Abstract
This work describes the synthesis, enzymatic activities on PI3K and mTOR, in silico docking and cellular activities of various uncommon 2,4,7 trisubstituted pyrido[3,2-d]pyrimidines. The series synthesized offers a chemical diversity in C-7 whereas C-2 (3-hydroxyphenyl) and C-4 groups (morpholine) remain unchanged, in order to provide a better understanding of the molecular determinants of PI3K selectivity or dual activity on PI3K and mTOR. Some C-7 substituents were shown to improve the efficiency on kinases compared to the 2,4-di-substituted pyrimidopyrimidine derivatives used as references. Six novel derivatives possess IC50 values on PI3Kα between 3 and 10 nM. The compounds with the best efficiencies on PI3K and mTOR induced micromolar cytotoxicity on cancer cell lines possessing an overactivated PI3K pathway.
1. Introduction
The phosphatidylinositol 3-kinase (PI3K) pathway controls cell proliferation, growth, differentiation, protein synthesis, glucose metabolism, migration, and apoptosis [1,2]. Its activation is initiated by the binding of the corresponding ligands to tyrosine kinase receptors and G-protein coupled receptors (GPCRs). This results in phosphorylation of a regulatory subunit of PI3K (the first enzyme of the pathway) and the subsequent activation of p110, a catalytic subunit of PI3K. This activation leads to the production of phosphatidylinositol 3,4,5-triphosphate (PIP3), a lipid second messenger, at the plasma membrane. PIP3 levels are negatively regulated by phosphatase and tensin homologue (PTEN). PIP3 allows the recruitment of Akt at the membrane through its pleckstrin homology domain (PH). Akt is activated by phosphorylation at the plasma membrane [3,4,5].
Once activated, signaling through Akt propagates to a diverse array of substrates, including the mammalian target of rapamycin (mTOR), a key regulator of protein translation. mTOR is a serine/threonine protein kinase that interacts with several proteins, forming two distinct complexes named mTOR complex 1 (mTORC1) and 2 (mTORC2), which regulate different cellular processes including metabolism, growth, proliferation, and survival [6,7,8,9]. Moreover, activation of the pathway is not vertical, and it has been shown that mTOR exerts a negative feedback loop on PI3K: mTOR once activated will inhibit PI3K through IRS-1 (Insulin Receptor Substrate-1) [10,11]. Furthermore, it has been observed in several studies that external factors (growth factors, nutrient intake) can activate Akt and mTOR, thereby bypassing PI3K and thus restarting cancer genesis [12,13,14,15].
The PI3K pathway is one of the most commonly activated signaling pathways in diverse cancer types, resulting in an extended survival growth and angiogenesis of tumor cells [16,17,18]. In a retrospective analysis of 19′784 patients, Millis et al. identified aberrations in the PI3K/Akt/mTOR pathway in 38% of the solid tumors histologically analyzed; 30% correspond to PTEN loss and 13%, 6% and 1% to mutations in PI3KCA (PI3Kα), PTEN and Akt1, respectively [19].
For these reasons, the need to develop compounds that can inhibit the PI3K pathway has been a great motivation for research teams around the world. Currently developed PI3K pathway inhibitors can be divided into five classes: (i) mTOR inhibitors, (ii) pan-class I PI3K inhibitors, (iii) dual PI3K/mTOR inhibitors, (iv) isoform selective PI3K inhibitors and (v) Akt inhibitors [20,21,22,23,24]. Pharmaceutical companies and academic institutes accomplish significant efforts in the clinical development of PI3K pathway inhibitors for solid tumor treatment, including exploring effective combinations, predictive biomarkers, target patient populations, as well as underlying resistance mechanisms. To date, 126 clinical trials are currently ongoing using Akt inhibitors (including 10 phase III trials) and 140 clinical trials (including 14 phase III) are currently being conducted on mTOR inhibitors either as monotherapy or as part of a combination therapy for many cancer types. For instance, 235 clinical trials are under way on PI3K inhibitors (including 30 phase III) and concern mainly lymphoma and solid tumors.
Currently, two drugs inhibiting the mTOR signaling pathway (Temserolimus and Everolimus) through the binding of FKBP-12 have been approved by the FDA (Food and Drug Administration) for cancer treatment (advanced renal cell carcinoma, tuberous sclerosis) [25,26]. Four PI3K inhibitors have also been FDA-approved (Figure 1): the two benzopyrimidinones idelalisib and duvelisib (PI3K δ and γ-selective) for three types of blood cancer hematologic malignancy or chronic lymphocytic leukemia, respectively [27,28] as well as the tricyclic heterocyclic copanlisib (PI3K α and δ-selective) for follicular lymphoma [29]. Finally, the thiazole derivative, alpelisib, was approved for PIK3CA-mutated advanced breast cancer treatment [24,30].
Figure 1.
Approved FDA PI3K inhibitors and PI3K/mTOR dual inhibitors in phase III clinical trials.
The mTOR inhibitor effects as cancer monotherapy have been limited, perhaps because they only exhibit poor proapoptotic activity, being mainly cytostatic and because of the existence of a negative feedback loop on PI3K/Akt, resulting in enhanced PI3K/Akt upon mTOR inhibition. Additionally, selective PI3K and Akt inhibitors might not be sufficient to block the entire pathway because of the possible independent activation of mTOR. Therefore, dual PI3K/mTOR inhibitors with pan class I PI3K and mTOR inhibition combine multiple therapeutic efficiencies in a single molecule. They reduce the risk of drug resistance development and prevent PI3K/Akt reactivation due to the negative feedback loop. Due to the awareness of the importance of the retroactive loop, only early phases of clinical trials (25) are found on dual PI3K/mTOR inhibitors and one of them includes morpholinylpyrimidine buparlisib (BKM120 in phase III for metastatic breast cancer) [31].
In this context, we have previously generated a library of C-2,4 di-substituted pyridopyrimidines I, that were screened for their dual PI3K/mTOR inhibition. Some derivatives are active in the nanomolar range on both enzymatic targets and two of them are highly potent on cancer cells in the submicromolar range without any toxicity on healthy cells. In order to explore the molecular interactions in the active sites of the two kinases and to understand the structural elements leading to selectivity against PI3K or duality against both PI3K and mTOR in this novel chemical series, we focused our efforts on C-2,4,7 tri-substituted pyridopyrimidines of type II (Figure 2). This series will offer chemical diversity in C-7 whereas the 2-(3-hydroxyphenyl) and C-4-morpholine groups remained unchanged, because these two pharmacophoric substituents confer a dual inhibition potency on 1.
Figure 2.
Modulations of C-7 position in the pyrido[3,2-d]pyrimidine series.
In this work, we first established the straightforward pathways able to provide various inventive trisubstituted pyridopyrimidines II from a unique synthetic trichlorinated skeleton 2. Molecular diversity exploration in C-7 position was highlighted by the introduction of vinyl, oximes, chlorine, as well as methyl and variously substituted methylene groups (alcohols, ethers, amines, triazoles and oxazoles) which could become, after SAR analysis, key elements in a better understanding of the drug kinase interactions. With this aim in mind, each final compound was evaluated on the one hand on PI3Kα and mTOR targets in vitro, and on a representative cancer cell line panel. The ability of each compound to inhibit PI3K in cells was checked on one of these cell lines by evaluating the amount of p-Akt by Western blot. In silico docking studies were used to support medicinal chemistry efforts and proved to be successful in explaining the SAR of inhibitors.
2. Results
2.1. Synthesis
To explore the molecular diversity in C-7 position, derivative 4 was synthesized after two steps from the 2,4,7-trichloropyrido 3,2-d pyrimidine 2 [32]. Condensation of morpholine under SNAr first selectively occurred in C-4 position. Next a C-2 regio-specific arylation with the homemade 3-methoxymethoxyphenyltrifloroborate potassium salt or with 3-hydroxyphenyl boronic acid led, under microwave irradiation, to compounds 4 and 5 in satisfying yields (Scheme 1) [33,34]. The last palladium cross coupling reactions concerned the use of 5 in a C-7 methylation involving AlMe3 to generate 6 in a 70% yield, and the use of derivative 4 in very efficient vinylation under microwave irradiation to give 7 [32]. To be able to introduce diversity on the C-7 position, we prepared the aldehyde 8 using Lemieux–Johnson oxidation conditions (NaIO4 and OsO4) from 4 in a near quantitative manner. Finally, the MOM protective group removal of 7 and 8 with HCl (4M in dioxane) led to 9 and 10 in excellent yields.
Scheme 1.
Reagents and conditions: (a) morpholine (1.1 eq.), Et3N (1.1 eq.), THF, r.t., 12 h, 91%; (b) 3-methoxymethoxyphenyltrifloroborate potassium salt or 3-hydroxyboronic acid, K2CO3, Pd(PPh3)4, DME, μW, 150 °C, 1 h, for 4 or 5: 71%; (c) AlMe3, Pd(PPh3)4, THF, 70 °C, 16 h, 70%; (d) 4.4.6-trimethyl-2-vinyl-1.3,2-dioxaborolane, K2CO3, Pd(PPh3)4, toluene/EtOH, μW, 150 °C, 1 h, 91%; (e) NaIO4, OsO4, THF/water, r.t., 2 h, 98%; (f) HCl 4 M, dioxane, r.t., 6 h, for 9: 98%, 10: 90%.
Reductive aminations were performed on 8 in the presence of cyclic primary or secondary amines and NaBH(OAc)3 or NaBH3CN as hydride sources, respectively (Scheme 2). The small C-7 methyleneaminoalkyl library was obtained with yields ranging between 40 and 91%. Noteworthy, each derivative was isolated as a chlorhydrate salt as the MOM protective groups were directly removed after the reductive amination by acidic hydrolysis.
Scheme 2.
Reagents and conditions: (a) primary amine, NaBH3CN, CH2Cl2, r.t., 12 h; (b) secondary amine, NaBH(OAc)3, CH2Cl2/DMF, acetic acid, r.t., 5 h; (c) HCl 4 M, dioxane, r.t., 6 h, for 11: 40%, for 12: 61%, for 13: 91%.
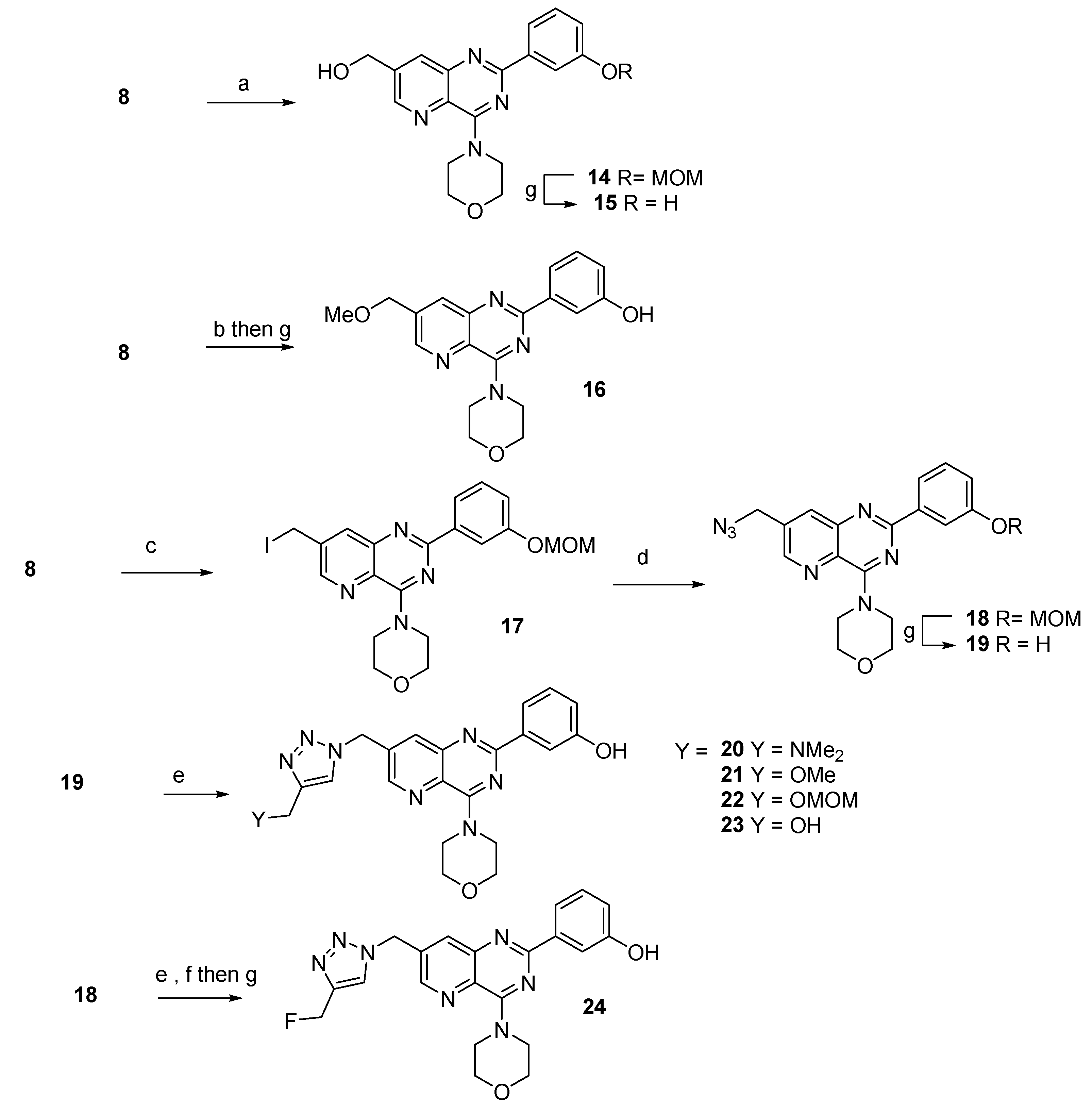
Classical aldehyde reduction of 8 gave access to primary alcohol 14 in a quantitative yield (Scheme 3). Williamson methylation and MOM deprotection led to ether 16 in satisfying yield. Additionally, primary alcohol was iodinated and next transformed in azido 18 whereas its MOM deprotection led to 19. Triazole moieties were generated via Huisgen 1,3-dipolar cycloaddition starting from 19 and using several commercially available or homemade terminal propargylic alkynes [35]. The copper source was adapted as a function of the reactivity and the attempted products 20–23 were synthesized in moderate to excellent yields. Treatment of alcohol 23 with DAST failed but the same fluorination method was successfully employed from protecting compound 22, leading to compound 24 in a good yield after phenol deprotection.
Scheme 3.
Reagents and conditions: (a) NaBH4, MeOH, r.t., 2h, 99%; (b) NaBH4, THF then MeI, r.t., 2h30; (c) PPh3, I2, imidazole, CH2Cl2, 0 °C, 7 h, 69%; (d) NaN3, DMF, 65 °C, 6h, 75%; (e) alkyne, Et3N, CH3CN, 12 h, r.t., Cu(OAc)2 or CuI, for 20: 31%, for 21: 79%, for 22: 25%, for 23: 51%; (f) DAST, CH2Cl2, 0 °C, 1h; (g) HCl 4 M, dioxane, r.t., 6 h, for 15: 87%, for 19: 74%, for 22: 98% for 24: 62%.
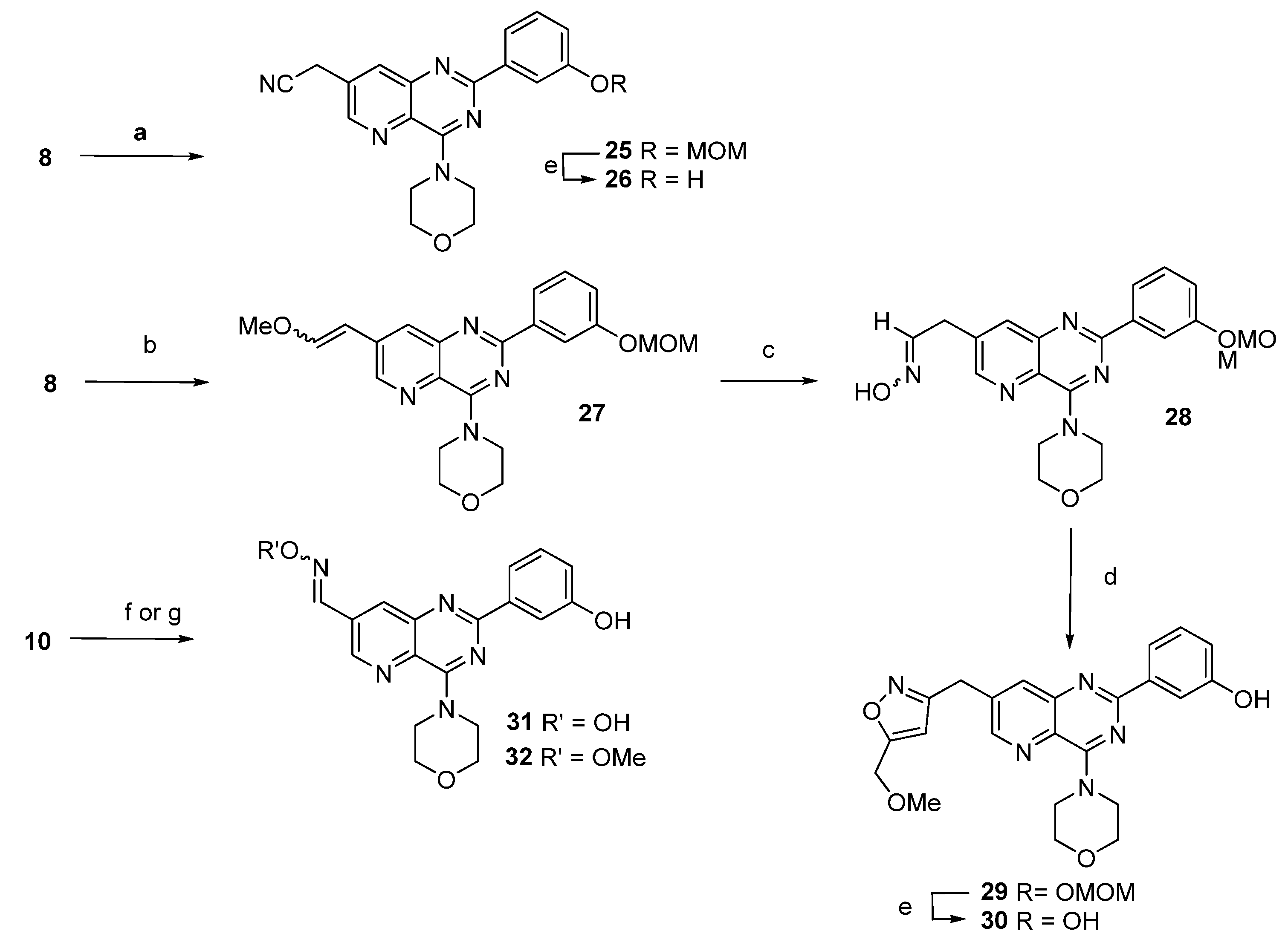
Aldehyde 8 provided the cyanomethyl derivative 26 using a small excess of TosMIC in presence of t-BuOK, followed by a hydrolysis in acidic media. Next, Oximes 31 and 32 were next straightforwardly prepared using 10 with the adapted hydroxylamine. To finish, the side chain homologation of 6 was carried out using a Wittig/oxidative cleavage procedure and crude aldehyde furnished the oxime 28 in moderate yield. The presence of 28 gave us the opportunity to build the oxazolic derivative 30, which could be considered as a direct isoster of 21 (Scheme 4).
Scheme 4.
Reagents and conditions: (a) TosMIC, t-BuOK, DME, −50 °C, 40 min then MeOH, reflux, 1 h, 46%; (b) PPh3CH2OMe, t-BuOK, THF, 48 h, r.t., 80%; (c) Hg(OAc)2, THF/H2O, 2h, 0 °C, 90% then NH2OH, HCl, Et3N, CH2Cl2, r.t., 12 h, 45%; (d) methyl propargyl ether, NaOCl, THF, 12h, r.t., 50%; (e) HCl 4M, dioxane, 4 h, r.t., for 26: 84%, for 30: 98%; (f), Et3N, CH2Cl2, r.t., 12 h, for 31: 62% with NH2OH, HCl; for 32: 68% with NH2OCH3, HCl.
2.2. Kinase Assays
In vitro activities toward the PI3Kα isoform were measured using the final phenolic compounds and IC50 values (Table 1) were compared to 1 which inhibits PI3Kα and mTOR with IC50 = 19 and 37 nM, respectively. Considering the PI3K target, introduction of a C-7 substitution had clearly an influence on the observed kinase activity. A chlorine or methyl group led to derivatives 5 and 6 that are slightly more active than 1 (entries 1, 2). Comparatively, a hydroxymethyl group (15, entry 7) led to a significant 30-fold reduction in the inhibition level as if a donor/acceptor hydrogen (DAH) group in this position was not tolerated. The introduction of vinyl, methoxymethyl and cyanomethyl groups partially restored the activity of the corresponding derivatives (entries 3, 8, 14). Finally, the zwitterionic azido derivative 19 exhibited a spectacular IC50 of 10 nM (entry 9). Even if they exist as an isomer mixture and could be considered as unstable in living cells, oximes were evaluated and as attempted the hydroxyloxime function of 31 was less tolerated than its more hydrophobic methylated analogue 32 (entries 16, 17), which inhibited the enzyme with an excellent 3 nM IC50 value.
Table 1.
Evaluation of PI3K inhibition.
The improved activity for several compounds containing relatively remote groups such as methoxyether, vinyl, azido and methyl oxime groups in C-7 could be indicative of the stabilization of molecules with residues located in an aprotic but polar region. With this idea in mind, we decided to increase the size of the C-7 appendix, introducing small and large amines on the C-7 sp3 methylene. When amino residues were cyclopropylamine or N-methylpiperazine (entries 4, 6), enzymatic inhibition activity took place in the sub-micromolar range. The best result was obtained with the morpholine group as 12 exhibits an IC50 = 43 nM. Since substituents containing several polyheteroatomic functions such as azides and oximes had shown a promising inhibitory potency, we next performed the biological evaluation of several azole derivatives.
Triazole substitutions confirmed the previous observation that strong electrically rich hydroxyl or fluorine groups are not well tolerated (entries 12, 13) compared to the presence of the more hydrophobic dimethylamino or methoxymethyl residues (entries 10, 11) of 20 and 21, which became one of the most active compounds against PI3K with a stable C-7 substituent (IC50 = 10 nM). Finally, switching from a triazole to an oxazole ring did not bring additional inhibition potency (entry 15).
As mTOR belongs to the same kinase family as PI3K and displays structural similarities, we next examined the inhibitory activity on mTOR of molecules possessing an IC50 on PI3K lower than that measured for 1 (i.e., IC50 PI3K = 19 nM). As attempted, all the selected 2,4,7-trisubstituted pyrido[3,2-d]pyrimidine compounds displayed diverse degrees of activity against both mTOR and PI3K (Table 2).
Table 2.
Biological evaluation of dual PI3K/mTOR inhibition.
It appears immediately that the introduction of a substituent in C-7 decreases the inhibition of mTOR. Nevertheless, the selected derivatives remain active against this kinase and offer IC50 around 100 nM. Moreover, IC50 measurements showed that chemical modifications based on 1 offered a quasi-selective PI3K inhibitor 32. Additionally, we increased the number of potent dual inhibitors such as 5, 19 and 21, which possess a similar selectivity index (SI) around 10 value. With these three compounds, our aim of improving the inhibition efficiency against PI3k with a C-7 substituent with a moderate impact on the duality of inhibition is achieved. Finally, the two dual derivatives 6 and 21 were chosen to measure their selectivity against the other PI3K isoforms. Values show a very important selectivity for PI3Kα versus other isoforms except for derivative 21 which led to a good additional activity on isoform β. Addition of the triazole ring in C-7 might therefore modify the interaction of the molecule with this isoform.
2.3. Docking Studies
To investigate the binding mode of the ligands and analyze the substituent effects on the inhibition and selectivity against PI3Kα and mTOR, we carried out docking studies. The structures of mTOR [36] and PI3Kα [37] were retrieved from the Protein Data Bank (PDB) [38]. Both structures interact with the pyridinylfuranopyrimidine inhibitor PI-103 that contains a morpholine group binding to the hinge through a hydrogen bond. The hydroxy moiety of the phenol is forming a hydrogen bond donor to the carboxylic acid group of Asp2195 side chain at the back of the inner pocket of PI3K. The PI3Kα and mTOR aligned structures were extracted from the MOE kinase-ligand complex library [39]. As stressed by Bryant et al. [40] or Wright et al. [41], the two targets share a high structure similarity but a low sequence identity.
All the compounds were docked into the active site of each studied protein, PI3Kα and mTOR. All the compounds exhibited a similar binding mode in which the pyridopyrimidine scaffold of all the docked compounds was well superimposed, creating similar interactions with each active site of the proteins. Only compound 6 has the flipped hydroxyphenyl ring in PI3Kα. As suggested before, the side chains at the C-7 position point towards the solvent area and more precisely to the glycine rich loop for PI3Kα (Figure 3a) and the activation loop for mTOR (Figure 3b).
Figure 3.
Superimposition of all the best docking poses of all compounds in PI3Kα (a) and mTOR (b).
Analysis of the intermolecular interactions between the compounds and residues of the active site clearly showed that the oxygen atom of the morpholine moiety forms a hydrogen bond with Val851 of PI3Kα and Val2240 of mTOR located in the hinge region. The pyridopyrimidine scaffold is positioned in the ATP active site and the hydroxy group of the phenol moiety at the C-2 position is forming a hydrogen bond donor with the carboxylic acid group of Asp810 and Asp2195 residues of PI3Kα and mTOR, respectively.
In order to understand the duality observed with several derivatives, we focused on the docking solutions of derivative 6. Compared to other compounds, the docking poses of 6 (Table 2, entries 2) specifically show an additional interaction in mTOR such as the π-CH interaction between the pyridine ring and the Met2345 residue (Figure 4).
Figure 4.
Binding modes for compound 6 on the two studied targets PI3Kα and mTOR.
While compounds 6, 19 and 32 present higher activity on PI3Kα versus mTOR, docking results show similar binding modes in both kinases (Figure 5). Additional computational experiments, such as molecular dynamics simulations or desolvation thermodynamics by displacing water molecules in the active site are needed to understand this discrepancy.
Figure 5.
Binding modes from docking for compounds 6 (pink), 19 (orange) and 32 (green) in PI3Kα (left) and mTOR (right).
2.4. Cell Assays
The most active derivative 32 on PI3Kα was first tested on six different cell lines, i.e., hepatocellular carcinoma Huh-7, colorectal adenocarcinoma Caco-2, mammary carcinoma MDA-MB231, spontaneously immortalized keratinocytes Hacat, and normal human fibroblast (Table 3).
Table 3.
In cell activity of the best compounds, IC50 (μM) a.
This compound exhibited the same activity profile and induced a cytotoxicity in the micromolar range for Huh-7, Caco-2, Hacat and normal human fibroblasts thereby attesting a good cellular penetration, while MDA-MB231 cells were less sensitive. This resistance might be due to the overactivation of the Ras/MAPK pathway in these cells which harbor activating mutation in Ras and Raf [42]. Indeed, PI3K inhibition might not compensate for this pathway overactivation.
Compounds 5, 19 and 21, which inhibit the two kinase of interest, were then tested on the same cell lines panel. This time, fibroblasts were less sensitive than Huh-7, Caco-2 and Hacat cell lines. This result suggests that these compounds have more effects on fast proliferating cells such as cancer and immortalized cells lines with the exception of MDA-MB231 cells. Furthermore, on Caco-2 cells, compound 21 appeared to be the more cytotoxic while compound 19 appeared to have an intermediate effect between compounds 21 and 5. To further understand the origins of these different cytotoxicities, Akt phosphorylation (on T308) was analyzed by Western blot after treatment of Caco-2 cells with 5, 19 and 21 compounds. Figure 6A,B shows that compounds 5, 19 and 21 differentially affect Akt phosphorylation in cells and that their degree of cytotoxicity on Caco-2 survival perfectly correlates with their ability to inhibit PI3K pathway. By analogy, the best cytotoxic values displayed by 21 on all the other cell lines, especially MDA-MB-231 might be explained by a stronger PI3K pathway inhibition—indeed 21 possesses an additional effect on the PI3Kβ isoform—rather than an impact of triazole on other cell target(s).
Figure 6.
(A) Effects of Pi103 and compounds 5, 19 and 21 on Akt phosphorylation (T308) in Caco-2 cells at 1 μM by Western blotting. (B) Quantification of three independent experiments. The values obtained for P-Akt were first normalized with actin and then normalized to 100%.
3. Materials and Methods
3.1. Chemistry
General procedure A: To a solution of halogenated derivative (1.0 eq.), in 1.2-dimethoxyethane was added boronic acid (1.5 eq.). An aqueous solution (1 M) of potassium carbonate (3.0 eq.) was then injected and the mixture was degassed by argon bubbling for 15 min. Pd(PPh3)4 (0.05 eq.) was added and the mixture was heated to 150 °C for 1 h by microwave irradiation. The solvent was removed in vacuo. The crude product was purified by flash chromatography.
General procedure B: A solution of halogenated derivative (1.0 eq.), potassium carbonate (3.0 eq.), 4.4.6-trimethyl-2-vinyl-1.3,2-dioxaborinane (2.0 eq.), in dry toluene/ethanol, (3/1 mL) was degassed by argon bubbling for 15 min. Pd(PPh3)4 (0.05 eq.) was added and the mixture was heated to 150 °C for 1 h by microwave irradiation. The solvent was removed in vacuo. The crude product was purified by flash chromatography.
General procedure C: To a solution of MOM protected compound (1.0 eq.), in dioxane was added a solution of HCl in dioxane, 4.0 M (6.0 eq.). The mixture was stirred at room temperature until completion monitored by TLC. The solvent was removed by filtration and the product was washed with diethyl ether prior to drying the solid under reduced pressure.
General procedure D: To a solution of aldehyde in dry CH2Cl2/DMF, 6/1 (6 mL), was added the secondary amine. After cooling the reaction to 0 °C, NaBH(OAc)3 (5.0 eq.) was added. After 10 min of stirring, four drops of acetic acid were added to the mixture. The reaction was stirred at room temperature for 5 h before adding water (5 mL) and extracting the product. The combined organic layers were washed with a solution of saturated NaHCO3 (2 × 10 mL) and dried over MgSO4 and filtered. The solvent was removed under reduced pressure. The crude product then underwent the reaction as described in general procedure C to afford the final compound.
2,4,7-Trichloropyrido[3,2-d]pyrimidine (2) [21]. To a solution of 1 [20] (1.0 g, 6.13 mmol) in phosphorus oxychloride (10 mL) was added phosphorus pentachloride (7.65 g, 36.78 mmol, 6.0 eq.). The mixture was heated by microwave irradiation at 160 °C for 2 h. The crude product was dissolved in CH2Cl2 (100 mL) and was then poured in ice. The mixture was stirred at room temperature for 6 h and then extracted. The combined organic layers were washed with water (2 × 20 mL) and dried over MgSO4 and filtered. The solvent was removed under reduced pressure. The crude product was purified by flash chromatography on silica gel (CH2Cl2/petroleum ether, 5/5) to afford 2 as a yellow solid (0.934 g, 65%). 1H NMR (400 MHz, CDCl3) δ: 8.31 (d, 1H, J = 2.2 Hz), 9.03 (d, 1H, J = 2.2 Hz). HRMS (EI-MS): m/z calculated for C7H3Cl3N3 [M + H]+: 234.9314; found 234.9323.
2,7-Dichloro-4-morpholinylpyrido[3,2-d]pyrimidine (3). To a solution of 2 (0.755 g, 3.22 mmol) in THF (33 mL) were added successively morpholine (0.28 mL, 3.22 mmol, 1.0 eq.) and triethylamine (0.49 mL, 3.54 mmol, 1.1 eq.). The mixture was stirred at room temperature for 12 h and the solvent was removed under reduced pressure. The crude product was dissolved in CH2Cl2 (30 mL) and the organic layer was washed with a saturated solution of NaHCO3 (2 × 10 mL). The organic layer was dried over MgSO4 and filtered. The solvent was removed under reduced pressure. Purification by flash chromatography on silica gel (CH2Cl2/MeOH, 99/1) yielded 3 as a yellow solid (0.835 g, 91%). Rf (CH2Cl2/MeOH, 99/1): 0.11. Mp: 201–203 °C. IR (ATR diamond, cm−1) ν: 3043, 2966, 1546, 1411, 1334, 1254, 1108, 927, 865, 686. 1H NMR (250 MHz, CDCl3) δ: 3.87 (m, 4H, 2 × CH2(N)), 4.53 (m, 4H, 2 × CH2(O)), 7.99 (d, 1H, J = 2.5 Hz), 8.58 (d, 1H, J = 2.5 Hz). 13C NMR (62.5 MHz, CDCl3) δ: 47.8 (2 × CH2), 67.1 (2 × CH2), 130.7 (Cq), 133.7 (CH), 135.2 (Cq), 145.5 (CH), 149.4 (Cq), 159.2 (Cq), 168.2 (Cq) HRMS (EI-MS): m/z calculated for C11H11Cl2N4O [M + H]+: 286.0232; found 286.0302.
7-Chloro-2-(3-methoxymethoxyphenyl)-4-morpholinylpyrido[3,2-d]pyrimidine (4). The reaction was carried out as described in general procedure A using 3 and 3-methoxymethoxyphenylboronic acid as the boronic acid. Purification by flash chromatography on silica gel (petroleum ether/EtOAc, 8/2) yielded 4 as a yellow solid (193 mg, 71%). Rf (petroleum ether/EtOAc, 8/2): 0.10. Mp: 196–198 °C. IR (ATR diamond, cm−1) ν: 2950, 1516, 1454, 1344, 1307, 1266, 1148, 1074, 1009, 874, 731. 1H NMR (250 MHz, CDCl3) δ: 3.53 (s, 3H, CH3), 3.92 (m, 4H, 2 × CH2(N)), 4.57 (m, 4H, 2 × CH2(O)), 5.28 (s, 2H, CH2), 7.17 (ddd, 1H, J = 1.1 Hz, J = 2.4 Hz, J = 8.1 Hz), 7.40 (t, 1H, J = 8.1 Hz), 8.14 (m, 3H), 8.59 (d, 1H, J = 2.4 Hz). 13C NMR (62.5 MHz, CDCl3) δ: 48.3 (2 × CH2), 56.3 (CH3), 66.6 (CH2), 67.5 (CH2), 94.8 (CH2), 116.6 (CH), 118.7 (CH), 120.2 (Cq), 122.4 (CH), 129.6 (CH), 131.3 (Cq), 135.0 (CH), 139.8 (Cq), 145.2 (CH), 149.1 (Cq), 157.6 (Cq), 159.2 (Cq), 160.9 (Cq). HRMS (EI/MS): m/z calculated for C19H20ClN4O3 [M + H]+: 387.1146; found 387.1151.
7-Chloro-2-(3-hydroxyphenyl)-4-morpholinylpyrido[3,2-d]pyrimidine (5). The reaction was carried out as described in general procedure A using 3 (200 mg, 0.701 mmol) and 3-hydroxyphenylboronic acid as the boronic acid (116 mg, 0.842 mmol, 1.2 eq.). Purification by flash chromatography on silica gel (petroleum ether/EtOAc, 7/3) yielded 5 as a yellow solid (172 mg, 71%). Rf (petroleum ether/EtOAc, 7/3): 0.10. Mp: 230-232 °C. IR (ATR diamond, cm−1) ν: 3301, 2853, 1527, 1425, 1370, 1270, 1229, 1107, 1022, 948, 876, 737. 1H NMR (400 MHz, DMSO-d6) δ: 3.85 (m, 4H, 2 × CH2(N)), 4.50 (m, 4H, 2 × CH2(O)), 6.95 (d, 1H, J = 5.0 Hz), 7.32 (dd, 1H, J = 2.5 Hz, J = 5.0 Hz), 7.90 (d, 1H, J = 2.5 Hz), 7.91 (s, 1H), 8.29 (s, 1H), 8.75 (s, 1H), 9.61 (s, 1H, OH). 13C NMR (101 MHz, DMSO-d6) δ: 47.8 (2 × CH2), 66.8 (2 × CH2), 114.9 (CH), 117.8 (CH), 119.1 (CH), 129.3 (CH), 130.6 (Cq), 133.5 (Cq), 134.2 (CH), 138.6 (Cq), 144.9 (Cq), 148.2 (CH), 157.4 (Cq), 158.3 (Cq), 159.8 (Cq). HRMS (EI-MS): m/z calculated for C17H16ClN4O2 [M + H]+: 343.0884; found 343.0956.
3-(7-Methyl-4-morpholinylpyrido[3,2-d]pyrimidin-2-yl)phenol (6). To a solution of compound 5 (100 mg, 0.32 mmol) in THF (3.5 mL) under argon were added trimethylaluminium (2M in toluene, 0.35 mL, 0.70 mmol, 2.2 eq.) and Pd(PPh3)4 (36 mg, 0.032 mmol, 0.1 eq.). The mixture was refluxed for 16h, and after cooling, the solvent was evaporated. The crude residue was purified by column chromatography on silica gel (gradient CH2Cl2 100 to CH2Cl2/MeOH 99/1) to give the desired product 6 (65 mg, 70%) as a yellow solid. Rf (petroleum ether/EtOAc, 7/3): 0.10. Mp: 230–232 °C. IR (ATR diamond, cm−1) ν: 3301, 2853, 1527, 1425, 1370, 1270, 1229, 1107, 1022, 948, 876, 737. 1H NMR (400 MHz, CDCl3) δ 2.49 (d, J = 1.0 Hz, 3H, CH3), 3.85 (m, 4H, 2 × CH2(N)), 4.58 (m, 4H, 2 × CH2(O)), 6.94 (ddd, J = 8.1 Hz, J = 2.2 Hz, J = 1.0 Hz, 1H), 7.33 (t, J = 8.1 Hz, 1H), 7.94-8.04 (m, 4H), 8.51 (d, J = 2.2 Hz, 1H). 13C NMR (101 MHz, CDCl3) δ 18.9 (CH3), 48.2 (2 × CH2), 67.4 (2 × CH2), 115.5 (CH), 117.7 (CH), 121.1 (CH), 129.8 (CH), 131.1 (Cq), 135.1 (CH), 137.6 (Cq), 140.1 (Cq), 148.1 (CH+Cq), 156.2 (Cq), 159.4 (Cq), 160.1 (Cq). HRMS (EI-MS): m/z calculated for C18H19N4O2 [M + H]+: 323.1502; found 323.1503.
2-(3-Methoxymethoxyphenyl)-4-morpholinyl-7-vinylpyrido[3,2-d]pyrimidine (7). The reaction was carried out as described in general procedure B using 4 to afford 7 as a yellow solid (178 mg, 91%). Rf (petroleum ether/EtOAc, 8/2): 0.16. Mp: 105–107 °C. IR (ATR diamond, cm−1) ν: 2856, 1527, 1487, 1454, 1343, 1275, 1111, 1070, 1021, 956, 910, 739. 1H NMR (400 MHz, CDCl3) δ: 3.52 (s, 3H, CH3), 3.96–3.89 (m, 4H, 2 × CH2(N)), 4.58 (m, 4H, 2 × CH2(O)), 5.28 (s, 2H, CH2), 5.56 (d, 1H, J = 11.0 Hz, CH2alkene), 6.05 (d, 1H, J = 17.7 Hz, CH2alkene), 6.84 (dd, 1H, J = 11.0 Hz, J = 17.7 Hz, CHalkene), 7.20–7.13 (m, 1H), 7.40 (t, 1H, J = 7.9 Hz), 8.19–8.09 (m, 3H), 8.72 (d, 1H, J = 1.9 Hz). 13C NMR (101 MHz, CDCl3) δ: 48.3 (2 × CH2), 56.3 (CH3), 67.5 (2 × CH2), 94.7 (CH2), 116.5 (CH), 118.4 (CH), 119.0 (CH2), 122.3 (CH), 129.5 (CH), 132.6 (CH), 133.2 (CH), 136.2 (Cq), 139.8 (Cq), 140.2 (Cq), 144.9 (CH), 148.4 (Cq), 157.6 (Cq), 159.4 (Cq), 160.2 (Cq). HRMS (EI/MS): m/z calculated for C21H23ClN4O3 [M + H]+: 379.1765; found 379.1766.
7-(3-(Methoxymethoxy)phenyl)-4-morpholinylpyrido[3,2-d]pyrimidine-7-carbaldehyde (8). To a solution of 7 (400 mg, 1.06 mmol) in THF/H2O, 1/1 (30 mL) was added osmium tetroxide, 2.5% wt (0.76 mL, 0.053 mmol, 0.05 eq.). The mixture was stirred until it turned dark, then NaIO4 (680 mg, 3.18 mmol, 3.0 eq.) was added was added in three equal portions. The solution was stirred during 2 h at room temperature followed by the addition of an aqueous solution of Na2S2O3 10% wt. After filtration on celite, the filtrate was diluted in EtOAc (50 mL), the combined organic layers were washed with water (2 × 20 mL) and dried over MgSO4 and filtered. The solvent was removed under reduced pressure. The crude product was purified by flash chromatography on silica gel (petroleum ether/EtOAc, 8/2) to afford 8 as a yellow solid (395 mg, 98%). Rf (petroleum ether/EtOAc, 8/2): 0.20. Mp: 141–143 °C. IR (ATR diamond, cm−1) ν: 2911, 1701, 1508, 1461, 1426, 1268, 1154, 1116, 1071, 1008, 957, 739. 1H NMR (400 MHz, DMSO-d6) δ: 3.43 (s, 3H, CH3), 3.83 (m, 4H, 2 × CH2(N)), 4.52 (m, 4H, 2 × CH2(O)), 5.28 (s, 2H, CH2), 7.25–7.13 (m, 1H), 7.45 (t, 1H, J = 7.5 Hz), 8.10 (d, 2H, J = 7.4 Hz), 8.67 (s, 1H,), 9.09 (s, 1H), 10.28 (s, 1H, CHO). 13C NMR (101 MHz, DMSO-d6) δ: 47.8 (2 × CH2), 55.6 (CH3), 66.3 (2 × CH2), 94.0 (CH2), 115.7 (CH), 118.5 (CH), 121.7 (CH), 129.6 (CH), 133.3 (Cq), 135.1 (Cq), 138.9 (CH), 139.2 (Cq), 144.4 (CH), 147.4 (Cq), 157.0 (Cq), 158.5 (Cq), 159.7 (Cq), 192.4 (CH). HRMS (EI/MS): m/z calculated for C20H21ClN4O4 [M + H]+: 381.1557; found 381.1560.
2-(3-Hydroxyphenyl)-4-morpholinyl-7-vinylpyrido[3,2-d]pyrimidine (9). The reaction was carried out as described in general procedure C using 7 (150 mg, 0.396 mmol) to afford 9 as a white solid (130 mg, 98%). Rf (petroleum ether/EtOAc, 8/2): 0.08. Mp: 183–185 °C. IR (ATR diamond, cm−1) ν: 3338, 2856, 1597, 1531, 1483, 1438, 1230, 1107, 968, 858, 739. 1H NMR (400 MHz, CDCl3) δ: 3.89 (m, 4H, 2 × CH2(N)), 4.54 (m, 4H, 2 × CH2(O)), 5.51 (d, 1H, J = 11.0 Hz, CH2alkene), 5.99 (d, 1H, J = 17.6 Hz, CH2alkene), 6.77 (dd, 1H, J = 11.0 Hz, J = 17.6 Hz, CHalkene), 6.92 (d, 1H, J = 7.5 Hz), 7.29 (t, 1H, J = 7.5 Hz), 7.98 (s, 2H), 8.08 (m, 2H), 8.70 (d, 1H, J = 7.5 Hz). 13C NMR (101 MHz, CDCl3) δ: 48.3 (2 × CH2), 66.1 (CH2), 67.5 (CH2), 115.6 (CH), 118.0 (CH), 119.2 (CH2), 121.0 (CH), 129.8 (CH), 132.2 (CH), 132.3 (Cq), 133.1 (CH), 136.4 (Cq), 140.0 (Cq), 144.9 (CH), 148.2 (Cq), 156.4 (Cq), 159.3 (Cq), 160.5 (Cq). HRMS (EI/MS): m/z calculated for C19H19N4O2 [M + H]+: 335.1430; found 335.1504.
2-(3-Hydroxyphenyl)-4-morpholinylpyrido[3,2-d]pyrimidine-7-carbaldehyde (10). The reaction was carried out as described in general procedure G using 8 (200 mg, 0.526 mmol) to afford 10 as a yellow solid (159 mg, 90%). Rf (petroleum ether/EtOAc, 8/2): 0.05. Mp: 182–184 °C. IR (ATR diamond, cm−1) ν: 2852, 1695, 1556, 1516, 1426, 1377, 1283, 1107, 1025, 882, 743. 1H NMR (400 MHz, DMSO-d6) δ: 3.84 (m, 4H, 2 × CH2(N)), 4.52 (bs, 4H, 2 × CH2(O)), 6.92 (m, 1H), 7.30 (t, 1H, J = 8.1 Hz), 7.90 (m, 2H), 8.64 (d, 1H, J = 1.9 Hz), 9.09 (d, 1H, J = 1.9 Hz), 9.58 (s, 1H, OH), 10.28 (s, 1H, CHO). 13C NMR (101 MHz, DMSO-d6) δ: 48.1 (2 × CH2), 66.3 (2 × CH2), 114.9 (CH), 117.8 (CH), 119.1 (CH), 129.4 (CH), 133.3 (Cq), 136.1 (Cq), 138.8 (CH), 139.0 (Cq), 144.3 (CH), 147.4 (Cq), 157.5 (Cq), 158.4 (Cq), 159.7 (Cq), 192.4 (CH). HRMS (EI/MS) m/z calculated for C18H17N4O3 [M + H]+: 337.1563; found 337.1546.
3-(7-((Cyclopropylamino)methyl)-4-morpholinylpyrido[3,2-d]pyrimidin-2-yl)phenol hydrochloride salt (11). To a solution of 8 (70 mg, 0.184 mmol) in dry CH2Cl2 (6 mL), was added a small amount of MgSO4 and cyclopropylamine (12 µL, 0.184 mmol, 1.0 eq.). The reaction was stirred at room temperature for 12 h before filtering the MgSO4 and removing the solvent in vacuo. The crude product was diluted in methanol (6 mL) and NaBH3CN (60 mg, 0.92 mmol, 5.0 eq.) was added to the mixture. Once the reaction stopped bubbling (15 min), the crude product was extracted. The combined organic layers were washed with a solution of saturated NaHCO3 (2 × 10 mL) and dried over MgSO4 and filtered. The crude product was then subjected to the general procedure C to afford 11 as a white solid (28 mg, 40%). Rf (CH2Cl2/MeOH, 99/1): 0.05. Mp: 244–246 °C. IR (ATR diamond, cm−1) ν: 3351, 3047, 1613, 1552, 1517, 1428, 1385, 1310, 1114, 1024, 864, 732. 1H NMR (400 MHz, DMSO-d6) δ: 0.81 (s, 2H, 2xHcypro), 1.09 (s, 2H 2×Hcypro), 2.72 (s, 1H, Hcypro), 3.87 (m, 4H, 2 × CH2(N)), 4.48 (s, 2H, CH2), 4.64 (m, 4H, 2 × CH2(O)), 7.06 (s, 1H), 7.38 (s, 1H), 7.91 (d, 2H, J = 11.7 Hz), 8.70 (s, 1H), 9.10 (s, 1H), 9.38 (s, 1H, OH), 10.39 (s, 1H, NH). 13C DEPT NMR (101 MHz, DMSO-d6) δ 10.2 (2 × CH2), 28.3 (CH), 48.9 (2 × CH2), 51.6 (CH2), 66.7 (2 × CH2), 112.9 (CH), 116.9 (CH), 120.1 (CH), 131.6 (CH), 134.9 (CH), 150.1 (CH). HRMS (EI/MS): m/z calculated for C21H24N5O2 [M + H]+: 378.1852; found 378.1927.
3-(4-Morpholinyl-7-(morpholinylmethyl)pyrido[3,2-d]pyrimidin-2-yl)phenol hydrochloride salt (12). The reaction was carried out as described in general procedure D using 8 (80 mg, 0.21 mmol) and morpholine to afford 12 as a white solid (52 mg, 61%) Rf (CH2Cl2/MeOH, 99/1): 0.04. Mp: 239–141 °C. IR (ATR diamond, cm−1) ν: 3344, 3037, 1552, 1510, 1417, 1292, 1114, 1028, 864, 736. 1H NMR (400 MHz, DMSO-d6) δ: 3.26 (m, 4H, 2 × CH2(N)), 3.86 (m, 8H, 2 × CH2(N) and 2 × CH2(O)), 4.63 (m, 6H, CH2 and 2 × CH2(O)), 7.03 (s, 1H), 7.37 (s, 1H), 7.96 (m, 2H), 8.76 (s, 1H), 9.13 (s, 1H, H6), 12.35 (s, 1H, NH). 13C DEPT NMR (101 MHz, DMSO-d6) δ: 18.4 (2CH2), 54.4 (2CH2), 59.1 (2CH2), 66.4 (2CH2), 66.8 (2CH2), 114.1 (CH), 117.9 (CH), 119.9 (CH), 130.4 (CH), 136.2 (CH), 147.1 (CH) HRMS (EI/MS): m/z calculated for C22H26N5O3 [M + H]+: 408.1957; found 408.2020
2-(3-Hydroxyphenyl)-7-(4-methylpiperazin-1-ylmethyl)-4-morpholinylpyrido[3,2-d]pyrimidine hydrochloride salt (13). The reaction was carried out as described in general procedure D using 8 (100 mg, 0.21 mmol,) and N-methylpiperazine to afford 13 as a white solid (120 mg, 92%). Rf (CH2Cl2/MeOH, 99/1): 0.04. Mp: 243–245 °C. IR (ATR diamond, cm−1) ν: 2927, 1616, 1556, 1508, 1420, 1388, 1312, 1112, 881, 729. 1H NMR (400 MHz, DMSO-d6) δ: 2.81 (s, 3H, NCH3), 3.46 (m, 2H, CH2(N)), 3.88 (s, 5H), 4.86–4.45 (m, 6H, 3 × CH2(N)), 7.10 (d, 1H, J = 7.2 Hz), 7.40 (t, 1H, J = 8.2 Hz), 7.99–7.76 (m, 2H), 8.81 (s, 1H), 9.10 (s, 1H, H6), 9.76 (bs, 1H, OH), 11.91 (s, 1H, NH). 13C DEPT NMR (101 MHz, DMSO-d6) δ: 48.4 (2 × CH2), 50.1 (CH3), 54.7 (2 × CH2), 57.8 (2 × CH2), 60.1 (CH2), 66.4 (2 × CH2), 115.6 (CH), 119.7 (2 × CH), 129.9 (CH), 145.4 (CH), 146.5 (CH), 148.5 (CH). HRMS (EI/MS): m/z calculated for C23H28N6O2 [M + H]+: 421.2274; found 421.2361.
(2-(3-(Methoxymethoxy)phenyl)-4-morpholinylpyrido[3,2-d]pyrimidin-7-yl)methanol (14). To a solution of NaBH4 (60 mg, 1.58 mmol, 2.0 eq.) in MeOH (12 mL), was added 8 (300 mg, 0.79 mmol). The mixture was stirred at room temperature for two hours. The solvent was then removed under reduced pressure, the crude product was diluted in CH2Cl2 (30 mL), the organic layer was washed with brine (10 mL), dried over MgSO4, filtered and the solvent removed under reduced pressure to afford 14 as a yellow solid (298 mg, 99%). Rf (petroleum ether/EtOAc, 7/3): 0.1. Mp: 134–136 °C. IR (ATR diamond, cm−1) ν: 3265, 2913, 1532, 1491, 1438, 1356, 1262, 1152, 1115, 1066, 1009, 915, 874, 739. 1H NMR (400 MHz, DMSO-d6) δ: 3.54 (s, 3H, CH3), 3.90 (m, 4H, 2 × CH2(N)), 4.55 (m, 4H, 2 × CH2(O)), 4.82 (s, 2H, CH2OH), 5.29 (s, 2H, CH2), 7.18 (dd, 1H, J = 2.3 Hz, J = 8.1 Hz), 7.41 (t, 1H, J = 7.9 Hz), 8.12 (m, 3H), 8.55 (d, 1H, J = 1.7 Hz), 9.54 (bs, 1H, OH). 13C NMR (101 MHz, DMSO-d6) δ: 48.3 (2 × CH2), 56.3 (CH3), 62.3 (2 × CH2), 67.4 (CH2), 94.7 (CH2), 116.5 (CH), 118.5 (CH), 122.3 (CH), 129.6 (CH), 132.2 (Cq), 133.4 (CH), 139.9 (Cq), 140.5 (Cq), 145.5 (CH), 148.0 (Cq), 157.6 (Cq), 159.3 (Cq), 160.0 (Cq). HRMS (EI/MS): m/z calculated for C20H23N4O4 [M + H]+: 383.1641; found 383.1715.
3-(7-(Hydroxymethyl)-4-morpholinylpyrido[3,2-d]pyrimidin-2-yl)phenol (15). The reaction was carried out as described in general procedure C using 14 (200 mg, 0.523 mmol) to afford 15 as a yellow solid (154 mg, 87%). Rf (CH2Cl2/MeOH, 97/3): 0.20. Mp: 229–231 °C. IR (ATR diamond, cm−1) ν: 3248, 2851, 1511, 1458, 1356, 1238, 1111, 1054, 886, 735. 1H NMR (400 MHz, DMSO-d6) δ: 3.82 (m, 4H, 2 × CH2(N)), 4.51 (m, 4H, 2 × CH2(O)), 4.73 (d, 2H, J = 5.6 Hz, CH2OH), 5.59 (t, 1H, OH), 6.89 (dd, 1H, J = 1.6 Hz, J = 7.9 Hz), 7.29 (t, 1H, J = 7.9 Hz), 7.89 (m, 2H), 8.04 (s, 1H), 8.70 (s, 1H), 9.54 (s, 1H, OH). 13C NMR (101 MHz, DMSO-d6) δ: 47.6 (2 × CH2), 60.3 (CH2), 66.4 (2 × CH2), 114.8 (CH), 117.5 (CH), 119.0 (CH), 129.3 (CH), 131.1 (Cq), 132.5 (CH), 139.3 (Cq), 142.2 (Cq), 145.8 (CH), 147.6 (Cq), 157.4 (Cq), 158.5 (Cq), 158.8 (Cq). HRMS (EI/MS): m/z calculated for C18H19N4O3 [M + H]+: 339.1379; found 339.1441.
3-(7-(Methoxymethyl)-4-morpholinylpyrido[3,2-d]pyrimidin-2-yl)methanol (16). To a solution of 8 (80 mg, 0.209 mmol) in THF (10 mL) at 0 °C, was added NaBH4 (8 mg, 0.23 mmol, 1.1 eq.) followed by the addition of MeI (13 µL, 0.209 mmol, 1.0 eq.). The solution was stirred at room temperature for 2 h 30 min before removing the solvent in vacuo. The crude product was diluted in CH2Cl2 (30 mL) and the organic layer was washed with brine (10 mL), dried over MgSO4, filtered and the solvent removed under reduced pressure. The crude product directly underwent the reaction described in general procedure C to afford 16 as a yellow solid (54 mg, 74%). Rf (CH2Cl2/MeOH, 99/1): 0.13. Mp: 165–167 °C. IR (ATR diamond, cm−1) ν: 3273, 2852, 1540, 1491, 1438, 1352, 1270, 1103, 1021, 968, 878, 739, 678. 1H NMR (400 MHz, CDCl3) δ: 3.46 (s, 3H, CH3), 3.92 (m, 4H, 2 × CH2(N)), 4.58 (m, 4H, 2 × CH2(O)), 4.63 (s, 2H, CH2), 6.94 (dd, 1H, J = 2.2 Hz, J = 7.7 Hz), 7.38 (t, 1H, J = 7.9 Hz), 7.98 (m, 1H), 8.02 (d, 1H, J = 7.9 Hz), 8.10 (m, 1H), 8.65 (d, 1H, J = 2.1 Hz), 9.62 (s, 1H, OH). 13C NMR (101 MHz, CDCl3) δ: 48.3 (2 × CH2), 58.9 (CH3), 67.5 (2 × CH2), 72.0 (CH2), 115.5 (CH), 117.9 (CH), 121.1 (CH), 129.8 (CH), 132.5 (Cq), 134.5 (CH), 137.7 (Cq), 140.1 (Cq), 146.1 (CH), 148.1 (Cq), 156.2 (Cq), 159.4 (Cq), 160.3 (Cq). HRMS (EI/MS): m/z calculated for C19H21N4O3 [M + H]+: 353.1535; found 353.1609.
4-(7-(Iodomethyl)-2-(3-(methoxymethoxy)phenyl)pyrido[3,2-d]pyrimidin-4-yl)morpholine (17). To a solution of triphenylphosphine (137 mg, 0.523 mmol, 2.0 eq.) in CH2Cl2 (5 mL) at 0 °C, was added iodine (199 mg, 0.784 mmol, 3.0 eq.) and imidazole (36 mg, 0.523 mmol, 2.0 eq.) and then 8 (100 mg, 0.262 mmol). The reaction was stirred at 0 °C for 7 h before adding an aqueous solution of Na2S2O3 10% (5 mL). After 15 min of stirring, the mixture was extracted and the organic layer was washed with water (5 mL), dried over MgSO4, filtered, and the solvent removed under reduced pressure. The crude product was purified by flash chromatography on silica gel (petroleum ether/EtOAc, 1/9) to afford 17 as a yellow solid (89 mg, 69%). Rf (petroleum ether/EtOAc, 1/9): 0.14. Mp: 144–146 °C. IR (ATR diamond, cm−1) ν: 2921, 1732, 1663, 1532, 1491, 1430, 1270, 1234, 1148, 1107, 1021, 964, 874, 739. 1H NMR (400 MHz, CDCl3) δ: 3.53 (s, 3H, CH3), 3.92 (m, 4H, 2 × CH2(N)), 4.53 (s, 2H, CH2), 4.58 (m, 4H, 2 × CH2(O)), 5.28 (s, 2H, CH2), 7.17 (m, 1H), 7.40 (t, 1H, J = 7.9 Hz), 8.17–8.10 (m, 3H), 8.66 (d, 1H, J = 2.3 Hz). 13C NMR (101 MHz, CDCl3) δ: 48.3 (2 × CH2), 56.3 (CH3), 62.4 (CH2), 67.4 (2 × CH2), 94.8 (CH2), 116.5 (CH), 118.5 (CH), 122.4 (CH), 129.6 (CH), 132.2 (Cq), 133.4 (CH), 135.4 (Cq), 140.0 (Cq), 145.5 (CH), 148.0 (Cq), 157.6 (Cq), 159.3 (Cq), 160.0 (Cq). HRMS (EI/MS): m/z calculated for C20H22IN4O3 [M + H]+: 493.0658; found 493.0738.
4-(7-(Azidomethyl)-2-(3-(methoxymethoxy)phenyl)pyrido[3,2-d]pyrimidin-4-yl) morpholine (18). To a solution of 17 (78 mg, 0.158 mmol) in DMF (5 mL) was added sodium azide (15 mg, 0.238 mmol, 1.5 eq.). The reaction was stirred at 65 °C for 6 h, before diluting the solution in CH2Cl2 (60 mL). The combined organic layers were washed with an aqueous solution of citric acid, 10% (10 mL), a saturated solution of NaHCO3 (10 mL) and then were washed twice with water (10 mL), dried over MgSO4, filtered and the solvent removed under reduced pressure. The crude product was purified by flash chromatography on silica gel (CH2Cl2/MeOH, 98/2) to afford 18 as a yellow solid (49 mg, 75%). Rf (CH2Cl2/MeOH, 98/2): 0.11. Mp: 143–145 °C. IR (ATR diamond, cm−1) ν: 2872, 2086, 1612, 1523, 1428, 1307, 1109, 1021, 862, 731. 1H NMR (400 MHz, CDCl3) δ: 3.53 (s, 3H, CH3), 3.88 (m, 4H, 2 × CH2(N)), 4.68 (m, 4H, 2 × CH2(O)), 4.90 (s, 2H, CH2N3), 5.28 (s, 2H, CH2), 7.08 (m, 1H), 7.41 (m, 1H), 7.87 (m, 2H), 8.46 (s, 1H), 8.91 (s, 1H). 13C NMR (101 MHz, CDCl3) δ: 48.4 (2 × CH2), 50.4 (CH2), 56.3 (CH3), 66.3 (2 × CH2), 94.7 (CH2), 115.5 (CH), 119.6 (2 × CH), 130.0 (CH), 132.2 (Cq), 134.8 (Cq), 137.8 (CH), 140.2 (Cq), 147.5 (CH), 149.2 (Cq), 157.8 (Cq), 159.5 (Cq), 160.3 (Cq). HRMS (EI/MS): m/z calculated for C20H22N7O3 [M + H]+: 408.1706; found 408.1803.
3-(7-(Azidomethyl)-4-morpholinylpyrido[3,2-d]pyrimidin-2-yl)phenol (19). The reaction was carried out as described in general procedure C using 18 (40 mg, 0.10 mmol) to afford 19 as a yellow solid (35 mg, 98%). Rf (CH2Cl2/MeOH, 99/1): 0.05. Mp: 169–171 °C. IR (ATR diamond, cm−1) ν: 3383, 3043, 2868, 2096, 1613, 1552, 1511, 1434, 1307, 1111, 1021, 862, 731, 670. 1H NMR (400 MHz, CDCl3) δ: 3.89 (m, 4H, 2 × CH2(O)), 4.70 (bs, 4H, 2 × CH2(N)), 4.89 (s, 2H, CH2N3), 7.12 (m, 1H), 7.43 (m, 1H), 7.87 (m, 2H), 8.49 (s, 1H), 8.87 (s, 1H), 10.06 (bs, 1H, OH). 13C NMR (101 MHz, CDCl3) δ: 48.4 (2 × CH2), 50.4 (CH2), 66.3 (2 × CH2), 115.4 (CH), 119.6 (2 × CH), 130.0 (CH), 132.7 (Cq), 133.8 (Cq), 137.4 (CH), 139.9 (Cq), 146.9 (CH), 148.8 (Cq), 157.8 (Cq), 159.1 (Cq), 160.0 (Cq). HRMS (EI/MS): m/z calculated for C18H18N7O2 [M + H]+: 364.1444; found 364.1517.
3-(7-((4-((Dimethylamino)methyl)-1H-1,2,3-triazol-1-yl)methyl)-4-morpholinylpyrido[3,2-d]pyrimidin-2-yl)phenol (20). To a solution of 19 (80 mg, 0.22 mmol) in MeCN (3 mL) were added CuOAc.H2O (25 µL, C = 0.4 M, 0.011 mmol, 0.05 eq.), 3-dimethylamino-1-propyne (26 µL, 0.22 mmol, 1.0 eq.) and a few drops of triethylamine until the products were soluble in the solvent. The reaction was stirred at room temperature for 12 h, before removing the solvent in vacuo. The crude product was dissolved in CH2Cl2 (30 mL) and the organic layer was washed with a saturated solution of NaHCO3 (10 mL) and brine (10 mL). The organic layer was dried over MgSO4 and filtered. The solvent was removed under reduced pressure. The crude product was purified by precipitation with CH2Cl2 to afford 20 as a yellow solid (30 mg, 31%). Mp: 224–226 °C. IR (Diamond ATR, cm−1) ν: 3271, 2856, 1595, 1557, 1508, 1437, 1308, 1269, 1166, 1113, 1062, 1029, 968, 792, 739, 674, 1H NMR (400 MHz, DMSO-d6) δ: 2.18 (bs, 6H, 2 × CH3), 3.55 (bs, 2H, CH2), 3.83 (m, 4H, 2 × CH2(N)), 4.51 (m, 4H, 2 × CH2(O)), 5.89 (s, 2H, CH2OCH3), 6.90 (d, 1H, J = 7.8 Hz), 7.30 (t, 1H, J = 8.0 Hz), 7.87 (d, 2H, J = 6.6 Hz), 7.94 (s, 1H), 8.24 (s, 1H, CH), 8.73 (s, 1H, H6), 9.55 (s, 1H, OH). 13C NMR (101 MHz, DMSO-d6) δ: 45.0 (2 × CH3), 48.1 (2 × CH2), 50.4 (CH2), 55.4 (CH2), 66.8 (2 × CH2), 115.3 (CH), 118.1 (CH), 119.5 (CH), 124.8 (CH), 129.8 (CH), 132.3 (Cq), 135.0 (CH), 136.3 (Cq), 139.5 (Cq), 144.4 (Cq), 146.4 (CH), 147.8 (Cq), 157.9 (Cq), 158.8 (Cq), 159.6 (Cq). HRMS (EI-MS): m/z calculated for C23H27N8O2 [M + H]+, 447.2257 found 447.2251.
3-(7-((4-(Methoxymethyl)-1H-1.2.3-triazol-1-yl)methyl)-4-morpholinylpyrido[3,2-d]pyrimidin-2-yl)phenol (21). To a solution of 19 (80 mg, 0.22 mmol, 1.0) in MeCN (4 mL) were added CuI (3 mg, 0.01 mmol, 0.05 eq.), 3-methoxy-1-propyne (19 µL, 0.22 mmol, 1.0 eq.) and a few drops of triethylamine until the products were soluble in the solvent. The reaction was stirred at room temperature for 12 h, before removing the solvent in vacuo. The crude product was dissolved in EtOAc (30 mL) and the organic layer was washed with a saturated solution of NaHCO3 (10 mL) and brine (10 mL). The organic layer was dried over MgSO4 and filtered. The solvent was removed under reduced pressure. The crude product was purified by flash chromatography on silica gel (CH2Cl2/MeOH, 99/1) to afford 21 as a yellow solid (73 mg, 79%). Rf (CH2Cl2/MeOH, 99/1): 0.05. Mp: 241–243 °C. IR (ATR diamond, cm−1) ν: 3130, 2856, 1589, 1552, 1516, 1430, 1315, 1275, 1107, 1062, 1029, 968, 792, 739, 674. 1H NMR (400 MHz, DMSO-d6) δ: 3.28 (s, 3H, CH3), 3.81 (m, 4H, 2 × CH2(N)), 4.47 (m, 6H, CH2 and 2 × CH2(O)), 5.88 (s, 2H, CH2(O)), 6.89 (d, 1H, J = 7.8 Hz), 7.28 (t, 1H, J = 8.0 Hz), 7.87 (d, 2H, J = 6.6 Hz), 7.94 (s, 1H), 8.32 (s, 1H, CH), 8.72 (s, 1H), 9.53 (s, 1H, OH). 13C NMR (101 MHz, DMSO-d6) δ: 47.6 (2 × CH2), 49.9 (CH2), 57.4 (CH3), 64.9 (CH2), 66.4 (2 × CH2), 114.8 (CH), 117.6 (CH), 119.0 (CH), 124.5 (CH), 129.3 (CH), 131.8 (Cq), 134.5 (CH), 135.8 (Cq), 139.0 (Cq), 144.4 (Cq), 145.9 (CH), 147.3 (Cq), 157.4 (Cq), 158.4 (Cq), 159.2 (Cq). HRMS (EI/MS): m/z calculated for C22H24N7O3 [M + H]+: 434.1862; found 434.1939.
3-(7-((4-((Methoxymethoxy)methyl)-1H-1,2,3-triazol-1-yl)methyl)-4-morpholinyl pyrido[3,2-d]pyrimidin-2-yl)phenol (22). To a solution of 19 (45 mg, 0.13 mmol) in MeCN (4 mL) were added CuI (1.2 mg, 0.006 mmol, 0.05 eq.), methoxy(prop-2-yn-1-yloxy)methane (14 mg, 0.14 mmol, 1.1 eq.) and a few drops of triethylamine until the products were soluble in the solvent. The reaction was stirred at room temperature for 12 h, before removing the solvent in vacuo. The crude product was dissolved in CH2Cl2 (30 mL) and the organic layer was washed with a saturated solution of NaHCO3 (10 mL) and brine (10 mL). The organic layer was dried over MgSO4 and filtered. The solvent was removed under reduced pressure. The crude product was purified by flash chromatography on silica gel (CH2Cl2/MeOH, 98/2) to afford 22 as a brown pale solid (15 mg, 25%). Mp: 218–220 °C. IR (Diamond ATR, cm−1) ν: 3204, 2937, 1618, 1589, 1552, 1516, 1430, 1315, 1275, 1107, 1062, 1029, 968, 792, 739, 674. 1H NMR (400 MHz, CDCl3) δ: 3.29 (s, 3H, CH3), 3.82 (m, 4H, 2 × CH2(N)), 4.47 (m, 4H, 2 × CH2(O)), 4.61 (s, 2H, CH2), 4.65 (s. 2H, CH2), 5.90 (s, 2H, CH2), 6.89 (d, 1H, J = 7.8 Hz), 7.30 (t, 1H, J = 8.0 Hz), 7.88 (d, 2H, J = 6.6 Hz), 7.96 (s, 1H), 8.35 (s, 1H, CH), 8.74 (s, 1H), 9.55 (s, 1H, OH). 13C NMR (101 MHz, CDCl3) δ: 47.6 (2 × CH2), 49.9 (CH2), 56.6 (CH3), 61.7 (CH2), 68.2 (2 × CH2), 95.5 (CH2), 115.4 (CH), 118.0 (CH), 119.7 (CH), 122.9 (CH), 125.3 (CH), 129.8 (CH), 135.0 (Cq), 136.0 (Cq), 139.1 (Cq), 144.8 (Cq), 146.4 (CH), 147.8 (Cq), 157.9 (Cq), 158.8 (Cq), 159.5 (Cq). HRMS (EI-MS): m/z calculated for C23H26N7O4 [M + H]+, 464.2046 found 464.2041.
3-(7-((4-(Hydroxymethyl)-1H-1,2,3-triazol-1-yl)methyl)-4-morpholinylpyrido[3,2-d]pyrimidin-2-yl)phenol (23). To a solution of 19 (82 mg, 0.23 mmol) in MeCN (4 mL) were added CuI (4 mg, 0.01 mmol, 0.05 eq.), 2-propyn-1-ol (16 µL, 0.25 mmol, 1.1 eq.) and a few drops of triethylamine until the products were soluble in the solvent. The reaction was stirred at room temperature for 12 h, before removing the solvent in vacuo. The crude product was dissolved in CH2Cl2 (30 mL) and the organic layer was washed with a saturated solution of NaHCO3 (10 mL) and brine (10 mL). The organic layer was dried over MgSO4 and filtered. The solvent was removed under reduced pressure. The crude product was purified by flash chromatography on silica gel (CH2Cl2/MeOH, 98/2) to afford 23 as a yellow solid (49 mg, 51%). Rf (CH2Cl2/MeOH, 98/2): 0.04. Mp: 238–240 °C. IR (ATR diamond, cm−1) ν: 3154, 2962, 2848, 1605, 1556, 1495, 1458, 1348, 1266, 1115, 1025, 886, 739, 678. 1H NMR (400 MHz, DMSO-d6) δ: 3.81 (m, 4H, 2 × CH2(N)), 4.50 (s, 4H, 2 × CH2(O)), 4.54 (d, 2H, J = 5.6 Hz, CH2), 4.64 (s. 2H, CH2), 5.20 (t, 1H, J = 5.6 Hz, OH), 5.87 (s, 1H, CH), 6.89 (d, 1H, J = 7.8 Hz), 7.28 (t, 1H, J = 8.0 Hz), 7.84 (m, 2H), 7.94 (d, 1H, J = 2.0 Hz), 8.72 (d, 1H, J = 2.0 Hz), 9.53 (s, 1H, OH). 13C NMR (101 MHz, DMSO-d6) δ: 47.6 (2 × CH2), 49.9 (CH2), 55.0 (CH2), 66.4 (2 × CH2), 114.8 (CH), 117.6 (CH), 119.0 (CH), 123.4 (Cq), 129.3 (CH), 131.8 (CH), 134.4 (Cq), 136.0 (Cq), 139.0 (CH), 145.9 (CH), 147.3 (Cq), 148.6 (Cq), 157.4 (Cq), 158.4 (Cq), 159.2 (Cq). HRMS (EI/MS): m/z calculated for C21H21N7O3 [M + H]+: 420.1706; found 420.1784.
3-(7-((4-(Fluoromethyl)-1H-1,2,3-triazol-1-yl)methyl)-4-morpholinylpyrido[3,2-d]pyrimidin-2-yl)phenol (24). Derivative 18 (35 mg, 0.17 mmol) was subjected to the triazole formation using the same procedure as described for 23. The crude material was dissolved in dry CH2Cl2 (4 mL) and the mixture was cooled to 0 °C under inert atmosphere. A solution of DAST (11 µL, 0.083 mmol, 1.1 eq) was added slowly. After stirring at 0 °C, 22 µL of DAST (0.34 mmol, 2.0 eq) was added again. The mixture was stirred at 0 °C for 1 h. Hydrolysis was performed with a saturated solution of NaHCO3 (10 mL). The organic layer was extracted with CH2Cl2 (3 × 10 mL). The organic layer was dried over MgSO4 and filtered. The solvent was removed under reduced pressure. The crude product directly underwent the reaction described in general procedure C to afford 24 as a yellow solid (44 mg, 62%). Mp: 168–170 °C. IR (Diamond ATR, cm−1) ν: 3354, 3046, 1620, 1562, 1506, 1425, 1314, 1266, 1115, 1025, 886, 739, 678. 1H NMR (400 MHz, DMSO-d6) δ: 3.86 (m, 4H, 2 × CH2(N)), 4.56 (s, 4H, 2 × CH2 (O)), 5.55 (d, 2H, J = 48.0 Hz, CH2 F), 5.92 (s, 1H, CH), 6.01 (s, 2H, CH2), 7.03 (m, 1H), 7.39 (t, 1H, J = 8.0 Hz), 7.77 (m, 1H), 7.83 (d, 1H, J = 2.0 Hz), 8.09 (s, 1H, CH), 8.56 (d, 1H, J = 2.0 Hz), 8.86 (s, 1H, OH). 13C NMR (101 MHz, DMSO-d6) δ: 47.6 (2 × CH2), 55.0 (CH2), 66.4 (2 × CH2), 76.4 (d, J = 159.0 Hz, CH2), 114.8 (CH), 117.6 (CH), 119.0 (CH), 123.4 (Cq), 129.3 (CH), 131.8 (CH), 134.4 (Cq), 136.0 (Cq), 139.0 (CH), 145.9 (CH), 147.3 (Cq), 148.6 (Cq), 157.4 (Cq), 158.4 (Cq), 159.2 (Cq). 19F NMR (376 MHz, DMSO-d6) δ: −202.6 (CH2F). HRMS (EI-MS): m/z calculated for C21H21FN7O2 [M + H]+, 422.1741 found 422.1735.
2-(2-(3-(Methoxymethoxy)phenyl)-4-morpholinylpyrido[3,2-d]pyrimidin-7-yl)aceto nitrile (25). To a solution of t-BuOK (108 mg, 0.962 mmol, 1.6 eq.) in dry DME (4 mL) at -50 °C, were added dropwise a solution of TosMIC (141 mg, 0.722 mmol, 1.2 eq.) in dry DME (4 mL) and after 10 min a solution of 8 (230 mg, 0.602 mmol). The reaction was stirred at −50 °C for 40 min, then MeOH (5mL) was added and the solution was refluxed for 1 h. The solvent was removed in vacuo, with the crude product diluted in EtOAc (30 mL). The organic layers were washed with water (2 × 10 mL) and dried over MgSO4 and filtered. The solvent was removed under reduced pressure. The crude product was purified by flash chromatography on silica gel (CH2Cl2/MeOH, 99.4/0.6) to afford 25 as a yellow solid (109 mg, 46%). Rf (CH2Cl2/MeOH, 99.4/0.6): 0.15. Mp: 158-160 °C. IR (ATR diamond, cm−1) ν: 2952, 2259, 1600, 1553, 1524, 1502, 1435, 1350, 1271, 1150, 1112, 1078, 1017, 967, 916, 875, 736, 685. 1H NMR (400 MHz, CDCl3) δ: 3.56 (s, 3H, CH3), 3.95 (m, 6H, CH2CN and 2 × CH2(N)), 4.61 (m, 4H, 2 × CH2(O)), 5.31 (s, 2H, CH2), 7.20 (ddd, 1H, J = 1.1 Hz, J = 2.5 Hz, J = 8.1 Hz), 7.43 (t, 1H, J = 7.9 Hz), 8.16 (m, 3H), 8.62 (d, 1H, J = 2.3 Hz, H6). 13C NMR (101 MHz, CDCl3) δ: 21.6 (CH2), 48.3 (2 × CH2), 56.3 (CH3), 67.4 (2 × CH2), 94.7 (CH2), 116.6 (CH), 118.6 (CH), 122.4 (CH), 129.5 (CH), 129.6 (Cq), 132.9 (Cq), 135.6 (CH), 139.8 (Cq), 145.0 (CH), 148.1 (Cq), 157.6 (Cq), 159.2 (Cq), 160.6 (Cq). HRMS (EI/MS): m/z calculated for C21H21N5O3 [M + H]+: 392.1644; found 392.1718.
2-(2-(3-Hydroxyphenyl)-4-morpholinylpyrido[3,2-d]pyrimidin-7-yl)acetonitrile (26). The reaction was carried out as described in general procedure C using 25 (100 mg, 0.255 mmol) to afford 26 as a yellow solid (74 mg, 84%). Rf (CH2Cl2/MeOH, 99/1): 0.12. Mp: 201–203 °C. IR (ATR diamond, cm−1) ν: 3402, 2930, 2246, 1616, 1556, 1505, 1439, 1385, 1318, 1245, 1116, 1024, 865, 732. 1H NMR (250 MHz, DMSO-d6) δ: 3.87 (m, 4H, 2 × CH2(N)), 4.44 (s, 2H, CH2), 4.66 (m, 4H, 2 × CH2(O)), 7.08 (d, 1H, J = 8.0 Hz), 7.41 (t, 1H, J = 7.9 Hz), 8.04-7.76 (m, 2H), 8.46 (s, 1H), 8.82 (d, 1H, J = 2.0 Hz, H6), 9.85 (s, 1H, OH). 13C DEPT NMR (101 MHz, DMSO-d6) δ: 21.5 (CH2), 48.9 (2 × CH2), 66.5 (2 × CH2), 112.7 (CH), 117.4 (CH), 121.2 (CH), 130.8 (CH), 134.8 (CH). HRMS (EI/MS): m/z calculated for C19H18N5O2 [M + H]+: 348.1382; found 348.1455.
4-(2-(3-(Methoxymethoxy)phenyl)-7-(2-methoxyvinyl)pyrido[3,2-d]pyrimidin-4-yl)morpholine (27). To a solution of methoxymethyltriphenylphosphonium chloride (665 mg, 1.94 mmol, 1.5 eq.) in dry THF (15 mL) at 0 °C was added dropwise a solution of tBuOK (1.94 mL, 1.94 mmol, 1.5 eq.). The mixture was stirred at 0 °C for 1h until a solution of 8 (490 mg, 1.29 mmol) in dry THF (15 mL) was dropwise added. The reaction was stirred at room temperature for 48 h, then H2O (30 mL) were added and the crude product diluted in EtOAc (30 mL). The organic layers were extracted with EtOAc (2 × 10 mL) and dried over MgSO4 and filtered. The solvent was removed under reduced pressure. The crude product was purified by flash chromatography on silica gel (petroleum ether/EtOAc, 8/2) to afford 27 as a colorless oil containing a mixture of two isomers (327 mg, 80%). IR (Diamond ATR, cm−1) ν: 3293, 2856, 1528, 1495, 1442, 1352, 1111, 1021, 861, 739. 1H NMR (400 MHz, CDCl3) δ: 3.55 (s, 3H, CH3), 3.80 (s, 3H, CH3 isomer E), 3.92 (s, 2H, CH3 isomer Z), 3.94 (m, 4H, 2 × CH2(N)), 4.48 (m, 4H, 2 × CH2(O)), 5.30 (s, 2H, CH2), 5.37 (d, 1H, J = 6.8 Hz, CH isomer Z), 5.90 (d, 1H, J = 13.0 Hz, CH isomer E), 6.45 (d, 1H, J = 6.8 Hz, CH isomer Z), 7.35 (d, 1H, J = 13.0 Hz, CH isomer E), 7.41 (t, 1H, J = 8.1 Hz), 7.95 (d, 1H, J = 1.9 Hz, isomer E), 8.17 (m, 2H), 8.42 (d, 1H, J = 1.9 Hz, isomer Z), 8.58 (d, 1H, J = 1.9 Hz, isomer E), 8.77 (d, 1H, isomer Z). 13C NMR (101 MHz, CDCl3) δ: 48.0 (2 × CH2), 56.0 (CH3), 57.2 (OCH3), 61.2 (OCH3), 67.3 (2 × CH2), 94.5 (2 × CH2), 100.9 (CH isomer E), 101.1 (CH isomer Z), 110.4 (Cq), 116.2 (CH), 116.3(CH), 117.9 (CH), 118.0 (CH), 119.8 (CH), 129.9 (CH), 130.4 (CH), 130.8 (Cq), 133.6 (CH), 135.4 (Cq), 135.9 (Cq) 147.8 (Cq), 148.4 (Cq), 148.2 (CH), 146.3 (CH) 152.1 (CH isomer Z), 152.2 (CH isomer E), 157.3 (Cq), 57.4 (Cq), 158.1 (Cq), 159.2 (Cq), 159.6 (Cq), 159.9 (Cq); HRMS (EI-MS): m/z calculated for C20H21N4O3 [M + H]+, 365.1676, found 365.1770.
2-(2-(3-(Methoxymethoxy)phenyl)-4-morpholinylpyrido[3,2-d]pyrimidin-7-yl) acetaldehyde oxime (28). To a solution of 27 (60 mg, 0.178 mmol) in 20 mL THF/H2O (3/1) was added mercury acetate (800 mg, 2.51 mmol, 3.0 eq.) at 0 °C. The reaction was stirred for 2 h at 0 °C and brine (5 mL) was added. The organic layers were extracted with EtOAc (3 × 10 mL) and dried over MgSO4 and filtered. The solvent was removed under reduced pressure. The crude aldehyde was directly dissolved in CH2Cl2 (10 mL), hydroxylammonium chloride (112 mg, 1.62 mmol, 2.0 eq.) and next triethylamine (338 µL, 2.43 mmol, 4.0 eq.) were added. The reaction was stirred for 12 h at room temperature, and an aqueous solution of saturated NaHCO3 (5 mL) was then added. The organic layers were washed with water (2 × 5 mL) and dried over MgSO4 and filtered. The solvent was removed under reduced pressure. The crude product was purified by flash chromatography on silica gel (petroleum ether/EtOAc, 1/1) to afford 28 as yellow solid containing the two stereoisomers (154 mg, 45%). Mp: 154–156 °C. IR (Diamond ATR, cm−1) ν: 3200, 2911, 1701, 1640, 1508, 1461, 1426, 1268, 1154, 1116, 1071, 1008, 957, 739. 1H NMR (400 MHz, CDCl3) δ: 3.52 (s, 3H, CH3), 3.72 (d, J = 6.1 Hz, CH2 for E), 3.92 (m, 6H, CH2 for Z et 2 × CH2(N)), 4.60 (m, 4H, 2 × CH2(O)), 5.28 (s, 2H, CH2), 6.88 (t, J = 5.5 Hz, 1H, CHoxime), 7.18 (m, 1H), 7.40 (t, 1H, J = 7.5 Hz), 7.62 (t, J = 6.1 Hz, 1H, CHoxime), 8.12 (m, 4H,), 8.56 (d, J = 2.0 Hz, 1H, isomer Z), 8.58 (d, J = 2.0 Hz, 1H, isomer E), 8.85 (bs, 1H, OH). 13C NMR (101 MHz, CDCl3) δ: 28.8 (CH2 for Z), 33.3 (CH2 for E), 48.4 (2 × CH2), 55.9 (CH3), 66.6 (2 × CH2), 94.6 (CH2), 115.7 (CH), 118.5 (CH), 122.8 (CH), 129.6 (CH), 131.9 (Cq), 135.1 (CH), 136.2 (Cq), 139.8 (Cq), 146.9 (CH), 147.0 (Cq), 148.3 (CH for E), 148.7 (CH for Z), 157.4 (Cq), 159.2 (Cq), 160.2 (Cq). HRMS (EI-MS): m/z calculated for C21H24N5O4 [M + H]+, 410.1828, found 410.1823.
4-(2-(3-(Methoxymethoxy)phenyl)-7-((5-(methoxymethyl)isoxazol-3-yl)methyl)pyrido [3,2-d]pyrimidin-4-yl)morpholine (29). To a solution of 28 (60 mg, 0.178 mmol) in 4 mL of THF was added methyl propargyl ether (20 µL, 0.22 mmol, 1.1 eq.) and sodium hypochlorite (246 µL, 0.43 mmol, 2.0 eq.) at room temperature. The reaction was stirred for 12 h and H2O (5 mL) was added. The organic layers were extracted with EtOAc (3 × 10 mL), dried over MgSO4 and filtered. The solvent was removed under reduced pressure. The crude product was purified by flash chromatography on silica gel (EA/EP, 1/1) to afford 29 as a yellow oil (42 mg, 50%). IR (Diamond ATR, cm−1) ν: 2923, 2852, 1701, 1640, 1508, 1461, 1426, 1268, 1154, 1116, 1071, 1008, 957, 739; 1H NMR (400 MHz, CDCl3) δ: 3.41 (s, 3H, CH3), 3.52 (s, 3H, CH3), 3.92 (m, 4H, 2 × CH2(N)), 4.20 (s, 2H, CH2), 4.50 (s, 2H, CH2), 4.60 (m, 4H, 2 × CH2(O)), 5.28 (s, 2H, CH2), 6.88 (t, J = 5.5 Hz, 1H, CH), 7.18 (m, 1H), 7.40 (t, 1H, J = 7.5 Hz), 8.15 (m, 3H), 8.58 (d, J = 2.0 Hz, 1H, H6), 13C NMR (101 MHz, CDCl3) δ: 30.0 (CH2), 47.7 (2 × CH2), 56.2 (CH3), 59.1 (CH3), 65.7 (CH2), 67.4 (2 × CH2), 94.8 (CH2), 100.1 (Cq), 102.5 (CH), 116.5 (CH), 118.3 (CH), 122.1 (CH), 129.4 (CH), 135.4 (Cq), 136.5 (CH), 136.2 (Cq), 146.9 (CH), 157.2 (Cq), 157.7 (Cq), 159.2 (Cq), 161.2 (Cq), 170.1 (Cq). HRMS (EI-MS): m/z calculated for C25H28N5O5 [M + H]+, 478.2090, found 478.2085.
3-(7-((5-(Methoxymethyl)isoxazol-3-yl)methyl)-4-morpholinylpyrido[3,2-d]pyrimidin-2-yl)phenol (30). The reaction was carried out as described in general procedure C using 29 (50 mg, 0.123 mmol) to afford 30 as a yellow solid (52 mg, 98%). Mp: 169–171 °C; IR (Diamond ATR, cm−1) υ: 3200, 2911, 1701, 1640, 1508, 1461, 1426, 1268, 1154, 1116, 1071, 1008, 957, 739; 1H NMR (400 MHz, DMSO-d6) δ: 3.52 (s, 3H, CH3), 3.90 (m, 4H, 2 × CH2(N)), 4.37 (s, 2H, CH2), 4.54 (s, 2H, CH2), 4.69 (m, 4H, 2 × CH2(O)), 6.88 (s, 1H, CH), 7.18 (m, 1H), 7.40 (t, 1H, J = 7.5 Hz), 7.80 (m, 2H), 8.38 (m, 1H), 8.88 (d, J = 2.0 Hz, 1H), 10.0 (bs, 1H, OH). 13C NMR (101 MHz, DMSO-d6) δ: 30.0 (CH2), 47.7 (2 × CH2), 58.2 (CH3), 66.0 (CH2), 68.4 (2 × CH2), 104.5 (CH), 116.5 (CH), 118.3 (CH), 120.1 (CH), 130.6 (CH), 135.4 (Cq), 136.2 (CH), 136.5 (Cq), 139.8 (Cq), 146.9 (CH), 147.0 (Cq), 157.1 (Cq), 157.6 (Cq), 159.2 (Cq), 163.1 (Cq), 170.1 (Cq). HRMS (EI-MS): m/z calculated for C23H24N5O4 [M + H]+, 434.1828, found 434.1823.
2-(3-Hydroxyphenyl)-4-morpholinylpyrido[3,2-d]pyrimidine-7-carbaldehyde oxime (31). To a solution of 10 (66 mg, 0.196 mmol), in CH2Cl2 (10 mL) was added hydroxylammonium chloride (16 mg, 0.236 mmol, 1.2 eq.) and triethylamine (33 µL, 0.236 mmol, 1.2 eq.). The reaction was stirred for 12 h at room temperature, an aqueous solution of saturated NaHCO3 (5 mL) was added. The organic layers were washed with water (2 × 5 mL), dried over MgSO4 and filtered. The solvent was removed under reduced pressure. The crude product was purified by flash chromatography on silica gel (CH2Cl2/MeOH, 99/1) to afford 31 as a yellow solid (43 mg, 62%). Rf (CH2Cl2/MeOH, 99/1): 0.10. Mp: 231–233 °C. IR (ATR diamond, cm−1) ν: 3277, 2864, 1736, 1561, 1520, 1434, 1356, 1311, 1234, 1107, 972, 739, 678. 1H NMR (400 MHz, DMSO-d6) δ: 3.91–3.69 (m, 4H, 2 × CH2(N)), 4.50 (m, 4H, 2 × CH2(O)), 6.90 (dd, 1H, J = 1.8 Hz, J = 7.7 Hz), 7.30 (t, 1H, J = 8.0 Hz), 7.99–7.81 (m, 2H), 8.23 (d, 1H, J = 2.0 Hz), 8.40 (s, 1H), 9.00 (d, 1H, J = 2.0 Hz), 9.54 (d, 1H, J = 5.7 Hz, OH), 11.92 (s, 1H, CNH). 13C NMR (101 MHz, DMSO-d6) δ: 47.3 (2 × CH2), 66.4 (2 × CH2), 114.9 (CH), 117.6 (CH), 119.0 (CH), 129.3 (CH), 132.1 (Cq), 132.3 (Cq), 133.5 (CH), 139.1 (Cq), 143.5 (CH), 145.7 (CH), 147.6 (Cq), 157.4 (Cq), 158.4 (Cq), 159.3 (Cq). HRMS (EI/MS): m/z calculated for C18H18N5O3 [M + H]+: 352.1331; found 352.1407.
2-(3-Hydroxyphenyl)-4-morpholinylpyrido[3,2-d]pyrimidine-7-carbaldehyde O-methyl oxime (32). Compound 32 was obtained as described for 31 starting from 10 (60 mg, 0.178 mmol) and using methoxyammonium chloride (20 mg, 0.232 mmol, 1.2 eq.). The crude product was purified by flash chromatography on silica gel (CH2Cl2/MeOH, 99/1) to afford 32 as a yellow solid (44 mg, 68%). Rf (CH2Cl2/MeOH, 99/1): 0.28. Mp: 244–246 °C. IR (ATR diamond, cm−1) ν: 3040, 2962, 1517, 1442, 1348, 1148, 1115, 1054, 927, 743, 674. 1H NMR (400 MHz, DMSO-d6) δ: 3.83 (m, 4H, 2 × CH2(N)), 4.00 (s, 3H, CH3), 4.50 (m, 4H, 2 × CH2(O)), 6.90 (d, 1H, J = 8.1 Hz), 7.30 (t, 1H, J = 8.1 Hz), 7.88 (s, 2H), 8.28 (s, 1H), 8.49 (s, 1H, Hoxime), 8.97 (s, 1H, H6), 9.55 (s, 1H, OH). 13C NMR (101 MHz, DMSO-d6) δ: 48.7 (2 × CH2), 62.3 (CH3), 66.3 (2 × CH2), 114.9 (CH), 117.7 (CH), 119.0 (CH), 121.1 (Cq), 129.3 (CH), 131.1 (Cq), 132.4 (Cq), 134.2 (Cq), 143.6 (CH), 146.2 (CH), 157.4 (Cq), 158.4 (Cq), 159.3 (Cq), 164.8 (CH). HRMS (EI/MS): m/z calculated for C19H20N5O3 [M + H]+: 366.1561; found 366.1564.
3.2. Molecular Modeling
2D ligand structures were prepared for docking using VSPrep [43]. Tautomer distribution, at pH = 7.4, was evaluated within VSPrep from Chemaxon software [44] and the best tautomer in terms of percentage of the corresponding distribution and visual inspection was retained. A 3D conformation of each compound was finally generated as molecular input for docking.
Protein structure complexes were downloaded from the Protein Data Bank (https://www.rcsb.org/, accessed on 20 August 2018). Chains A and B of PDB ID 4JT6 of the mTOR-PI103 complex structure were separated into two individual structures. Water molecules were removed from PDB ID 4L23, resulting in 4L23 chain A and the corresponding ligand X6K. Complex from PDB ID 4JT6 was separated following the same way, resulting in two complexes of chain A and chain B with their respective X6K ligand. These two chains from PDB ID 4JT6 and the chain from PDB ID 4L23 were superimposed on the kinase library available in the MOE Molecular Suite. [39]
Protein structure complexes were next prepared, with default parameters, within the Protein Preparation Wizard of Maestro from the Schrodinger Molecular Suite [45]. A first step of preprocessing, where bond orders are assigned using the Chemical Components Dictionary database, hydrogen atoms are added, disulfide bonds are created if necessary and ‘het states’ are generated from Epik at pH = 7.0 ± 2.0, is followed by a step of review and modification and finally a step of refinement, where PROPKA with pH = 7.0 is used. Finally, the complex is minimized under a convergence RMSD threshold of 0.30 Å regarding heavy atoms, concluding the preparation. Next, a receptor grid, for each of the three complexes, was generated. Each grid was centered on the co-crystalized ligand PI103 (ligand ID XK6) used as a reference to design the size of the enclosing box. Finally, docking studies were carried out with the Glide module from the Schrodinger Molecular Suite [33].
The docking protocol was validated by redocking the PI103 ligand from a 2D structure. Docking calculations were performed with the XP scoring function with default parameters. Ligand flexibility and ring conformation sampling were taken into account during docking. For each ligand, postdocking minimization was performed on 10 poses. They reproduced complexes with RMSD on heavy atoms of 0.62, 0.22 and 0.27 Å regarding 4JT6.A, 4JT6.B and 4L23, respectively.
3.3. Biological Assays
Cell culture. Skin normal fibroblastic cells were purchased from Lonza (Basel, Switzerland), HuH7, Caco-2, MDA-MB-231 and Hacat cancer cell lines were obtained from the ECACC collection (Porton Down, UK). Cells were grown at 37 °C, 5% CO2 in ECACC recommended media: DMEM for HuH7, MDA-MB-231 and fibroblast, EMEM for CaCo-2 and Hacat. All culture media were supplemented by 10% of FBS, 1% of penicillin-streptomycin and 2 mM glutamine.
Cytotoxic assay. Chemicals were solubilized in DMSO at a concentration of 10 mM (stock solution) and diluted in culture medium to the desired final concentrations. The dose effect cytotoxic assays (IC50 determination) were performed by increasing the concentrations of each chemical (final well concentrations: 0.1, 0.3, 0.9, 3, 9, and 25 μM). Cells were plated in 96-well plates (4000 cells/well). Twenty-four hours after seeding, cells were exposed to chemicals. After 48h of treatment, cells were washed in PBS and fixed in cooled 90% ethanol/5% acetic acid for 20 min and the nuclei were stained with Hoechst 33,342 (B2261 Sigma). Image acquisition and analysis were performed using a Cellomics ArrayScan VTI/HCS Reader (ThermoScientific). The survival percentages were calculated as the percentage of cell number after compound treatment over cell number after DMSO treatment. The relative IC50 were calculated using the curve fitting XLfit 5.5.0.5 (idbs) integrated in Microsoft Excel as an add-on. The 4 Parameter Logistic Model or Sigmoidal Dose-Response Model was used (fit = (A + ((B − A)/(1 + ((C/x)^D))))).
Western Blot Analysis. Caco-2 cells were grown in the presence of inhibitors (1 μM) for 48 h. Cellular lysates (PBS/5% SDS lysis buffer containing protease inhibitors and phosphatase inhibitors) were subjected to SDS−polyacrylamide (10%) gel electrophoresis and transferred onto PVDF membranes. Immunoblotting was done using rabbit monoclonal antibodies (Cell Signaling Technology, Ozyme, France) directed against Akt phosphorylated on Thr308 (ref 4056) or using mouse monoclonal antibodies (Sigma–Aldrich Co. ref A1978) directed against Actin. HRP-conjugated rabbit anti-mouse or goat anti-rabbit antibodies (Invitrogen) (1:33 000) were used as secondary antibodies. Immunoreactive bands were detected using the enhanced chemiluminescence reagent (SuperSignal™ West Dura Extended Duration Substrate, Fisher Scientific, France). For quantification, blots were analyzed using Genetools software (Syngene, Frederick, MD, USA).
3.4. Kinase Tests
PI3K kinase activity was measured with the Adapta™ assay kit (Invitrogen, PV5099, Life Technologies, Carlsbad, CA, USA) while mTOR kinase activity was measured with the LANCETM Ultra kit (Perkin Elmer). The Adapta™ assay kit uses a tracer in the form of ADP linked to an acceptor fluorophore (AlexaFluor 647) and an antibody Anti-ADP linked to a donor fluorophore (Eu). Depending on the efficiency of the inhibitor, the level of ADP (which competes with the tracer) will vary, thereby directly affecting the binding of the tracer to the antibody. The TR-FRET signal will evolve accordingly. The working concentrations were 10 μM for ATP (which is lower than the Km) and 50 μM for PIP2 (equal to the Km). The experimental process was the following: the inhibitor solution (2.5 µL) was injected in a plate followed by the addition of 2.5 µL of PI3Kα and ATP/PIP2 (5 µL) solutions. After incubating for an hour at room temperature with no agitation and with the plate sealed, the kinase reaction was stopped by adding the Detection Solution to yield final concentrations of 10 nM for the tracer, 2 nM for the antibody and 30 mM of EDTA (5 µL). All of these compounds were diluted in a Detection Buffer (PV3574, Invitrogen) and the plate was sealed and incubated for the optimal time of 30 min at room temperature without shaking before the reading step. Emission values at 615 nm (corresponding to the donor) and 665 nm (corresponding to the acceptor) were measured and the TR-FRET signal corresponding to the ratio Em 665/Em 615 was calculated.
The LANCETM Ultra kit (Perkin Elmer) contains a synthetic peptide of 4E-BP1, a natural substrate of mTOR, linked to an acceptor fluorophore (ULight) and an antibody against the phosphorylated form of this peptide linked to a donor fluorophore (Eu). The amount of antibody bound to the peptide is directly related to its rate of phosphorylation. Therefore, the TR-FRET signal decreases with the rate of peptide phosphorylation and a higher concentration of mTOR inhibitor. The experimental process was the following: inhibitor solution (2.5 µL) was injected in a plate followed by the addition of 2.5 µL of mTOR, and ATP/peptide (2.5 µL) solutions. After incubating for two hours at room temperature with no agitation and with the plate sealed, the kinase reaction was stopped by adding 5 μL of a solution at 32 mM EDTA. After 5 min of plate agitation, the detection solution (CR97-100, Perkin-Elmer) containing the antibody (5 μL) was added in each well to yield a final concentration of 2 nM of the antibody. The plate was sealed and incubated for the optimal time of 1h at room temperature without shaking before the assay readout at 665 nm.
Kinase tests using capillary electrophoresis (CE):
The CE system used was a 1600 Hewlett Packard3DCE (Agilent, Waldbronn, Germany) equipped with a photodiode array detection system. Agilent software 3D-CE Chemstation (rev B.04.02) was used to pilot the CE system and for signal acquisition. CE analyses were performed in silica capillaries (66 cm total length, 57.5 cm effective length, 50 µm i.d.) purchased from Polymicro Technologies (Phoenix, AZ, USA). New capillaries were conditioned by 1.0 M NaOH for 30 min and water for 5 min. They were then coated by rinsing with cationic PDADMAC solution (0.2% w/v) [46,47]. The separation was conducted at −30 kV (reverse polarity) and at 30 °C. All rinse cycles were carried out at 4 bars. Between runs, the capillary was flushed for 1 min with water, 2 min with PDADMAC and 3 min with BGE.
All solutions were prepared with pure water, filtered through 0.45 µm PVDF Filter and stored at 4 °C. For PI3K and mTOR assays, the incubation buffer was HEPES/NaOH/MgCl2 (25 mM/8.84 mM/5 mM). Its pH was 7.2 and ionic strength was about 60 mM. The BGE was tris/phosphate/MgCl2 (117 mM/62.5 mM/5 mM), its pH was 7.2 and ionic strength was 180 mM. All buffers were prepared fresh each day. Their pH was measured with a MeterLab PHM201 Portable pH-Meter (Radiometer Analytical, Villeurbanne, France). Stock solutions of ATP (2 mM) and ADP (2 mM) were prepared in the incubation buffer and diluted to 50 µM. Inhibitor stock solutions were prepared by dissolving 1 mg in 1 mL of incubation buffer and DMSO (<4% v/v).
In all enzymatic assays, after incubation, the electric field (of −30 kV) was applied to separate the ADP formed during the enzymatic reaction from the other reactants. ADP was detected at 254 nm for quantification. No inhibitor plug was injected to determine the maximum activity of the enzyme; it was replaced by a plug of incubation buffer. Control blank assays were done without injecting the enzyme.
ATP concentrations were set in all assays to be identical to those used in conventional methods (assay kits) for comparison. For IC50 determination, enzyme and substrate concentration remained constant whereas at least 11 concentrations of inhibitors were used around the reported IC50 value in order to precisely determine IC50. Assays were performed in triplicate (n = 3). The dose–response curve for enzyme inhibition was carried out by plotting the enzyme activity (%) versus Log [Inhibitor]. GraphPad Prism® (GraphPad Software, Inc., La Jolla, CA, USA) was used for curve-fitting and thus for IC50 calculations using the following four parameter logistic equation:
where % A is the enzyme activity (response), % Amin and % Amax are, respectively, the minimal (for maximum inhibition) and the maximal residual enzyme activity, [I] is the inhibitor concentration and H is the Hill slope factor.
The enzyme activity (%) was defined as the ratio of the corrected peak area (CPA) of ADP formed in the presence and the absence of the inhibitor. The CPA was defined as the peak area divided by the migration time. The CPA of ADP was corrected by removing the CPA obtained for the blank assay.
CE-assay for studying PI3K (α, β, γ and δ) and mTOR kinases was based on using the capillary as a nanoreactor. Transverse diffusion of laminar flow profiles (TDLFP) was used to in-capillary mix reactants and hence to trigger the enzymatic reaction. The injection sequence consisted of introducing the incubation buffer (25 mbar × 50 s) followed by the injection at 50 mbar for 5 s (7.3 nL) of PI3K (2 mg·L−1), substrate PIP2 (2 g·L−1), incubation buffer (or inhibitor in inhibition assays), ATP (50 µM; 0.027 g·L−1) and then PI3K (2 mg·L−1) a second time. mTOR assays were performed by injecting the incubation buffer (25 mbar × 50 s) followed by the injection at 50 mbar for 5 s of FRAP1/mTOR (10 mg·L−1), mTOR substrate (1.25 g·L−1), incubation buffer (or inhibitor in inhibition assays), ATP (50 µM) and then FRAP1/mTOR (10 mg·L−1) a second time. For both enzymes, the incubation buffer was injected (50 mbar × 30 s) at the end of the injection sequence and reactants were incubated for 10 min. For more details, see [46,47,48,49].
4. Conclusions
Trisubstituted 2,4,7-pyrido[3,2-d]pyrimidines of type II were synthesized using a single trichlorinated platform which was selectively functionalized in each position. Chemical diversity was introduced in C-7 and the designed library was subjected to biological evaluations on enzymes and cell lines. In silico docking studies established the binding mode of most active compounds and confirmed the observed SAR. Addition of a C-7 substitution led to improved inhibition compared to C-2,4 substituted series and five novel derivatives possessed IC50 values between 3 and 13 nM on PI3Kα. Three of them are dual PI3K/mTOR inhibitors, which induced micromolar toxicities on different cancer cell lines. These results proved that a pyridopyrimidine trisubstitution is suitable for developing dual PI3K/mTOR inhibitors with increased effects on different cancer cell lines.
Author Contributions
Conceptualization, F.B., H.B., R.N., P.B. and S.R.; methodology, T.S., N.R., M.A.H., S.B., P.M., N.P., J.C., B.V., R.l.G. and M.-L.J.; writing—original draft preparation, H.B., S.R., F.B. and P.B.; writing—review and editing, H.B., S.R., F.B. and P.B.; funding acquisition, H.B. and S.R. All authors have read and agreed to the published version of the manuscript.
Funding
This research received no external funding.
Institutional Review Board Statement
Not applicable.
Informed Consent Statement
Not applicable.
Data Availability Statement
Data is contained within the article.
Acknowledgments
This research was supported by grants from the Region Centre Val de Loire, the Cosmi FEDER program, the RTR Motivhealth, the Labex IRON (ANR-11-LABX-18-01), Labex Synorg (ANR-11-LABX-00-29), The Ligue contre le Cancer Interrégionale Grand Ouest, The Cancéropôle Grand Ouest, the SATT-Grand Centre.
Conflicts of Interest
The authors declare no conflict of interest.
Sample Availability
Samples of the compounds are not available from the authors.
References
- Vivanco, I.; Sawyers, C.L. The phosphatidylinositol 3-Kinase–AKT pathway in human cancer. Nat. Rev. Cancer 2002, 2, 489–501. [Google Scholar] [CrossRef] [PubMed]
- Engelman, J.A.; Luo, J.; Cantley, L.C. The evolution of phosphatidylinositol 3-kinases as regulators of growth and metabolism. Nat. Rev. Genet. 2006, 7, 606–619. [Google Scholar] [CrossRef] [PubMed]
- Courtney, K.D.; Corcoran, R.B.; Engelman, J.A. The PI3K Pathway As Drug Target in Human Cancer. J. Clin. Oncol. 2010, 28, 1075–1083. [Google Scholar] [CrossRef] [Green Version]
- Song, M.; Bode, A.M.; Dong, Z.; Lee, M.H. AKT as a Therapeutic Target for Cancer. Cancer Res. 2019, 79, 1019–1031. [Google Scholar] [CrossRef] [PubMed] [Green Version]
- Manning, B.D.; Toker, A. AKT/PKB Signaling: Navigating the Network. Cell 2017, 169, 381–405. [Google Scholar] [CrossRef] [Green Version]
- Sarbassov, D.D.; Ali, S.M.; Sabatini, D.M. Growing roles for the mTOR pathway. Curr. Opin. Cell Biol. 2005, 17, 596–603. [Google Scholar] [CrossRef]
- Wullschleger, S.; Loewith, R.; Hall, M.N. TOR Signaling in Growth and Metabolism. Cell 2006, 124, 471–484. [Google Scholar] [CrossRef] [PubMed] [Green Version]
- Saxton, R.A.; Sabatini, D.M. mTOR Signaling in Growth, Metabolism, and Disease. Cell 2017, 168, 960–976. [Google Scholar] [CrossRef] [Green Version]
- Kim, J.; Guan, K.L. mTOR as a central hub of nutrient signalling and cell growth. Nat. Cell Biol. 2019, 21, 63–71. [Google Scholar] [CrossRef] [PubMed]
- Chalhoub, N.; Baker, S.J. PTEN and the PI3-Kinase Pathway in Cancer. Annu. Rev. Pathol. Mech. Dis. 2009, 4, 127–150. [Google Scholar] [CrossRef] [Green Version]
- O’Reilly, K.E.; Rojo, F.; She, Q.-B.; Solit, D.; Mills, G.B.; Smith, D.; Lane, H.; Hofmann, F.; Hicklin, D.J.; Ludwig, D.L.; et al. mTOR Inhibition Induces Upstream Receptor Tyrosine Kinase Signaling and Activates Akt. Cancer Res. 2006, 66, 1500–1508. [Google Scholar] [CrossRef] [Green Version]
- Faes, S.; Dormond, O. PI3K and AKT: Unfaithful Partners in Cancer. Int. J. Mol. Sci. 2015, 16, 21138–21152. [Google Scholar] [CrossRef] [PubMed] [Green Version]
- Peng, T.; Golub, T.R.; Sabatini, D.M. The immunosuppressant rapamycin mimics a starvation-like signal distinct from amino acid and glucose deprivation. Mol. Cell. Biol. 2002, 22, 5575–5584. [Google Scholar] [CrossRef] [PubMed] [Green Version]
- Shaw, R.J.; Cantley, L.C. Ras, PI(3)K and mTOR signalling controls tumour cell growth. Nature 2006, 441, 424–430. [Google Scholar] [CrossRef] [PubMed]
- Memmott, R.M.; Dennis, P.A. Akt-dependent and -independent mechanisms of mTOR regulation in cancer. Cell Signal. 2009, 21, 656–664. [Google Scholar] [CrossRef] [PubMed] [Green Version]
- Yuan, T.L.; Cantley, L.C. PI3K pathway alterations in cancer: Variations on a theme. Oncogene 2008, 27, 5497–5510. [Google Scholar] [CrossRef] [Green Version]
- Noorolyai, S.; Shajari, N.; Baghbani, E.; Sadreddini, S.; Baradaran, B. The relation between PI3K/AKT signalling pathway and cancer. Gene 2019, 698, 120–128. [Google Scholar] [CrossRef]
- Jiang, N.; Dai, Q.; Su, X.; Fu, J.; Feng, X.; Peng, J. Role of PI3K/AKT pathway in cancer: The framework of malignant behavior. Mol. Biol. Rep. 2020, 47, 4587–4629. [Google Scholar] [CrossRef]
- Millis, S.Z.; Ikeda, S.; Reddy, S.; Gatalica, Z.; Kurzrock, R. Landscape of Phosphatidylinositol-3-Kinase Pathway Alterations across 19 784 Diverse Solid Tumors. JAMA Oncol. 2016, 2, 1565–1573. [Google Scholar] [CrossRef] [Green Version]
- Janku, F.; Yap, T.A.; Meric-Bernstam, F. Targeting the PI3K pathway in cancer: Are we making headway? Nat. Rev. Clin. Oncol. 2018, 15, 273–291. [Google Scholar] [CrossRef]
- Elmenier, F.M.; Lasheen, D.S.; Abouzid, K.A.M. Phosphatidylinositol 3 kinase (PI3K) inhibitors as new weapon to combat cancer. Eur. J. Med. Chem. 2019, 183, 111718. [Google Scholar] [CrossRef]
- Alzahrani, A.S. PI3K/Akt/mTOR inhibitors in cancer: At the bench and bedside. Semin. Cancer Biol. 2019, 59, 125–132. [Google Scholar] [CrossRef]
- Yang, J.; Nie, J.; Ma, X.; Wei, Y.; Peng, Y.; Wei, X. Targeting PI3K in cancer: Mechanisms and advances in clinical trials. Mol. Cancer. 2019, 18, 26. [Google Scholar] [CrossRef] [Green Version]
- Garces, A.E.; Stocks, M.J. Class 1 PI3K Clinical Candidates and Recent Inhibitor Design Strategies: A Medicinal Chemistry Perspective. J. Med. Chem. 2019, 62, 4815–4850. [Google Scholar] [CrossRef] [PubMed]
- Zheng, Y.; Jiang, Y. mTOR Inhibitors at a Glance. Mol. Cell. Pharmacol. 2015, 7, 15–20. [Google Scholar]
- Carles, F.; Bourg, S.; Meyer, C.; Bonnet, P. PKIDB: A Curated, Annotated and Updated Database of Protein Kinase Inhibitors in Clinical Trials. Molecules 2018, 23, 908. [Google Scholar] [CrossRef] [Green Version]
- Zirlik, K.; Veelken, H. Idelalisib. Recent Results Cancer Res. 2018, 212, 243–264. [Google Scholar] [PubMed]
- Frustaci, A.M.; Tedeschi, A.; Deodato, M.; Zamprogna, G.; Cairoli, R.; Montillo, M. Duvelisib: A new phosphoinositide-3-kinase inhibitor in chronic lymphocytic leukemia. Future Oncol. 2019, 15, 2227–2239. [Google Scholar] [CrossRef]
- Eltantawy, A.; Vallejos, X.; Sebea, E.; Evans, K. Copanlisib: An Intravenous Phosphatidylinositol 3-Kinase (PI3K) Inhibitor for the Treatment of Relapsed Follicular Lymphoma. Ann. Pharmacother. 2019, 53, 954–958. [Google Scholar] [CrossRef] [PubMed]
- Available online: https://www.fda.gov/news-events/press-announcements/fda-approves-first-pi3k-inhibitor-breast-cancer (accessed on 23 February 2021).
- Available online: https://clinicaltrials.gov/ (accessed on 23 February 2021).
- Tikad, A.; Akssira, M.; Massip, S.; Léger, J.-M.; Jarry, C.; Guillaumet, G.; Routier, S. Regiocontroled SNAr and Palladium Cross-Coupling Reactions of 2,4,7-Trichloropyrido[3,2-d]pyrimidine. Eur. J. Org. Chem. 2012, 24, 4523–4532. [Google Scholar] [CrossRef]
- Saurat, T.; Buron, F.; Rodrigues, N.; de Tauzia, M.-L.; Colliandre, L.; Bourg, S.; Bonnet, P.; Guillaumet, G.; Akssira, M.; Corlu, A.; et al. Design, Synthesis, and Biological Activity of Pyridopyrimidine Scaffolds as Novel PI3K/mTOR Dual Inhibitors. J. Med. Chem. 2014, 57, 613–631. [Google Scholar] [CrossRef]
- Sutherlin, D.P.; Baker, S.; Bisconte, A.; Blaney, P.M.; Brown, A.; Chan, B.K.; Chantry, D.; Castanedo, G.; DePledge, P.; Goldsmith, P.; et al. Potent and selective inhibitors of PI3Kδ: Obtaining isoform selectivity from the affinity pocket and tryptophan shelf. Bioorg. Med. Chem. Lett. 2012, 22, 4296–4302. [Google Scholar] [CrossRef] [PubMed]
- Mames, A.; Stecko, S.; Mikołajczyk, P.; Soluch, M.; Furman, B.; Chmielewski, M. Direct, Catalytic Synthesis of Carbapenams via Cycloaddition/Rearrangement Cascade Reaction: Unexpected Acetylenes’ Structure Effect. J. Org. Chem. 2010, 75, 7580–7587. [Google Scholar] [CrossRef] [PubMed]
- Yang, H.; Rudge, D.G.; Koos, J.D.; Vaidialingam, B.; Yang, H.J.; Pavletich, N.P. mTOR kinase structure, mechanism and regulation. Nature 2013, 497, 217–223. [Google Scholar] [CrossRef] [Green Version]
- Zhao, Y.; Zhang, X.; Chen, Y.; Lu, S.; Peng, Y.; Wang, X.; Guo, C.; Zhou, A.; Zhang, J.; Luo, Y.; et al. Crystal Structures of PI3Kα Complexed with PI103 and Its Derivatives: New Directions for Inhibitors Design. ACS Med. Chem. Lett. 2014, 5, 138–142. [Google Scholar] [CrossRef] [Green Version]
- Berman, H.M.; Westbrook, J.; Feng, Z.; Gilliland, G.; Bhat, T.N.; Weissig, H.; Shindyalov, I.N.; Bourne, P.E. The Protein Data Bank. Nucleic Acids Res. 2000, 28, 235–242. [Google Scholar] [CrossRef] [PubMed] [Green Version]
- Molecular Operating Environment, 2016.02; Chemical Computing Group ULC: Montreal, QC, Canada, 2016.
- Takeda, T.; Wang, Y.; Bryant, S.H. Structural insights of a PI3K/mTOR dual inhibitor with the morpholino-triazine scaffold. J. Comput.-Aided Mol. Des. 2016, 30, 323–330. [Google Scholar] [CrossRef] [Green Version]
- Sundstrom, T.J.; Anderson, A.C.; Wright, D.L. Inhibitors of phosphoinositide-3-kinase: A structure-based approach to understanding potency and selectivity. Org. Biomol. Chem. 2009, 7, 840–850. [Google Scholar] [CrossRef] [PubMed]
- Hollestelle, A.; Elstrodt, F.; Nagel, J.H.; Kallemeijn, W.W.; Schutte, M. Phosphatidylinositol-3-OH kinase or RAS pathway mutations in human breast cancer cell lines. Mol. Cancer Res. 2007, 5, 195–201. [Google Scholar] [CrossRef] [Green Version]
- Gally, J.M.; Bourg, S.; Fogha, J.; Do, Q.T.; Aci-Sèche, S.; Bonnet, P. VSPrep: A KNIME workflow for the preparation of molecular databases for virtual screening. Curr. Med. Chem. 2020, 27, 6480–6494. [Google Scholar] [CrossRef]
- ChemAxon, Marvin 16.10.10; Software for Chemistry and Biology; ChemAxon: Budapest, Hungary, 2016.
- Schrödinger Release 2019-1; Schrödinger, LLC: New York, NY, USA, 2019.
- Nehmé, R.; Perrin, C.; Cottet, H.; Blanchin, M.-D.; Fabre, H. Influence of polyelectrolyte capillary coating conditions on protein analysis in CE. Electrophoresis 2009, 30, 1888–1898. [Google Scholar]
- Nehmé, R.; Perrin, C.; Cottet, H.; Blanchin, M.D.; Fabre, H. Stability of capillaries coated with highly charged polyelectrolyte monolayers and multilayers under various analytical conditions--application to protein analysis. J. Chromatogr. A 2011, 1218, 3537–3544. [Google Scholar] [CrossRef] [PubMed]
- Nehme, R.; Nehme, H.; Saurat, T.; de-Tauzia, M.-L.; Buron, F.; Lafite, P.; Verrelle, P.; Chautard, E.; Morin, P.; Routier, S.; et al. New in-capillary electrophoretic kinase assays to evaluate inhibitors of the PI3k/Akt/mTOR signaling pathway. Anal. Bioanal. Chem. 2014, 406, 3743–3754. [Google Scholar] [CrossRef] [PubMed]
- Nehmé, H.; Nehmé, R.; Lafite, P.; Routier, S.; Morin, P. Human protein kinase inhibitor screening by capillary electrophoresis using transverse diffusion of laminar flow profiles for reactant mixing. J. Chromatogr. A 2013, 1314, 298–305. [Google Scholar] [CrossRef] [PubMed]
Publisher’s Note: MDPI stays neutral with regard to jurisdictional claims in published maps and institutional affiliations. |
© 2021 by the authors. Licensee MDPI, Basel, Switzerland. This article is an open access article distributed under the terms and conditions of the Creative Commons Attribution (CC BY) license (https://creativecommons.org/licenses/by/4.0/).




































