Next Article in Journal
Analytical Extraction Methods and Sorbents’ Development for Simultaneous Determination of Organophosphorus Pesticides’ Residues in Food and Water Samples: A Review
Next Article in Special Issue
Studies towards the Design and Synthesis of Novel 1,5-Diaryl-1H-imidazole-4-carboxylic Acids and 1,5-Diaryl-1H-imidazole-4-carbohydrazides as Host LEDGF/p75 and HIV-1 Integrase Interaction Inhibitors
Previous Article in Journal
Antioxidant, Antimicrobial and Metmyoglobin Reducing Activity of Artichoke (Cynara scolymus) Powder Extract-Added Minced Meat during Frozen Storage
Previous Article in Special Issue
4,5,6,7-Tetrahydroindol-4-Ones as a Valuable Starting Point for the Synthesis of Polyheterocyclic Structures
 
 
Font Type:
Arial Georgia Verdana
Font Size:
Aa Aa Aa
Line Spacing:
Column Width:
Background:
Article

Synthesis of 6-Membered-Ring Fused Thiazine-Dicarboxylates and Thiazole-Pyrimidines via One-Pot Three-Component Reactions

by
Reagan L. Mohlala
1,2,
Elena Mabel Coyanis
1,*,
Muhammad Q. Fish
1,
Manuel A. Fernandes
2 and
Moira L. Bode
2,*
1
Advanced Materials Division, Mintek, Private Bag X3015, Randburg 2125, South Africa
2
Molecular Sciences Institute, School of Chemistry, University of the Witwatersrand, Private Bag 3, PO Wits, Johannesburg 2050, South Africa
*
Authors to whom correspondence should be addressed.
Molecules 2021, 26(18), 5493; https://doi.org/10.3390/molecules26185493
Submission received: 20 August 2021 / Revised: 1 September 2021 / Accepted: 3 September 2021 / Published: 10 September 2021
(This article belongs to the Collection Heterocyclic Compounds)

Abstract

:
A facile and efficient one-pot three-component reaction method for the synthesis of thiazine-dicarboxylates is reported. Reaction of an isocyanide and dialkyl acetylenedicarboxylate with 2-amino-4H-1,3-thiazin-4-one derivatives containing both an acidic proton and an internal nucleophile gave the products in good yields of 76–85%. The reactivity of dialkyl acetylenedicarboxylates was further tested in the synthesis of thiazole-pyrimidines where a two-component reaction of 2-aminothiazole with dialkyl acetylenedicarboxylates was successfully converted to a more efficient three-component reaction of a thiourea, α-haloketone and dialkyl acetylenedicarboxylate (DMAD/DEtAD) to give thiazole-pyrimidines in good yields of 70–91%.

Graphical Abstract

1. Introduction

Multicomponent reactions (MCRs) are one-pot reactions that comprise at least three reactants [1,2,3]. Some of the well-known MCRs include the classic Ugi four-component reaction [4] (U-4CR), the Passerini three-component reaction [5] (P-3CR), the Biginelli three-component reaction [6] (B-3CR) and the Hantzsch three-component reaction [7] (H-3CR). The history and discovery of MCRs can be traced back to Strecker’s [8] multicomponent reaction (S-3CR), which was reported in 1850, and three decades on, the Hantzsch reaction for preparing dihydropyridines (DHP) was reported [7]. The Biginelli 3-CR was reported in 1891, whereas Mannich [9] reported his eponymous MCR in 1912. The first isocyanide-based MCRs were reported in 1921 and 1959 by Passerini [5] and Ugi [10], respectively. MCRs represent one of the most convenient synthetic approaches in chemistry, with the main advantages being a reduction in the number of sequential reaction steps required and often better yields [11,12]. The Passerini and Ugi reactions have gained a great deal of attention since the early 1990s [13,14]. The versatility of these reactions relies on the dual reactivity of the isocyanide carbon atom, leading to the formation of diverse and complex products [15,16].
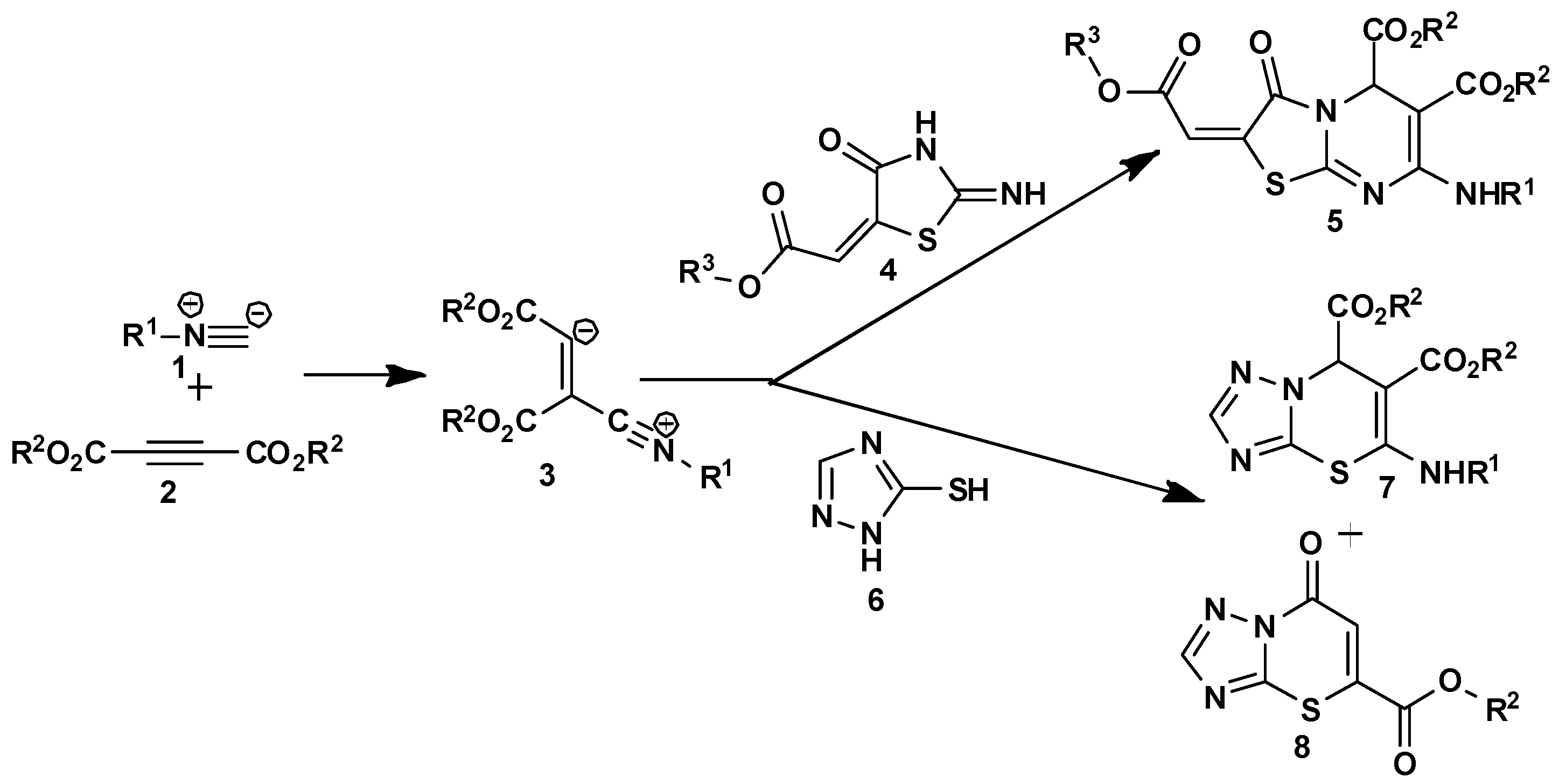
The first reaction of isocyanides 1 with electron deficient alkynes such as DMAD 2 to give zwitterions 3 (Scheme 1) was reported by Winterfeldt and co-workers [17]. This zwitterion adduct 3 can readily undergo cycloaddition reactions with various third components, generating a range of heterocyclic scaffolds of interest [18]. Previously, our group reported the reaction of zwitterion adduct 3 and different five-membered rings, for example, 4, containing both an acidic proton and internal nucleophile, to give products 5 incorporating all three reaction components (Scheme 1). Depending on the nature of the five-membered ring, in certain cases such as for thiol 6, we observed that there was competition between the three-component reaction (to give 7) and the two-component reaction (to give 8). For the latter, DMAD 2 reacts directly with the five-membered ring, as shown in Scheme 1 for 1H-1,2,4-triazole-5-thiol 6, to give methyl 7-oxo-7H-[1,2,4]triazolo[5,1-b][1,3]thiazine-5-carboxylate 8 [19]. We found that the most successful three-component reactions involved five-membered rings containing more acidic protons.
In this work, we set out to investigate alternative rings to act as the third component substrate in these reactions and selected the acidic six-membered ring 2-amino-4H-1,3-thiazin-4-one derivatives 9, with predicted pKa values in the range of −1.80 to −2.21. Thiazines are bioactive scaffolds with a wide range of pharmacological activities, such as antimicrobial [20,21], anti-inflammatory [22], anticancer [23], antitubercular [24] and antiviral [25] activities. Another aim of this work was the further investigation of the two-component reactions between various five-membered rings and DMAD to prepare compounds such as 8 and their analogues. Of particular interest to us were the thiazole-pyrimidine derivatives, which display interesting biological activity. Compounds derived from thiazolopyrimidines are known to exhibit antioxidant and antitumor activities [26]. Derivatives containing a thiazole-pyrimidine moiety as part of a more complex structure were shown to possess activity against Mycobacterium tuberculosis [27], while thiazolopyrimidine containing compounds ritanserin [28] and setoperone [29] have been used in the study of psychiatric disorders.
We initially investigated the direct reactivity of dialkyl acetylenedicarboxylate towards 2-aminothiazoles for the preparation of thiazole-pyrimidine derivatives and subsequently converted this two-component reaction into a one-pot, three-component reaction of dialkyl acetylenedicarboxylate with thiourea and an α-haloketone for the formation of thiazole-pyrimidines. Here we present a facile and efficient one-pot, three component reaction method for the synthesis of novel dihydropyrimido-thiazine-6,7-dicarboxylates from an isocyanide, dialkyl acetylenedicarboxylate and 2-amino-4H-1,3-thiazin-4-one derivatives; and the synthesis of 5H-thiazolo[3,2-a]pyrimidine-7-carboxylates from thiourea, an α-haloketone and dialkyl acetylenedicarboxylates.

2. Results and Discussion

2.1. Synthesis of 4-Oxo-4,6-Dihydropyrimido[2,1-b][1,3]Thiazine-6,7-Dicarboxylates by Three-Component Reaction

The six-membered rings 9a–e, which were selected for use in these three-component reactions, are shown in Figure 1. To the best of our knowledge, none of these compounds has previously been tested in reaction with acetylenedicarboxylates 2 and isocyanides 1. In addition, compounds 9c and 9d have not been previously reported. The initial reaction of 2-amino-4H-1,3-thiazin-4-one 9a [30] with isocyanide 1a and acetylene dicarboxylates 2a–b resulted in products 10a–b (Table 1). This success encouraged us to further test the reaction of 2-amino-6-methyl-4H-1,3-thiazin-4-one 9b [31], 2-amino-6-ethyl-4H-1,3-thiazin-4-one 9c, 2-amino-6-propyl-4H-1,3-thiazin-4-one 9d and 2-amino-6-phenyl-4H-1,3-thiazin-4-one 9e [31] with the zwitterion adduct formed by the reaction of aliphatic isocyanides 1a–c and acetylenedicarboxylates 2a–b. Generally, the reactions were carried out by the addition of isocyanide 1 to acetylenedicarboxylate 2 at 0 °C under inert conditions, as shown in Table 1, followed by slow introduction of compound 9a–e as a solution in dry dichloromethane to the reaction mixture at room temperature. After purification, novel products 10a–u were obtained in good yields (Table 1). When selected reactions were tested using the green solvents ethanol and isopropanol instead of dichloromethane, low yields of thiazine compounds 10 were obtained. When acetone was employed as a solvent for the synthesis of thiazine compounds 10a–u, using starting materials 9a–e, average yields were obtained. Nonetheless, acetone can be considered as an alternative greener solvent to afford thiazine compounds 10a–u using a three-component reaction. Compound 10o gave the highest yield in acetone of 58%, while the lowest yield obtained was for 10g, at 41%.
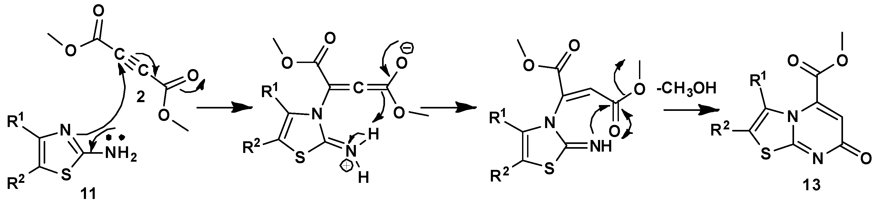
Based on our previous results, we believe the very good yields obtained for 10a–u were due to the presence of an acidic proton on the 2-amino-4H-1,3-thiazin-4-one derivatives 9a–e which enables the reaction with the zwitterion adduct to occur readily in dichloromethane. The highest yields obtained were 85% for 10b, 10h and 10n and the lowest yield was 76% for 10h. Based on the isolated yields it is clear that the 2-amino-4H-1,3-thiazin-4-one derivatives 9 were completely inert towards direct reaction with either dialkyl acetylenedicarboxylates 2 or alkyl isocyanides 1, while they demonstrated very high reactivity towards the zwitterion adduct. Although we have not definitively established the mechanism for the formation of 10, a plausible mechanism for this reaction is proposed (after Esmaeili and co-workers [32]) and shown in Scheme 2. Zwitterion adduct 3 deprotonates 9, followed by 1,4-nucleophilic attack on the nitrilium ion A. The resulting ketenimine intermediate B cyclizes to afford compound 10.

2.2. Synthesis of 5H-Thiazolo[3,2-a]Pyrimidine-7-Carboxylates Using Two-Component and Three-Component Reactions

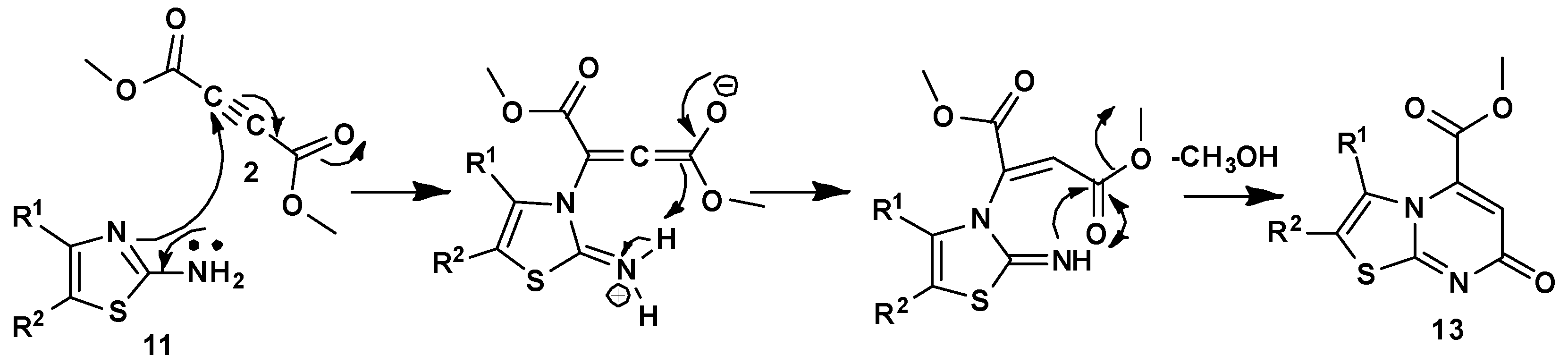
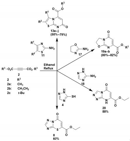
We went on to investigate the direct reaction of various five-membered ring substrates with electron deficient alkynes (DMAD/DEtAD). This study was started when we noticed the presence of co-products resulting from direct reaction of DMAD with some of the five-membered rings when we were attempting three-component reactions including an isocyanide [19]. Crank and co-workers [33] previously reported the reaction of 4-methylthiazol-2-amine 11 with DMAD 2 to afford Diels–Alder adduct 12, methyl 3-methyl-7-oxo-7H-thiazolo[3,2-a]pyrimidine-5-carboxylate 13 and product 14, resulting from reaction with two moles of DMAD (Scheme 3). Acheson and Wallis [34] also reported the direct reaction of 2-aminothiazole 11 and DMAD 2 using methanol under reflux to obtain methyl 7-oxo-7H-thiazolo[3,2-a]pyrimidine-5-carboxylate 13. Thiazolopyrimidines can be obtained using two component reactions, under various conditions, starting from 2-aminothiazole derivatives and Michael acceptors, such as vinyl trichloromethylketones [35], ethyl acetoacetate [36], bis(2,4,6-trichlorophenyl) malonate [37], diethylmalonate, ethyl cyanoacetate, cyanoacetamide, ketonitriles and DMAD [38]. Our first approach was to react DMAD 2a and pre-prepared five-membered ring substrates 11 directly to obtain fused 5-membered ring thiazole-pyrimidines 13. However, the moderate yields achieved using this approach led us to optimize the preparation as a one-pot, three-component reaction from thiourea 15, α-haloketones 16 and DMAD or DEtAD. To the best of our knowledge, this is the first report of such a one-pot preparation.
Initially, in order to achieve thiazole-pyrimidines 13, we prepared 5-membered ring substrates 11a–g [39,40,41,42] (Figure 2) to react with DMAD 2a. The reactions were carried out by treating 11c and 11e–g with 2a under ethanol reflux conditions to obtain 13a–d (Method A). Repetition of these reactions using DEtAD 2b afforded 13e–i, whilst di-tert-butyl acetylenedicarboxylate (DTAD) 2c and substrate 11a gave rise to 13j (Table 2). Despite the disappointing yields, the success of this reaction led us to extend it to the use of alternative five-membered ring reactants 17 [43], 18 [44] and 5 [45], with these substrates giving rise to compounds 19a–b, 20 and 8, respectively, in good yields.
Using Method A, low-to-average yields were obtained for most of the products 13. The highest yield from this set of compounds was for 13g with 79% yield and 13f with 71%. However, when using substrates 11d–g with phenyl groups at R1 the yields dropped slightly due to the weakly activating phenyl ring and the deactivating groups on the phenyl ring (such as fluorine and chlorine) for both DMAD and DEtAD reactions. The presence of fluorine and chlorine at the para-position of substrates 11f and 11g resulted in a slight drop in yield for compounds 13c, 13d, 13h and 13i compared to 13b, with a methyl substituent at the para-position. The reaction of dialkyl acetylenedicarboxylate 2c and substrate 11a gave a 70% yield of product 13j. When substrate 17 was treated with dialkyl acetylenedicarboxylates 2a–b the reaction gave 82% and 80% yield of 19a and 19b, respectively. Substrates 5 and 18 were also treated with DEtAD 2b and gave rise to compounds 8 and 20 in good yields of 88% and 82%, respectively. When comparing the reactivity of the substrates it is evident that substrates 5, 17 and 18 were more reactive towards 2a–b than 11 under these conditions, giving consistently better yields.
The disappointing yields obtained from the direct reaction of substrates 11a–h with dialkyl acetylenedicarboxylates 2a–b prompted us to apply a second approach via a 3-CR to give product 13 (Method B). The reactions were carried out by initially mixing thiourea 15 with α-haloketone 16, followed by introduction of dialkyl acetylenedicarboxylate 2 in a 1:1 ratio of ethanol and THF at room temperature, after which the reactions were heated to ethanol reflux temperature for at least 12 h. This gave rise to products 13a–d in improved yields compared to the first approach (Table 3). The reactions were repeated using DEtAD 2b and gave rise to products 13e–i as expected. Room temperature reactions resulted in incomplete reactions, with recovery of some of the starting materials, even after 48 h. The three-component reaction (3-CR) was thus found to be suitable for the synthesis of products 13a–i, which were isolated in good yields of 70–91%, based on the nature of the functional groups in the reactants 16a–e and 2a–b, as shown in Table 3. The highest yields for this set of compounds, using DMAD 2a, was 82% for 13a. The percentage yields of compounds 13b–d were found to be slightly lower when compared to 13a. Even starting materials substituted with fluorine or chlorine at the para-position (16c and 16d) gave very good yields of product. Yields increased when using DEtAD 2b rather than DMAD 2a.
Scheme 4 shows the proposed mechanism for the formation of compound 13 (see Acheson and Wallis [34]). The reaction proceeds by initial nucleophilic attack of the ring-nitrogen of substrate 11 on the α,β-unsaturated ester of DMAD forming an intermediate which undergoes internal cyclisation through nucleophilic attack of the side-chain nitrogen on the ester carbonyl carbon, followed by the loss of methanol, to afford product 13.
The structures of the synthesized compounds were confirmed by mass spectrometry, NMR spectroscopy and FTIR spectroscopy (Supplementary Materials). Explicit confirmation for the structures of 13a, 13b, 13d and 8 was obtained from single-crystal X-ray analysis (Figure 3).
These compounds were prepared as part of our ongoing efforts towards identifying novel heterocycles with biological activity [46,47,48]. Compounds showing cytotoxicity values of >200 µM in MT-4 cells were evaluated for activity in an HIV assay (see Supplementary Materials). Unfortunately, these compounds were not found to be active as antiviral agents. However, due to the relatively high cytotoxicity values seen for some of the compounds, the possibility of their application as anticancer agents is being further investigated.

3. Materials and Methods

3.1. Chemical Synthesis

3.1.1. General Information

All commercially available reagents were supplied by Sigma Aldrich (Schnelldorf, Germany) and used without further purification. Dry solvents were used directly from an LC-Tech SP-1 Solvent Purification System (LC Technology Solutions Inc., Seabrook, TX, USA) stored under argon. All solvents used for chromatographic purposes were supplied by RadChem (Johannesburg, South Africa) and were used without further distillation. NMR spectra were recorded at 298 K on a 400 MHz Bruker Avance Spectrometer (Bruker BioSpin, Rheinstetten, Germany). Chemical shifts are reported in ppm and are referenced internally to residual solvent resonances [7.26 (CDCl3) and 2.50 (DMSO-d6) for 1H NMR; 77.16 (CDCl3) 40.45 (DMSO-d6) for 13C NMR]. For mass spectrometry (LC–MS/MS), high-resolution mass spectra were obtained. Fourier infrared spectra (FTIR) were recorded by using a Perkin Elmer FTIR Spectrometer Spectrum Two (Perkin Elmer, Midrand, South Africa). All signals are reported on the wavenumber scale (v/cm−1).

3.1.2. General Synthesis of 4-Oxo-4,6-Dihydropyrimido[2,1-b][1,3]Thiazine-6,7-Dicarboxylate Derivatives (10a–u)

In a round-bottomed flask equipped with a magnetic stirrer, isocyanide derivative (1a–c) in dry CH2Cl2 (2.5 mL) was slowly added to DMAD (2a) or DEtAD (2b) in dry CH2 Cl2 (5 mL) at 0 °C, under inert argon, and the solution was allowed to stir for 0.5 h. Then 2-amino-4H-1,3-thiazin-4-one derivatives 9a–e in dry CH2Cl2 (2.5 mL) were slowly added to the solution and stirred at room temperature under argon for 6–24 h. The solvent was removed under vacuum, and the residue was purified by silica gel column chromatography, using hexane-ethyl acetate as eluent to afford the products.
Dimethyl 8-(tert-butylamino)-4-oxo-4,6-dihydropyrimido[2,1-b][1,3]thiazine-6,7-dicarboxylate (10a); 2-amino-4H-1,3-thiazin-4-one (9a) (0.25 g, 1.95 mmol), tert-butyl isocyanide (1a) (0.16 g, 1.95 mmol) and dimethyl acetylenedicarboxylate (2a) (0.28 g, 1.95 mmol). Physical characteristics: yellow solid; Yield: 0.55 g, 81%; Mp: 145–147 °C, Rf: 0.5, hexane/ethyl acetate (90%:10%); 1H NMR (400 MHz, CDCl3) δ 8.73 (1H, br s, NH), 7.36 (1H, d, J = 10.8 Hz, Ar-CH), 6.51 (1H, d, J = 10.4 Hz, Ar-CH), 6.35 (1H, s, CH), 3.75 (3H, s, OCH3), 3.71 (3H, s, OCH3), 1.42 (9H, s, C(CH3)3); 13C NMR (101 MHz, CDCl3) δ 170.9 (C=O), 168.4 (C=O), 160.7 (C=O), 157.5 (C-10), 154.9 (C-8), 136.8 (C-3), 118.2 (Ar-CH), 72.3 (C-7), 52.9 (C-6), 52.7 (OCH3), 51.1 (OCH3), 50.8(C(CH3)3), 30.9 (C(CH3)3); FTIR νmax/cm−1: 2982, 2913, 1728, 1690, 1648, 1600, 1533, 1472, 1431; HRMS (ESI–TOF) m/z: [M + H]+ calculated for C15H20N3O5S+ 354.1118 found 354.1113.
Diethyl 8-(tert-butylamino)-4-oxo-4,6-dihydropyrimido[2,1-b][1,3]thiazine-6,7-dicarboxylate (10b); 2-amino-4H-1,3-thiazin-4-one (9a) (0.25 g, 1.95 mmol), tert-butyl isocyanide (1a) (0.16 g, 1.95 mmol) and diethyl acetylenedicarboxylate (2b) (0.33 g, 1.95 mmol). Physical characteristics: yellow solid; Yield: 0.63 g, 85%; Mp: 143–145 °C, Rf: 0.6, hexane/ethyl acetate (90%:10%); 1H NMR (400 MHz, CDCl3) δ 8.75 (1H, br s, NH), 7.34 (1H, d, J = 10.8 Hz, Ar-CH), 6.51 (1H, d, J = 10.4 Hz, Ar-CH), 6.34 (1H, s, CH), 4.31–4.11 (4H, m, 2 × CH2), 1.43 (9H, s, C(CH3)3), 1.33 (3H, t, J = 7.2 Hz, CH3), 1.26 (3H, t, J = 7.2 Hz, CH3); 13C NMR (101 MHz, CDCl3) δ 170.6 (C=O), 168.1 (C=O), 160.8 (C=O), 157.3 (C-10), 154.8 (C-8), 136.7 (C-3), 118.2 (Ar-CH), 72.5 (C-7), 61.9 (O-CH2), 59.3 (O-CH2), 52.6 (C-6),) 51.3(C(CH3)3, 30.9 (C(CH3)3, 14.9(CH3), 14.2 (CH3); FTIR νmax/cm−1: 3067, 2983, 2864, 1728, 1690, 1647, 1599, 1534, 1431; HRMS (ESI–TOF) m/z: [M + H]+ calculated for C17H24N3O5S+ 382.1431 found 382.1439.
Dimethyl 8-(tert-butylamino)-2-methyl-4-oxo-4,6-dihydropyrimido[2,1-b][1,3]thiazine-6,7-dicarboxylate (10c); 2-amino-6-methyl-4H-1,3-thiazin-4-one (9b) (0.25 g, 1.76 mmol), tert-butyl isocyanide (1a) (0.15 g, 1.76 mmol) and dimethyl acetylenedicarboxylate (2a) (0.25 g, 1.76 mmol). Physical characteristics: yellow solid; Yield: 0.53 g, 82%; Mp: 149–151 °C, Rf: 0.5, hexane/ethyl acetate (90%:10%); 1H NMR (400 MHz, CDCl3) δ 8.63 (1H, br s, NH), 6.24 and 6.23 (2H, 2 × s, Ar-CH and H-6), 3.66 (3H, s, O-CH3), 3.61 (3H, s, O-CH3), 2.17 (Ar-CH3), 1.33 (9H, s, C(CH3)3); 13C NMR (101 MHz, CDCl3) δ 171.1 (C=O), 168.5 (C=O), 161.2 (C=O), 157.8 (C-10), 155.3 (C-8), 149.7 (C-2), 116.1 (C-3), 72.1 (C-7), 52.9 (C-6), 52.6 (OCH3), 51.0 (OCH3), 50.8 (C(CH3)3), 30.8 (C(CH3)3) 22.1 (Ar-CH3); FTIR νmax/cm−1: 2992, 2963, 2902, 1734, 1648, 1682, 1653, 1602, 1525; HRMS (ESI–TOF) m/z: [M + H]+ calculated for C16H22N3O5S+ 368.1275 found 368.1279.
Diethyl 8-(tert-butylamino)-2-methyl-4-oxo-4,6-dihydropyrimido[2,1-b][1,3]thiazine-6,7-dicarboxylate (10d); 2-amino-6-methyl-4H-1,3-thiazin-4-one (9b) (0.25 g, 1.76 mmol), tert-butyl isocyanide (1a) (0.15 g, 1.76 mmol) and diethyl acetylenedicarboxylate (2b) (0.30 g, 1.76 mmol). Physical characteristics: yellow solid; Yield: 0.57 g, 83%; Mp: 135–137 °C, Rf: 0.6, hexane/ethyl acetate (90%:10%); 1H NMR (400 MHz, CDCl3) δ 8.72 (1H, br s, NH), 6.28 (2H, 2 × s, Ar-CH and H-6), 4.27–4.06 (4H, m, 2 × CH2), 2.22 (3H, Ar-CH3), 1.39 (9H, s, C(CH3)3), 1.29 (3H, t, J = 7.2 Hz, CH3), 1.22 (3H, t, J = 7.2 Hz, CH3); 13C NMR (101 MHz, CDCl3) δ 170.7 (C=O), 168.2 (C=O), 161.4 (C=O), 157.7 (C-10), 155.2 (C-8), 149.7 (C-2), 116.1 (C-3), 72.4 (C-7), 61.8 (O-CH2), 59.2 (O-CH2), 52.6 (C-6), 51.3 (N-C(CH3)3), 30.9 (C(CH3)3, 22.1 (Ar-CH3), 14.9 (CH3), 14.2 (CH3); FTIR νmax/cm−1: 3285, 2975, 2890, 1735, 1690, 1643, 1600, 1535, 14377; HRMS (ESI–TOF) m/z: [M + H]+ calculated for C18H26N3O5S+ 396.1588 found 396.1597.
Dimethyl 2-methyl-4-oxo-8-((2,4,4-trimethylpentan-2-yl)amino)-4,6-dihydropyrimido [2,1-b][1,3]thiazine-6,7-dicarboxylate (10e); 2-Amino-6-methyl-4H-1,3-thiazin-4-one (9b) (0.25 g, 1.76 mmol), 1,1,3,3-tetramethylbutyl isocyanide (1b) (0.25 g, 1.76 mmol) and dimethyl acetylenedicarboxylate (2a) (0.25 g, 1.76 mmol). Physical characteristics: yellow solid; Yield: 0.56 g, 76%; Mp: 114–116 °C, Rf: 0.6, hexane/ethyl acetate (90%:10%); 1H NMR (400 MHz, CDCl3) δ 8.74 (1H, br s, NH), 6.34 and 6.33 (2H, 2 × s, Ar-CH and H-6), 3.76 (3H, s, OCH3), 3.69 (3H, s, OCH3), 2.27 (3H, Ar-CH3), 1.83 (CH2), 1.48 and 1.46 (6H, 2 × s, 2CH3), 0.97 (9H, s, C(CH3)3); 13C NMR (101 MHz, CDCl3) δ 171.1 (C=O), 168.5 (C=O), 161.3 (C=O), 157.6 (C-10), 155.4 (C-8), 149.8, (C-2), 116.1 (C-3), 72.0 (C-7), 56.2 (C(CH3)3), 53.3 (CH2), 52.9 (C-6), 51.1 (OCH3), 50.8 (OCH3), 31.7 (C(CH2)2), 31.8 (C(CH3)3), 31.6 (CH3), 31.5 (CH3), 22.1 (Ar-CH3); FTIR νmax/cm−1: 3285, 2951, 2899, 1739, 1687, 1649, 1599, 1535, 1442; HRMS (ESI–TOF) m/z: [M + H]+ calculated for C20H30N3O5S+ 424.1901 found 424.1906.
Diethyl 2-methyl-4-oxo-8-((2,4,4-trimethylpentan-2-yl)amino)-4,6-dihydropyrimido[2,1-b][1,3]thiazine-6,7-dicarboxylate (10f); 2-amino-6-methyl-4H-1,3-thiazin-4-one (9b) (0.25 g, 1.76 mmol), 1,1,3,3-tetramethylbutyl isocyanide (1b) (0.25 g, 1.76 mmol) and dimethyl acetylenedicarboxylate (2a) (0.25 g, 1.76 mmol). Physical characteristics: yellow solid; Yield: 0.61 g, 77%; Mp: 112–114 °C, Rf: 0.7, hexane/ethyl acetate (90%:10%); 1H NMR (400 MHz, CDCl3) δ 8.73 (1H, br s, NH), 6.29 (2H, 2 × s, Ar-CH, H-6), 4.26–4.01 (4H, m, 2 × CH2O) 2.23 (3H, s, Ar-CH3), 1.80 (2H, q, J = 14.4 Hz, CH2), 1.44 and 1.42 (6H, 2 × s, 2 × CH3), 1.31 (3H, t, J = 6.8 Hz, CH3), 1.21 (3H, t, J = 7.2 Hz, CH3), 0.94 (9H, s, C(CH3)3); 13C NMR (101 MHz, CDCl3) δ 170.7 (C=O), 168.2 (C=O), 161.4 (C=O), 157.4 (C-10), 155.3 (C-8), 149.6 (C-2), 116.1 (C-3), 72.3 (C-7), 61.8 (O-CH2), 59.1 (O-CH2), 56.2 (C-(CH3)3), 53.1 (CH2), 51.3 (C-6), 31.6 (C-(CH3)3), 22.1 (Ar-CH3), 14.9 (CH3CH2), 14.2 (CH3CH2); FTIR νmax/cm−1: 3285, 2975, 2890, 1735, 1690, 1643, 1600, 1535, 1477; HRMS (ESI–TOF) m/z: [M + H]+ calculated for C22H34N3O5S+ 452.2214 found 452.2223.
Dimethyl 8-(cyclohexylamino)-2-methyl-4-oxo-4,6-dihydropyrimido[2,1-b][1,3]thiazine-6,7-dicarboxylate (10g); 2-amino-6-methyl-4H-1,3-thiazin-4-one (9b) (0.25 g, 1.76 mmol), cyclohexyl isocyanide (1c) (0.19 g, 1.76 mmol) and dimethyl acetylenedicarboxylate (2a) (0.25 g, 1.76 mmol). Physical characteristics: yellow solid; Yield: 0.69 g, 84%; Mp: 148–150 °C, Rf: 0.42, hexane/ethyl acetate (90%:10%); 1H NMR (400 MHz, CDCl3) δ 8.52 (1H, br s, NH), 6.29 (2H, 2 × s, Ar-CH, H-6), 3.90 (1H, s N-CH), 3.72 (3H, s, OCH3), 3.67 (3H, s, OCH3), 2.23 (CH3, s, Ar-CH3), 1.93–1.70 (5H, m, cyclohexyl) 1.67–1.32 (5H, m, cyclohexyl); 13C NMR (101 MHz, CDCl3) δ 171.1 (C=O), 168.3 (C=O), 161.2 (C=O), 159.1 (C-10), 154.2 (C-8), 149.6 (C-2), 116.0 (C-3), 71.5 (C-7), 52.9 (O-CH3), 51.2 (C-6), 50.7 (O-CH3), 49.6 (CH-NH), 34.3 (CH2, cyclohexyl), 33.7 (CH2, cyclohexyl), 25.7 (CH2, cyclohexyl), 24.8 (CH2, cyclohexyl), 24.7 (CH2, cyclohexyl), 22.1 (Ar-CH3). FTIR νmax/cm−1: 3285, 2946, 2858, 1762, 1730, 1692, 1653, 1618, 1590, 1525, 1445; HRMS (ESI–TOF) m/z: [M + H]+ calculated for C18H24N3O5S+ 394.1431 found 394.1433.
Diethyl 8-(cyclohexylamino)-2-methyl-4-oxo-4,6-dihydropyrimido[2,1-b][1,3]thiazine-6,7-dicarboxylate (10h); 2-amino-6-methyl-4H-1,3-thiazin-4-one (9b) (0.25 g, 1.76 mmol), cyclohexyl isocyanide (1c) (0.19 g, 1.76 mmol) and diethyl acetylenedicarboxylate (2b) (0.30 g, 1.76 mmol). Physical characteristics: yellow solid; Yield: 0.63 g, 85%; Mp: 170–172 °C, Rf: 0.50, hexane/ethyl acetate (90%:10%); 1H NMR (400 MHz, CDCl3) δ 8.55 (1H, br s, NH), 6.28 (2H, 2 × s, Ar-CH, H-6), 4.27–4.09 (4H, m, 2 × CH2), 3.92 (1H, s, CH), 2.23 (3H, s, Ar-CH3), 1.93–1.69 (4H, m, cyclohexyl), 1.66–1.55 (4H, m, cyclohexyl), 1.41–1.33 (2H, m, cyclohexyl) 1.34 (3H, s, J = 7.2 Hz, CH3), 1.28 (3H, s, J = 6.8 Hz, CH3); 13C NMR (101 MHz, CDCl3) δ 170.7 (C=O), 168.2 (C=O), 161.3 (C=O), 158.9 (C-10), 154.1 (C-8), 149.6 (C-2), 115.9 (C-3), 71.8 (C-7), 61.7 (O-CH2), 59.1 (O-CH2), 51.4 (C-6), 49.6 (CH), 34.3(CH2, cyclohexyl), 33.7 (CH2, cyclohexyl), 25.7 (CH2, cyclohexyl), 24.8 (CH2, cyclohexyl), 24.7 (CH2, cyclohexyl), 22.1 (Ar-CH3), 14.9 (CH2CH3), 14.1 (CH2CH3); FTIR νmax/cm−1: 2992, 2945, 2867, 1735, 1689, 1648, 1588, 1540, 1440; HRMS (ESI–TOF) m/z: [M + H]+ calculated for C20H28N3O5S+ 422.1744 found 422.1712.
Dimethyl 8-(tert-butylamino)-2-ethyl-4-oxo-4,6-dihydropyrimido[2,1-b][1,3]thiazine-6,7-dicarboxylate (10i); 2-amino-6-ethyl-4H-1,3-thiazin-4-one (9c) (0.25 g, 1.60 mmol), tert-butyl isocyanide (1a) (0.13 g, 1.60 mmol) and dimethyl acetylenedicarboxylate (2a) (0.22 g, 1.60 mmol). Physical characteristics: yellow solid; Yield: 0.51 g, 84%; Mp: 135–137 °C, Rf: 0.48, hexane/ethyl acetate (90%:10%); 1H NMR (400 MHz, CDCl3) δ 8.70 (1H, br s, NH), 6.31 (2H, 2 × s, Ar-CH, H-6), 3.73 (3H, s, OCH3), 3.68 (3H, s, OCH3), 2.50 (2H, q, J = 7.2 Hz, Ar-CH2), 1.40 (9H, s, C(CH3)3), 1.28 (3H, t, J = 7.6 Hz, CH3); 13C NMR (101 MHz, CDCl3) δ 171.2 (C=O), 168.5 (C=O), 161.5 (C=O), 157.9 (C-10), 155.8 (C-8), 155.3 (C-2), 114.4 (C-3), 72.1 (C-7), 52.9 (OCH3), 52.6 (C-(CH3)3), 51.2 (C-6), 50.8 (OCH3), 30.8 (C(CH3)3), 29.4 (CH2CH3), 12.5 (CH2CH3); FTIR νmax/cm−1: 3273, 2967, 2876, 1739, 1674, 1644, 1616, 1591, 1531, 1438; HRMS (ESI–TOF) m/z: [M + H]+ calculated for C17H24N3O5S+ 382.1430 found 382.1427.
Diethyl 8-(tert-butylamino)-2-ethyl-4-oxo-4,6-dihydropyrimido[2,1-b][1,3]thiazine-6,7-dicarboxylate (10j); 2-amino-6-ethyl-4H-1,3-thiazin-4-one (9c) (0.25 g, 1.60 mmol), tert-butyl isocyanide (1a) (0.13 g, 1.60 mmol) and diethyl acetylenedicarboxylate (2b) (0.27 g, 1.60 mmol). Physical characteristics: yellow solid; Yield: 0.52 g, 79%; Mp: 94–96 °C, Rf: 0.6, hexane/ethyl acetate (90%:10%); 1H NMR (400 MHz, CDCl3) δ 8.72 (1H, br s, NH), 6.30 and 6.28 (2H, 2 × s, Ar-CH, H-6), 4.27–4.09 (4H, m, 2 × CH2), 2.50 (2H, q, J = 7.6 Hz, Ar-CH2), 1.40 (9H, s, C(CH3)3), 1.29–1.26 (6H, m, 2 × CH3); 13C NMR (101 MHz, CDCl3) δ 170.7 (C=O), 168.2 (C=O), 161.6 (C=O), 157.8 (C-10), 155.7 (C-8), 155.2 (C-2), 114.4 (C-3), 72.31 (C-7), 61.8 (O-CH2), 59.2 (O-CH2), 52.5 (C(CH3)3), 51.4 (C-6), 30.9 (C(CH3)3, 29.3 (Ar-CH2), 14.9 (CH3), 14.2 (CH3), 12.5 (CH3); FTIR νmax/cm−1: 3285, 2975, 2890, 1735, 1690, 1643, 1600, 1535, 14377; HRMS (ESI–TOF) m/z: [M + H]+ calculated for C19H28N3O5S+ 410.1744 found 410.1749.
Dimethyl 8-((2,4-dimethylpentan-2-yl)amino)-2-ethyl-4-oxo-4,6-dihydropyrimido[2,1-b][1,3]thiazine-6,7-dicarboxylate (10k); 2-amino-6-ethyl-4H-1,3-thiazin-4-one (9c) (0.25 g, 1.60 mmol), 1,1,3,3-tetramethylbutyl isocyanide (1b) (0.22 g, 1.76 mmol) and dimethyl acetylenedicarboxylate (2a) (0.23 g, 1.60 mmol). Physical characteristics: yellow paste; Yield: 0.57 g, 81%, Rf: 0.5, hexane/ethyl acetate (90%:10%); 1H NMR (400 MHz, CDCl3) δ 8.64 (1H, br s, NH), 6.25 and 6.24 (2H, 2 × s, Ar-CH, H-6), 3.66 (3H, s, OCH3), 3.59 (3H, s, OCH3), 2.44 (2H, q, J = 7.6 Hz, Ar-CH2), 1.73 (CH2), 1.38 and 1.36 (6H, 2 × s, 2 × CH3), 1.21 (3H, t, J = 7.2 Hz, CH3CH2), 0.87 (9H, s, C(CH3)3); 13C NMR (101 MHz, CDCl3) δ 171.1 (C=O), 168.4 (C=O), 161.4 (C=O), 157.7 (C-10), 155.8 (C-8), 155.4 (C-2), 114.3 (C-3), 71.9 (C-7), 56.2 (C(CH3)3), 53.3 (CH2), 52.8 (OCH3), 51.1 (C-6), 50.7 (OCH3), 31.8 (C(CH3)3), 31.7, 31.6 (2 × CH3) 29.3 (Ar-CH2), 12.4 (CH3); FTIR νmax/cm−1: 3285, 2950, 2902, 1780, 1738, 1687, 1649, 1598, 1532; HRMS (ESI–TOF) m/z: [M + H]+ calculated for C21H32N3O5S+ 438.2057 found 438.2021.
Diethyl 8-((2,4-dimethylpentan-2-yl)amino)-2-ethyl-4-oxo-4,6-dihydropyrimido[2,1-b][1,3]thiazine-6,7-dicarboxylate (10l); 2-amino-6-ethyl-4H-1,3-thiazin-4-one (9c) (0.25 g, 1.60 mmol), 1,1,3,3-tetramethylbutyl isocyanide (1b) (0.22 g, 1.60 mmol) and diethyl acetylenedicarboxylate (2b) (0.27 g, 1.60 mmol). Physical characteristics: yellow solid; Yield: 0.61 g, 81%; Mp: 98–100 °C, Rf: 0.6, hexane-ethyl acetate (90%:10%); 1H NMR (400 MHz, CDCl3) δ 8.73 (1H, br s, NH), 6.30 and 6.29 (2H, 2 × s, Ar-CH, H-6), 4.26–4.08 (4H, m, 2 × CH2O), 2.50 (2H, q, J = 7.2 Hz, Ar-CH2), 1.80 (2H, q, J = 14.8 Hz, CH2), 1.45 and 1.42 (6H, 2 × s, (CH3)2-C), 1.31–1.25 (6H, m, 2 × OCH2CH3), 1.21 (3H, s, J = 7.2 Hz, ArCH2CH3), 0.94 (9H, s, C(CH3)3); 13C NMR (101 MHz, CDCl3) δ 170.7 (C=O), 168.2 (C=O), 161.6 (C=O), 157.6 (C-10), 155.7 (C-8), 155.3 (C-2), 114.4 (C-3), 72.2 (C-7), 61.8 (O-CH2), 59.1 (O-CH2), 56.1 (C(CH3)3), 53.3 (Ar-CH2), 51.4 (C-6), 31.7 (C(CH3)2), 29.3 (C-(CH3)3), 29.3 (CH2), 14.9 (CH3), 14.2 (CH3), 12.5 (CH3); FTIR νmax/cm−1: 3270, 2973, 2913, 1737, 1688, 1646, 1600, 1535, 1432; HRMS (ESI–TOF) m/z: [M + H]+ Calculated for C23H36N3O5S+ 466.2370 found 466.2333.
Dimethyl 8-(tert-butylamino)-4-oxo-2-propyl-4,6-dihydropyrimido[2,1-b][1,3]thiazine-6,7-dicarboxylate (10m); 2-amino-6-propyl-4H-1,3-thiazin-4-one (9d) (0.25 g, 1.47 mmol), tert-butyl isocyanide (1a) (0.12 g, 1.47 mmol) and dimethyl acetylenedicarboxylate (2a) (0.21 g, 1.47 mmol). Physical characteristics: yellow paste; Yield: 0.48 g, 84%, Rf: 0.5, hexane/ethyl acetate (90%:10%); 1H NMR (400 MHz, CDCl3) δ 8.72 (1H, br s, NH), 6.32 (2H, s, Ar-CH, H-6), 3.74 (3H, s, OCH3), 3.69 (3H, s, OCH3), 2.46 (2H, t, J = 7.6 Hz, Ar-CH2), 1.71 (2H, sextet, J = 7.6 Hz, CH2), 1.42 (9H, s, C(CH3)3), 1.03 (3H, t, J = 7.2 Hz, CH3CH2); 13C NMR (101 MHz, CDCl3) δ 171.1 (C=O), 168.4 (C=O), 161.3 (C=O), 157.9 (C-10), 155.3 (C-8), 154.4 (C-2), 115.1 (C-3), 72.0 (C-7), 52.9 (OCH3), 52.6 (C(CH3)3), 51.1 (C-6), 50.8 (OCH3), 37.9 (C(CH3)3), 30.8 (Ar-CH2), 21.6 (CH3CH2) 13.4 (CH3); FTIR νmax/cm−1: 3282, 2960, 2916, 1739, 1685, 1647, 1597, 1567, 1531, 1441; HRMS (ESI–TOF) m/z: [M + H]+ calculated for C18H26N3O5S+ 396.1588 found 396.1545.
Diethyl 8-(tert-butylamino)-4-oxo-2-propyl-4,6-dihydropyrimido[2,1-b][1,3]thiazine-6,7-dicarboxylate (10n); 2-amino-6-propyl-4H-1,3-thiazin-4-one (9d) (0.25 g, 1.47 mmol), tert-butyl isocyanide (1a) (0.12 g, 1.47 mmol) and diethyl acetylenedicarboxylate (2b) (0.25 g, 1.60 mmol). Physical characteristics: yellow paste; Yield: 0.53 g, 85%, Rf: 0.56, hexane/ethyl acetate (90%:10%); 1H NMR (400 MHz, CDCl3) δ 8.74 (1H, br s, NH), 6.30 (2H, s, Ar-CH, H-6), 4.29–4.13 (4H, m, 2 × CH2), 2.46 (2H, t, J = 7.6 Hz, Ar-CH2), 1.71 (2H, sextet, J = 7.2 Hz, CH2), 1.42 (9H, s, C(CH3)3), 1.34–1.32 (6H, m, 2 × CH3), 1.32 (3H, t, J = 7.2 Hz, CH3); 13C NMR (101 MHz, CDCl3) δ 170.7 (C=O), 168.2 (C=O), 161.5 (C=O), 157.8 (C-10), 155.2 (C-8), 154.3 (C-2), 115.2 (C-3), 72.3 (C-7), 61.7 (O-CH2), 59.1 (O-CH2), 52.5 (C(CH3)3), 51.3 (C-6), 38.0 (Ar-CH2), 30.8 (C(CH3)3, 21.6 (CH3CH2), 14.9, 14.1 and 13.4 (3 × CH3); FTIR νmax/cm−1: 3285, 2975, 2910, 2870, 1737, 1687, 1646, 1600, 1535, 1432; HRMS (ESI–TOF) m/z: [M+H]+ calculated for C20H30N3O5S+ 424.1901 found 424.1873.
Dimethyl 4-oxo-2-propyl-8-((2,4,4-trimethylpentan-2-yl)amino)-4,6-dihydropyrimido [2,1-b][1,3]thiazine-6,7-dicarboxylate (10o); 2-amino-6-propyl-4H-1,3-thiazin-4-one (9d) (0.25 g, 1.47 mmol), 1,1,3,3-tetramethylbutyl isocyanide (1b) (0.21 g, 1.47 mmol) and dimethyl acetylenedicarboxylate (2a) (0.21 g, 1.47 mmol). Physical characteristics: yellow paste; Yield: 0.52 g, 79%, Rf: 0.5, hexane/ethyl acetate (90%:10%); 1H NMR (400 MHz, CDCl3) δ 8.64 (1H, br s, NH), 6.24 (2H, 2 × s, Ar-CH, H-6), 3.65 (3H, s, OCH3), 3.59 (3H, s, OCH3), 2.38 (2H, t, J = 7.6 Hz, Ar-CH2), 1.73 (2H, s, C-CH2), 1.64 (2H, sextet, J = 7.2 Hz, CH3CH2), 1.38 and 1.36 (6H, 2 × s, 2 × CH3), 0.94 (3H, J = 7.2 Hz, CH3), 0.87 (9H, s, C(CH3)3); 13C NMR (101 MHz, CDCl3) δ 171.1 (C=O), 168.4 (C=O), 161.3 (C=O), 157.8 (C-10), 155.4 (C-8), 154.4 (C-2), 115.1 (C-3), 71.9 (C-7), 56.2 (C(CH3)3), 53.3 (Ar-CH2), 52.8 (OCH3), 51.1 (C-6), 50.7 (OCH3), 37.9 (C-CH2), 31.8 (C(CH3)3), 31.7, 31.6 (2 × CH3) 21.6 (CH3CH2), 13.4 (CH2CH3); FTIR νmax/cm−1: 3279, 2951, 2873, 1739, 1686, 1648, 1598, 1598, 1532, 1442; HRMS (ESI–TOF) m/z: [M + H]+ calculated for C22H34N3O5S+ 452.2214 found 452.2190.
Diethyl 4-oxo-2-propyl-8-((2,4,4-trimethylpentan-2-yl)amino)-4,6-dihydropyrimido[2,1-b][1,3]thiazine-6,7-dicarboxylate (10p); 2-amino-6-propyl-4H-1,3-thiazin-4-one (9d) (0.25 g, 1.47 mmol), 1,1,3,3-tetramethylbutyl isocyanide (1b) (0.21 g, 1.47 mmol) and diethyl acetylenedicarboxylate (2b) (0.25 g, 1.60 mmol). Physical characteristics: yellow paste; Yield: 0.55 g, 79%, Rf: 0.6, hexane/ethyl acetate (90%:10%); 1H NMR (400 MHz, CDCl3) δ 8.75 (1H, br s, NH), 6.30 (2H,2 × s, Ar-CH, H-6), 4.29–4.09 (4H, m, 2 × CH2CH3), 2.46 (2H, t, J = 7.2 Hz, Ar-CH2), 1.85–1.69 (2 × 2H, m, 2 x CH2), 1.46 and 1.44 (6H, 2 × s, (CH3)2-C), 1.33 and 1.21 (6H, 2 × s, 2 × CH3), 1.31 (3H, t, J = 6.8 Hz, CH3), 1.22 (3H, t, J = 7.2 Hz, CH3), 1.03 (3H, t, J = 7.2 Hz, CH3), 0.96 (9H, s, C(CH3)3); 13C NMR (101 MHz, CDCl3) δ 170.7 (C=O), 168.1(C=O), 161.5 (C=O), 157.6 (C-10), 155.3 (C-8), 154.3 (C-2), 115.1 (C-3), 72.1 (C-7), 61.7 (O-CH2), 59.1 (O-CH2), 56.1 (C(CH3)3), 53.2 (O-CH2), 51.3 (C-6), 37.9 (Ar-CH2), 31.6 (C(CH3)3), 21.6 (CH3CH2), 14.9 (CH3), 14.1 (CH3), 13.4 (CH3); FTIR νmax/cm−1: 3285, 2957, 2910, 2870, 1737, 1687, 1646, 1600, 1535, 1432; HRMS (ESI–TOF) m/z: [M + H]+ calculated for C24H38N3O5S+ 480.2527 found 480.2526.
Dimethyl 8-(tert-butylamino)-4-oxo-2-phenyl-4,6-dihydropyrimido[2,1-b][1,3]thiazine-6,7-dicarboxylate (10q); 2-amino-6-phenyl-4H-1,3-thiazin-4-one (9e) (0.25 g, 1.22 mmol), tert-butyl isocyanide (1a) (0.10 g, 1.22 mmol) and dimethyl acetylenedicarboxylate (2a) (0.17 g, 1.22 mmol). Physical characteristics: yellow solid; Yield: 0.40 g, 77%; Mp: 99–101 °C, Rf: 0.58, hexane/ethyl acetate (90%:10%); 1H NMR (400 MHz, CDCl3) δ 8.74 (1H, br s, NH), 7.59–7.48 (5H, m, Ar-H) 6.69 (1H, s, Ar-CH), 6.36 (1H, s, H-6), 3.75 (3H, s, OCH3), 3.71 (3H, s, OCH3), 1.43 (9H, s, C(CH3)3); 13C NMR (101 MHz, CDCl3) δ 171.1 (C=O), 168.5 (C=O), 161.8 (C=O), 157.7 (C-10), 155.1 (C-8), 150.9 (C-2), 133.9 (Ar-C), 132.0 (Ar-C), 129.6 (Ar-CH), 126.6 (Ar-CH), 126.5 (Ar-CH), 113.9 (C-3), 72.1 (C-7), 53.0 (C-6), 52.7 (OCH3), 51.3 (OCH3), 50.9 (C(CH3)3), 30.9 (C(CH3)3); FTIR νmax/cm−1: 2977, 2841, 1735, 1683, 1582, 1448, 1370; HRMS (ESI–TOF) m/z: [M + H]+ calculated for C21H24N3O5S+ 430.1431 found 430.1445.
Diethyl 8-(tert-butylamino)-4-oxo-2-phenyl-4,6-dihydropyrimido[2,1-b][1,3]thiazine-6,7-dicarboxylate (10r); 2-amino-6-phenyl-4H-1,3-thiazin-4-one (9e) (0.25 g, 1.22 mmol), tert-butyl isocyanide (1a) (0.10 g, 1.22 mmol) diethyl acetylenedicarboxylate (2b) (0.21 g, 1.22 mmol). Physical characteristics: yellow solid; Yield: 0.45 g, 80%; Mp: 145–147 °C, Rf: 0.5, hexane/ethyl acetate (90%:10%); 1H NMR (400 MHz, CDCl3) δ 8.76 (1H, br s, NH), 7.59-7.47 (5H, m, Ar-H), 6.68 (1H, s, Ar-CH), 6.34 (1H, s, H-6), 4.29–4.10 (4H, m, 2 × CH2), 1.43 (9H, s, C(CH3)3), 1.33–1.22 (6H, m, 2 × CH3); 13C NMR (101 MHz, CDCl3) δ 170.7 (C=O), 168.2 (C=O), 161.8 (C=O), 157.5 (C-10), 155.2 (C-8), 150.9 (C-2), 133.9 (Ar-C), 131.9 (Ar-C), 129.6 (Ar-C), 126.4 (ArCH), 113.9 (C-3), 72.4 (C-7), 61.9 (O-CH2), 59.2 (O-CH2), 52.6 (C-6),) 51.5 (C(CH3)3), 30.9 (C(CH3)3), 14.9 (CH3), 14.2 (CH3); FTIR νmax/cm−1: 3279, 2976, 2873, 1734, 1676, 1645, 1606, 1535, 1462; HRMS (ESI–TOF) m/z: [M+H]+ calculated for C23H28N3O5S+ 458.1744 found 458.1744.
Dimethyl 4-oxo-2-phenyl-8-((2,4,4-trimethylpentan-2-yl)amino)-4,6-dihydropyrimido[2,1-b][1,3]thiazine-6,7-dicarboxylate (10s); 2-amino-6-phenyl-4H-1,3-thiazin-4-one (9e) (0.25 g, 1.22 mmol), 1,1,3,3-tetramethylbutyl isocyanide (1b) (0.17 g, 1.22 mmol) and dimethyl acetylenedicarboxylate (2b) (3.(0.17 g, 1.22 mmol). Physical characteristics: yellow solid; Yield: 0.45 g, 76%; Mp: 162–164 °C, Rf: 0.4, hexane/ethyl acetate (90%:10%); 1H NMR (400 MHz, CDCl3) δ 8.77 (1H, br s, NH), 7.62–7.49 (5H, m, Ar-H), 6.71 (1H, s, Ar-CH), 6.39 (1H, s, H-6), 3.77 (3H, s, OCH3), 3.71 (3H, s, OCH3) 1.85 (CH2), 1.50 and 1.48 (6H, 2 × s, 2 × CH3), 0.98 (9H, s, C(CH3)3); 13C NMR (101 MHz, CDCl3) δ 171.0 (C=O), 168.4 (C=O), 161.6 (C=O), 157.4 (C-10), 155.4 (C-8), 150.9 (C-2), 133.8(Ar-C), 131.9 (Ar-CH), 129.5 (Ar-CH), 126.4 (Ar-CH), 113.9 (C-3), 71.2 (C-7), 56.2 (C(CH3)3), 53.3 (CH2), 52.9 (C-6), 51.3 and 50.7 (2 × OCH3), 31.8 (C(CH3)2), 31.7 (C(CH3)3), 31.6 (CH3O), 31.5 (CH3O); FTIR νmax/cm−1: 2953, 2878, 1732, 1681, 1651, 1613, 1542, 1450;HRMS (ESI–TOF) m/z: [M + H]+ calculated for C25H32N3O5S+ 486.2057 found 486.2044.
Diethyl 4-oxo-2-phenyl-8-((2,4,4-trimethylpentan-2-yl)amino)-4,6-dihydropyrimido[2,1-b][1,3]thiazine-6,7-dicarboxylate (10t); 2-amino-6-phenyl-4H-1,3-thiazin-4-one (9e) (0.25 g, 1.22 mmol), 1,1,3,3-tetramethylbutyl isocyanide (1b) (0.17 g, 1.22 mmol) and dimethyl acetylenedicarboxylate (2b) (0.21 g, 1.22 mmol). Physical characteristics: yellow solid; Yield: 0.52 g, 83%; Mp: 88–90 °C, Rf: 0.5, hexane-ethyl acetate (90%:10%); 1H NMR (400 MHz, CDCl3) δ 8.00 (1H, br s, NH), 7.63–7.50 (5H, m, Ar-H), 6.72 (1H, s, Ar-CH), 6.37 (1H, s, H-6), 4.34–4.11 (4H, m, 2 × O-CH2), 1.87 (2H, q, J = 14.8 Hz, CH2), 1.50 and 1.48 (6H, 2 × s, 2 × CH3), 1.34 (3H, t, J = 7.2 Hz, CH2CH3), 1.26 (3H, t, J = 6.8 Hz, CH2CH3), 0.98 (9H, s, C(CH3)3); 13C NMR (101 MHz, CDCl3) δ 170.7 (C=O), 168.2 (C=O), 161.8 (C=O), 157.31 (C-10), 155.3 (C-8), 150.9 (C-2), 133.9 (Ar-C), 131.9 (Ar-CH), 129.6 (Ar-CH), 126.4 (Ar-CH), 113.9 (C-3), 72.2 (C-7), 61.8 (O-CH2), 59.2 (O-CH2), 56.2 (C(CH3)3), 53.3 (O-CH2), 51.5 (C-6), 31.8 (C(CH3)3), 31.8 (CH3), 31.7 (CH3), 14.9 (CH3), 14.2 (CH3); FTIR νmax/cm−1: 2963, 2925, 2864, 1735, 1671, 1641, 1611, 1535, 1441; HRMS (ESI–TOF) m/z: [M + H]+ Calculated for C27H36N3O5S+ 514.2370 found 514.2350.
Dimethyl 8-(cyclohexylamino)-4-oxo-2-phenyl-4,6-dihydropyrimido[2,1-b][1,3]thiazine-6,7-dicarboxylate (10u); 2-amino-6-phenyl-4H-1,3-thiazin-4-one (9e) (0.25 g, 1.22 mmol), cyclohexyl isocyanide (1c) (0.13 g, 1.22 mmol) and dimethyl acetylenedicarboxylate (2a) (0.17 g, 1.22 mmol). Physical characteristics: yellow solid; Yield: 0.44 g, 79%; Mp: 168–170 °C, Rf: 0.4, hexane/ethyl acetate (90%:10%); 1H NMR (400 MHz, CDCl3) δ 8.59 (1H, br s, NH), 7.63–7.51 (5H, m, Ar-H), 6.71 (1H, s, Ar-CH), 6.39 (1H, s, CH-6), 3.99 (1H, s, N-CH), 3.78 (3H, s, OCH3), 3.73 (3H, s, OCH3), 1.99–1.59 (6H, m, cyclohexyl), 1.45–1.24 (4H, m, cyclohexyl); 13C NMR (101 MHz, CDCl3) δ 171.1 (C=O), 168.4 (C=O), 161.7 (C=O), 159.0 (C-10), 154.2 (C-8), 150.9 (C-2), 133.9 (Ar-C), 132.0 (Ar-CH), 129.6 (Ar-CH), 126.4 (Ar-CH), 113.8 (C-3), 71.4 (C-7), 52.9 (O-CH3), 51.5 (C-6), 50.8 (O-CH3), 49.7 (CHNH), 34.3 (CH2, cyclohexyl), 33.7 (CH2, cyclohexyl), 25.7 (CH2, cyclohexyl), 24.8 (CH2, cyclohexyl), 24.7 (CH2, cyclohexyl); FTIR νmax/cm−1: 3282, 2918, 2846, 1740, 1677, 1651, 1604, 1533, 1444; HRMS (ESI–TOF) m/z: [M + H]+ calculated for C23H26N3O5S+ 456.1588 found 456.1592.

3.1.3. Synthesis of Methyl 7-Oxo-7H-Thiazolo[3,2-a]Pyrimidine-5-Carboxylate Derivatives (13a–j). Method B (3-CR)

In a round-bottomed flask equipped with a magnetic stirrer bar, thiourea (15) was added to a solution of α-haloketone (16) in absolute ethanol (15 mL) and tetrahydrofuran (THF) (15 mL), and the reaction mixture was allowed to stir at room temperature for at least 15 min. After this time, dimethyl acetylenedicarboxylate (DMAD) or diethyl acetylenedicarboxylate (DEtAD) (2) was slowly added over at least 10 min, and the reaction mixture was heated at 80 °C for 6–12 h while being monitored by TLC. After completion, the reaction was cooled, and the solvents were removed under reduced pressure to obtain a residue which was washed with cold ethanol and filtered to give a solid product.
Methyl 2,3-dimethyl-7-oxo-7H-thiazolo[3,2-a]pyrimidine-5-carboxylate (13a). Thiourea (15) (0.36 g, 4.6 mmol), 3-chloro-2-butanone (16c) (0.50 g, 4.6 mmol) and DMAD (2a) (0.65 g, 4.6 mmol). Physical properties brown solid; Yield: 0.89 g, 82%; Mp: 165–167 °C; Rf 0.5, hexane/ethyl acetate (40%:60 %); 1H NMR (400 MHz, DMSO-d6), 6.50 (1H, s, H-6), 3.95 (3H, s, O-CH3), 2.28 (3H, s, CH3), 2.10 (3H, s, CH3); 13C NMR (101 MHz, DMSO-d6) δ 164.9 (C=O), 164.7 (C=O), 161.5 (C-9), 138.9 (C-5), 127.9 (C-2), 116.7 (C-3), 112.1 (C-6), 54.0 (O-CH3), 12.6 (CH3), 11.8 (CH3); FTIR νmax/cm−1: 2993, 1734, 1638, 1608, 1491, 1413; HRMS (ESI–TOF) m/z: [M + H]+ calculated for C10H11N2O3S+ 239.0485, found 239.0486.
Methyl 7-oxo-3-(p-tolyl)-7H-thiazolo[3,2-a]pyrimidine-5-carboxylate (13b). Thiourea (15) (0.19 g, 2.4 mmol), 2-bromo-4-methylacetophenone (16d) (0.52 g, 2.4 mmol) and DMAD (2a) (0.34 g, 2.4 mmol). Physical properties: orange solid; Yield: 0.51 g, 71%; Mp: 176–178 °C; Rf 0.4, hexane/ethyl acetate (40%:60%); 1H NMR (400 MHz, DMSO-d6) 7.35–7.33 (2H, m, ArH), 7.30–7.27 (3H, m, ArH), 6.47 (1H, s, H-6), 3.15 (3H, s, O-CH3), 2.35 (3H, s, CH3); 13C NMR (101 MHz, DMSO-d6) δ 166.8 (C=O), 165.3 (C=O), 160.6 (C-9), 139.4 (C-5), 138.9 (Ar-C), 136.6 (Ar-C), 129.4 (Ar-CH), 127.5 (Ar-C), 127.2 (ArCH), 113.01 (C-6), 108.14 (C-2), 52.8 (O-CH3); FTIR νmax/cm−1: 3041, 1742, 1639, 1587, 1509, 1485, 1416; HRMS (ESI–TOF) m/z: [M + H]+ calculated for C15H13N2O3S+ 301.0641, found 301.0648.
Methyl 3-(4-fluorophenyl)-7-oxo-7H-thiazolo[3,2-a]pyrimidine-5-carboxylate (13c). Thiourea (15) (0.19 g, 2.3 mmol), 2-bromo-4-fluoroacetophenone (16e) (0.51 g, 2.3 mmol) and DMAD (2a) (0.33 g, 2.3 mmol). Physical properties: yellow solid; Yield: 0.49 g, 70%; Mp: 220–222 °C; Rf 0.5, hexane/ethyl acetate (40%:60%); 1H NMR (400 MHz, DMSO-d6) 7.56–7.53 (2H, m, ArH), 7.37–7.34 (3H, m, ArH), 6.49 (1H, s, H-6), 3.23 (3H, s, O-CH3); 13C NMR (101 MHz, DMSO-d6) δ 166.7 (C=O), 165.3 (C=O), 162.6 (d, JCF = 246 Hz, Ar-C), 161.3 (ArC), 160.6 (ArC), 138.7 (Ar-C),135.4 (ArC), 129.9 (d, JCF = 8.1 Hz, Ar-CH), 126.9 (d, JCF = 3.0 Hz, Ar-C), 115.9 (d, JCF = 22.1 Hz, Ar-CH), 113.1 (C-6), 109.0 (C-2), 52.9 (O-CH3); FTIR νmax/cm−1: 3058, 1742, 1640, 1581, 1489; HRMS (ESI–TOF) m/z: [M + H]+ calculated for C14H10FN2O3S+ 305.0391, found 305.0391.
Methyl 3-(4-chlorophenyl)-7-oxo-7H-thiazolo[3,2-a]pyrimidine-5-carboxylate (13d). Thiourea (15) (0.16 g, 2.1 mmol), 2-bromo-4-chloroacetophenone (16f) (0.50 g, 2.1 mmol) and DMAD (2a) (0.30 g, 2.1 mmol). Physical properties: yellow solid; Yield: 0.48 g, 71%; Mp: 200–202 °C; Rf 0.8, hexane/ethyl acetate (40%:60%); 1H NMR (400 MHz, DMSO-d6) 7.58 (2H, d, J = 8.4 Hz, ArH), 7.50 (2H, d, J = 8.4 Hz, ArH), 7.39 (1H, s, H-2), 6.50 (1H, s, H-6), 3.23 (3H, s, O-CH3); 13C NMR (101 MHz, DMSO-d6) δ 166.8 (C=O), 165.3 (C=O), 160.6 (C-9), 138.6 (Ar-C), 135.2 (Ar-C), 134.3 (Ar-C), 129.3 (Ar-C), 129.1 (Ar-CH), 129.0 (Ar-CH), 128.7 (Ar-CH), 127.4 (Ar-CH), 113.2 (C-6), 109.5 (C-2), 52.90 (O-CH3); FTIR νmax/cm−1: 3049, 1734, 1633, 1583, 1494, 1481; HRMS (ESI–TOF) m/z: [M+H]+ calculated for C14H10ClN2O3S+ 321.0095, found 321.0087.
Ethyl 7-oxo-7H-thiazolo[3,2-a]pyrimidine-5-carboxylate (13e). Thiourea (15) (0.31 g, 4.1 mmol), chloroacetaldehyde (16a) (0.50 g, 4.1 mmol) and DEtAD (2b) (0.69 g, 4.1 mmol); Physical properties: yellow solid; Yield: 0.84 g, 91%; Mp: 180–182 °C; Rf 0.4, hexane/ethyl acetate (40%:60%); 1H NMR (400 MHz, DMSO-d6) 8.30 (1H, d, J = 4.8 Hz, H-2), 7.36 (1H, d, J = 4.8 Hz, H-3), 6.76 (1H, s, H-6), 4.38 (2H, q, J = 6.8 Hz, O-CH2), 1.34 (3H, t, J = 7.2 Hz, CH3); 13C NMR (101 MHz, DMSO-d6) δ 166.8 (C=O), 166.0 (C=O), 160.3 (C-9), 136.6 (C-5), 124.6 (C-2), 114.3 (C-6), 110.0 (C-3), 62.9 (O-CH2), 13.7 (CH3); FTIR νmax/cm−1: 3176, 3077, 2978, 1720, 1621, 1557, 1471; HRMS (ESI–TOF) m/z: [M + H]+ calculated for C9H9N2O3S+ 225.0328, found 225.0339.
Ethyl 3-methyl-7-oxo-7H-thiazolo[3,2-a]pyrimidine-5-carboxylate (13f). Thiourea (15) (0.41 g, 5.4 mmol), chloroacetone (16b) (0.5 g, 5.4 mmol) and DEtAD (2b) (0.92 g, 5.4 mmol); Physical properties: brown solid; Yield: 1.1 g, 86%; Mp: 150–152 °C; Rf 0.5, hexane/ethyl acetate (40%:60%); 1H NMR (400 MHz, DMSO-d6) 7.10 (1H, s, H-2), 6.53 (1H, s, H-6), 4.38 (2H, q, J = 6.8 Hz, O-CH2), 2.23 (3H, s, CH3) 1.34 (3H, t, J = 6.8 Hz, CH3); 13C NMR (101 MHz, DMSO-d6) δ 166.8 (C=O), 165.0 (C=O), 160.9 (C-9), 139.2 (Ar-C), 132.9 (Ar-C), 111.9 (C-6), 107.1 (C-2), 63.5 (CH2), 15.3 (CH3) 13.6 (CH3); FTIR νmax/cm−1: 2973, 1731, 1634, 1493; HRMS (ESI–TOF) m/z: [M + H]+ calculated for C10H11N2O3S+ 239.0485, found 239.0497.
Ethyl 2,3-dimethyl-7-oxo-7H-thiazolo[3,2-a]pyrimidine-5-carboxylate (13g). Thiourea (15) (0.36 g, 4.6 mmol), 3-chloro-2-butanone (16c) (0.50 g, 4.6 mmol) and DEtAD (2b) (0.78 g, 4.6 mmol). Physical properties: brown solid; Yield: 0.94 g, 81%; Mp: 153–155 °C; Rf 0.5, hexane/ethyl acetate (40%:60%); 1H NMR (400 MHz, DMSO-d6), 6.5 (1H, s, H-6), 4.40 (2H, q, J = 5.2 Hz, CH2), 2.28 (3H, s, CH3), 2.12 (3H, s, CH3), 1.33 (3H, t, J = 7.6 Hz, CH2CH3); 13C NMR (101 MHz, DMSO-d6) δ 165.0 (C=O), 164.7 (C=O), 161.0 (C-9), 139.2 (Ar-C), 127.9 (Ar-C), 116.7 (Ar-C), 112.1 (C-6), 63.5 (O-CH2), 13.6, 12.7, (2 × CH3), 11.8 (CH2CH3); FTIR νmax/cm−1: 2988, 1732, 1641, 1489, 1452; HRMS (ESI–TOF) m/z: [M + H]+ calculated for C11H13N2O3S+ 253.0641, found 253.0652.
Ethyl 3-(4-fluorophenyl)-7-oxo-7H-thiazolo[3,2-a]pyrimidine-5-carboxylate (13h). Thiourea (15) (0.19 g, 2.3 mmol), 2-bromo-4-fluoroacetophenone (16e) (0.51 g, 2.3 mmol) and DEtAD (2b) (0.39 g, 2.3 mmol). Physical properties: yellow solid, Yield 0.63 g, 86%; Mp: 180–182 °C; Rf 0.5, hexane/ethyl acetate (40%:60%); 1H NMR (400 MHz, DMSO-d6) 7.58–7.52 (2H, m, ArH), 7.37–7.27 (3H, m, ArH), 6.49 (1H, s, H-6), 3.61 (2H, q, J = 7.2 Hz, O-CH2) 1.04 (3H, t, J = 7.2 Hz, CH3); 13C NMR (101 MHz, DMSO-d6) δ 166.8 (C=O), 165.4 (C=O), 162.6 (d, JCF = 246 Hz, Ar-C), 161.4 (Ar-C), 160.2 (Ar-C), 138.9 (Ar-C), 135.4 (Ar-C), 129.9 (d, JCF = 9.1 Hz, Ar-CH), 128.0 (d, JCF = 8.1 Hz, Ar-CH), 126.9 (d, JCF = 4.0 Hz, Ar-CH), 115.9 (d, JCF = 22.2 Hz, Ar-CH) 113.1 (C-6), 109.1 C-2), 62.7 (CH2-O), 13.3 (O-CH3); FTIR νmax/cm−1: 3061, 1733, 1639, 1489; HRMS (ESI–TOF) m/z: [M + H]+ calculated for C15H12FN2O3S+ 319.0547, found 319.0565.
Ethyl 3-(4-chlorophenyl)-7-oxo-7H-thiazolo[3,2-a]pyrimidine-5-carboxylate (13i). Thiourea (15) (0.16 g, 2.1 mmol), 2-bromo-4-chloroacetophenone (16f) (0.50 g, 2.1 mmol) and DEtAD (2b) (0.36 g, 2.1 mmol). Physical properties: yellow solid, Yield: 0.59 g, 84%; Mp: 198–200 °C; Rf 0.9, hexane/ethyl acetate (40%:60%); 1H NMR (400 MHz, DMSO-d6) 7.58 (2H, d, J = 8.4 Hz, Ar-H), 7.51 (2H, d, J = 8.4 Hz, Ar-H), 7.39 (1H, s, H-2), 6.51 (1H, s, H-6), 3.63 (2H, q, J = 7.2 Hz, O-CH2), 1.03 (3H, t, J = 6.8, Hz, CH3); 13C NMR (101 MHz, DMSO-d6) δ 166.8 (C=O), 165.3 (C=O), 160.1 (C-9), 138.7 (Ar-C), 135.3 (Ar-CH), 134.3 (Ar-C), 129.4 (Ar-C), 129.1 (Ar-CH), 128.9 (Ar-CH), 113.2 (C-6), 109.38 (C-2), 62.7 (CH2-O), 13.2 (CH3); FTIR νmax/cm−1: 3057, 2986, 1733, 1640, 1580, 1501, 1482; HRMS (ESI–TOF) m/z: [M + H]+ calculated for C15H12ClN2O3S+ 335.0252, found 335.0267.

3.1.4. Synthesis of Methyl 7-Oxo-7H-Thiazolo[3,2-a]Pyrimidine-5-Carboxylate Derivatives (13j, 19a–b, 20 and 5) Method A (2-CR)

In a round-bottomed flask equipped with a magnetic stirrer bar, DMAD/DEtAD (2) was added to the mixture of 2-aminothiazole derivative (11a–h) or 2-imino-1,3-oxazolidine (17) or 1H-1,2,4-triazol-5-amine (18) or 1H-1,2,4-triazole-5-thiol (5) in ethanol. The reaction mixture was allowed to reflux for 12–15 h while being monitored by TLC. After completion, the reaction was cooled and the solvent was removed under reduced pressure to obtain a residue which was washed with cold ethanol and filtered to give solid product.
N-(tert-butyl)-7-oxo-5H-thiazolo[3,2-a]pyrimidine-5-carboxylate (13j). Thiazol-2-amine (11a) (0.20 g, 1.99 mmol), di-tert-butyl acetylenedicarboxylate (DTAD) (2c) (0.45 g, 1.99 mmol); Physical properties: yellow solid; Yield: 0.36 g, 72%; Mp:246–248 °C; Rf 0.5, hexane/ethyl acetate (40%:60%); 1H NMR (400 MHz, DMSO-d6) 8.29 (1H, d, J = 4.4 Hz, H-2), 7.34 (1H, d, J = 5.2 Hz, H-3), 6.73 (1H, s, H-6), 1.57 (9H, s, ((CH3)3); 13C NMR (101 MHz, DMSO-d6) δ 166.8 (C=O), 166.2 (C=O), 159.3 (C-9), 137.4 (C-5), 124.5 (C-2), 114.2 (C-6), 109.9 (C-3), 85.0 (C(CH3)3), 27.4 ((CH3)3); FTIR νmax/cm−1: 2923, 1729, 1639; HRMS (ESI–TOF) m/z: [M + H]+ calculated for C11H13N2O3S+ 253.0641, found 253.0642.
Methyl 5-oxo-3,5-dihydro-2H-oxazolo[3,2-a]pyrimidine-7-carboxylate (19a); 2-imino-1,3-oxazolidine (0.51 g, 5.8 mmol) and DMAD (2a) (0.83 g, 5.8 mmol); Physical properties: White solid; Yield: 0.95 g, 82%; Mp: 251–253 °C; Rf 0.5, ethyl acetate (100 %); 1H NMR (400 MHz, DMSO-d6) 6.37 (1H, s, H-6) 4.67 (2H, t, J = 8.4 Hz, CH2), 4.49 (2H, t, J = 8.4 Hz, CH2), 3.87 (3H, s, O-CH3); 13C NMR (101 MHz, DMSO-d6) δ 170.9, (C=O) 162.1 (C=O), 160.8 (C-9), 138.1 (C-7), 110.9 (C-6), 66.6 (CH2), 53.5 (O-CH3), 47.03 (CH2); FTIR νmax/cm−1: 2965, 1732, 1624, 1535, 1476, 1421; HRMS (ESI–TOF) m/z: [M + H]+ calculated for C8H9N2O4+ 197.0557, found 197.0549.
Ethyl 5-oxo-3,5-dihydro-2H-oxazolo[3,2-a]pyrimidine-7-carboxylate (19b); 2-imino-1,3-oxazolidine (0.51 g, 5.8 mmol) and DEtAD (2b) (0.98 g, 5.8 mmol). Physical properties: White solid: Yield 0.98 g, 80%; Mp: 297–299 °C; Rf 0.5, ethyl acetate (100%); 1H NMR (400 MHz, DMSO-d6) 5.64 (1H, s, H-6), 4.27 (2H, q, J = 7.2 Hz, O-CH2), 4.04 (2H, t, J = 6.0 Hz, CH2), 3.62 (2H, t, J = 5.6 Hz, CH2), 1.27 (3H, t, J = 7.2 Hz, CH3); 13C NMR (101 MHz, DMSO-d6) δ 170.4 (C=O) 163.2 (C=O), 161.6 (C-9), 155.7 (C-7), 89.5 (C-6), 61.1 (CH2), 58.5 (CH2), 48.1 (CH2), 13.8 (CH3); FTIR νmax/cm−1: 3125, 2958, 1700, 1698, 1662, 1642, 1637, 1381; HRMS (ESI–TOF) m/z: [M + H]+ calculated for C9H11N2O4+ 211.0713, found 211.0708.
Ethyl 5-oxo-5,8-dihydro-[1,2,4]triazolo[4,3-a]pyrimidine-7-carboxylate (20); 1H-1,2,4-triazol-5-amine (0.50 g, 6.0 mmol) and DEtAD (2b) (1.02 g, 6.0 mmol). Physical properties: Brown solid: Yield: 1.1 g, 88%; Mp: 185–187 °C; Rf 0.5, ethyl acetate (100 %); 1H NMR (400 MHz, DMSO-d6) 8.91 (1H, s, H-5), 6.66 (1H, s, H-7), 4.50 (2H, q, J = 6.8 Hz, O-CH2), 1.40 (3H, t, J = 7.2 Hz, CH3); 13C NMR (101 MHz, DMSO-d6) δ 160.5 (C=O), 158.9 (C=O), 151.9 (C-5), 134.1 (Ar-C), 132.9 (Ar-C) 112.9 (C-7), 62.5 (CH2), 12.9 (CH3); FTIR νmax/cm−1: 3150, 3068, 2909, 2731, 1722, 1680, 1610, 1579; HRMS (ESI–TOF) m/z: [M + H]+ calculated for C8H9N4O3+ 209.0669, found 209.0677.
7-Oxo-7H-[1,2,4]triazolo[5,1-b][1,3]thiazine-5-carboxylate (5); 1H-1,2,4-Triazole-5-thiol (0.50 g, 5.0 mmol) and DEtAD (2b) (0.85 g, 5.0 mmol). Physical properties: White solid; Yield: 0.92 g, 82%; Mp: 110–112 °C; Rf 0.9 hexane/ethyl acetate (20%:80%); 1H NMR (400 MHz, DMSO-d6) 8.68 (1H, s, H-4), 7.54 (1H, s, H-6), 4.48 (2H, q, J = 7.2 Hz, O-CH2), 1.38 (3H, t, J = 6.8 Hz, CH3); 13C NMR (101 MHz, DMSO-d6) δ 160.9 (C=O), 155.3 (C=O), 153.7 (C-4), 151.56 (C-2), 139.6 (C-7) 122.2 (C-6), 64.1 (CH2), 13.8 (CH3); FTIR νmax/cm−1: 3123, 3053, 2987, 1698, 1582, 1491; HRMS (ESI–TOF) m/z: [M + H]+ calculated for C8H8N3O3S+ 226.0281, found 226.0288.

3.2. X-ray Crystallography

Intensity data for 8, 13a, 13b and 13d were collected on a Bruker Apex-II CCD area detector (Bruker AXS, Karlsruhe, Germany) diffractometer with graphite monochromated Mo Kα radiation (50 kV, 30 mA). The collection method involved ω- and φ-scans of width 0.5° and 1024 × 1024 bit data frames. Using Olex2 [49], the crystal structures were solved by with the ShelXT [50] structure solution program, using Intrinsic Phasing, and refined with the ShelXL [51] refinement package, using least-squares minimization. Non-hydrogen atoms were first refined isotropically, followed by anisotropic refinement by full matrix least-squares calculations based on F2.
Crystal Datafor 8: C8H7N3O3S (M =225.23 g/mol): triclinic, space group P-1 (no. 2), a = 8.6289(5) Å, b = 9.9003(6) Å, c = 11.9343(7) Å, α = 76.618(2)°, β = 72.127(2)°, γ = 89.767(2)°, V = 941.51(10) Å3, Z = 4, T = 173.15 K, μ(MoKα) = 0.333 mm−1, Dcalc = 1.589 g/cm3, 16,340 reflections measured (3.696° ≤ 2Θ ≤ 56.728°), 4715 unique (Rint = 0.0461, Rsigma = 0.0464) which were used in all calculations. The final R1 was 0.0333 (I > 2σ(I)) and wR2 was 0.0771 (all data). CCDC 2103713.
Crystal Datafor 13a: C10H12N2O4S (M =256.28 g/mol): monoclinic, space group P21/c (no. 14), a = 7.4587(3) Å, b = 20.1251(9) Å, c = 8.0128(3) Å, β = 108.8923(15)°, V = 1137.98(8) Å3, Z = 4, T = 173.15 K, μ(MoKα) = 0.290 mm−1, Dcalc = 1.496 g/cm3, 11779 reflections measured (4.048° ≤ 2Θ ≤ 56.708°), 2839 unique (Rint = 0.0356, Rsigma = 0.0325) which were used in all calculations. The final R1 was 0.0359 (I > 2σ(I)) and wR2 was 0.0973 (all data). CCDC 2103714.
Crystal Datafor 13b: C15H12N2O3S (M =300.33 g/mol): monoclinic, space group C2/c (no. 15), a = 21.5767(7) Å, b = 8.7603(3) Å, c = 14.6735(5) Å, β = 93.5869(11)°, V = 2768.13(16) Å3, Z = 8, T = 173.15 K, μ(MoKα) = 0.245 mm−1, Dcalc = 1.441 g/cm3, 15439 reflections measured (3.782° ≤ 2Θ ≤ 56.796°), 3474 unique (Rint = 0.0236, Rsigma = 0.0204) which were used in all calculations. The final R1 was 0.0345 (I > 2σ(I)) and wR2 was 0.0887 (all data). CCDC 2103715.
Crystal Datafor 13d: C14H9ClN2O3S (M =320.74 g/mol): orthorhombic, space group Pbca (no. 61), a = 15.167(2) Å, b = 8.9457(14) Å, c = 19.944(3) Å, V = 2706.0(7) Å3, Z = 8, T = 173.15 K, μ(MoKα) = 0.447 mm−1, Dcalc = 1.575 g/cm3, 16592 reflections measured (4.084° ≤ 2Θ ≤ 50°), 2381 unique (Rint = 0.1235, Rsigma = 0.1070) which were used in all calculations. The final R1 was 0.0362 (I > 2σ(I)) and wR2 was 0.0696 (all data). CCDC 2103716.
CCDC 2103713-2103716 contains the supplementary crystallographic data for this paper. These data can be obtained free of charge via http://www.ccdc.cam.ac.uk/conts/retrieving.html (accessed 20 August 2021) (or from the CCDC, 12 Union Road, Cambridge CB2 1EZ, UK; Fax: +44 1223 336033; E-mail: deposit@ccdc.cam.ac.uk).

4. Conclusions

The synthesis of novel thiazine derivatives was accomplished by using a one-pot, three-component reaction. The facile and convenient reaction of isocyanides and DMAD or DEtAD under inert conditions at 0 °C formed a zwitterion intermediate that further reacted with compounds 9a–e. On the other hand, the synthesis of 5H-thiazolo [3,2-a]pyrimidine-7-carboxylates was successfully accomplished by using two methods, either by two-component or three-component reaction. The one-pot, three-component reaction using thiourea, α-haloketone and dialkyl acetylenedicarboxylate was found to be more effective, achieving improved yields. The 2-aminothiazole derivatives were found to be less reactive towards DMAD and DEtAD as compared to 2-imino-1,3-oxazolidine (17), 1H-1,2,4-triazol-5-amine (18) or 1H-1,2,4-triazole-5-thiol (5) when using the two-component approach.

Supplementary Materials

The supplementary materials including NMR and IR spectra for the reported compounds are available online.

Author Contributions

Conceptualization, R.L.M., E.M.C. and M.L.B.; methodology, R.L.M., M.A.F. and M.Q.F.; investigation, R.L.M., M.A.F. and M.Q.F.; writing—original draft, R.L.M.; writing—review and editing. E.M.C. and M.L.B.; supervision, E.M.C. and M.L.B.; project administration, E.M.C.; funding acquisition, E.M.C. All authors have read and agreed to the published version of the manuscript.

Funding

The study was funded by National Research Foundation of South Africa (PDP UID 100947/ 121102), Mintek and the University of the Witwatersrand.

Institutional Review Board Statement

Not applicable.

Informed Consent Statement

Not applicable.

Data Availability Statement

Data supporting reported results that does not appear in the supplementary materials section may be supplied by the authors upon request.

Acknowledgments

We acknowledge the National Research Foundation of South Africa, Mintek and the University of the Witwatersrand for supporting the study.

Conflicts of Interest

The authors declare no conflict of interest.

Sample Availability

Samples of the compounds are available from the authors.

References

  1. Ruijter, E.; Scheffelaar, R.; Orru, R.V.A. Multicomponent Reaction Design in the Quest for Molecular Complexity and Diversity. Angew. Chem. Int. Ed. 2011, 50, 6234–6246. [Google Scholar] [CrossRef]
  2. Ganem, B. Strategies for Innovation in Multicomponent Reaction Design. Acc. Chem. Res. 2009, 42, 372–463. [Google Scholar] [CrossRef] [Green Version]
  3. Domling, A. Recent Developments in Isocyanide Based Multicomponent Reactions in Applied Chemistry. Chem. Rev. 2006, 106, 17–89. [Google Scholar] [CrossRef]
  4. Ugi, I.; Steinbrückner, C. Isonitrile, II. Reaktion von Isonitrilen mit Carbonylverbindungen, Aminen und Stickstoffwasserstoffsäure. Chem. Ber. 1961, 94, 734–742. [Google Scholar] [CrossRef]
  5. Passerini, M.; Simone, L. Sopra gli isonitrili (I). Composto del p-isonitril-azobenzolo con acetone ed acido acetico. Gazz. Chim. Ital. 1921, 51, 126–129. [Google Scholar]
  6. Biginelli, P. Ueber Aldehyduramide des Acetessigäthers. Chem. Ges. 1891, 24, 1317–1319. [Google Scholar] [CrossRef] [Green Version]
  7. Hantzsch, A. Ueber die Synthese pyridinartiger Verbindungen aus Acetessigäther und Aldehydammoniak. Justus Liebigs Ann. Chem. 1882, 215, 1–82. [Google Scholar] [CrossRef] [Green Version]
  8. Strecker, D. Ueber die künstliche Bildung der Milchsäure und einen neuen, dem Glycocoll homologen Körper. Ann. Chem. Pharm. 1850, 75, 27–45. [Google Scholar] [CrossRef] [Green Version]
  9. Mannich, C.; Krösche, W. Ueber ein Kondensationsprodukt aus Formaldehyd, Ammoniak und Antipyrin. Arch. Pharm. 1912, 250, 647–667. [Google Scholar] [CrossRef] [Green Version]
  10. Ugi, I.; Meyr, R.; Fetzer, U.; Steinbrückner, C. Versammlungsberichte: Versuche rnit Isonitrilen. Angew. Chem. 1959, 71, 373–388. [Google Scholar] [CrossRef]
  11. Ugi, I.; Dömling, A.; Hörl, W. Multicomponent reactions in organic Chemistry. Endeavour 1994, 18, 115–122. [Google Scholar] [CrossRef]
  12. Dömling, A.; Ugi, I. Multicomponent reactions with isocyanide. Angew. Chem. Int. Ed. 2000, 39, 3168–3210. [Google Scholar] [CrossRef]
  13. Bode, M.L.; Gravestock, D.; Rousseau, A.L. Synthesis, Reactions and Uses of Isocyanides in Organic Synthesis. An Update. Org. Prep. Proced. Int. 2016, 48, 89–221. [Google Scholar] [CrossRef]
  14. Rudick, J.G.; Shaabani, S.; Dömling, A. Editorial: Isocyanide-Based Multicomponent Reactions. Front. Chem. 2020, 7, 918. [Google Scholar] [CrossRef] [PubMed] [Green Version]
  15. Neochoritis, C.G.; Zarganes-Tzitzikas, T.; Katsampoxaki-Hodgetts, K.; Dömling, A. Multicomponent Reactions: “Kinderleicht”. J. Chem. Educ. 2020, 97, 3739–3745. [Google Scholar] [CrossRef] [PubMed]
  16. Vishwanatha, T.M.; Kurpiewska, K.; Kalinowska-Tłusćik, J.; Dömling, A. Cysteine Isocyanide in Multicomponent Reaction: Synthesis of Peptido-Mimetic 1,3-Azoles. J. Org. Chem. 2017, 82, 9585–9594. [Google Scholar] [CrossRef]
  17. Winterfeldt, E.; Schumann, D.; Dillinger, H.-J. Struktur und Reaktionen des 2: 1-Adduktes aus Acetylendicarbonester und Isonitrilen. J. Chem. Ber. 1969, 102, 1656–1664. [Google Scholar] [CrossRef]
  18. De Moliner, F.; Banfi, L.; Basso, A. Beyond Ugi and Passerini reactions. Multicomponent approaches based on isocyanides and alkynes as an efficient tool for diversity oriented synthesis. Comb. Chem. High Through. Screen. 2011, 14, 782–810. [Google Scholar] [CrossRef] [PubMed]
  19. Mohlala, R.L.; Coyanis, E.M.; Fernandes, M.A.; Bode, M.L. Synthesis of highly functionalised 5-membered ring fused pyrimidine derivatives using an isocyanide-based one-pot, three component reaction. Tetrahedron Lett. 2020, 61, 151796. [Google Scholar] [CrossRef]
  20. Bairam, R.; Muppavarapu, S.M.; Sreekanth, S. Synthesis, characterization, biological evaluation and docking of some novel substituted 1, 3-thiazine derivatives. Int. J. Pharm. Pharm. Sci. 2017, 9, 233–242. [Google Scholar] [CrossRef] [Green Version]
  21. Leqaa, A.M.; Olfat, A.N.; Firyal, W.A.; Abdulwahhab, H.M. Synthesis, Characterization and Antimicrobial Activities of Silver Nanoparticles coated [1,3] Thiazin-4-One derivatives. J. Phys. Conf. Ser. 2019, 1294, 052028. [Google Scholar] [CrossRef]
  22. Zarghi, A.; Zebardast, T.; Daraie, B.; Hedayati, M. Design and synthesis of new 1,3-benzthiazinan-4-one derivatives as selective cyclooxygenase (COX-2) inhibitors. Bioorg. Med. Chem. 2009, 17, 5369–5373. [Google Scholar] [CrossRef] [PubMed]
  23. Wang, W.; Zhao, B.; Xu, C.; Wu, W. Synthesis and Antitumor Activity of the Thiazoline and Thiazine Multithioether. Int. J. Org. Chem. 2012, 2, 117–120. [Google Scholar] [CrossRef] [Green Version]
  24. Koketsu, M.; Tanaka, K.; Takenaka, Y.; Kwong, C.D.; Ishihara, H. Synthesis of 1,3-thiazine derivatives and their evaluation as potential antimycobacterial agents. Eur. J. Pharm. Sci. 2002, 15, 307–310. [Google Scholar] [CrossRef]
  25. Abdalla, M.; Gomha, S.; Abdel-aziz, M.; Serag, N. Synthesis and evaluation of some novel thiazoles and 1,3-thiazines as potent agents against the rabies virus. Turk. J. Chem. 2016, 40, 441–453. [Google Scholar] [CrossRef] [Green Version]
  26. Abu-Hashem, A.A.; Youssef, M.M.; Hussein, H.A.R. Synthesis, Antioxidant, Antitumour Activities of Some New Thiazolopyrimidines, Pyrrolothiazolopyrimidines and Triazolopyrrolothiazolopyrimidines Derivatives. J. Chin. Chem. Soc. 2011, 58, 41–48. [Google Scholar] [CrossRef]
  27. Jadhav, S.B.; Fatema, S.; Sanap, G.; Farooqui, M. Antitubercular Activity and Synergistic Study of Novel Pyrazole Derivatives. J. Heterocycl. Chem. 2018, 55, 1634–1644. [Google Scholar] [CrossRef]
  28. Akhondzadeh, S.; Malek-Hosseini, M.; Ghoreishi, A.; Raznahan, M.; Rezazadeh, S.-A. Effect of ritanserin, a 5HT2A/2C antagonist, on negative symptoms of schizophrenia: A double-blind randomized placebo-controlled study. Prog. Neuro-Psychopharmacol. Biol. Psychiatry 2008, 32, 1879–1883. [Google Scholar] [CrossRef]
  29. Lewis, R.; Kapur, S.; Jones, C.; DaSilva, J.; Brown, G.M.; Wilson, A.A.; Houle, S.; Zipursky, R.B. Serotonin 5-HT2 Receptors in Schizophrenia: A PET Study Using [18F]Setoperone in Neuroleptic-Naive Patients and Normal Subjects. Am. J. Psychiatry 1999, 156, 72–78. [Google Scholar] [CrossRef]
  30. Choudhary, G.; Peddinti, R.K. An efficient solvent-tuning approach for the rapid synthesis of thiazolidinone derivatives and the selective synthesis of 2-amino-4H-1,3-thiazin-4-one and dimethyl 3,3-thiodiacrylates. Tetrahedron Lett. 2014, 55, 5597–5600. [Google Scholar] [CrossRef]
  31. Kishida, Y.; Tereda, A. Studies on Acetylenic Compounds. XLVI. The Reactions of Acetylenic Compounds with Thiourea or Ammonium Dithiocarbamate. Chem. Pharm. Bull. 1968, 16, 1351–1359. [Google Scholar] [CrossRef] [Green Version]
  32. Esmaeili, A.A.; Zangouei, M.; Fakhari, A.R.; Habibi, A. An efficient regioselective synthesis of highly functionalized 3-oxo-2,3-dihydro-5H-thiazolo[3,2-a] pyrimidines via an isocyanide-based three-component reaction. Tetrahedron Lett. 2012, 53, 1351–1353. [Google Scholar] [CrossRef]
  33. Crank, G.; Khan, H.R. Reactions of 2-aminooxazoles and 2-aminothiazoles with dienophiles. Isolation of stable Diels-Alder adducts. J. Heterocycl. Chem. 1985, 22, 1281–1284. [Google Scholar]
  34. Acheson, R.M.; Wallis, J.D. Addition Reactions of Heterocyclic Compounds. Part 74. Products frorn Dimethyl Acetylenedicarboxylate with Thiourea, Thioamide, and Guanidine Derivatives. J. Chem. Soc. Perkin Trans. 1 1981, 2, 415–422. [Google Scholar] [CrossRef]
  35. Bonacorso, H.G.; Lourega, R.V.; Wastowski, A.D.; Flores, A.F.C.; Zanatta, N.; Martins, M.A.P. β-Alkoxyvinyl trichloromethyl ketones as N-heterocyclic acylating agent. A new access to 5H-thiazolo[3,2-a]pyrimidin-5-ones. Tetrahedron Lett. 2002, 43, 9315–9318. [Google Scholar] [CrossRef]
  36. Veretennikov, E.A.; Pavlov, A.V. Synthesis of 5H-[1,3]Thiazolo[3,2-a]pyrimidin-5-one Derivatives. Russ. J. Org. Chem. 2013, 49, 575–579. [Google Scholar] [CrossRef]
  37. Ustalar, A.; Yilmaz, M. Microwave assisted synthesis of 2,3-dihydro-4H-benzo[4,5]thiazolo[3,2-a]furo[2,3-d]pyrimidin-4-ones and 6,7-dihydro-5H-furo[2,3-d]thiazolo [3,2-a]pyrimidin-5-ones using Mn(OAc)3. Tetrahedron Lett. 2017, 58, 516–519. [Google Scholar] [CrossRef]
  38. El-Borai, M.A.; Rizk, H.F.; Ibrahim, S.A.; El-Sayed, H.F. Microwave Assisted Synthesis of Fused Thiazoles in Multicomponent System and Their in vitro Antitumor, Antioxidant, and Antimicrobial Activities. J. Heterocyclic Chem. 2017, 54, 1031–1041. [Google Scholar] [CrossRef]
  39. Zarnegar, Z.; Sadeghi, M.; Alizadeh, R.; Safai, J. HX-DMSO: A novel liquid halogenating system for synthesis of 2-aminothiazoles via Csp3-H bond functionalization. J. Mol. Liq. 2018, 255, 76–79. [Google Scholar] [CrossRef]
  40. Keshari, T.; Kapoor, R.; Yadav, L.D.S. Visible-light-mediated Gomberg-Bachmann reaction: An efficient photocatalytic approach to 2-aminobiphenyls. Tetrahedron Lett. 2019, 60, 805–809. [Google Scholar]
  41. Lin, P.Y.; Houb, R.S.; Wang, H.M.; Kang, I.J.; Chen, L.C. Efficient Synthesis of 2-Aminothiazoles and Fanetizole in Liquid PEG-400 at Ambient Conditions. J. Chin. Chem. Soc. 2009, 56, 455–458. [Google Scholar] [CrossRef]
  42. Morales-Bonilla, P.; Perez-Cardena, A.; Quintero-Marmo, E.; Arias-Tellez, J.L.; Mena-Rejon, G.J. Preparation, antimicrobial activity, and toxicity of 2-amino-4-arylthiazole derivatives. Heteroat. Chem. 2006, 17, 254–260. [Google Scholar] [CrossRef]
  43. Latli, B.; Amour, K.D.; Casida, J.E. Novel and Potent 6-Chloro-3-pyridinyl Ligands for the Neuronal Nicotinic Acetylcholine Receptor. J. Med. Chem. 1999, 42, 2227–2234. [Google Scholar] [CrossRef]
  44. Boechat, N.; Pinheiro, L.C.S.; Santos-Filho, O.A.; Silva, I.C. Design and Synthesis of New N-(5-Trifluoromethyl)-1H-1,2,4-triazol-3-yl Benzenesulfonamides as Possible Antimalarial Prototypes. Molecules 2011, 16, 8083–8097. [Google Scholar] [CrossRef] [PubMed] [Green Version]
  45. Hu, J.; Wang, Y.; Wei, X.; Wu, X.; Chen, G.; Cao, G.; Shen, X.; Zhang, X.; Tang, Q.; Liang, G.; et al. Synthesis and biological evaluation of novel thiazolidinone derivatives as potential anti-inflammatory agents. Eur. J. Med. Chem. 2013, 64, 292–301. [Google Scholar] [CrossRef]
  46. Rashamuse, T.J.; Harrison, A.T.; Mosebi, S.; van Vuuren, S.; Coyanis, E.M.; Bode, M.L. Design, synthesis and biological evaluation of imidazole and oxazole fragments as HIV-1 integrase-LEDGF/p75 disruptors and inhibitors of microbial pathogens. Bioorg. Med. Chem. 2020, 28, 115210. [Google Scholar] [CrossRef]
  47. Rashamuse, T.J.; Njengele, Z.; Coyanis, E.M.; Sayed, Y.; Mosebi, S.; Bode, M.L. Design, synthesis and biological evaluation of novel 2-(5-aryl-1H-imidazol-1-yl) derivatives as potential inhibitors of the HIV-1 Vpu and host BST-2 protein interaction. Eur. J. Med. Chem. 2020, 190, 112111. [Google Scholar] [CrossRef]
  48. Mohlala, R.L.; Coyanis, E.M.; Fernandes, M.A.; Bode, M.L. Catalyst-free synthesis of novel 1,5-benzodiazepines and 3,4-dihydroquinoxalines using isocyanide-based one-pot, three- and four-component reactions. RSC Adv. 2021, 11, 24466–24473. [Google Scholar] [CrossRef]
  49. Dolomanov, O.V.; Bourhis, L.J.; Gildea, R.J.; Howard, J.A.K.; Puschmann, H. OLEX2: A complete structure solution, refinement and analysis program. J. Appl. Cryst. 2009, 42, 339–341. [Google Scholar] [CrossRef]
  50. Sheldrick, G.M. SHELXT-Integrated space-group and crystal-structure determination. Acta Cryst. 2015, 71, 3–8. [Google Scholar] [CrossRef] [Green Version]
  51. Sheldrick, G.M. Crystal structure refinement with SHELXL. Acta Cryst. 2015, 71, 3–8. [Google Scholar]
Scheme 1. Our previous work showing synthesis of pyrimidine derivatives and their analogues.
Scheme 1. Our previous work showing synthesis of pyrimidine derivatives and their analogues.
Molecules 26 05493 sch001
Figure 1. Six-membered rings 9a–e chosen for the three-component reaction.
Figure 1. Six-membered rings 9a–e chosen for the three-component reaction.
Molecules 26 05493 g001
Scheme 2. Proposed reaction mechanism for the formation of 10.
Scheme 2. Proposed reaction mechanism for the formation of 10.
Molecules 26 05493 sch002
Scheme 3. Synthesis of thiazole-pyrimidines 13.
Scheme 3. Synthesis of thiazole-pyrimidines 13.
Molecules 26 05493 sch003
Figure 2. Five membered-ring substrates chosen for the reactions.
Figure 2. Five membered-ring substrates chosen for the reactions.
Molecules 26 05493 g002
Scheme 4. Proposed reaction mechanism for the formation of compounds 13a–j.
Scheme 4. Proposed reaction mechanism for the formation of compounds 13a–j.
Molecules 26 05493 sch004
Figure 3. Single-crystal X-ray structure (ORTEP diagrams) of 8 (top left), 13a (top right), 13b (bottom left) and 13d (bottom right). Carbon atoms are shown as gray spheres, nitrogen atoms as blue spheres, oxygen atoms as red spheres, sulfur atoms as yellow spheres, chlorine atoms as green spheres and hydrogen atoms as white spheres.
Figure 3. Single-crystal X-ray structure (ORTEP diagrams) of 8 (top left), 13a (top right), 13b (bottom left) and 13d (bottom right). Carbon atoms are shown as gray spheres, nitrogen atoms as blue spheres, oxygen atoms as red spheres, sulfur atoms as yellow spheres, chlorine atoms as green spheres and hydrogen atoms as white spheres.
Molecules 26 05493 g003
Table 1. Isolated yields of products 10a–u from the reaction of isocyanides 1, dialkyl acetylenedicarboxylates 2 and thiazines 9 at room temperature.
Table 1. Isolated yields of products 10a–u from the reaction of isocyanides 1, dialkyl acetylenedicarboxylates 2 and thiazines 9 at room temperature.
Molecules 26 05493 i001
CompoundR1R2R3Yield %
(Time)
10at-BuCH3H81 (6 h)
10bt-BuCH3H85 (6 h)
10ct-BuCH3CH382 (6 h)
10dt-BuCH3CH2CH383 (6 h)
10e1,1,3,3-tetramethylbutylCH3CH376 (6 h)
10f1,1,3,3-tetramethylbutylCH3CH2CH377 (6 h)
10gcyclohexylCH3CH384 (12 h)
10hcyclohexylCH3CH2CH385 (12 h)
10it-BuCH3CH3CH284 (6 h)
10jt-BuCH3CH2CH3CH279 (6 h)
10k1,1,3,3-tetramethylbutylCH3CH3CH281 (6 h)
10l1,1,3,3-tetramethylbutylCH3CH2CH3CH281 (6 h)
10mt-BuCH3CH3CH2CH284 (6 h)
10nt-BuCH3CH2CH3CH2CH285 (6 h)
10o1,1,3,3-tetramethylbutylCH3CH3CH2CH279 (6 h)
10p1,1,3,3-tetramethylbutylCH3CH2CH3CH2CH279 (6 h)
10qt-BuCH3C6H577 (6 h)
10rt-BuCH3CH2C6H580 (6 h)
10s1,1,3,3-tetramethylbutylCH3C6H576 (6 h)
10t1,1,3,3-tetramethylbutylCH3CH2C6H583 (6 h)
10ucyclohexylCH3C6H579 (12 h)
Table 2. Isolated yields and reaction times for preparation of 8, 13a–j, 19a–b and 20.
Table 2. Isolated yields and reaction times for preparation of 8, 13a–j, 19a–b and 20.
Molecules 26 05493 i002
CompoundR1R2R3YieldTime (h)
13aCH3CH3CH36712
13bPh-CH3HCH3586
13cPh-FHCH3486
13dPh-ClHCH3506
13eHHCH3CH26912
13fCH3HCH3CH27112
13gCH3CH3CH3CH27912
13hPh-FHCH3CH2516
13iPh-ClHCH3CH2526
13jHHt-Bu7012
19a CH38212
19b CH3CH28012
20 CH3CH28812
8 CH3CH28212
Table 3. Isolated yields of 13a–i from one-pot, three-component reaction.
Table 3. Isolated yields of 13a–i from one-pot, three-component reaction.
Molecules 26 05493 i003
CompoundXR1R2R3Yield (%)Time (h)
13aClCH3CH3CH38212
13bBrPh-CH3CH3CH3716
13cClPh-FCH3CH3706
13dBrPh-ClHCH37112
13eClHHCH3CH28312
13fClCH3HCH3CH29112
13gClCH3CH3CH3CH28612
13hClPh-FHCH3CH2866
13iBrPh-ClHCH3CH2846
Publisher’s Note: MDPI stays neutral with regard to jurisdictional claims in published maps and institutional affiliations.

Share and Cite

MDPI and ACS Style

Mohlala, R.L.; Coyanis, E.M.; Fish, M.Q.; Fernandes, M.A.; Bode, M.L. Synthesis of 6-Membered-Ring Fused Thiazine-Dicarboxylates and Thiazole-Pyrimidines via One-Pot Three-Component Reactions. Molecules 2021, 26, 5493. https://doi.org/10.3390/molecules26185493

AMA Style

Mohlala RL, Coyanis EM, Fish MQ, Fernandes MA, Bode ML. Synthesis of 6-Membered-Ring Fused Thiazine-Dicarboxylates and Thiazole-Pyrimidines via One-Pot Three-Component Reactions. Molecules. 2021; 26(18):5493. https://doi.org/10.3390/molecules26185493

Chicago/Turabian Style

Mohlala, Reagan L., Elena Mabel Coyanis, Muhammad Q. Fish, Manuel A. Fernandes, and Moira L. Bode. 2021. "Synthesis of 6-Membered-Ring Fused Thiazine-Dicarboxylates and Thiazole-Pyrimidines via One-Pot Three-Component Reactions" Molecules 26, no. 18: 5493. https://doi.org/10.3390/molecules26185493

APA Style

Mohlala, R. L., Coyanis, E. M., Fish, M. Q., Fernandes, M. A., & Bode, M. L. (2021). Synthesis of 6-Membered-Ring Fused Thiazine-Dicarboxylates and Thiazole-Pyrimidines via One-Pot Three-Component Reactions. Molecules, 26(18), 5493. https://doi.org/10.3390/molecules26185493

Article Metrics

Back to TopTop