Synthesis, Characterization, and Biological Evaluation of Some Novel Pyrazolo[5,1-b]thiazole Derivatives as Potential Antimicrobial and Anticancer Agents
Abstract
1. Introduction
2. Results
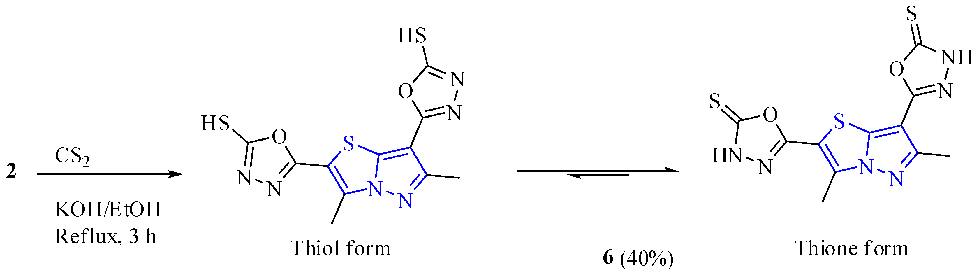
2.1. Chemistry
2.2. Biological Activity Evaluation
2.2.1. Anticancer Screening of the Synthesized Compounds
2.2.2. The in Vitro Antimicrobial Assessments
- All the tested compounds except compound 7 showed excellent activity against Aspergillus fumigatus. Compounds 4 and 6 were especially effective.
- All tested compounds except compound 8 showed high antifungal activity against Candida albicans.
- Compounds 3b, 7, and 8 were found to be more active against Staphylococcus aureus than against Bacillus subtilis.
- The best antibacterial activity was observed for compounds 4 and 6: their inhibitory effect appears to be equipotent to Gentamycin against Salmonella SP and Escherichia coli.
3. Materials and Methods
3.1. Chemistry
3.1.1. Materials and Equipment
3.1.2. Synthesis of 3,6-Dimethylpyrazolo[5,1-b]thiazole-2,7-dicarbohydrazide (2)
3.1.3. Synthesis of Hydrazones 3a,b
3.1.4. Synthesis of O-Ethyl N-phenylcarbamothioate (4)
3.1.5. Synthesis of Bis(1,3,4-oxadiazole) 6
3.1.6. Synthesis of Bis(pyrazole) Derivative 7
3.1.7. Synthesis 3,6-Dimethylpyrazolo[5,1-b]thiazole-2,7-dicarbonyl Azide (8)
3.1.8. Synthesis of Bis(1,2,3-triazole) Derivatives 9,10
3.2. Biological Tests
3.2.1. Evaluation of Antitumor Activity
3.2.2. Antimicrobial Evaluation
4. Conclusions
Supplementary Materials
Author Contributions
Funding
Institutional Review Board Statement
Informed Consent Statement
Data Availability Statement
Acknowledgments
Conflicts of Interest
Sample Availability
References
- Ventola, C.L. The antibiotic resistance crisis: Part 1: Causes and threats. Pharm. Ther. 2015, 40, 277–283. [Google Scholar]
- Chandrakantha, B.; Shetty, P.; Nambiyar, V.; Isloor, N.; Isloor, A.M. Synthesis, characterization and biological activity of some new 1,3,4-oxadiazole bearing 2-fluoro-4-methoxy phenyl moiety. Eur. J. Med. Chem. 2010, 45, 1206–1210. [Google Scholar] [CrossRef]
- Vijesh, A.M.; Isloor, A.M.; Shetty, P.; Sundershan, S.; Fun, H.K. New pyrazole derivatives containing 1,2,4-triazoles and benzoxazoles as potent antimicrobial and analgesic agents. Eur. J. Med. Chem. 2013, 62, 410–415. [Google Scholar] [CrossRef]
- Farooqi, S.I.; Arshad, N.; Channar, P.A.; Perveen, F.; Saeed, A.; Larik, F.A.; Javeed, A. Synthesis, theoretical, spectroscopic and electrochemical DNA binding investigations of 1,3,4-thiadiazole derivatives of ibuprofen and ciprofloxacin: Cancer cell line studies. J. Photochem. Photobiol. 2018, 189, 104–118. [Google Scholar] [CrossRef] [PubMed]
- Nagai, H.; Kim, Y. Cancer prevention from the perspective of global cancer burden patterns. J. Thorac. Dis. 2017, 9, 448–451. [Google Scholar] [CrossRef]
- Molina, J.R.; Yang, P.; Cassivi, S.D.; Schild, S.E.; Adjei, A.A. Non-small cell lung cancer: Epidemiology, risk factors, treatment, and survivorship. Mayo Clin. Proc. 2008, 83, 584–594. [Google Scholar] [CrossRef]
- Bhatt, P.; Kumar, M.; Jha, A. Design, Synthesis and Anticancer Evaluation of Oxa/Thiadiazolylhydrazones of Barbituric and Thiobarbituric Acid: A Collective In Vitro and In Silico Approach. Chem. Select. 2018, 3, 7060–7065. [Google Scholar] [CrossRef]
- Rashid, M.; Husain, A.; Mishra, R.; Karim, S.; Khan, S.; Ahmad, M.; Khan, S.A. Design and synthesis of benzimidazoles containing substituted oxadiazole, thiadiazole and triazolo-thiadiazines as a source of new anticancer agents. Arab. J. Chem. 2015, 12, 3202–3224. [Google Scholar] [CrossRef]
- Carter, J.S.; Kramer, S.; Talley, J.J.; Penning, T.; Collins, P.; Graneto, M.J.; Seibert, K.; Koboldt, C.; Masferrer, J.; Zweifel, B. Synthesis and activity of sulfonamide-substituted 4,5-diaryl thiazoles as selective cyclooxygenase-2 inhibitors. Bioorg. Med. Chem. Lett. 1999, 9, 1171–1174. [Google Scholar] [CrossRef]
- Hargrave, K.D.; Hess, F.K.; Oliver, J.T. N-(4-substituted-thiazolyl)oxamic acid derivatives, a new series of potent, orally active antiallergy agents. J. Med. Chem. 1983, 26, 1158–1163. [Google Scholar] [CrossRef] [PubMed]
- Bondock, S.; Khalifa, W.; Fadda, A.A. Synthesis and antimicrobial evaluation of some new thiazole, thiazolidinone and thiazoline derivatives starting from 1-chloro-3,4-dihydronaphthalene-2-carboxaldehyde. Eur. J. Med. Chem. 2007, 42, 948–954. [Google Scholar] [CrossRef] [PubMed]
- Patt, W.C.; Hamilton, H.W.; Taylor, M.D.; Ryan, M.J.; Taylor, D.G., Jr.; Connolly, C.J.C.; Doherty, A.M.; Klutchko, S.R.; Sircar, I.; Steinbaugh, B.A.; et al. Structure-activity relationships of a Series of 2-Amino-4-thiazole Containing Renin Inhibitors. J. Med. Chem. 1992, 35, 2562–2572. [Google Scholar] [CrossRef]
- Sharma, P.K.; Sawhney, S.N.; Gupta, A.; Singh, G.B.; Bani, S. Synthesis and antiinflammatory activity of some 3-(2-thiazolyl)-1,2-benzisothiazoles. Indian J. Chem. 1998, 37B, 376–381. [Google Scholar]
- Jaen, J.C.; Wise, L.D.; Caprathe, B.W.; Tecle, H.; Bergmeier, S.; Humblet, C.C.; Heffner, T.G.; Meltzner, L.T.; Pugsley, T.A. 4-(1,2,5,6-Tetrahydro-1-alkyl-3-pyridinyl)-2-thiazolamines: A novel class of compounds with central dopamine agonist properties. J. Med. Chem. 1990, 33, 311–317. [Google Scholar] [CrossRef]
- Ergenc, N.; Capan, G.; Gunay, N.S.; Ozkirimli, S.; Gungor, M.; Ozbey, S.; Kendi, E. Synthesis and hypnotic activity of new 4-thiazolidinone and 2-thioxo-4,5-imidazolidinedione derivatives. Arch. Pharm. Pharm. Med. Chem. 1999, 332, 343–347. [Google Scholar] [CrossRef]
- Tsuji, K.; Ishikawa, H. Synthesis and anti-pseudomonal activity of new 2-isocephems with a dihydroxypyridone moiety at C-7. Bioorg. Med. Chem. Lett. 1994, 4, 1601–1606. [Google Scholar] [CrossRef]
- Bell, F.W.; Cantrell, A.S.; Hogberg, M.; Jaskunas, S.R.; Johansson, N.G.; Jordon, C.L.; Kinnick, M.D.; Lind, P.; Morin, J.M., Jr.; Noreen, R.; et al. Phenethylthiazolethiourea (PETT) Compounds, a New Class of HIV-1 Reverse Transcriptase Inhibitors. 1. Synthesis and Basic Structure-Activity Relationship Studies of PETT Analogs. J. Med. Chem. 1995, 38, 4929–4936. [Google Scholar] [CrossRef] [PubMed]
- Sharma, P.C.; Bansal, K.K.; Sharma, A.; Sharma, D.; Deep, A. Thiazole-containing compounds as therapeutic targets for cancer therapy. Eur. J. Med. Chem. 2020, 188, 112016. [Google Scholar] [CrossRef] [PubMed]
- Isloor, A.M.; Kalluraya, B.; Shetty, P. Regioselective reaction: Synthesis, characterization and pharmacological studies of some new Mannich bases derived from 1,2,4-triazoles. Eur. J. Med. Chem. 2009, 44, 3784–3787. [Google Scholar] [CrossRef]
- Isloor, A.M.; Kalluraya, B.; Rao, M. Sydnone derivatives: Part IV; synthesis of 3-aryl-4-(substituted pyrazolidene hydrazine-4-thiazolyl) sydnones as possible analgesic and anticonvulsant agents. J. Saudi Chem. Soc. 2000, 4, 265–270. [Google Scholar]
- Kalluraya, B.; Isloor, A.M.; Shenoy, S. Synthesis and biological activity of 6-substituted-3-[4-(3-substituted pyrazolidene) hydrazino-4-thiazolyl] coumarins. Indian J. Heterocycl. Chem. 2001, 11, 159–162. [Google Scholar]
- Sunil, D.; Isloor, A.M.; Shetty, P. Synthesis, characterization and anticancer activity of 1,2,4-Triazolo [3,4-b]-1,3,4-thiadiazoles on Hep G2 cell lines. Der. Pharma Chem. 2009, 1, 19–26. [Google Scholar]
- Canonico, P.G.; Jahrling, P.B.; Pannier, W.L. Antiviral efficacy of pyrazofurin against selected RNA viruses. Antivir. Res. 1982, 2, 331–337. [Google Scholar] [CrossRef]
- Westhead, J.E.; Price, H.D. Quantitative assay of pyrazofurin a new antiviral, antitumor antibiotic. Antimicrob. Agents Chemother. 1974, 5, 90–91. [Google Scholar] [CrossRef][Green Version]
- Ardiansah, B.A.Y.U. Recent reports on pyrazole-based bioactive compounds as candidate for anticancer agents. Asian J. Pharm. Clin. Res. 2017, 12, 45. [Google Scholar] [CrossRef]
- Pulici, M.; Marchionni, C.; Piutti, C.; Gasparri, F. Bicyclic pyrazoles as protein kinase inhibitors. WO 2010070060 (2010). Chem. Abstr. 2010, 153, 87782. [Google Scholar]
- Desai, N.; Trivedi, A.; Pandit, U.; Dodiya, A.; Rao, V.K.; Desai, P. Hybrid Bioactive Heterocycles as Potential Antimicrobial Agents: A Review. Mini Rev. Med. Chem. 2016, 16, 1500–1526. [Google Scholar] [CrossRef]
- Mahajan, N.S.; Pattana, S.R.; Jadhav, R.L.; Pimpodhar, N.V.; Manikrao, A.M. Synthesis of some thiazole compounds of biological interest containing mercapta group. Int. J. Chem. Sci. 2008, 6, 800–806. [Google Scholar]
- Rizk, H.; El-Borai, M.A.; Ragab, A.; Ibrahim, S.A. Design, synthesis, biological evaluation and molecular docking study based on novel fused pyrazolothiazole scaffold. J. Iran. Chem. Soc. 2020, 17, 2493–2505. [Google Scholar] [CrossRef]
- Chandanshive, J.Z.; Bonini, B.F.; Tiznado, W.; Escobar, C.A.; Caballero, J.; Femoni, C.; Fochi, M.; Franchini, M.C. 1,3-Dipolar Cycloaddition of Nitrile Imines with Cyclic α-β-Unsaturated Ketones: A Regiochemical Route to Ring-Fused Pyrazoles. Eur. J. Org. Chem. 2011, 25, 4806–4813. [Google Scholar] [CrossRef]
- Abdel-Wahab, B.F.; Mohamed, H.A. Pyrazolothiazoles: Synthesis and Applications. Phosphorus Sulfur Silicon Relat. Elem. 2013, 188, 1680–1693. [Google Scholar] [CrossRef]
- Takahashi, Y.; Hashizume, M.; Shin, K.; Terauchi, T.; Takeda, K.; Hibi, S.; Murata-Tai, K.; Fujisawa, M.; Shikata, K.; Taguchi, R.; et al. Design, synthesis, and structure-activity relationships of novel pyrazolo[5,1-b]thiazole derivatives as potent and orally active corticotropin-releasing factor 1 receptor antagonists. J. Med. Chem. 2012, 55, 8450–8463. [Google Scholar] [CrossRef]
- Lu, X.; Tang, J.; Liu, Z.; Li, M.; Zhang, T.; Zhang, X.; Ding, K. Discovery of new chemical entities as potential leads against Mycobacterium tuberculosis. Bioorg. Med. Chem. Lett. 2016, 26, 5916–5919. [Google Scholar] [CrossRef]
- Rollas, S.; Gulerman, N.; Erdeniz, H. Synthesis and antimicrobial activity of some new hydrazones of 4-fluorobenzoic acid hydrazide and 3-acetyl-2,5-disubstituted-1,3,4-oxadiazolines. Farmaco 2002, 57, 171–174. [Google Scholar] [CrossRef]
- Pavan, F.R.; Maia, P.I.D.S.; Leite, S.R.; Deflon, V.M.; Batista, A.A.; Sato, D.N.; Leite, C.Q. Thiosemicarbazones, semicarbazones, dithiocarbazates and hydrazide/hydrazones: Anti-Mycobacterium tuberculosis activity and cytotoxicity. Eur. J. Med. Chem. 2010, 45, 1898–1905. [Google Scholar] [CrossRef]
- Marastoni, M.; Baldisserotto, A.; Trapella, C.; McDonald, J.; Bortolotti, F.; Tomatis, R. HIV protease inhibitors: Synthesis and activity of N-aryl-N’-hydroxyalkyl hydrazide pseudopeptides. Eur. J. Med. Chem. 2005, 5, 445–451. [Google Scholar] [CrossRef] [PubMed]
- Tabanca, N.; Ali, A.; Bernier, U.R.; Khan, I.A.; Kocyigit-Kaymakcioglu, B.; Oruç-Emre, E.E.; Unsalan, S.; Rollas, S. Biting deterrence and insecticidal activity of hydrazide-hydrazones and their corresponding 3-acetyl-2,5-disubstituted2,3-dihydro-1,3,4-oxadiazoles against Aedes aegypti. Pest. Manag. Sci. 2013, 69, 703–708. [Google Scholar] [CrossRef]
- Turan-Zitouni, G.; Altıntop, M.D.; Özdemir, A.; Demirci, F.; Mohsen, U.A.; Kaplancıklı, Z.A. Synthesis and antifungal activity of new hydrazide derivatives. J. Enzyme Inhib. Med. Chem. 2013, 28, 1211–1216. [Google Scholar] [CrossRef]
- Vardanyan, R.S.; Hruby, V.J. Antidepressants. In Synthesis of Essential Drugs; Elsevier: Amsterdam, The Netherlands, 2006; pp. 103–116. [Google Scholar]
- Patole, J.; Sandbhor, U.; Padhye, S.; Deobagkar, D.N.; Ansonc, C.E.; Powell, A. Structural chemistry and in vitro antitubercular activity of acetylpyridine benzoyl hydrazone and its copper complex against Mycobacterium smegmatis. Bioorg. Med. Chem. Lett. 2004, 13, 51–55. [Google Scholar] [CrossRef]
- Maccari, R.; Ottana, R.; Vigorita, M.G. In vitro advanced antimycobacterial screening of isoniazid-related hydrazones, hydrazides and cyanoboranes: Part 14. Bioorg. Med. Chem. Lett. 2005, 15, 2509–2513. [Google Scholar] [CrossRef]
- Bottari, B.; Maccari, R.; Monforte, F.; Ottana, R.; Vigorita, M.G.; Bruno, G.; Nicolo, F.; Rotondo, A.; Rotondo, E. Nickel(II) 2,6-diacetylpyridine bis(isonicotinoylhydrazonate) and bis(benzoylhydrazonate) complexes: Structure and antimycobacterial evaluation. Part XI. Bioorg. Med. Chem. 2001, 9, 2203–2211. [Google Scholar] [CrossRef]
- Al-Ajely, M.S.; Yaseen, A.N. Synthesis and Characterization of Some New Hydrazides and Their Derivatives. Ibn AL-Haitham J. For. Pure Appl. Sci. 2017, 28, 103–112. [Google Scholar]
- Elshaarawy, R.F.; Janiak, C. 2-Thiophenecarbohydrazides: A novel efficient method for the synthesis of 2-thiophenecarbohydrazide. Z. Nat. B 2011, 66, 1202–1208. [Google Scholar]
- Khodair, A.I.; Ahmed, A.; Emam, D.R.; Kheder, N.A.; Elmalki, F.; Hadda, T.B. Synthesis, Antiviral, DFT and Molecular Docking Studies of Some Novel 1,2,4-Triazine Nucleosides as Potential Bioactive Compounds. Carbohydr. Res. 2021, 500, 108246. [Google Scholar] [CrossRef] [PubMed]
- Gomha, S.M.; Edrees, M.M.; Muhammad, Z.A.; Kheder, N.A.; Abu- Melha, S.; Saad, A.M. Synthesis, Characterization, and Antimicrobial Evaluation of Some New 1,4-Dihydropyridines-1,2,4-Triazole Hybrid Compounds. Polycycl. Aromat. Compd. 2020. [Google Scholar] [CrossRef]
- Hadda, T.B.; Deniz, F.S.S.; Orhan, I.E.; Zgou, H.; Rauf, A.; Mabkhot, Y.N.; Bennani, B.; Emam, D.R.; Kheder, N.A.; Asayari, A.; et al. Spiro Heterocyclic Compounds as Potential Anti-Alzheimer agents (Part 2): Their Metal Chelation Capacity, POM Analyses and DFT Studies. Med. Chem. 2021, 17. [Google Scholar] [CrossRef]
- Mabkhot, Y.; Algarni, H.; Alsayari, A.; bin Muhsinah, A.; Kheder, N.A.; Almarhoon, Z.; Al-Aizari, F. Synthesis, X-ray Analysis, Biological Evaluation and Molecular Docking Study of New Thiazoline Derivatives. Molecules 2019, 24, 1654. [Google Scholar] [CrossRef]
- Mabkhot, Y.; Alharbi, M.; Al-Showiman, S.; Soliman, S.; Kheder, N.A.; Frey, W.; Asayari, A.; Bin Muhsinah, A.; Algarni, H. A novel synthesis, X-ray analysis and computational studies of (Z)-ethyl 2-((Z)-5-((dimethylamino)methylene)-4-oxo-3-phenylthiazolidin-2-ylidene)acetate as a potential anticancer agent. BMC Chem. 2019, 13, 35. [Google Scholar] [CrossRef]
- Abu-Melha, S.; Edrees, M.M.; Salem, H.H.; Kheder, N.A.; Gomha, S.M.; Abdelaziz, M.R. Synthesis and biological evaluation of some novel thiazole-based heterocycles as potential anticancer and antimicrobial agents. Molecules 2019, 24, 539. [Google Scholar] [CrossRef] [PubMed]
- Al-aizari, F.A. Synthesis of Some Thioxothiazole Derivatives and Evaluation of their Biological Activity. Ph.D. Thesis, King Saud University, Riyadh, Saudi Arabia, 2017. [Google Scholar]
- Sahoo, S.K.; Chakraborty, S.; Patel, B.K. A one-pot conversion of di-substituted thiourea to O-organyl arylthiocarbamate using FeCl3. J. Sulphur Chem. 2012, 33, 143–153. [Google Scholar] [CrossRef]
- Horning, D.E.; Muchowski, J.M. Five-membered Heterocyclic Thiones. Part I. 1,3,4-Oxadiazole-2-thione. Can. J. Chem. 1972, 50, 3079–3082. [Google Scholar] [CrossRef]
- Tomi, I.H.; Al-Qaisi, A.H.; Al-Qaisi, Z.H. Synthesis, characterization and effect of bis-1,3,4-oxadiazole rings containing glycine moiety on the activity of some transferase enzymes. J. King Saud Univ. Sci. 2011, 23, 23–33. [Google Scholar] [CrossRef]
- Thurston, D.E.; Pysz, I. Chemistry and Pharmacology of Anticancer Drugs, 2nd ed.; CRC Press: Boca Raton, FL, USA, 2021. [Google Scholar] [CrossRef]
- Ramachary, D.B.; Gujral, J.; Peraka, S.; Reddy, G.S. Triazabicyclodecene as an Organocatalyst for the Regiospecific Synthesis of 1,4,5-Trisubstituted N-Vinyl-1,2,3-triazoles. Eur. J. Org. Chem. 2017, 3, 459–464. [Google Scholar] [CrossRef]
- Mosmann, T. Rapid colorimetric assay for cellular growth and survival: Application to proliferation and cytotoxicity assays. J. Immunol. Methods 1983, 65, 55–63. [Google Scholar] [CrossRef]
- Glomb, T.; Szymankiewicz, K.; Świątek, P. Anti-cancer activity of derivatives of 1,3,4-oxadiazole. Molecules 2018, 23, 3361. [Google Scholar] [CrossRef]
- Fu, D.J.; Fu, L.; Liu, Y.C.; Wang, J.W.; Wang, Y.Q.; Han, B.K.; Li, X.R.; Zhang, C.; Li, F.; Song, J.; et al. Structure-activity relationship studies of β-lactam-azide analogues as orally active antitumor agents targeting the tubulin colchicine site. Sci. Rep. 2017, 7, 12788. [Google Scholar] [CrossRef]
- Ghorab, M.M.; Alsaid, M.S.; El-Gaby, M.S.; Safwat, N.A.; Elaasser, M.M.; Soliman, A.M. Biological evaluation of some new N-(2,6-dimethoxypyrimidinyl)thioureido benzenesulfonamide derivatives as potential antimicrobial and anticancer agents. Eur. J. Med. Chem. 2016, 124, 299–310. [Google Scholar] [CrossRef] [PubMed]
- Petranyi, G.; Ryer, N.S.; Stutz, A. Allylamine derivatives: New class of synthetic antifungal agents inhibiting fungal squalene epoxidase. Science 1984, 224, 1239–1241. [Google Scholar] [CrossRef]
- Ryder, N.S.; Dupont, M.C. Inhibition of squalene epoxidasc by allylamine antimycotic compounds. A comparative study of the fungal and mammalian enzymes. Biocbem. J. 1985, 230, 765–770. [Google Scholar]
- Ryder, N.S.; Frank, I.; Dupont, M.C. Ergosterol biosynthesis inhibition by the thiocarbamate antifungal agents tolnaftate and tolciclate. Antimicrob. Agents Cbemotber. 1986, 29, 858–860. [Google Scholar] [CrossRef] [PubMed]
- Morita, T.; Iwata, K.; Nozawa, Y. Inhibitory effect of a new mycotic agent, piritetrate on ergosterol biosynthesis in pathogenic fungi. Med. Vet. Mycol. 1989, 27, 17–25. [Google Scholar] [CrossRef] [PubMed]
- Iwatani, W.; Arika, T.; Yamaguchi, H. Two mechanisms of butenafine action in Candida albicans. Antimicrob. Agents Chemother. 1993, 37, 785–788. [Google Scholar] [CrossRef] [PubMed]









| Crystal Data | |
|---|---|
| Chemical formula | C9H11NOS |
| Mr | 181.25 |
| Crystal system, space group | Triclinic, P-1 |
| Temperature (K) | 293 |
| a, b, c (Å) | 9.6587 (4), 11.7585 (5), 12.1212 (5) |
| β (°) | 88.807 (2), 84.858 (2), 84.314 (2) |
| V (Å3) | 1364.24 (10) |
| Z | 6 |
| Radiation type | Cu Kα |
| µ (mm−1) | 2.76 |
| Crystal size (mm) | 0.47 × 0.27 × 0.15 |
| Data collection | |
| Diffractometer | Bruker APEX-II CCD |
| Absorption correction | Multi-scan SADABS Bruker 2018 |
| Tmin, Tmax | 0.932, 0.959 |
| No. of measured, independent and observed [I > 2σ(I)] reflections | 12,396, 4728, 4213 |
| Rint | 0.055 |
| Refinement | |
| R[F2 > 2σ(F2)], wR(F2), S | 0.045, 0.118, 1.06 |
| No. of reflections | 4728 |
| No. of parameters | 341 |
| H-atom treatment | H atoms treated by a mixture of independent and constrained refinement |
| Δρmax, Δρmin (e Å−3) | 0.36, −0.56 |
| IC50 (µg/mL) | Viability % Sample Concentration (μg/mL) | Sample | |||||||
| 500 | 250 | 125 | 62.5 | 31.25 | 15.6 | 7.8 | 3.9 | ||
| 0.36 | 2.08 | 3.36 | 4.86 | 6.51 | 11.04 | 19.38 | 24.82 | 28.86 | DOX |
| 93.2 | 20.88 | 31.76 | 42.63 | 57.12 | 72.36 | 86.04 | 92.37 | 97.48 | 3a |
| 30.5 | 8.71 | 16.38 | 24.92 | 37.65 | 49.43 | 62.04 | 78.19 | 89.28 | 3b |
| 6.9 | 4.37 | 9.46 | 16.76 | 23.66 | 34.15 | 40.72 | 46.58 | 61.43 | 6 |
| 114 | 24.53 | 39.15 | 47.32 | 61.98 | 78.43 | 89.04 | 95.17 | 98.76 | 7 |
| 12.6 | 5.14 | 11.89 | 20.97 | 31.76 | 38.69 | 45.38 | 57.43 | 72.96 | 8 |
| IC50 (µg/mL) | Viability % Sample Concentration (μg/mL) | Sample | |||||||
| 500 | 250 | 125 | 62.5 | 31.25 | 15.6 | 7.8 | 3.9 | ||
| 0.49 | 2.08 | 3.36 | 4.86 | 6.51 | 11.04 | 19.38 | 24.82 | 28.86 | DOX |
| 86.9 | 16.08 | 25.43 | 36.81 | 58.19 | 74.26 | 88.43 | 96.51 | 99.48 | 3b |
| 13.6 | 6.91 | 10.85 | 17.44 | 25.28 | 36.59 | 43.87 | 67.34 | 84.73 | 6 |
| 28.9 | 9.76 | 17.34 | 26.69 | 35.42 | 46.94 | 63.79 | 76.45 | 84.76 | 8 |
| Sample | Microorganisms | |||||
|---|---|---|---|---|---|---|
| Fungi | Gram-Positive Bacteria | Gram-Negative Bacteria | ||||
| AF | CA | SA | BS | SSP | EC | |
| 3a | 11 | 15 | 13 | 12 | 13 | 14 |
| 3b | 13 | 15 | 10 | NA | 12 | 14 |
| 4 | 17 | 16 | 15 | 14 | 15 | 17 |
| 6 | 18 | 15 | 14 | 15 | 14 | 15 |
| 7 | NA | 10 | 12 | 9 | 12 | 12 |
| 8 | 12 | NA | 14 | 12 | 13 | 14 |
| 10 | 14 | 12 | 12 | 12 | 12 | 14 |
| Amphotericin B. | 23 | 25 | ||||
| Ampicillin | - | - | 23 | 32 | ||
| Gentamycin | - | - | - | - | 17 | 19 |
Publisher’s Note: MDPI stays neutral with regard to jurisdictional claims in published maps and institutional affiliations. |
© 2021 by the authors. Licensee MDPI, Basel, Switzerland. This article is an open access article distributed under the terms and conditions of the Creative Commons Attribution (CC BY) license (https://creativecommons.org/licenses/by/4.0/).
Share and Cite
Alsayari, A.; Muhsinah, A.B.; Asiri, Y.I.; Al-aizari, F.A.; Kheder, N.A.; Almarhoon, Z.M.; Ghabbour, H.A.; Mabkhot, Y.N. Synthesis, Characterization, and Biological Evaluation of Some Novel Pyrazolo[5,1-b]thiazole Derivatives as Potential Antimicrobial and Anticancer Agents. Molecules 2021, 26, 5383. https://doi.org/10.3390/molecules26175383
Alsayari A, Muhsinah AB, Asiri YI, Al-aizari FA, Kheder NA, Almarhoon ZM, Ghabbour HA, Mabkhot YN. Synthesis, Characterization, and Biological Evaluation of Some Novel Pyrazolo[5,1-b]thiazole Derivatives as Potential Antimicrobial and Anticancer Agents. Molecules. 2021; 26(17):5383. https://doi.org/10.3390/molecules26175383
Chicago/Turabian StyleAlsayari, Abdulrhman, Abdullatif Bin Muhsinah, Yahya I. Asiri, Faiz A. Al-aizari, Nabila A. Kheder, Zainab M. Almarhoon, Hazem A. Ghabbour, and Yahia N. Mabkhot. 2021. "Synthesis, Characterization, and Biological Evaluation of Some Novel Pyrazolo[5,1-b]thiazole Derivatives as Potential Antimicrobial and Anticancer Agents" Molecules 26, no. 17: 5383. https://doi.org/10.3390/molecules26175383
APA StyleAlsayari, A., Muhsinah, A. B., Asiri, Y. I., Al-aizari, F. A., Kheder, N. A., Almarhoon, Z. M., Ghabbour, H. A., & Mabkhot, Y. N. (2021). Synthesis, Characterization, and Biological Evaluation of Some Novel Pyrazolo[5,1-b]thiazole Derivatives as Potential Antimicrobial and Anticancer Agents. Molecules, 26(17), 5383. https://doi.org/10.3390/molecules26175383

