Development and Utilization of a Model System to Evaluate the Potential of Surface Coatings for Protecting Grapes from Volatile Phenols Implicated in Smoke Taint
Abstract
:1. Introduction
2. Results and Discussion
2.1. Absorption of Gaseous Phenols by Excised Grape Bunches—Proof-of-Concept Experiments
2.1.1. Table Grapes
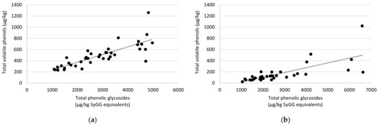
2.1.2. Wine Grapes
2.2. Evaluation of the Potential of Surface Coatings to Reduce Uptake of Smoke Taint Compounds by Grapes
2.3. The Importance of Efficient Grape Surface Coverage
3. Materials and Methods
3.1. Chemicals, Horticultural Products and Materials
3.2. Table and Wine Grapes
3.3. Absorption of Gaseous Phenols by Excised Grape Bunches—Proof-of-Concept Experiments
3.3.1. Preparation of Volatile Phenol Mixture (300 mg/L)
3.3.2. Exposure of Table Grapes and Wine Grapes to Gaseous Volatile Phenols
3.4. Evaluation of Horticultural Products to Reduce Uptake of Smoke Taint Compounds by Grapes
3.4.1. Preparation of Horticultural Products and Materials
3.4.2. Model System for Exposure of Control and Treated Excised Wine Grape Bunches to Gaseous Volatile Phenols
3.5. Chemical Analysis for Smoke Taint Compounds
3.5.1. Preparation of Grape Homogenates
3.5.2. Volatile Phenol Analysis
3.5.3. Phenolic Glycoside Analysis
3.6. Statistical Analysis
4. Conclusions
Supplementary Materials
Author Contributions
Funding
Institutional Review Board Statement
Informed Consent Statement
Data Availability Statement
Acknowledgments
Conflicts of Interest
Sample Availability
References
- Kennison, K.R.; Gibberd, M.R.; Pollnitz, A.P.; Wilkinson, K.L. Smoke-derived taint in wine: The release of smoke-derived volatile phenols during fermentation of Merlot juice following grapevine exposure to smoke. J. Agric. Food Chem. 2008, 56, 7379–7383. [Google Scholar] [CrossRef] [PubMed]
- Hayasaka, Y.; Baldock, G.A.; Pardon, K.H.; Jeffery, D.W.; Herderich, M.J. Investigation into the formation of guaiacol conjugates in berries and leaves of grapevine Vitis vinifera L. cv. Cabernet Sauvignon using stable isotope tracers combined with HPLC-MS and MS/MS Analysis. J. Agric. Food Chem. 2010, 58, 2076–2081. [Google Scholar] [CrossRef] [PubMed]
- Hayasaka, Y.; Baldock, G.A.; Parker, M.; Pardon, K.H.; Black, C.A.; Herderich, M.J.; Jeffery, D.W. Glycosylation of smoke-derived volatile phenols in grapes as a consequence of grapevine exposure to bushfire smoke. J. Agric. Food Chem. 2010, 58, 10989–10998. [Google Scholar] [CrossRef] [PubMed]
- Hayasaka, Y.; Dungey, K.A.; Baldock, G.A.; Kennison, K.R.; Wilkinson, K.L. Identification of a β-d-glucopyranoside precursor to guaiacol in grape juice following grapevine exposure to smoke. Anal. Chim. Acta 2010, 660, 143–148. [Google Scholar] [CrossRef]
- Hayasaka, Y.; Parker, M.; Baldock, G.A.; Pardon, K.H.; Black, C.A.; Jeffery, D.W.; Herderich, M.J. Assessing the impact of smoke exposure in grapes: Development and validation of an HPLC-MS/MS method for the quantitative analysis of smoke-derived phenolic glycosides in grapes and wine. J. Agric. Food Chem. 2013, 61, 25–33. [Google Scholar] [CrossRef]
- Caffrey, A.; Lerno, L.; Rumbaugh, A.; Girardello, R.; Zweigenbaum, J.; Oberholster, A.; Ebeler, S.E. Changes in smoke-taint volatile-phenol glycosides in wildfire smoke-exposed Cabernet Sauvignon grapes throughout winemaking. Am. J. Enol. Vitic. 2019, 70, 373–381. [Google Scholar] [CrossRef]
- Singh, D.P.; Chong, H.H.; Pitt, K.M.; Cleary, M.; Dokoozlian, N.K.; Downey, M.O. Guaiacol and 4-methylguaiacol accumulate in wines made from smoke-affected fruit because of hydrolysis of their conjugates. Aust. J. Grape Wine Res. 2011, 17, S13–S21. [Google Scholar] [CrossRef]
- Parker, M.; Osidacz, P.; Baldock, G.; Hayasaka, Y.; Black, C.; Pardon, K.; Jeffery, D.; Geue, J.; Herderich, M.; Francis, I. Contribution of several volatile phenols and their glycoconjugates to smoke-related sensory properties of red wine. J. Agric. Food Chem. 2012, 60, 2629–2637. [Google Scholar] [CrossRef]
- Mayr, C.M.; Parker, M.; Baldock, G.A.; Black, C.A.; Pardon, K.H.; Williamson, P.O.; Herderich, M.J.; Francis, I.L. Determination of the importance of in-mouth release of volatile phenol glycoconjugates to the flavor of smoke-tainted wines. J. Agric. Food Chem. 2014, 62, 2327–2336. [Google Scholar] [CrossRef]
- Parker, M.; Onetto, C.; Hixson, J.; Bilogrevic, E.; Schueth, L.; Pisaniello, L.; Borneman, A.; Herderich, M.; de Barros Lopes, M.; Francis, L. Factors Contributing to Interindividual Variation in Retronasal Odor Perception from Aroma Glycosides: The Role of Odorant Sensory Detection Threshold, Oral Microbiota, and Hydrolysis in Saliva. J. Agric. Food Chem. 2020, 68, 10299–10309. [Google Scholar] [CrossRef]
- Krstic, M.P.; Johnson, D.L.; Herderich, M.J. Review of smoke taint in wine: Smoke-derived volatile phenols and their glycosidic metabolites in grapes and vines as biomarkers for smoke exposure and their role in the sensory perception of smoke taint. Aust. J. Grape Wine Res. 2015, 21, 537–553. [Google Scholar] [CrossRef]
- Mirabelli-Montan, Y.A.; Marangon, M.; Graça, A.; Mayr Marangon, C.M.; Wilkinson, K.L. Techniques for Mitigating the Effects of Smoke Taint While Maintaining Quality in Wine Production: A Review. Molecules 2021, 26, 1672. [Google Scholar] [CrossRef] [PubMed]
- Szeto, C.; Ristic, R.; Capone, D.; Puglisi, C.; Pagay, V.; Culbert, J.; Jiang, W.; Herderich, M.; Tuke, J.; Wilkinson, K. Uptake and glycosylation of smoke-derived volatile phenols by Cabernet Sauvignon grapes and their subsequent fate during winemaking. Molecules 2020, 25, 3720. [Google Scholar] [CrossRef] [PubMed]
- Van der Hulst, L.; Munguia, P.; Culbert, J.A.; Ford, C.M.; Burton, R.A.; Wilkinson, K.L. Accumulation of volatile phenol glycoconjugates in grapes following grapevine exposure to smoke and potential mitigation of smoke taint by foliar application of kaolin. Planta 2019, 249, 941–952. [Google Scholar] [CrossRef]
- Rogiers, S.; Fahey, D.; Holzapfel, B. Mitigating sunburn, dehydration and smoke taint in the vineyard: Is there a role for sunscreens, antitranspirants and film forming barriers? Acta Hortic. 2020, 1274, 71–78. [Google Scholar] [CrossRef]
- Favell, J.W.; Noestheden, M.; Lyons, S.-M.; Zandberg, W.F. Development and evaluation of a vineyard-based strategy to mitigate smoke-taint in wine grapes. J. Agric. Food Chem. 2019, 67, 14137–14142. [Google Scholar] [CrossRef]
- Emmett, R.W.; Harris, A.R.; Taylor, R.H.; McGechan, J.K. Grape diseases and vineyard protection. In Viticulture Volume 2 Practices; Coombe, B.G., Dry, P.R., Eds.; Winetitles: Adelaide, Australia, 1992; pp. 232–278. [Google Scholar]
- Buchanan, G.A.; Amos, T.G. Grape pests. In Viticulture Volume 2 Practices; Coombe, B.G., Dry, P.R., Eds.; Winetitles: Adelaide, Australia, 1992; pp. 209–231. [Google Scholar]
- Nicholas, P.; Magarey, P.A.; Wachtel, M. Diseases and Pests, Grape Production Series 1; Hyde Park Press: Adelaide, Australia, 1994. [Google Scholar]
- Essling, M.; Lord, A. Agrochemicals Registered for Use in Australian Viticulture: An Essential Reference When Growing Grapes for Export Wine 21/22; The Australian Wine Research Institute Ltd.: Urrbrae, Australia, 2021; Available online: https://www.awri.com.au/wp-content/uploads/agrochemical_booklet.pdf (accessed on 30 June 2021).
- Cabras, P.; Conte, E. Pesticide residues in grapes and wine in Italy. Food Addit. Contam. 2001, 18, 880–885. [Google Scholar] [CrossRef]
- Gambetta, J.M.; Holzapfel, B.P.; Stoll, M.; Friedel, M. Sunburn in grapes: A review. Front. Plant Sci. 2021, 11, 604691. [Google Scholar] [CrossRef]
- Rodriguez, J.; Anorou, A.; Jifon, J.; Simpson, C. Physiological effects of exogenously applied reflectants and anti-transpirants on leaf temperature and fruit sunburn in citrus. Plan. Theory 2019, 8, 549. [Google Scholar] [CrossRef] [Green Version]
- Brillante, L.; Belfiore, N.; Gaiotti, F.; Lovat, L.; Sansone, L.; Poni, S.; Tomasi, D. Comparing kaolin and pinolene to improve sustainable grapevine production during drought. PLoS ONE 2016, 11, e0156631. [Google Scholar] [CrossRef] [PubMed]
- Ahmed, F.F.; Abdel Aal, A.M.K.; El-Sayed, M.A.; Sayed, H.R. Protecting red roomy grapevines growing under Minia region conditions from sunburn damage. Stem Cell 2013, 4, 15–20. [Google Scholar]
- Kennison, K.R.; Wilkinson, K.L.; Williams, H.G.; Smith, J.H.; Gibberd, M.R. Smoke-derived taint in wine: Effect of postharvest smoke exposure of grapes on the chemical composition and sensory characteristics of wine. J. Agric. Food Chem. 2007, 55, 10897–10901. [Google Scholar] [CrossRef]
- Dungey, K.A.; Hayasaka, Y.; Wilkinson, K.L. Quantitative analysis of glycoconjugate precursors of guaiacol in smoke-affected grapes using liquid chromatography–tandem mass spectrometry based stable isotope dilution analysis. Food Chem. 2011, 126, 801–806. [Google Scholar] [CrossRef]
- Ristic, R.; Boss, P.K.; Wilkinson, K.L. Influence of fruit maturity at harvest on the intensity of smoke taint in wine. Molecules 2015, 20, 8913–8927. [Google Scholar] [CrossRef] [PubMed] [Green Version]
- Pardo-Garcia, A.I.; Wilkinson, K.L.; Culbert, J.A.; Lloyd, N.D.R.; Alonso, G.L.; Salinas, M.R. Accumulation of guaiacol glycoconjugates in fruit, leaves and shoots of Vitis vinifera cv. Monastrell following foliar applications of guaiacol or oak extract to grapevines. Food Chem. 2017, 217, 782–789. [Google Scholar] [CrossRef] [PubMed]
- Jiang, W.; Parker, M.; Hayasaka, Y.; Simos, C.; Herderich, M. Compositional changes in grapes and leaves as a consequence of smoke exposure of vineyards from multiple bushfires across a ripening season. Molecules 2021, 26, 3187. [Google Scholar] [CrossRef] [PubMed]
- Culbert, J.A.; Jiang, W.; Ristic, R.; Puglisi, C.J.; Nixon, E.C.; Shi, H.; Wilkinson, K.L. Glycosylation of Volatile Phenols in Grapes Following Pre-Harvest (On-Vine) vs. Post-Harvest (Off-Vine) Exposure to Smoke. Molecules 2021. Under review. [Google Scholar]
- Marsh, H.; Rodríguez-Reinoso, F. Activated Carbon; Elsevier Ltd.: Oxford, UK, 2006; pp. 1–12. [Google Scholar]
- Fudge, A.L.; Schiettecatte, M.; Ristic, R.; Hayasaka, Y.; Wilkinson, K.L. Amelioration of smoke taint in wine by treatment with commercial fining agents. Aust. J. Grape Wine Res. 2012, 18, 302–307. [Google Scholar] [CrossRef]
- Lisanti, M.T.; Gambuti, A.; Genovese, A.; Piombino, P.; Moio, L. Treatment by fining agents of red wine affected by phenolic off-odour. Eur. Food Res. Technol. 2017, 243, 501–510. [Google Scholar] [CrossRef]
- Milheiro, J.; Filipe-Ribeiro, L.; Cosme, F.; Nunes, F.M. A simple, cheap and reliable method for control of 4-ethylphenol and 4-ethylguaiacol in red wines. Screening of fining agents for reducing volatile phenols levels in red wines. J. Chromatogr. B 2017, 1041–1042, 183–190. [Google Scholar] [CrossRef]
- Filipe-Ribeiro, L.; Milheiro, J.; Matos, C.C.; Cosme, F.; Nunes, F.M. Reduction of 4-ethylphenol and 4-ethylguaiacol in red wine by activated carbons with different physicochemical characteristics: Impact on wine quality. Food Chem. 2017, 229, 242–251. [Google Scholar] [CrossRef] [PubMed]
- Dougna, A.A.; Gombert, B.; Kodom, T.; Djaneye-Boundjou, G.; Boukari, S.O.B.; Karpel Vel Leitner, N.; Bawa, L.M. Photocatalytic removal of phenol using titanium dioxide deposited on different substrates: Effect of inorganic oxidants. J. Photochem. Photobiol. A 2015, 305, 67–77. [Google Scholar] [CrossRef]
- Culbert, J.A.; Jiang, W.; Krstic, M.P.; Herderich, M.J. Evaluating activated carbons for removal of phenols and their glycosides from smoke-affected juice and wine. In Proceedings of the 17th Australian Wine Industry Technical Conference, Adelaide, Australia, 21–24 July 2019; Beames, K., Robinson, E., Dry, P., Johnson, D., Eds.; The Australian Wine Industry Technical Conference Inc.: Urrbrae, Australia, 2020; pp. 45–48. [Google Scholar]
- Furness, G.O.; Emmett, R.W.; Magarey, P.A.; Wicks, T.J. Managing disease–Spray coverage on large grapevine canopies. In Canopy Management, Proceedings of the ASVO Viticulture Seminar, Mildura, Australia, 18 August 1994; Hayes, P., Ed.; Australian Society of Viticulture and Oenology: Adelaide, Australia, 1995; pp. 24–25. [Google Scholar]
- Pollnitz, A.P.; Pardon, K.H.; Sykes, M.; Sefton, M.A. The effects of sample preparation and gas chromatograph injection techniques on the accuracy of measuring guaiacol, 4-methylguaiacol and other volatile oak compounds in oak extracts by stable isotope dilution analyses. J. Agric. Food Chem. 2004, 52, 3244–3252. [Google Scholar] [CrossRef] [PubMed]
- Pollnitz, A.P.; Pardon, K.H.; Sefton, M.A. Quantitative analysis of 4-ethylphenol and 4 ethylguaiacol in red wine. J. Chromatogr. A 2000, 874, 101–109. [Google Scholar] [CrossRef]




) = Muscat Gordo Experiment 1; blue dot (
) = Muscat Gordo Experiment 2; red dot (
) = Shiraz experiment; green dot (
) = Controls; Con = control; BioP = Biopest®; Carb = carbon; Dec = Deccoshield®; EcoP = Ecoprotector®; FDO = fruit drying oil; PP = Parka Plus; PT = peratec; Ray = Raynox®; SO = silicone oil; Surr = Surround®WP; TD = titanium dioxide.
) = Muscat Gordo Experiment 1; blue dot (
) = Muscat Gordo Experiment 2; red dot (
) = Shiraz experiment; green dot (
) = Controls; Con = control; BioP = Biopest®; Carb = carbon; Dec = Deccoshield®; EcoP = Ecoprotector®; FDO = fruit drying oil; PP = Parka Plus; PT = peratec; Ray = Raynox®; SO = silicone oil; Surr = Surround®WP; TD = titanium dioxide.
| Concentration 1 (µg/kg) | ||||||||||||
|---|---|---|---|---|---|---|---|---|---|---|---|---|
| Sample | Gu | GuGG | GuPG | GuRG | GuMG | o-Cr | m-Cr | CrPG | CrRG | CrMG | Sy | SyGG |
| control 1 | <1 | <1 | 1 | <1 | <1 | <1 | <1 | <1 | <1 | <1 | <2 | <1 |
| control 2 | <1 | <1 | 1 | <1 | <1 | <1 | <1 | 1 | <1 | <1 | <2 | <1 |
| treated 1 | 114 | 40 | 324 | 19 | 456 | 211 | 52 | 321 | 39 | 562 | 3 | 10 |
| treated 2 | 192 | 69 | 410 | 24 | 506 | 304 | 85 | 463 | 54 | 730 | 8 | 27 |
| Concentrations (µg/kg SyGG Equivalents) | |||||||||||
|---|---|---|---|---|---|---|---|---|---|---|---|
| Sample | GuGG | GuPG | GuRG | GuMG | CrPG | CrRG | CrMG | SyGG | PhPG | PhRG | Total 1 |
| Chardonnay Grapes | |||||||||||
| control 1 | <1 | 5 | <1 | <1 | 9 | <1 | 4 | <1 | 12 | <1 | 30 |
| treated 1 | 88 | 1882 | 61 | 302 | 2953 | 232 | 1055 | 31 | 263 | 8 | 6875 |
| treated 2 | 11 | 502 | 16 | 90 | 960 | 58 | 414 | 2 | 84 | 3 | 2140 |
| Sauvignon Blanc grapes | |||||||||||
| control 1 | <1 | 2 | <1 | <1 | 6 | 2 | 3 | <1 | 6 | <1 | 19 |
| treated 1 | 134 | 410 | 374 | 543 | 1012 | 894 | 1621 | 11 | 66 | 70 | 5135 |
| treated 2 | 36 | 81 | 120 | 115 | 176 | 213 | 382 | <1 | 21 | 18 | 1162 |
| Semillon grapes | |||||||||||
| control 1 | <1 | 3 | <1 | <1 | 8 | <1 | 3 | <1 | 7 | <1 | 21 |
| treated 1 | 21 | 985 | 77 | 609 | 2153 | 292 | 1330 | 4 | 264 | 18 | 5753 |
| treated 2 | 16 | 626 | 59 | 269 | 1445 | 203 | 1004 | 2 | 136 | 12 | 3772 |
| Product | Typical Application |
|---|---|
| Biopest® | Pest management |
| FPS Carbon | Chemical scavenger |
| Deccoshield® | Sunburn protectant |
| Ecoprotector® | Pest management |
| Envy | Anti-transpirant |
| Victorian fruit drying oil | Vine fruit drying |
| Parka Plus | Cuticle supplement |
| Peratec | Pest management |
| Raynox® | Sunburn protectant |
| Silicone oil | Lubricant |
| Surround®WP | Sunburn protectant |
| Titanium dioxide | Color additive |
Publisher’s Note: MDPI stays neutral with regard to jurisdictional claims in published maps and institutional affiliations. |
© 2021 by the authors. Licensee MDPI, Basel, Switzerland. This article is an open access article distributed under the terms and conditions of the Creative Commons Attribution (CC BY) license (https://creativecommons.org/licenses/by/4.0/).
Share and Cite
Culbert, J.A.; Krstic, M.P.; Herderich, M.J. Development and Utilization of a Model System to Evaluate the Potential of Surface Coatings for Protecting Grapes from Volatile Phenols Implicated in Smoke Taint. Molecules 2021, 26, 5197. https://doi.org/10.3390/molecules26175197
Culbert JA, Krstic MP, Herderich MJ. Development and Utilization of a Model System to Evaluate the Potential of Surface Coatings for Protecting Grapes from Volatile Phenols Implicated in Smoke Taint. Molecules. 2021; 26(17):5197. https://doi.org/10.3390/molecules26175197
Chicago/Turabian StyleCulbert, Julie A., Mark P. Krstic, and Markus J. Herderich. 2021. "Development and Utilization of a Model System to Evaluate the Potential of Surface Coatings for Protecting Grapes from Volatile Phenols Implicated in Smoke Taint" Molecules 26, no. 17: 5197. https://doi.org/10.3390/molecules26175197
APA StyleCulbert, J. A., Krstic, M. P., & Herderich, M. J. (2021). Development and Utilization of a Model System to Evaluate the Potential of Surface Coatings for Protecting Grapes from Volatile Phenols Implicated in Smoke Taint. Molecules, 26(17), 5197. https://doi.org/10.3390/molecules26175197
