Designing a Useful Lipid Raft Model Membrane for Electrochemical and Surface Analytical Studies
Abstract
1. Introduction
2. Results and Discussion
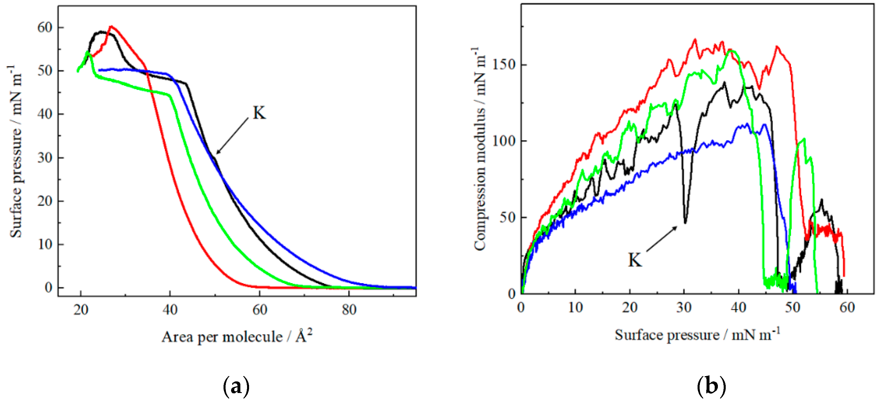
2.1. Langmuir Monolayer Studies
2.2. AC Voltammetry
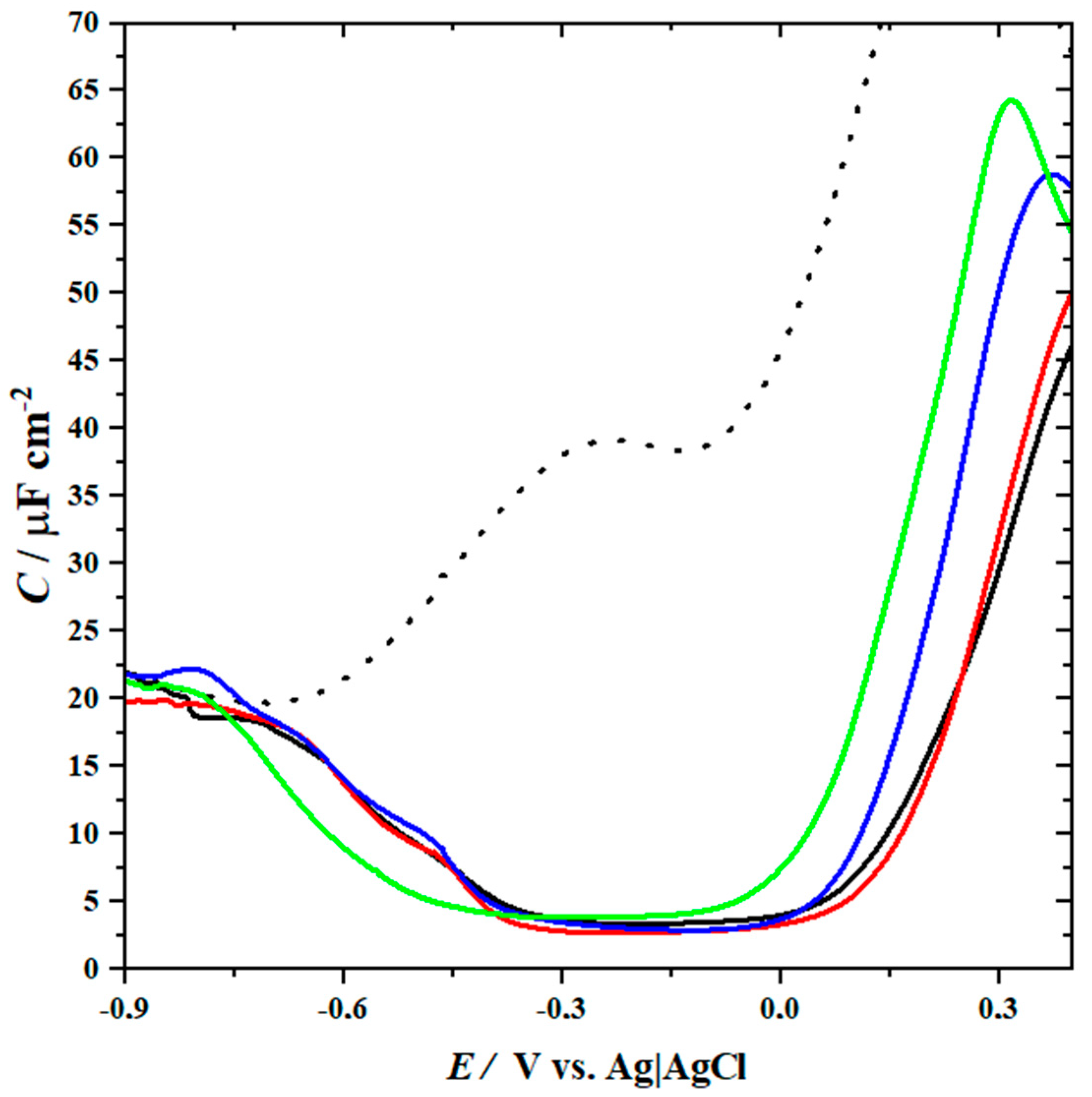
2.3. Electrochemical Impedance Spectroscopy
2.4. Atomic Force Microscopy
3. Materials and Methods
3.1. Materials
3.2. Methods
3.2.1. Langmuir Technique
3.2.2. Brewster Angle Microscopy (BAM)
3.2.3. Bilayer Transfer onto a Solid Support
3.2.4. AC Voltammetry (ACV)
3.2.5. Electrochemical Impedance Spectroscopy (EIS)
3.2.6. Atomic Force Microscopy (AFM)
4. Conclusions
Supplementary Materials
Author Contributions
Funding
Institutional Review Board Statement
Informed Consent Statement
Data Availability Statement
Acknowledgments
Conflicts of Interest
Sample Availability
References
- Simons, K.; Van Meer, G. Lipid Sorting in Epithelial Cells. Biochemistry 1988, 27, 6197–6202. [Google Scholar] [CrossRef]
- Simons, K.; Ikonen, E. Functional rafts in cell membranes. Nature 1997, 387, 569–572. [Google Scholar] [CrossRef] [PubMed]
- Abi-Rizk, G.; Besson, F. Interactions of Triton X-100 with sphingomyelin and phosphatidylcholine monolayers: Influence of the cholesterol content. Colloids Surf. B Biointerfaces 2008, 66, 163–167. [Google Scholar] [CrossRef]
- Pani, B.; Singh, B.B. Lipid rafts/caveolae as microdomains of calcium signaling. Cell Calcium 2009, 45, 625–633. [Google Scholar] [CrossRef] [PubMed]
- Pike, L.J. Lipid rafts: Bringing order to chaos. J. Lipid Res. 2003, 44, 655–667. [Google Scholar] [CrossRef] [PubMed]
- Sciences, M.L. Monitoring the distribution and dynamics of signaling microdomains in living cells with lipid-specific probes. Cell. Mol. Life Sci. 2007, 64, 2492–2504. [Google Scholar]
- Larive, R.M.; Baisamy, L.; Urbach, S.; Coopman, P.; Bettache, N. Cell membrane extensions, generated by mechanical constraint, are associated with a sustained lipid raft patching and an increased cell signaling. Biochim. Biophys. Acta-Biomembr. 2010, 1798, 389–400. [Google Scholar] [CrossRef]
- London, E. How principles of domain formation in model membranes may explain ambiguities concerning lipid raft formation in cells. Biochim. Biophys. Acta-Mol. Cell Res. 2005, 1746, 203–220. [Google Scholar] [CrossRef]
- Simons, K.; Gerl, M.J. Revitalizing membrane rafts: New tools and insights. Nat. Rev. Mol. Cell Biol. 2010, 11, 688–699. [Google Scholar] [CrossRef]
- Yasuda, T.; Kinoshita, M.; Murata, M.; Matsumori, N. Detailed comparison of deuterium quadrupole profiles between sphingomyelin and phosphatidylcholine bilayers. Biophys. J. 2014, 106, 631–638. [Google Scholar] [CrossRef]
- Milhas, D.; Clarke, C.J.; Hannun, Y.A. Sphingomyelin metabolism at the plasma membrane: Implications for bioactive sphingolipids. FEBS Lett. 2010, 584, 1887–1894. [Google Scholar] [CrossRef]
- Gupta, A.K.; Rudney, H. Plasma membrane sphingomyelin and the regulation of HMG-CoA reductase activity and cholesterol biosynthesis in cell cultures. J. Lipid Res. 1991, 32, 125–136. [Google Scholar] [CrossRef]
- De Almeida, R.F.M.; Fedorov, A.; Prieto, M. Sphingomyelin/phosphatidylcholine/cholesterol phase diagram: Boundaries and composition of lipid rafts. Biophys. J. 2003, 85, 2406–2416. [Google Scholar] [CrossRef]
- Dynarowicz-Łątka, P.; Hąc-Wydro, K. Interactions between phosphatidylcholines and cholesterol in monolayers at the air/water interface. Colloids Surfaces B Biointerfaces 2004, 37, 21–25. [Google Scholar] [CrossRef] [PubMed]
- Wydro, P. The magnitude of condensation induced by cholesterol on the mixtures of sphingomyelin with phosphatidylcholines-Study on ternary and quaternary systems. Colloids Surfaces B Biointerfaces 2011, 82, 594–601. [Google Scholar] [CrossRef]
- Golabek, M.; Jurak, M.; Holysz, L.; Chibowski, E. The energetic and topography changes of mixed lipid bilayers deposited on glass. Colloids Surfaces A Physicochem. Eng. Asp. 2011, 391, 150–157. [Google Scholar] [CrossRef]
- Jurak, M.; Golabek, M.; Holysz, L.; Chibowski, E. Properties of Langmuir and solid supported lipid films with sphingomyelin. Adv. Colloid Interface Sci. 2015, 222, 385–397. [Google Scholar] [CrossRef]
- Ziblat, R.; Leiserowitz, L.; Addadi, L. Crystalline lipid domains: Characterization by X-ray diffraction and their relation to biology. Angew. Chemie-Int. Ed. 2011, 50, 3620–3629. [Google Scholar] [CrossRef]
- Pike, L.J. Rafts defined: A report on the Keystone symposium on lipid rafts and cell function. J. Lipid Res. 2006, 47, 1597–1598. [Google Scholar] [CrossRef] [PubMed]
- Rosetti, C.M.; Mangiarotti, A.; Wilke, N. Sizes of lipid domains: What do we know from artificial lipid membranes? What are the possible shared features with membrane rafts in cells? Biochim. Biophys. Acta-Biomembr. 2017, 1859, 789–802. [Google Scholar] [CrossRef] [PubMed]
- Slotte, J.P. Sphingomyelin-Cholesterol interactions in biological and model membranes. Chem. Phys. Lipids 1999, 102, 13–27. [Google Scholar] [CrossRef]
- Wnętrzak, A.; Makyła-Juzak, K.; Chachaj-Brekiesz, A.; Lipiec, E.; Romeu, N.V.; Dynarowicz-Latka, P. Cyclosporin A distribution in cholesterol-sphingomyelin artificial membranes modeled as Langmuir monolayers. Colloids Surfaces B Biointerfaces 2018, 166, 286–294. [Google Scholar] [CrossRef] [PubMed]
- Róg, T.; Pasenkiewicz-Gierula, M.; Vattulainen, I.; Karttunen, M. Ordering effects of cholesterol and its analogues. Biochim. Biophys. Acta-Biomembr. 2009, 1788, 97–121. [Google Scholar] [CrossRef] [PubMed]
- Juhasz, J.; Davis, J.H.; Sharom, F.J. Fluorescent probe partitioning in giant unilamellar vesicles of “lipid raft” mixtures. Biochem. J. 2010, 430, 415–423. [Google Scholar] [CrossRef] [PubMed]
- Jaikishan, S.; Björkbom, A.; Slotte, J.P. Phosphatidyl alcohols: Effect of head group size on domain forming properties and interactions with sterols. Biochim. Biophys. Acta-Biomembr. 2010, 1798, 1615–1622. [Google Scholar] [CrossRef] [PubMed]
- Vázquez, R.F.; Daza Millone, M.A.; Pavinatto, F.J.; Fanani, M.L.; Oliveira, O.N.; Vela, M.E.; Maté, S.M. Impact of sphingomyelin acyl chain (16:0 vs. 24:1) on the interfacial properties of Langmuir monolayers: A PM-IRRAS study. Colloids Surfaces B Biointerfaces 2019, 173, 549–556. [Google Scholar] [CrossRef]
- Sakamoto, S.; Uto, T.; Shoyama, Y. Effect of glycyrrhetinic acid on lipid raft model at the air/water interface. Biochim. Biophys. Acta-Biomembr. 2015, 1848, 434–443. [Google Scholar] [CrossRef] [PubMed]
- Grzybek, M.; Kubiak, J.; Łach, A.; Przybyło, M.; Sikorski, A.F. A raft-associated species of phosphatidylethanolamine interacts with cholesterol comparably to sphingomyelin. A Langmuir-Blodgett monolayer study. PLoS ONE 2009, 4. [Google Scholar] [CrossRef]
- Sakamoto, S.; Nakahara, H.; Uto, T.; Shoyama, Y.; Shibata, O. Investigation of interfacial behavior of glycyrrhizin with a lipid raft model via a Langmuir monolayer study. Biochim. Biophys. Acta-Biomembr. 2013, 1828, 1271–1283. [Google Scholar] [CrossRef]
- Hou, X.; Mechler, A.; Martin, L.L.; Aguilar, M.I.; Small, D.H. Cholesterol and anionic phospholipids increase the binding of amyloidogenic transthyretin to lipid membranes. Biochim. Biophys. Acta-Biomembr. 2008, 1778, 198–205. [Google Scholar] [CrossRef]
- Allender, D.W.; Sodt, A.J.; Schick, M. Cholesterol-Dependent Bending Energy Is Important in Cholesterol Distribution of the Plasma Membrane. Biophys. J. 2019, 116, 2356–2366. [Google Scholar] [CrossRef]
- Pereira, A.R.; Fiamingo, A.; Pedro, R.D.O.; Campana-filho, S.P.; Miranda, P.B.; Oliveira, O.N. Colloids and Surfaces B: Biointerfaces Enhanced chitosan effects on cell membrane models made with lipid raft monolayers. Colloids Surfaces B Biointerfaces 2020, 193, 111017. [Google Scholar] [CrossRef]
- Ermilova, I.; Lyubartsev, A.P. Cholesterol in phospholipid bilayers: Positions and orientations inside membranes with different unsaturation degrees. Soft Matter 2019, 15, 78–93. [Google Scholar] [CrossRef] [PubMed]
- Kessel, A.; Ben-Tal, N.; May, S. Interactions of cholesterol with lipid bilayers: The preferred configuration and fluctuations. Biophys. J. 2001, 81, 643–658. [Google Scholar] [CrossRef]
- Fantini, J.; Garmy, N.; Mahfoud, R.; Yahi, N. Lipid rafts: Structure, function and role in HIV, Alzheimer’s and prion diseases. Expert Rev. Mol. Med. 2002, 4, 1–22. [Google Scholar] [CrossRef] [PubMed]
- Diociaiuti, M.; Giordani, C.; Kamel, G.S.; Brasili, F.; Sennato, S.; Bombelli, C.; Meneses, K.Y.; Giraldo, M.A.; Bordi, F. Monosialoganglioside-GM1 triggers binding of the amyloid-protein salmon calcitonin to a Langmuir membrane model mimicking the occurrence of lipid-rafts. Biochem. Biophys. Rep. 2016, 8, 365–375. [Google Scholar] [CrossRef] [PubMed][Green Version]
- Thakur, G.; Pao, C.; Micic, M.; Johnson, S.; Leblanc, R.M. Surface chemistry of lipid raft and amyloid Aβ (1-40) Langmuir monolayer. Colloids Surfaces B Biointerfaces 2011, 87, 369–377. [Google Scholar] [CrossRef] [PubMed]
- Wassall, S.R.; Leng, X.; Canner, S.W.; Pennington, E.R.; Kinnun, J.J.; Cavazos, A.T.; Dadoo, S.; Johnson, D.; Heberle, F.A.; Katsaras, J.; et al. Docosahexaenoic acid regulates the formation of lipid rafts: A unified view from experiment and simulation. Biochim. Biophys. Acta-Biomembr. 2018, 1860, 1985–1993. [Google Scholar] [CrossRef]
- Munro, S. Lipid Rafts: Elusive or Illusive? Cell 2003, 115, 377–388. [Google Scholar] [CrossRef]
- Dyett, B.P.; Yu, H.; Strachan, J.; Drummond, C.J.; Conn, C.E. Fusion dynamics of cubosome nanocarriers with model cell membranes. Nat. Commun. 2019, 10, 4492. [Google Scholar] [CrossRef] [PubMed]
- Yuan, C.; Furlong, J.; Burgos, P.; Johnston, L.J. The size of lipid rafts: An atomic force microscopy study of ganglioside GM1 domains in sphingomyelin/DOPC/cholesterol membranes. Biophys. J. 2002, 82, 2526–2535. [Google Scholar] [CrossRef]
- Orsini, F.; Cremona, A.; Arosio, P.; Corsetto, P.A.; Montorfano, G.; Lascialfari, A.; Rizzo, A.M. Atomic force microscopy imaging of lipid rafts of human breast cancer cells. Biochim. Biophys. Acta-Biomembr. 2012, 1818, 2943–2949. [Google Scholar] [CrossRef]
- Pike, L.J. The challenge of lipid rafts. J. Lipid Res. 2009, 50, 323–328. [Google Scholar] [CrossRef]
- Asanov, A.; Zepeda, A.; Vaca, L. A novel form of Total Internal Reflection Fluorescence Microscopy (LG-TIRFM) reveals different and independent lipid raft domains in living cells. Biochim. Biophys. Acta-Mol. Cell Biol. Lipids 2010, 1801, 147–155. [Google Scholar] [CrossRef] [PubMed]
- Wnętrzak, A.; Łątka, K.; Makyła-Juzak, K.; Zemla, J.; Dynarowicz-Łątka, P. The influence of an antitumor lipid—Erucylphosphocholine—On artificial lipid raft system modeled as Langmuir monolayer. Mol. Membr. Biol. 2015, 32, 189–197. [Google Scholar] [CrossRef]
- Ando, J.; Kinoshita, M.; Cui, J.; Yamakoshi, H.; Dodo, K.; Fujita, K.; Murata, M.; Sodeoka, M. Sphingomyelin distribution in lipid rafts of artificial monolayer membranes visualized by Raman microscopy. Proc. Natl. Acad. Sci. USA 2015, 112, 4558–4563. [Google Scholar] [CrossRef] [PubMed]
- Shaikh, S.R.; Dumaual, A.C.; Jenski, L.J.; Stillwell, W. Lipid phase separation in phospholipid bilayers and monolayers modeling the plasma membrane. Biochim. Biophys. Acta-Biomembr. 2001, 1512, 317–328. [Google Scholar] [CrossRef]
- Garg, S.; Tang, J.X.; Rühe, J.; Naumann, C.A. Actin-induced perturbation of PS lipid-cholesterol interaction: A possible mechanism of cytoskeleton-based regulation of membrane organization. J. Struct. Biol. 2009, 168, 11–20. [Google Scholar] [CrossRef] [PubMed]
- Marsh, D. Cholesterol-induced fluid membrane domains: A compendium of lipid-raft ternary phase diagrams. Biochim. Biophys. Acta-Biomembr. 2009, 1788, 2114–2123. [Google Scholar] [CrossRef]
- Fidalgo Rodriguez, J.L.; Caseli, L.; Minones Conde, J.; Dynarowicz-Latka, P. New look for an old molecule—Solid/solid phase transition in cholesterol monolayers. Chem. Phys. Lipids 2019, 225, 104819. [Google Scholar] [CrossRef]
- Stottrup, B.L.; Stevens, D.S.; Keller, S.L. Miscibility of ternary mixtures of phospholipids and cholesterol in monolayers, and application to bilayer systems. Biophys. J. 2005, 88, 269–276. [Google Scholar] [CrossRef]
- Więcek, A.; Dynarowicz-Łątka, P.; Minones, J., Jr.; Conde, O.; Casas, M. Interactions between an anticancer drug—edelfosine—and cholesterol in Langmuir monolayers. Thin Solid Films 2008, 516, 8829–8833. [Google Scholar] [CrossRef]
- Maté, S.M.; Vázquez, R.F.; Herlax, V.S.; Daza Millone, M.A.; Fanani, M.L.; Maggio, B.; Vela, M.E.; Bakás, L.S. Boundary region between coexisting lipid phases as initial binding sites for Escherichia coli alpha-hemolysin: A real-time study. Biochim. Biophys. Acta-Biomembr. 2014, 1838, 1832–1841. [Google Scholar] [CrossRef][Green Version]
- Feng, S.S. Interpretation of Mechanochemical Properties of Lipid Bilayer Vesicles from the Equation of State or Pressure-Area Measurement of the Monolayer at the Air-Water or Oil-Water Interface. Langmuir 1999, 15, 998–1010. [Google Scholar] [CrossRef]
- Miñones, J.; Pais, S.; Miñones, J.; Conde, O.; Dynarowicz-Łatka, P. Interactions between membrane sterols and phospholipids in model mammalian and fungi cellular membranes-A Langmuir monolayer study. Biophys. Chem. 2009, 140, 69–77. [Google Scholar] [CrossRef]
- Węder, K.; Mach, M.; Hąc-Wydro, K.; Wydro, P. Studies on the interactions of anticancer drug-Minerval-with membrane lipids in binary and ternary Langmuir monolayers. Biochim. Biophys. Acta-Biomembr. 2018, 1860, 2329–2336. [Google Scholar] [CrossRef] [PubMed]
- Liu, Q.; Luo, Q.; Halim, A.; Song, G. Targeting lipid metabolism of cancer cells: A promising therapeutic strategy for cancer. Cancer Lett. 2017, 401, 39–45. [Google Scholar] [CrossRef] [PubMed]
- Riedl, S.; Zweytick, D.; Lohner, K. Membrane-active host defense peptides-Challenges and perspectives for the development of novel anticancer drugs. Chem. Phys. Lipids 2011, 164, 766–781. [Google Scholar] [CrossRef]
- Janmey, P.A.; Kinnunen, P.K.J. Biophysical properties of lipids and dynamic membranes. Trends Cell Biol. 2006, 16, 538–546. [Google Scholar] [CrossRef]
- Nagle, J.F. Theory of lipid monolayer and bilayer phase transitions: Effect of headgroup interactions. J. Membr. Biol. 1976, 27, 233–250. [Google Scholar] [CrossRef] [PubMed]
- Marsh, D. Lateral pressure in membranes. Biochim. Biophys. Acta-Rev. Biomembr. 1996, 1286, 183–223. [Google Scholar] [CrossRef]
- Nieto-Suárez, M.; Vila-Romeu, N.; Dynarowicz-Łatka, P. Behavior of insulin-sphingomyelin mixed Langmuir monolayers spread at the air-water interface. Colloids Surfaces A Physicochem. Eng. Asp. 2008, 321, 189–195. [Google Scholar] [CrossRef]
- Cheng, K.; Ropers, M.H.; Lopez, C. The miscibility of milk sphingomyelin and cholesterol is affected by temperature and surface pressure in mixed Langmuir monolayers. Food Chem. 2017, 224, 114–123. [Google Scholar] [CrossRef]
- Qiao, L.; Ge, A.; Osawa, M.; Ye, S. Structure and stability studies of mixed monolayers of saturated and unsaturated phospholipids under low-level ozone. Phys. Chem. Chem. Phys. 2013, 15, 17775–17785. [Google Scholar] [CrossRef] [PubMed]
- Mrdenovic, D.; Su, Z.; Kutner, W.; Lipkowski, J.; Pieta, P. Alzheimer’s disease-related amyloid β peptide causes structural disordering of lipids and changes the electric properties of a floating bilayer lipid membrane. Nanoscale Adv. 2020, 2, 3467–3480. [Google Scholar] [CrossRef]
- Madrid, E.; Horswell, S.L. The electrochemical phase behaviour of chemically asymmetric lipid bilayers supported at Au (111) electrodes. J. Electroanal. Chem. 2018, 819, 338–346. [Google Scholar] [CrossRef]
- Su, Z.; Leitch, J.; Lipkowski, J. Measurements of the potentials of zero free charge and zero total charge for 1-thio-β-D-glucose and DPTL modified Au(111) surface in different electrolyte solutions. Z. Phys. Chem. 2012, 226, 995–1009. [Google Scholar] [CrossRef]
- Hamm, U.W.; Kramer, D.; Zhai, R.S.; Kolb, D.M. The pzc of Au(111) and Pt(111) in a perchloric acid solution: An ex situ approach to the immersion technique. J. Electroanal. Chem. 1996, 414, 85–89. [Google Scholar] [CrossRef]
- Guidelli, R.; Aloisi, G.; Becucci, L.; Dolfi, A.; Moncelli, M.R.; Buoninsegni, F.T. Bioelectrochemistry at metal water interfaces. J. Electroanal. Chem. 2001, 504, 1–28. [Google Scholar] [CrossRef]
- Burgess, I.; Li, M.; Horswell, S.L.; Szymanski, G.; Lipkowski, J.; Majewski, J.; Satija, S. Electric Field-Driven Transformations of a Supported Model Biological Membrane-An Electrochemical and Neutron Reflectivity Study. Biophys. J. 2004, 86, 1763–1776. [Google Scholar] [CrossRef]
- Dziubak, D.; Strzelak, K.; Sek, S. Electrochemical Properties of Lipid Membranes Self-Assembled from Bicelles. Membranes 2020, 11, 11. [Google Scholar] [CrossRef]
- Valincius, G.; Mickevicius, M. Tethered Phospholipid Bilayer Membranes. An Interpretation of the Electrochemical Impedance Response. In Advances in Planar Lipid Bilayers and Liposomes, 1st ed.; Elsevier Inc.: Amsterdam, The Netherlands, 2015; Volume 21. [Google Scholar]
- Yang, S.T.; Kreutzberger, A.J.B.; Lee, J.; Kiessling, V.; Tamm, L.K. The role of cholesterol in membrane fusion. Chem. Phys. Lipids 2016, 199, 136–143. [Google Scholar] [CrossRef] [PubMed]
- Marquês, J.T.; De Almeida, R.F.M.; Viana, A.S. Lipid bilayers supported on bare and modified gold-Formation, characterization and relevance of lipid rafts. Electrochim. Acta 2014, 126, 139–150. [Google Scholar] [CrossRef]
- Konarzewska, D.; Juhaniewicz, J.; Güzeloğlu, A.; Sęk, S. Characterization of planar biomimetic lipid films composed of phosphatidylethanolamines and phosphatidylglycerols from Escherichia coli. Biochim. Biophys. Acta-Biomembr. 2017, 1859, 475–483. [Google Scholar] [CrossRef] [PubMed]
- Juhaniewicz, J.; Szyk-Warszyńska, L.; Warszyński, P.; Sek, S. Interaction of Cecropin B with Zwitterionic and Negatively Charged Lipid Bilayers Immobilized at Gold Electrode Surface. Electrochim. Acta 2016, 204, 206–217. [Google Scholar] [CrossRef]
- Juhaniewicz, J.; Sek, S. Atomic force microscopy and electrochemical studies of melittin action on lipid bilayers supported on gold electrodes. Electrochim. Acta 2015, 162, 53–61. [Google Scholar] [CrossRef]
- Lawrence, J.C.; Saslowsky, D.E.; Edwardson, J.M.; Henderson, R.M. Real-time analysis of the effects of cholesterol on lipid raft behavior using atomic force microscopy. Biophys. J. 2003, 84, 1827–1832. [Google Scholar] [CrossRef]
- Milhiet, P.E.; Giocondi, M.C.; Le Grimellec, C. AFM imaging of lipid domains in model membranes. ScientificWorldJournal. 2003, 3, 59–74. [Google Scholar] [CrossRef] [PubMed]
- Bach, D.; Wachtel, E. Phospholipid/cholesterol model membranes: Formation of cholesterol crystallites. Biochim. Biophys. Acta-Biomembr. 2003, 1610, 187–197. [Google Scholar] [CrossRef]
- Stachura, S.S.; Malajczuk, C.J.; Kuprusevicius, E.; Mancera, R.L. Influence of Bilayer Size and Number in Multi-Bilayer DOPC Simulations at Full and Low Hydration. Langmuir 2019, 35, 2399–2411. [Google Scholar] [CrossRef] [PubMed]
- Pompeo, G.; Girasole, M.; Cricenti, A.; Cattaruzza, F.; Flamini, A.; Prosperi, T.; Generosi, J.; Congiu Castellano, A. AFM characterization of solid-supported lipid multilayers prepared by spin-coating. Biochim. Biophys. Acta-Biomembr. 2005, 1712, 29–36. [Google Scholar] [CrossRef] [PubMed]
- Leonenko, Z.V.; Finot, E.; Ma, H.; Dahms, T.E.S.; Cramb, D.T. Investigation of temperature-induced phase transitions in DOPC and DPPC phospholipid bilayers using temperature-controlled scanning force microscopy. Biophys. J. 2004, 86, 3783–3793. [Google Scholar] [CrossRef] [PubMed]
- Gaines, G.L., Jr. Insoluble Monolayers at Liquid-Gas Interfaces; Interscience: New York, NY, USA, 1966. [Google Scholar]
- Harkins, W.D. The Physical Chemistry of Surface Films; Reinhold: New York, NY, USA, 1952. [Google Scholar]
- Eeman, M.; Deleu, M. From biological membranes to biomimetic model membranes. Biotechnol. Agron. Soc. Environ. 2010, 14, 719–736. [Google Scholar]
- Garcia-Araez, N.; Brosseau, C.L.; Rodriguez, P.; Lipkowski, J. Layer-by-layer PMIRRAS characterization of DMPC bilayers deposited on a Au(111) electrode surface. Langmuir 2006, 22, 10365–10371. [Google Scholar] [CrossRef]
- Juhaniewicz-Dȩbińska, J.; Dziubak, D.; Sȩk, S. Physicochemical Characterization of Daptomycin Interaction with Negatively Charged Lipid Membranes. Langmuir 2020, 36, 5324–5335. [Google Scholar] [CrossRef] [PubMed]
- Su, Z.F.; Jay Leitch, J.; Abbasi, F.; Faragher, R.J.; Schwan, A.L.; Lipkowski, J. EIS and PM-IRRAS studies of alamethicin ion channels in a tethered lipid bilayer. J. Electroanal. Chem. 2018, 812, 213–220. [Google Scholar] [CrossRef]
- Valincius, G.; Meškauskas, T.; Ivanauskas, F. Electrochemical impedance spectroscopy of tethered bilayer membranes. Langmuir 2012, 28, 977–990. [Google Scholar] [CrossRef]









| Rm (kΩ cm2) | Qsp (µF cm−2 sα−1) | αQsp | Qm (µF cm−2 sα−1) | αm | |
|---|---|---|---|---|---|
| DOPC:Chol:SM 2:1:1 | 1467 ± 95 | 4.73 ± 0.48 | 0.77 | 6.78 ± 0.41 | 0.94 |
| DOPC:Chol:SM 1:2:1 | 1526 ± 105 | 5.01 ± 0.22 | 0.79 | 6.73 ± 0.57 | 0.96 |
| DOPC:Chol:SM 1:1:2 | 958 ± 285 | 5.22 ± 1.21 | 0.78 | 3.93 ± 0.69 | 0.94 |
| DOPC:Chol:SM 1:1:1 | 1096 ± 263 | 3.08 ± 1.45 | 0.65 | 1.73 ± 0.42 | 0.97 |
Publisher’s Note: MDPI stays neutral with regard to jurisdictional claims in published maps and institutional affiliations. |
© 2021 by the authors. Licensee MDPI, Basel, Switzerland. This article is an open access article distributed under the terms and conditions of the Creative Commons Attribution (CC BY) license (https://creativecommons.org/licenses/by/4.0/).
Share and Cite
Zaborowska, M.; Dziubak, D.; Matyszewska, D.; Sek, S.; Bilewicz, R. Designing a Useful Lipid Raft Model Membrane for Electrochemical and Surface Analytical Studies. Molecules 2021, 26, 5483. https://doi.org/10.3390/molecules26185483
Zaborowska M, Dziubak D, Matyszewska D, Sek S, Bilewicz R. Designing a Useful Lipid Raft Model Membrane for Electrochemical and Surface Analytical Studies. Molecules. 2021; 26(18):5483. https://doi.org/10.3390/molecules26185483
Chicago/Turabian StyleZaborowska, Michalina, Damian Dziubak, Dorota Matyszewska, Slawomir Sek, and Renata Bilewicz. 2021. "Designing a Useful Lipid Raft Model Membrane for Electrochemical and Surface Analytical Studies" Molecules 26, no. 18: 5483. https://doi.org/10.3390/molecules26185483
APA StyleZaborowska, M., Dziubak, D., Matyszewska, D., Sek, S., & Bilewicz, R. (2021). Designing a Useful Lipid Raft Model Membrane for Electrochemical and Surface Analytical Studies. Molecules, 26(18), 5483. https://doi.org/10.3390/molecules26185483

