)-N2-(6-methoxyquinolin-8-yl)ethan-1,2-diamine (11): The reaction of compound 6 (163 mg (0.75 mmol)), 4-bromobenzaldehyde (139 mg (0.75 mmol)), trimethylsilyl azide (86 mg, 100 µL (0.75 mmol)) and tert-butyl isocyanide (62 mg, 85 µL (2.00 mmol)) in dry methanol (5 mL) gave the raw tetrazole which was purified by column chromatography (silica gel, diethyl ether) to yield compound 11 as yellow oil (123 mg (32%)). IR = 2936, 1619, 1578, 1520, 1458, 1388, 1213, 1154, 1107, 1010, 821, 791; 1H NMR (CDCl3, 400 MHz) δ = 1.58 (s, 9H, (CH3)3), 2.46 (br, 1H, NH), 2.89 (dt, J = 12.0, 6.0 Hz, 1H, 2′-H), 2.99 (dt, J = 12.0, 6.0 Hz, 1H, 2′-H), 3.37–3.42 (m, 2H, 1′-H), 3.89 (s, 3H, OCH3), 5.34 (s, 1H, 1″-H), 6.29 (d, J = 2.5 Hz, 1H, 7-H), 6.38 (d, J = 2.5 Hz, 1H, 5-H), 6.50 (br, 1H, NH), 7.19 (d, J = 8.4 Hz, 2H, aromatic H), 7.32 (dd, J = 8.2, 4.2 Hz, 1H, 3-H), 7.44 (d, J = 8.4 Hz, 2H, aromatic H), 7.94 (dd, J = 8.2, 1.6 Hz, 1H, 4-H), 8.55 (dd, J = 4.2, 1.6 Hz, 1H, 2-H); 13C NMR (CDCl3, 100 MHz) δ = 29.99 ((CH3)3), 43.09 (C-1′), 46.23 (C-2′), 55.25 (OCH3), 58.18 (C-1″), 61.44 (CMe3), 92.44 (C-5), 97.11 (C-7), 121.94 (C-3), 122.52 (aromatic Cq), 129.76 (C-4a), 129.85, 132.06 (aromatic C), 134.73 (C-4), 135.45 (C-8a), 137.75 (aromatic Cq), 144.56 (C-2), 145.65 (C-8), 155.18 (C-5‴), 159.34 (C-6); HRMS (EI+) calcd for C24H28BrN7O: 509.1539; found: 509.1533.
N1-(6-Methoxyquinolin-8-yl)-N2-((tert-butyl-1H-tetrazol-5-yl)(2-(trifluoromethyl)phenyl) methyl)-ethan-1,2-diamine (12): The reaction of compound 6 (163 mg (0.75 mmol)), 4-(trifluoromethyl)benzaldehyde (131 mg, 102 µL (0.75 mmol)), trimethylsilyl azide (86 mg, 100 µL (0.75 mmol)) and tert-butyl isocyanide (62 mg, 85 µL (2.00 mmol)) in dry methanol (5 mL) gave the raw tetrazole which was purified by column chromatography (silica gel, diethyl ether) to yield compound 12 as yellow oil (56 mg (15%)). IR = 2937, 1619, 1579, 1521, 1457, 1424, 1389, 1335, 1313, 1264, 1214, 1164, 1115, 1036, 823, 771; 1H NMR (CDCl3, 400 MHz) δ = 1.73 (s, 9H, (CH3)3), 2.26 (br, 1H, NH), 2.93 (t, J = 6.0 Hz, 2H, 2′-H), 3.32–3.46 (m, 2H, 1′-H), 3.87 (s, 3H, OCH3), 5.84 (s, 1H, 1″-H), 6.25 (d, J = 2.5 Hz, 1H, 7-H), 6.37 (d, J = 2.5 Hz, 1H, 5-H), 6.38–6.41 (m, 1H, NH), 7.31 (dd, J = 8.3, 4.2 Hz, 1H, 3-H), 7.44 (t, J = 7.6 Hz, 1H, aromatic H), 7.55 (t, J = 7.5 Hz, 1H, aromatic H), 7.61 (d, J = 7.5 Hz, 1H, aromatic H), 7.71 (d, J = 7.6 Hz, 1H, aromatic H), 7.93 (dd, J = 8.3, 1.6 Hz, 1H, 4-H), 8.52 (dd, J = 4.2, 1.6 Hz, 1H, 2-H); 13C NMR (CDCl3, 100 MHz) δ = 29.75 ((CH3)3), 42.94 (C-1′), 46.78 (C-2′), 53.81 (C-1″), 55.21 (OCH3), 62.38 (CMe3), 92.42 (C-5), 96.91 (C-7), 121.91 (C-3), 124.44 (q, J = 274 Hz, CF3), 126.51 (q, J = 5.9 Hz, aromatic C), 128.34 (aromatic C), 128.42 (q, J = 30.1 Hz, aromatic Cq), 129.24 (aromatic C), 129.68 (C-4a), 132.45 (aromatic C), 134.65 (C-4), 135.40 (C-8a), 136.75 (aromatic Cq), 144.48 (C-2), 145.57 (C-8), 154.65 (C-5‴), 159.29 (C-6); HRMS (EI+) calcd for C25H28F3N7O: 499.2307; found: 499.2317.
6-Methoxy-N-(1-(1-tert-butyl-1H-tetrazol-5-yl)propyl)quinolin-8-amine (13): The reaction of 6-methoxyquinolin-8-amine 2 (131 mg (0.75 mmol)), propanal (44 mg, 54 µL (0.75 mmol)), trimethylsilyl azide (86 mg, 100 µL (0.75 mmol)) and tert-butyl isocyanide (62 mg, 85 µL (2.00 mmol)) in dry methanol (5 mL) gave the raw tetrazole which was purified by column chromatography (silica gel, CH2Cl2/MeOH 80:1) to yield compound 13 as yellow oil (107 mg (42%)). IR = 2966, 2937, 1620, 1596, 1579, 1520, 1454, 1422, 1391, 1339, 1324, 1220, 1195, 1169, 1125, 1064, 1050, 1031, 899, 838, 820, 792; 1H NMR (CDCl3, 400 MHz) δ = 1.01 (t, J = 7.4 Hz, 3H, 3′-H), 1.76 (s, 9H, (CH3)3), 2.21–2.41 (m, 2H, 2′-H), 3.91 (s, 3H, OCH3), 5.08 (td, J = 9.0, 5.5 Hz, 1H, 1′-H), 6.37 (d, J = 1.6 Hz, 1H, 7-H), 6.43 (d, J = 1.6 Hz, 1H, 5-H), 6.63 (d, J = 9.0 Hz, 1H, NH), 7.33 (dd, J = 8.3, 4.2 Hz, 1H, 3-H), 7.94 (dd, J = 8.3, 1.6 Hz, 1H, 4-H), 8.54 (dd, J = 4.2, 1.6 Hz, 1H, 2-H); 13C NMR (CDCl3, 100 MHz) δ = 10.82 (C-3′), 26.98 (C-2′), 30.10 ((CH3)3), 50.43 (C-1′), 55.31 (OCH3), 61.53 (CMe3), 93.11 (C-5), 97.25 (C-7), 122.24 (C-3), 129.80 (C-4a), 134.69 (C-4), 135.34 (C-8a), 143.57 (C-8), 144.99 (C-2), 155.09 (C-5″), 158.86 (C-6); HRMS (EI+) calcd for C18H24N6O: 340.2012; found: 340.2024.
6-Methoxy-N-((phenyl)(1-tert-butyl-1H-tetrazol-5-yl)methyl)quinolin-8-amine (14): The reaction of 6-methoxyquinolin-8-amine 2 (131 mg (0.75 mmol)), benzaldehyde (80 mg, 76 µL (0.75 mmol)), trimethylsilyl azide (86 mg, 100 µL (0.75 mmol)) and tert-butyl isocyanide (62 mg, 85 µL (2.00 mmol)) in dry methanol (5 mL) gave the raw tetrazole which was purified by column chromatography (silica gel, CH2Cl2/MeOH 80:1) to yield compound 14 as yellow oil (64 mg (22%)). IR = 2978, 2938, 1624, 1596, 1580, 1519, 1494, 1453, 1421, 1392, 1337, 1216, 1163, 1066, 1025, 824, 789, 735; 1H NMR (CDCl3, 400 MHz) δ = 1.75 (s, 9H, (CH3)3), 3.82 (s, 3H, OCH3), 6.24 (d, J = 2.3 Hz, 1H, 7-H), 6.28 (d, J = 8.4 Hz, 1H, 1′-H), 6.40 (d, J = 2.3 Hz, 1H, 5-H), 7.20 (d, J = 8.4 Hz, 1H, NH), 7.29 (m, 4H, 3-H, aromatic H), 7.46 (d, J = 7.0 Hz, 2H, aromatic H), 7.92 (dd, J = 8.3, 1.6 Hz, 1H, 4-H), 8.56 (dd, J = 4.2, 1.6 Hz, 1H, 2-H); 13C NMR (CDCl3, 100 MHz) δ = 30.06 ((CH3)3), 53.25 (C-1′), 55.17 (OCH3), 61.78 (CMe3), 93.62 (C-5), 98.33 (C-7), 122.15 (C-3), 127.65, 128.56, 129.00 (aromatic C), 129.62 (C-4a), 134.62 (C-4), 135.26 (C-8a), 137.56 (aromatic Cq), 143.17 (C-8), 145.05 (C-2), 154.95 (C-5″), 158.63 (C-6); HRMS (EI+) calcd for C22H24N6O: 388.2012; found: 388.2027.
N-((4-Fluorophenyl)(1-tert-butyl-1H-tetrazol-5-yl)methyl)-6-methoxyquinolin-8-amine (15): The reaction of 6-methoxyquinolin-8-amine 2 (131 mg (0.75 mmol)), 4-fluorobenzaldehyde (93 mg, 81 µL (0.75 mmol)), trimethylsilyl azide (86 mg, 100 µL (0.75 mmol)) and tert-butyl isocyanide (62 mg, 85 µL (2.00 mmol)) in dry methanol (5 mL) gave the raw tetrazole which was purified by column chromatography (silica gel, diethyl ether) to yield compound 15 as orange oil (95 mg (31%)). IR = 2985, 1622, 1579, 1512, 1454, 1422, 1389, 1337, 1218, 1160, 826, 791; 1H NMR (CDCl3, 400 MHz) δ = 1.76 (s, 9H, (CH3)3), 3.84 (s, 3H, OCH3), 6.22 (d, J = 2.5 Hz, 1H, 7-H), 6.25 (d, J = 8.4 Hz, 1H, 1′-H), 6.43 (d, J = 2.5 Hz, 1H, 5-H), 7.02–7.07 (m, 2H, aromatic H), 7.16 (d, J = 8.4 Hz, 1H, NH), 7.34 (dd, J = 8.3, 4.2 Hz, 1H, 3-H), 7.43–7.48 (m, 2H, aromatic H), 7.93 (dd, J = 8.3, 1.5 Hz, 1H, 4-H), 8.57 (dd, J = 4.2, 1.5 Hz, 1H, 2-H); 13C NMR (CDCl3, 100 MHz) δ = 30.12 ((CH3)3), 52.63 (C-1′), 55.25 (OCH3), 61.90 (CMe3), 93.84 (C-5), 98.54 (C-7), 116.03 (d, J = 21.8 Hz, aromatic C), 129.41 (d, J = 8.4 Hz, aromatic C), 129.68 (C-4a), 133.43 (d, J = 2.8 Hz, aromatic C), 134.70 (C-4), 135.28 (C-8a), 142.98 (C-8), 145.19 (C-2), 154.86 (C-5″), 158.65 (C-6), 162.68 (d, J = 248 Hz, aromatic Cq); HRMS (EI+) calcd for C22H23FN6O: 406.1917; found: 406.1923.
N-((4-Chlorophenyl)(1-tert-butyl-1H-tetrazol-5-yl)methyl)-6-methoxyquinolin-8-amine (16): The reaction of 6-methoxyquinolin-8-amine 2 (131 mg (0.75 mmol)), 4-chlorobenzaldehyde (105 mg (0.75 mmol)), trimethylsilyl azide (86 mg, 100 µL (0.75 mmol)) and tert-butyl isocyanide (62 mg, 85 µL (2.00 mmol)) in dry methanol (5 mL) gave the raw tetrazole which was purified by column chromatography (silica gel, diethyl ether) followed by precipitation from MeOH to yield compound 16 as off-white amorphous solid (19 mg (6%)). IR = 2992, 1625, 1579, 1515, 1493, 1454, 1420, 1386, 1220, 1168, 1113, 1015, 822, 790; 1H NMR (CDCl3, 400 MHz) δ = 1.77 (s, 9H, (CH3)3), 3.84 (s, 3H, OCH3), 6.22 (d, J = 2.5 Hz, 1H, 7-H), 6.24 (d, J = 8.4 Hz, 1H, 1′-H), 6.43 (d, J = 2.5 Hz, 1H, 5-H), 7.15 (d, J = 8.4 Hz, 1H, NH), 7.32 (d, J = 8.5 Hz, 2H, aromatic H), 7.33 (dd, J = 8.3, 4.2 Hz, 1H, 3-H), 7.42 (d, J = 8.5 Hz, 2H, aromatic H), 7.93 (dd, J = 8.3, 1.6 Hz, 1H, 4-H), 8.56 (dd, J = 4.2, 1.6 Hz, 1H, 2-H); 13C NMR (CDCl3, 100 MHz) δ = 30.12 ((CH3)3), 52.68 (C-1′), 55.24 (OCH3), 61.95 (CMe3), 93.93 (C-5), 98.60 (C-7), 122.29 (C-3), 128.98, 129.23 (aromatic C), 129.68 (C-4a), 134.49 (aromatic Cq), 134.70 (C-4), 135.24 (C-8a), 136.19 (aromatic Cq), 142.89 (C-8), 145.20 (C-2), 154.63 (C-5″), 158.64 (C-6); HRMS (EI+) calcd for C22H23ClN6O: 422.1622; found: 422.1646.
N-((4-Bromophenyl)(1-tert-butyl-1H-tetrazol-5-yl)methyl)-6-methoxyquinolin-8-amine (17): The reaction of 6-methoxyquinolin-8-amine 2 (131 mg (0.75 mmol)), 4-bromobenzaldehyde (139 mg (0.75 mmol)), trimethylsilyl azide (86 mg, 100 µL (0.75 mmol)) and tert-butyl isocyanide (62 mg, 85 µL (2.00 mmol)) in dry methanol (5 mL) gave the raw tetrazole which precipitated from diethyl ether to yield compound 17 as off-white amorphous solid (112 mg (32%)). IR = 2984, 1622, 1579, 1517, 1488, 1454, 1422, 1389, 1216, 1164, 1072, 1011, 824, 791; 1H NMR (CDCl3, 400 MHz) δ = 1.77 (s, 9H, (CH3)3), 3.84 (s, 3H, OCH3), 6.21 (d, J = 2.3 Hz, 1H, 7-H), 6.22 (d, J = 8.4 Hz, 1H, 1′-H), 6.43 (d, J = 2.3 Hz, 1H, 5-H), 7.15 (d, J = 8.4 Hz, 1H, NH), 7.34 (dd, J = 8.4, 4.4 Hz, 1H, 3-H), 7.36 (d, J = 8.4 Hz, 2H, aromatic H), 7.48 (d, J = 8.4 Hz, 2H, aromatic H), 7.94 (dd, J = 8.4, 1.3 Hz, 1H, 4-H), 8.56 (dd, J = 4.4, 1.3 Hz, 1H, 2-H); 13C NMR (CDCl3, 100 MHz) δ = 30.15 ((CH3)3), 52.75 (C-1′), 55.26 (OCH3), 61.97 (CMe3), 93.94 (C-5), 98.62 (C-7), 122.31 (C-3), 122.69 (aromatic Cq), 129.30 (aromatic C), 129.70 (C-4a), 132.19 (aromatic C), 134.71 (C-4), 135.25 (C-8a), 136.73 (aromatic Cq), 142.88 (C-8), 145.22 (C-2), 154.55 (C-5″), 158.65 (C-6); HRMS (EI+) calcd for C22H23BrN6O: 466.1117; found: 466.1137.
6-Methoxy-N-((1-tert-butyl-1H-tetrazol-5-yl)(4-(trifluoromethyl)phenyl)methyl)quinolin-8-amine (18): The reaction of 6-methoxyquinolin-8-amine 2 (131 mg (0.75 mmol)), 4-(trifluoromethyl) benzaldehyde (131 mg, 102 µL (0.75 mmol)), trimethylsilyl azide (86 mg, 100 µL (0.75 mmol)) and tert-butyl isocyanide (62 mg, 85 µL (2.00 mmol)) in dry methanol (5 mL) gave the raw tetrazole which was purified by column chromatography (silica gel, diethyl ether/petroleum ether 20:1) followed by precipitation from diethyl ether to yield compound 18 as off-white amorphous solid (17 mg (5%)). IR = 2936, 1622, 1580, 1515, 1454, 1421, 1388, 1325, 1220, 1168, 1112, 1068, 1018, 823, 790; 1H NMR (CDCl3, 400 MHz) δ = 1.79 (s, 9H, (CH3)3), 3.84 (s, 3H, OCH3), 6.22 (d, J = 2.4 Hz, 1H, 7-H), 6.33 (d, J = 8.5 Hz, 1H, 1′-H), 6.45 (d, J = 2.4 Hz, 1H, 5-H), 7.18 (d, J = 8.5 Hz, 1H, NH), 7.36 (dd, J = 8.2, 4.2 Hz, 1H, 3-H), 7.61 (s, 4H, aromatic H), 7.95 (dd, J = 8.2, 1.4 Hz, 1H, 4-H), 8.57 (dd, J = 4.2, 1.4 Hz, 1H, 2-H); 13C NMR (CDCl3, 100 MHz) δ = 30.15 ((CH3)3), 52.79 (C-1′), 55.27 (OCH3), 62.08 (CMe3), 94.09 (C-5), 98.61 (C-7), 122.38 (C-3), 123.84 (q, J = 272 Hz, CF3), 126.02 (q, J = 3.8 Hz, aromatic C), 127.94 (aromatic C), 129.72 (C-4a), 130.76 (q, J = 33.0 Hz, aromatic Cq), 134.76 (C-4), 135.17 (C-8a), 141.64 (aromatic Cq), 142.73 (C-8), 145.29 (C-2), 154.33 (C-5″), 158.63 (C-6); HRMS (EI+) calcd for C23H23F3N6O: 456.1885; found: 456.1904.
6-Methoxy-N-((4-methylphenyl)(1-tert-butyl-1H-tetrazol-5-yl)methyl)quinolin-8-amine (19): The reaction of 6-methoxyquinolin-8-amine 2 (131 mg (0.75 mmol)), 4-methylbenzaldehyde (90 mg, 88 µL (0.75 mmol)), trimethylsilyl azide (86 mg, 100 µL (0.75 mmol)) and tert-butyl isocyanide (62 mg, 85 µL (2.00 mmol)) in dry methanol (5 mL) gave the raw tetrazole which was purified by column chromatography (silica gel, diethyl ether) followed by precipitation from MeOH to yield compound 19 as off-white amorphous solid (51 mg (17%)). IR = 2985, 1622, 1579, 1517, 1454, 1422, 1389, 1216, 1165, 1025, 824, 791; 1H NMR (CDCl3, 400 MHz) δ = 1.75 (s, 9H, (CH3)3), 2.32 (s, 3H, CH3), 3.83 (s, 3H, OCH3), 6.23 (d, J = 2.3 Hz, 1H, 7-H), 6.24 (d, J = 8.4 Hz, 1H, 1′-H), 6.40 (d, J = 2.3 Hz, 1H, 5-H), 7.15 (d, J = 7.9 Hz, 2H, aromatic H), 7.19 (d, J = 8.4 Hz, 1H, NH), 7.33 (dd, J = 8.1, 4.2 Hz, 1H, 3-H), 7.34 (d, J = 7.9 Hz, 2H, aromatic H), 7.92 (dd, J = 8.1, 1.6 Hz, 1H, 4-H), 8.56 (dd, J = 4.2, 1.6 Hz, 1H, 2-H); 13C NMR (CDCl3, 100 MHz) δ = 21.13 (CH3), 30.12 ((CH3)3), 53.12 (C-1′), 55.21 (OCH3), 61.77 (CMe3), 93.58 (C-5), 98.33 (C-7), 122.16 (C-3), 127.64 (aromatic C), 129.67 (C-4a), 129.74 (aromatic C), 134.61 (C-4), 134.65 (aromatic Cq), 135.40 (C-8a), 138.43 (aromatic Cq), 143.34 (C-8), 145.08 (C-2), 155.14 (C-5″), 158.73 (C-6); HRMS (EI+) calcd for C23H26N6O: 402.2168; found: 402.2182.
6-Methoxy-N-((4-(propan-2-yl)phenyl)(1-tert-butyl-1H-tetrazol-5-yl)methyl)quinolin-8-amine (20): The reaction of 6-methoxyquinolin-8-amine 2 (131 mg (0.75 mmol)), 4-(propan-2-yl)benzaldehyde (93 mg, 81 µL (0.75 mmol)), trimethylsilyl azide (86 mg, 100 µL (0.75 mmol)) and tert-butyl isocyanide (62 mg, 85 µL (2.00 mmol)) in dry methanol (5 mL) gave the raw tetrazole which was purified by column chromatography (silica gel, diethyl ether) to yield compound 20 as orange oil (26 mg (8%)). IR = 2961, 1622, 1578, 1517, 1454, 1422, 1388, 1216, 1165, 1054, 1024, 906, 824, 730; 1H NMR (CDCl3, 400 MHz) δ = 1.21 (d, J = 6.9 Hz, 6H, (CH3)2), 1.75 (s, 9H, (CH3)3), 2.87 (sept, J = 6.9 Hz, 1H, CH(CH3)2), 3.84 (s, 3H, OCH3), 6.24 (d, J = 2.3 Hz, 1H, 7-H), 6.25 (d, J = 8.4 Hz, 1H, 1′-H), 6.40 (d, J = 2.3 Hz, 1H, 5-H), 7.19 (d, J = 8.4 Hz, 1H, NH), 7.20 (d, J = 8.1 Hz, 2H, aromatic H), 7.31 (dd, J = 8.3, 4.2 Hz, 1H, 3-H), 7.36 (d, J = 8.1 Hz, 2H, aromatic H), 7.92 (dd, J = 8.3, 1.5 Hz, 1H, 4-H), 8.56 (dd, J = 4.2, 1.5 Hz, 1H, 2-H); 13C NMR (CDCl3, 100 MHz) δ = 23.83 ((CH3)2), 30.12 ((CH3)3), 33.75 (CH(CH3)2), 53.07 (C-1′), 55.21 (OCH3), (CMe3), 93.53 (C-5), 98.20 (C-7), 122.15 (C-3), 127.11, 127.66 (aromatic C), 129.67 (C-4a), 134.61 (C-4), 134.92 (aromatic Cq), 135.37 (C-8a), 143.40 (C-8), 145.06 (C-2), 149.24 (aromatic Cq), 155.18 (C-5″), 158.72 (C-6); HRMS (EI+) calcd for C25H30N6O: 430.2481; found: 430.2512.
6-Methoxy-N-((naphthalen-1-yl)(1-tert-butyl-1H-tetrazol-5-yl)methyl)quinolin-8-amine (21): The reaction of 6-methoxyquinolin-8-amine 2 (131 mg (0.75 mmol)), naphthalene-1-carboxaldehyde (117 mg, 102 µL (0.75 mmol)), trimethylsilyl azide (86 mg, 100 µL (0.75 mmol)) and tert-butyl isocyanide (62 mg, 85 µL (2.00 mmol)) in dry methanol (5 mL) gave the raw tetrazole which was purified by column chromatography (silica gel, diethyl ether) followed by precipitation from MeOH to yield compound 21 as off-white amorphous solid (82 mg (25%)). IR = 2937, 1619, 1578, 1518, 1452, 1422, 1389, 1278, 1216, 1160, 1047, 1029, 825, 781, 738; 1H NMR (CDCl3, 400 MHz) δ = 1.68 (s, 9H, (CH3)3), 3.83 (s, 3H, OCH3), 6.23 (d, J = 2.4 Hz, 1H, 7-H), 6.43 (d, J = 2.4 Hz, 1H, 5-H), 6.99 (d, J = 9.0 Hz, 1H, 1′-H), 7.09 (d, J = 9.0 Hz, 1H, NH), 7.18 (d, J = 7.2 Hz, 1H, aromatic H), 7.29 (dd, J = 8.3, 4.2 Hz, 1H, 3-H), 7.39 (t, J = 7.7 Hz, 1H, aromatic H), 7.48–7.53 (m, 2H, aromatic H), 7.85–7.98 (m, 4H, 4-H, aromatic H), 8.50 (dd, J = 4.2, 1.4 Hz, 1H, 2-H); 13C NMR (CDCl3, 100 MHz) δ = ((CH3)3), 50.32 (C-1′), 55.17 (OCH3), 62.10 (CMe3), 93.80 (C-5), 98.15 (C-7), 122.16 (C-3), 122.23, 125.35, 125.91, 126.12, 127.29, 129.16, 129.72 (aromatic C), 129.81 (C-4a), 130.94, 132.97, 134.11 (aromatic Cq), 135.44 (C-8a), 143.61 (C-8), 145.08 (C-2), 154.86 (C-5″), 158.70 (C-6); HRMS (EI+) calcd for C26H26N6O: 438.2168; found: 438.2200.
6-Methoxy-N-(1-(1-tert-butyl-1H-tetrazol-5-yl)octyl)quinolin-8-amine (22): The reaction of 6-methoxyquinolin-8-amine 2 (131 mg (0.75 mmol)), octanal (96 mg, 117 µL (0.75 mmol)), trimethylsilyl azide (86 mg, 100 µL (0.75 mmol)) and tert-butyl isocyanide (62 mg, 85 µL (2.00 mmol)) in dry methanol (5 mL) gave the raw tetrazole which was purified by column chromatography (silica gel, diethyl ether/cyclohexane 1:1) to yield compound 22 as light brown oil (99 mg (30%)). IR = 2928, 2855, 1621, 1579, 1519, 1455, 1422, 1389, 1216, 1196, 1166, 1050, 824, 792; 1H NMR (CDCl3, 400 MHz) δ = 0.85 (t, J = 7.0 Hz, 3H, 8′-H), 1.17–1.47 (m, 10H, 3′-H, 4′-H, 5′-H, 6′-H, 7′-H), 1.76 (s, 9H, (CH3)3), 2.15–2.37 (m, 2H, 2′-H), 3.91 (s, 3H, OCH3), 5.10–5.17 (m, 1H, 1′-H), 6.36 (d, J = 1.9 Hz, 1H, 7-H), 6.43 (d, J = 1.9 Hz, 1H, 5-H), 6.62 (d, J = 9.7 Hz, 1H, NH), 7.31 (dd, J = 8.2, 4.1 Hz, 1H, 3-H), 7.93 (dd, J = 8.2, 1.5 Hz, 1H, 4-H), 8.53 (dd, J = 4.1, 1.5 Hz, 1H, 2-H); 13C NMR (CDCl3, 100 MHz) δ = 13.97 (C-8′), 22.52 (C-7′), 26.32 (C-3′), 29.02 (C-5′), 29.33 (C-4′), 30.08 ((CH3)3), 31.66 (C-6′), 34.03 (C-2′), 49.16 (C-1′), 55.26 (OCH3), 61.48 (CMe3), 93.14 (C-5), 97.23 (C-7), 122.16 (C-3), 129.79 (C-4a), 134.64 (C-4), 135.33 (C-8a), 143.56 (C-8), 144.92 (C-2), 155.36 (C-5″), 158.87 (C-6); HRMS (EI+) calcd for C23H34N6O: 410.2794; found: 410.2793.

3.3. Biological Tests

3.3.1. In Vitro Microplate Assay against P. falciparum

In vitro activity against erythrocytic stages of P. falciparum was determined using a 3H-hypoxanthine incorporation assay [22,23], using the drug-sensitive NF54 strain [24]. Chloroquine (Sigma C6628) was used as standard. Compounds were dissolved in DMSO at 10 mg/mL and added to parasite cultures incubated in RPMI 1640 medium without hypoxanthine, supplemented with HEPES (5.94 g/L), NaHCO3 (2.1 g/L), neomycin (100 U/mL), Albumax (5 g/L) and washed human red cells A+ at 2.5% hematocrit (0.3% parasitemia). Serial drug dilutions of 11 3-fold dilution steps covering a range from 100 to 0.002 μg/mL were prepared. The 96-well plates were incubated in a humidified atmosphere at 37 °C; 4% CO2, 3% O2, 93% N2. After 48 h, 0.05 mL of 3H-hypoxanthine (=0.5 μCi) was added to each well of the plate. The plates were incubated for a further 24 h under the same conditions. The plates were then harvested with a Betaplate cell harvester (Wallac, Zurich, Switzerland). The red blood cells were transferred onto a glass fiber filter and washed with distilled water. The dried filters were inserted into a plastic foil with 10 mL of scintillation fluid and counted in a Betaplate liquid scintillation counter (Wallac, Zurich, Switzerland). IC50 values were calculated from sigmoidal inhibition curves by linear regression [25] using Microsoft Excel. Artemisinin and chloroquine were used as control.

3.3.2. In Vitro Cytotoxicity with L-6 Cells

Assays were performed in 96-well microtiter plates, each well containing 0.1 mL of RPMI 1640 medium supplemented with 1% L-glutamine (200 mM) and 10% fetal bovine serum and 4000 L-6 cells (a primary cell line derived from rat skeletal myoblasts) [26,27]. Serial drug dilutions of 11 3-fold dilution steps covering a range from 100 to 0.002 μg/mL were prepared. After 70 h of incubation, the plates were inspected under an inverted microscope to assure the growth of the controls and sterile conditions. Then, 0.01 mL of Alamar Blue was added to each well and the plates incubated for another 2 h. The plates were read with a Spectramax Gemini XS microplate fluorometer (Molecular Devices Cooperation, Sunnyvale, CA, USA) using an excitation wavelength of 536 nm and an emission wavelength of 588 nm. The IC50 values were calculated by linear regression [28] from the sigmoidal dose inhibition curves using SoftmaxPro software (Molecular Devices Cooperation, Sunnyvale, CA, USA). Podophyllotoxin (Sigma P4405) was used as control.

4. Conclusions

A series of 8-amino-6-methoxyquinoline hybrids was prepared via Ugi-azide reaction. The compounds exhibit different linkers between a 6-methoxyquinolin-8-amine moiety and a tetrazole ring. Compounds with a short and non-basic linker with lipophilic substitution showed the highest antiplasmodial activity. Six of the new derivates have promising selectivity due to their low cytotoxity. The optimum linker length will be investigated in a future project.

Supplementary Materials

The following are available online. Figures S1–S20: 1H- and 13C-NMR spectra for compounds 322 and IR and MS spectra for compounds 722.

Author Contributions

Conceptualization, P.H., J.D. and R.W.; investigation, P.H., J.D., W.S., R.S., M.K., P.M. and R.W.; methodology P.H and J.D.; data curation, P.H., J.D., W.S., R.S., M.K., P.M. and R.W.; writing—original draft preparation, P.H., J.D. and R.W.; writing—review and editing, P.H. and R.W.; supervision, R.W.; project administration, J.D. and R.W. All authors have read and agreed to the published version of the manuscript.

Funding

This research received no external funding.

Institutional Review Board Statement

Not applicable.

Informed Consent Statement

Not applicable.

Data Availability Statement

The data presented in this study are available in this article.

Acknowledgments

The authors acknowledge Open Access Funding by the University of Graz.

Conflicts of Interest

The authors declare no conflict of interest.

Sample Availability

Samples of the compounds are available from the authors.

References

  1. WHO. World Malaria Report; World Health Organization: Geneva, Switzerland, 2020. [Google Scholar]
  2. Talapko, J.; Škrlec, I.; Alebić, T.; Jukić, M.; Včev, A. Malaria: The Past and the Present. Microorganisms 2019, 7, 179. [Google Scholar] [CrossRef] [Green Version]
  3. Ashley, E.A.; Dhorda, M.; Fairhurst, R.M.; Amaratunga, C.; Lim, P.; Suon, S.; Sreng, S.; Anderson, J.M.; Mao, S.; Sam, B.; et al. Spread of Artemisinin Resistance in Plasmodium falciparum Malaria. N. Engl. J. Med. 2014, 371, 411–423. [Google Scholar] [CrossRef] [Green Version]
  4. Das, S.; Manna, S.; Saha, B.; Hati, A.K.; Roy, S. Novel pfkelch13 Gene Polymorphism Associates With Artemisinin Resistance in Eastern India. Clin. Infect. Dis. 2019, 69, 1144–1152. [Google Scholar] [CrossRef] [PubMed] [Green Version]
  5. Hawley, S.R.; Bray, P.G.; Mungthin, M.; Atkinson, J.D.; O’Neill, P.M.; Ward, S.A. Relationship between Antimalarial Drug Activity, Accumulation, and Inhibition of Heme Polymerization in Plasmodium falciparum In Vitro. Antimicrob. Agents Chemother. 1998, 42, 682–686. [Google Scholar] [CrossRef] [PubMed] [Green Version]
  6. Wongsrichanalai, C.; Pickard, A.L.; Wernsdorfer, W.H.; Meshnick, S.R. Epidemiology of drug-resistant malaria. Lancet Infect. Dis. 2002, 2, 209–218. [Google Scholar] [CrossRef]
  7. Hanboonkunupakarn, B.; White, N.J. The threat of antimalarial drug resistance. Trop. Dis. Travel Med. Vaccines 2016, 2, 10. [Google Scholar] [CrossRef] [Green Version]
  8. Kumar, A.; Srivastava, K.; Kumar, S.R.; Siddiqi, M.I.; Puri, S.K.; Sexana, J.K.; Chauhan, P.M.S. 4-Anilinoquinoline triazines: A novel class of hybrid antimalarial agents. Eur. J. Med. Chem. 2011, 46, 676–690. [Google Scholar] [CrossRef] [PubMed]
  9. Manohar, S.; Tripathi, M.; Rawat, D.S. 4-Aminoquinoline Based Molecular Hybrids as Antimalarials: An Overview. Curr. Top. Med. Chem. 2014, 14, 1706–1733. [Google Scholar] [CrossRef] [PubMed]
  10. Pandey, S.; Agarwal, P.; Srivastava, K.; Rajakumar, S.; Puri, S.K.; Verma, P.; Saxena, J.; Sharma, A.; Lal, J.; Chauhan, P.M. Synthesis and bioevaluation of novel 4-aminoquinoline-tetrazole derivatives as potent antimalarial agents. Eur. J. Med. Chem. 2013, 66, 69–81. [Google Scholar] [CrossRef]
  11. Hochegger, P.; Faist, J.; Seebacher, W.; Saf, R.; Mäser, P.; Kaiser, M.; Weis, R. Antiprotozoal Activities of Tetrazole-quinolines with Aminopiperidine Linker. Med. Chem. 2018, 14, 1–8. [Google Scholar] [CrossRef] [PubMed]
  12. Douglas, C.J.; Dreis, A.M. Catalytic Carbon−Carbon σ Bond Activation: An Intramolecular Carbo-Acylation Reaction with Acylquinolines. J. Am. Chem. Soc. 2009, 131, 412–413. [Google Scholar]
  13. Widdowson, K.L.; Elliott, J.D.; Veber, D.F.; Nie, H.; Rutledge, M.C.; McCleland, B.C.; Xiang, J.; Jurewicz, A.J.; Hertzberg, R.P.; Foley, J.J.; et al. Evaluation of Potent and Selective Small-Molecule Antagonists for the CXCR2 Chemokine Receptor. J. Med. Chem. 2009, 47, 1319–1321. [Google Scholar] [CrossRef] [PubMed]
  14. Cárdenas-Galindo, L.E.; Islas-Jácome, A.; Cortes-García, C.J.; El Kaim, L.; Gámez-Montaño, R. Efficient Synthesis of 1,5-disubstituted-1H-tetrazoles by an Ugiazide Process. J. Mex. Chem. Soc. 2013, 57, 283–289. [Google Scholar]
  15. Zhou, X.; Yan, W.; Zhao, T.; Tian, Z.; Wu, X. Rhodamine based derivative and its zinc complex: Synthesis and recognition be-havior toward Hg(II). Tetrahedron 2013, 69, 9535–9539. [Google Scholar] [CrossRef]
  16. Zhu, J.; Yuan, H.; Chan, W.; Lee, A.W.M. A colorimetric and fluorescent turn-on chemosensor operative in aqueous media for Zn2+ based on a multifunctionalized spirobenzopyran derivative. Org. Biomol. Chem. 2010, 8, 3957–3964. [Google Scholar] [CrossRef] [Green Version]
  17. Faist, J.; Seebacher, W.; Kaiser, M.; Brun, R.; Saf, R.; Weis, R. Antiprotozoal activity of bicyclic diamines with a N-methylpiperazinyl group at the bridgehead atom. Bioorg. Med. Chem. 2013, 21, 4988–4996. [Google Scholar] [CrossRef]
  18. Bruce, W.F. Disubstituted Glycyl Derivatives of Amino Quinolines. U.S. Patent US2494083A, 10 January 1950. [Google Scholar]
  19. Bhat, B.; Bhaduri, A.P. Possible Antimalarial Agents: Syntheses of 6-methoxy-8-substituted-aminoquinolines. Indian J. Chem. Sect. B 1985, 24B, 419–423. [Google Scholar]
  20. Baldwin, A.W. Attempts to find new anti-malarials. Part III. Some substituted aminoalkylaminoquinolines. J. Chem. Soc. 1929, 2959–2965. [Google Scholar] [CrossRef]
  21. Beer, A.A. Antimalarial compounds in the series 6-methoxy-8-(aminoalkyl)aminoquinoline. Zhurnal Obs. Khimii 1939, 9, 2158–2161. [Google Scholar]
  22. Desjardins, R.; Canfield, C.J.; Haynes, J.D.; Chulay, J.D. Quantitative assessment of antimalarial activity in vitro by a semiautomated microdilution technique. Antimicrob. Agents Chemother. 1979, 16, 710–718. [Google Scholar] [CrossRef] [Green Version]
  23. Matile, H.; Richard, J.; Pink, L. Plasmodium falciparum malaria parasite cultures and their use in immunology. In Immuno-logical Methods; Academic Press: San Diego, CA, USA, 1990; Volume 4, pp. 221–234. [Google Scholar] [CrossRef]
  24. Ponnudurai, T.; Leeuwenberg, A.D.; Meuwissen, J.H. Chloroquine sensitivity of isolates of Plasmodium falciparum adapted to in vitro culture. Trop. Geogr. Med. 1981, 33, 50–54. [Google Scholar]
  25. Huber, W.; Koella, J.C. A comparison of three methods of estimating EC50 in studies of drug resistance of malaria parasites. Acta Trop. 1993, 55, 257–261. [Google Scholar] [CrossRef]
  26. Page, B.; Page, M.; Noel, C. A new fluorometric assay for cytotoxicity measurements in-vitro. Int. J. Oncol. 1993, 3, 473–476. [Google Scholar] [CrossRef] [PubMed]
  27. Ahmed, S.A.; Gogal, R.M., Jr.; Walsh, J.E. A new rapid and simple non-radioactive assay to monitor and determine the proliferation of lymphocytes: An alternative to [3H]thymidine incorporation assay. J. Immunol. Methods 1994, 170, 211–224. [Google Scholar] [CrossRef]
  28. Wrobel, J.E.; Rogers, J.F.; Green, D.M.; Kao, W.; Jetter, J.W. Aryl Sulfonic Acids and Derivatives as FSH Antagonists. U.S. Patent US6355633B1, 12 March 2002. [Google Scholar]
Figure 1. Structures of primaquine and tafenoquine.
Figure 1. Structures of primaquine and tafenoquine.
Molecules 26 05530 g001
Scheme 1. Preparation of compounds 122, Reagents and conditions: (a) FeSO4 × 7 H2O, methanesulfonic acid, 130 °C, 6 h; (b) SnCl2 × 2 H2O, EtOH, rt, 48 h; (c) chloroacetyl chloride, triethylamine, CH2Cl2, rt, 20 h; (d) NaN3, DMF, rt, 48 h; (e) triphenylphosphine, THF, H2O, reflux, 20 h; (f) LiAlH4, diethyl ether, rt, 20 h; (g) aldehyde, trimethylsilyl azide, tert-butyl isocyanide, MeOH, rt, 20–120 h.
Scheme 1. Preparation of compounds 122, Reagents and conditions: (a) FeSO4 × 7 H2O, methanesulfonic acid, 130 °C, 6 h; (b) SnCl2 × 2 H2O, EtOH, rt, 48 h; (c) chloroacetyl chloride, triethylamine, CH2Cl2, rt, 20 h; (d) NaN3, DMF, rt, 48 h; (e) triphenylphosphine, THF, H2O, reflux, 20 h; (f) LiAlH4, diethyl ether, rt, 20 h; (g) aldehyde, trimethylsilyl azide, tert-butyl isocyanide, MeOH, rt, 20–120 h.
Molecules 26 05530 sch001
Table 1. Activities of compounds 722 against P. falciparum NF54, and L-6 cells, expressed as IC50 (µM) a.
Table 1. Activities of compounds 722 against P. falciparum NF54, and L-6 cells, expressed as IC50 (µM) a.
CompoundP.f. NF54 b IC50 (µM)S.I. = IC50 (Cyt.)/IC50 (P.f. NF54)Cytotoxicity L-6 Cells IC50 (µM)
715.9815.98144.0
86.099.5257.97
97.057.8655.43
105.3417.2992.31
112.5113.5734.07
122.927.6422.30
1323.603.8691.10
145.129.5648.96
152.6846.27124.0
160.743318.3236.5
170.464208.896.86
180.644273.3176.0
191.04238.9248.5
202.0059.70119.4
211.26137.6173.4
220.324168.954.73
CQ0.003923,31390.92
POD 0.012
CQ = chloroquine; POD = podophyllotoxin. a values represent the average of four determinations (two determinations of two independent experiments); b sensitive to chloroquine.
Publisher’s Note: MDPI stays neutral with regard to jurisdictional claims in published maps and institutional affiliations.

Share and Cite

MDPI and ACS Style

Hochegger, P.; Dolensky, J.; Seebacher, W.; Saf, R.; Kaiser, M.; Mäser, P.; Weis, R. 8-Amino-6-Methoxyquinoline—Tetrazole Hybrids: Impact of Linkers on Antiplasmodial Activity. Molecules 2021, 26, 5530. https://doi.org/10.3390/molecules26185530

AMA Style

Hochegger P, Dolensky J, Seebacher W, Saf R, Kaiser M, Mäser P, Weis R. 8-Amino-6-Methoxyquinoline—Tetrazole Hybrids: Impact of Linkers on Antiplasmodial Activity. Molecules. 2021; 26(18):5530. https://doi.org/10.3390/molecules26185530

Chicago/Turabian Style

Hochegger, Patrick, Johanna Dolensky, Werner Seebacher, Robert Saf, Marcel Kaiser, Pascal Mäser, and Robert Weis. 2021. "8-Amino-6-Methoxyquinoline—Tetrazole Hybrids: Impact of Linkers on Antiplasmodial Activity" Molecules 26, no. 18: 5530. https://doi.org/10.3390/molecules26185530

APA Style

Hochegger, P., Dolensky, J., Seebacher, W., Saf, R., Kaiser, M., Mäser, P., & Weis, R. (2021). 8-Amino-6-Methoxyquinoline—Tetrazole Hybrids: Impact of Linkers on Antiplasmodial Activity. Molecules, 26(18), 5530. https://doi.org/10.3390/molecules26185530

Article Metrics

Back to TopTop