Synthesis of Hybrid Organic-Inorganic Hydrotalcite-Like Materials Intercalated with Duplex Herbicides: The Characterization and Simultaneous Release Properties
Abstract
:1. Introduction
2. Results and Discussions
2.1. The PXRD Analysis
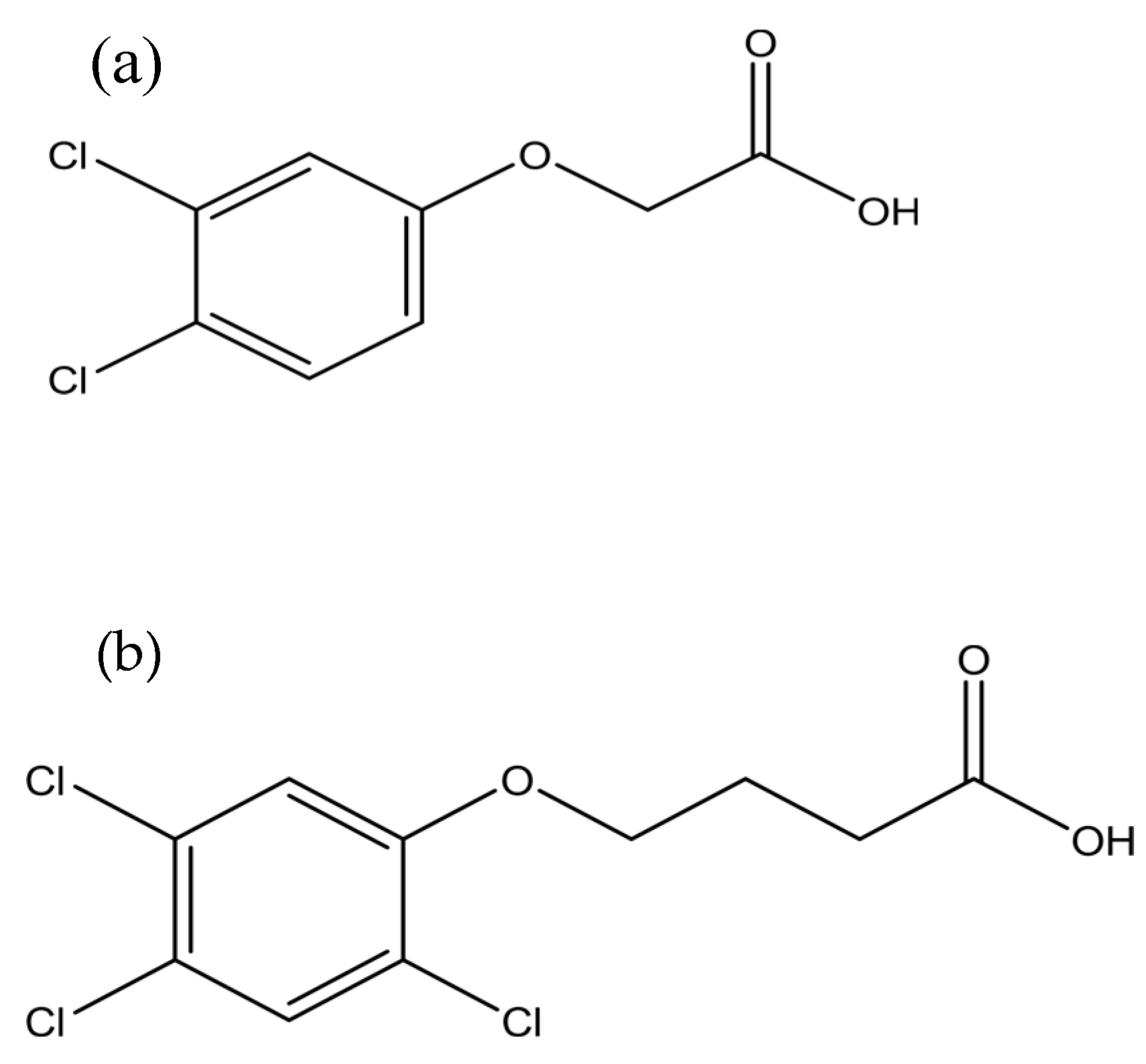
2.2. The UV-Visible Spectrometry and Direct Injection Mass Spectra (DIMS)
2.3. FTIR Spectra
2.4. The Thermal Analysis
2.5. The Surface Property
2.6. The Release Profile of ZADTX into the Aqueous Solution
3. Materials and Methods
3.1. Synthesis of Zn/Al-NO3 LDH
3.2. Synthesis of Zinc-Aluminium-3,4D-TBA (ZADTX)
3.3. The Physico-Chemical Characterisations and Thermal Analyses
3.4. The Analyses of Release Kinetics
4. Conclusions
Author Contributions
Funding
Institutional Review Board Statement
Informed Consent Statement
Data Availability Statement
Conflicts of Interest
Sample Availability
References
- Rives, V. Layered Double Hydroxide: Presents and Future; Nova Science: New York, NY, USA, 2001. [Google Scholar]
- Wypych, F.; Satyanarayana, K.G. Clay Surfaces: Fundamentals and Applications; Elsevier: Amsterdam, The Netherlands, 2004. [Google Scholar]
- Arizaga, G.G.C.; Satyanarayana, K.G.; Wypych, F. Layered Hydroxide Salts: Synthesis properties and potential applications. Solid State Ion. 2007, 178, 1143–1162. [Google Scholar] [CrossRef]
- Arizaga, G.G.C.; da Costa Gardolinski, J.E.F.; Schreiner, W.H.; Wypych, F. Intercalation of an oxalatooxoniobate complex into layered double hydroxide and layered zinc hydroxide nitrate. J. Colloid Interface Sci. 2009, 330, 352–358. [Google Scholar] [CrossRef] [PubMed]
- Stahlin, W.; Oswald, H.R. The crystal structure of zinc hydroxide nitrate, Zn5(OH)8(NO3)2.2H2O. Acta Cryst. 1970, B26, 860–863. [Google Scholar] [CrossRef]
- Phuong, N.T.K.; Ha, H.N.N.; Dieu, N.T.P.; Huy, B.T. Herbicide/Zn-Al-layered double hydroxide hybrid composite: Synthesis and slow/controlled release properties. Environ. Sci. Pollut. Res. 2017, 24, 19386–19392. [Google Scholar] [CrossRef] [PubMed]
- Hafez, I.H.; Osman, A.R.; Sewedan, E.A.; Berber, M.R. Tailoring of a potential nanoformulated form of gibberellic acid: Synthesis, characterization, and field application on vegetation and flowering. J. Agric. Food Chem. 2018, 66, 8237–8245. [Google Scholar] [CrossRef]
- Salak, A.N.; Tedim, J.; Kuznetsova, A.I.; Vieira, L.G.; Ribeiro, J.L.; Zheludkevich, M.L.; Ferreira, M.G.S. Thermal Behavior of Layered Double Hydroxide Zn−Al− Pyrovanadate: Composition, Structure Transformations, and Recovering Ability. J. Phys. Chem. 2013, 117, 4152–4157. [Google Scholar] [CrossRef]
- Xu, S.; Zhang, L.; Lin, X.; Li, R.; Zhang, F. Layered double hydroxides used as flame retardant for engineering plastic acrylonitratile-butadiene-styrene (ABS). J. Phys. Chem. Solids 2012, 73, 1514–1517. [Google Scholar] [CrossRef]
- Mohsin, S.M.N.; Hussein, M.Z.; Sarijo, S.H.; Fakurazi, S.; Arulselvan, P.; Taufiq, Y.H. Synthesis of (cinnamate-zinc layered hydroxide) intercalation compound for sunscreen application. Chem. Cent. J. 2013, 7, 26. [Google Scholar] [CrossRef] [Green Version]
- Li, S.; Shen, Y.; Liu, D.; Fan, L.; Zhao, Y. Novel nanomaterials of 2-benzoylbenzoic acid anions intercalated magnesium aluminium layered double hydroxides for UV absorption properties. Sci. Adv. Mater. 2015, 7, 756–761. [Google Scholar] [CrossRef]
- Zheludkevich, M.L.; Poznyak, S.K.; Rodrigues, L.M.; Raps, D.; Hac, T.; Dick, K.L.F.; Nunes, T.; Fereira, M.G.S. Active protection coatings with layered double hydroxide nanocontainers of corrosion inhibitor. Corros. Sci. 2010, 52, 602–611. [Google Scholar] [CrossRef]
- Zubair, M.; Daud, M.; McKay, G.; Shehzad, F.; Al-Harthi, M.A. Recent progress in layered double hydroxide (LDH)-containing hybrids as adsorbents for water remediation. Appl. Clay Sci. 2017, 143, 279–292. [Google Scholar] [CrossRef]
- Xiao, G.F.; Zeng, H.-Y.; Huang, Q.J.; Zhang, W.; Du, J.Z.; Duan, H.Z.; Chen, C.R. Facile preparation of modifying layered double hydroxide nanoparticles for drug delivery. J. Nanosci. Nanotechnol. 2018, 18, 5256–5265. [Google Scholar] [CrossRef]
- Evans, D.E.; Slade, R.C.T. Structural aspects of layered double hydroxides. In Structure & Bonding; Springer: Berlin, Germany, 2005; Volume 119, pp. 1–87. [Google Scholar]
- Senapati, S.; Thakur, R.; Verma, S.P.; Rana, D.; Maiti, P. Layered double hydroxides as effective carrier for anticancer drugs and tailoring of release rate through interlayer anions. J. Control. Release 2016, 224, 186–198. [Google Scholar] [CrossRef]
- Mei, X.; Xu, S.; Hu, T.; Evans, D.G.; Duan, X. Layered double hydroxide monolayers for controlled loading and targeted delivery of anticancer drugs. Nano Res. 2017, 11, 195–205. [Google Scholar] [CrossRef]
- Salak, A.; Lisenkov, A.D.; Zheludkevich, M.L.; Ferreira, M.G.S. Carbonate-Free Zn-Al (1:1) Layered Double Hydroxide Film Directly Grown on Zinc-Aluminum Alloy Coating. ECS Electrochem. Lett. 2014, 3, C9–C11. [Google Scholar] [CrossRef]
- Ahmad, R.; Hussein, M.Z.; Kadir, W.R.W.A.; Sarijo, S.H.; Taufiq-Yap, Y.H. Synthesis and characteristics of valeric acid-zinc layered hydroxide intercalation material for insect pheromone controlled release formulation. J. Mater. 2016, 2016, 1285721. [Google Scholar] [CrossRef] [Green Version]
- Yang, M.; Gu, L.; Yang, B.; Hou, J.; Lin, C. Antifouling composites with self-adaptive controlled release based on an active compound intercalated into layered double hydroxides. Appl. Surf. Sci. 2017, 426, 185–193. [Google Scholar] [CrossRef]
- Stephenson, G.R. Pesticide use and world food production: Risks and benefits. In Environment Fate and Effects of Pesticides; Coats, J.R., Yamamoto, H., Eds.; ACS Symposium Series 853; American Chemical Society: Washington, DC, USA, 2003; pp. 261–270. [Google Scholar]
- Stephenson, G.R. Pesticide Use and World Food Production: Risks and Benefits. Environ. Fate Eff. Pestic. 2003, 853, 261–270. [Google Scholar] [CrossRef]
- Allan, G.G.; Chopra, C.S.; Neogi, A.N.; Wilkins, R.M. Design and synthesis of controlled release—Polymer combinations. Nature 1971, 234, 349–351. [Google Scholar] [CrossRef]
- Cardoso, P.L.; Celis, R.; Cornejo, J.; Valim, J.B. Layered double hydroxide as supports for the slow release of acid herbicides. J. Agric. Food. Chem. 2006, 54, 5968–5975. [Google Scholar] [CrossRef] [PubMed]
- Li, F.; Duan, X. Application of Layered double hydroxide. Struct. Bond 2005, 119, 193. [Google Scholar]
- Degen, A.; Kosec, M. Effect of pH and impurities on the surface charge of zinc oxide in aqueous solution. J. Eur. Ceram. Soc. 2000, 20, 667–673. [Google Scholar] [CrossRef]
- Marangoni, R.; Ramos, L.P.; Wypych, F. New functional materials obtained by the intercalation of anionic dyes into layered zinc hydroxide nitrate followed by dispersion into poly(vinyl alcohol)(PVA). J. Colloid Interface Sci. 2009, 330, 303–309. [Google Scholar] [CrossRef] [PubMed]
- Sarijo, S.H.; Ghazali, S.A.I.S.M.; Hussein, M.Z. Synthesis of dual herbicides-intercalated hydrotalcite like nanohybrid compound with simultaneous controlled release property. J. Porous Mater. 2015, 22, 473–480. [Google Scholar] [CrossRef]
- Sarijo, S.H.; Ghazali, S.A.I.S.M.; Hussein, M.Z.; Sidek, N.J. Synthesis of nanocomposite 2-methyl-4-chlorophenoxyacetic acid with layered double hydroxide: Physicochemical characterization and controlled release properties. J. Nanopart. Res. 2013, 15, 1356–1363. [Google Scholar] [CrossRef]
- Zhang, X.; Liu, J.; Hou, W.; Tong, J.; Ren, L.; Sun, G.; Sun, Y. Preparation and properties of pesticide/cyclodextrin complex intercalated into ZnAl-layered double hydroxide. Ind. Eng. Chem. Res. 2016, 55, 1550–1558. [Google Scholar] [CrossRef]
- Ghazali, S.A.I.S.M.; Sarijo, S.H.; Hussein, M.Z. New synthesis of binate herbicide-interleaved anionic clay material: Synthesis, characterization and simultaneous controlled-release properties. J. Porous Mater. 2021, 28, 495–505. [Google Scholar] [CrossRef]
- Ahmed, A.A.A.; Talib, Z.A.; Hussein, M.Z.; Zakaria, A. Zn-Al layered double hydroxide prepared at different molar ratios: Preparation, characterization, optical and dielectric properties. J. Solid State Chem. 2012, 191, 271–278. [Google Scholar] [CrossRef]
- Sing, K.S.W.; Everett, D.H.; Haul, R.A.W.; Moscou, L.; Pierotti, R.A.; Rouquerol, J.; Siemieniewska, T. Reporting physisorption data for gas/solid systems with special reference to the determination of surface area and porosity. Pure Appl. Chem. 1985, 57, 603–619. [Google Scholar] [CrossRef]
- Lima, E.; Flores, J.; Cruz, A.S.; Leyva-Gomez, G.; Krotzsch, E. Controlled release of Ferulic acid from a hybrid hydrotalcite and its application as an antioxidant for human fibroblasts. Microporous Mesoporous Mater. 2013, 181, 1–7. [Google Scholar] [CrossRef]
- Bohari, F.L.; Sufian, F.I.; Ghazali, S.A.I.S.M.; Dzulkifli, N.N. The synthesis and characterization of layered hydroxide salt interleaved with 4-chlorophenoxyacetic acid and its control release study as herbicide. In AIP Conference Proceedings; American Institute of Physics: University Park, MD, USA, 2021; Volume 2332, p. 080001. [Google Scholar]










| Sample | Empirical Formula |
|---|---|
| Zn-Al(NO3)-LDH | [Zn0.67Al 0.33(OH)2][NO3−]0.33⋅0.56H2O |
| ZAMDTX | [Zn0.68Al 0.32(OH)2] [(C8H5Cl2O3−]0.16 [(C8H5Cl3O3 ]0.16⋅1.88H2 O |
| Surface Properties | |||
|---|---|---|---|
| Sample | BET Surface Area (m2/g) | BET Average Diameter (Ǻ) | BJH Average Diameter (Ǻ) |
| LDH | 1.12 | 224.0 | 124.00 |
| ZAMDTX | 2.75 | 373.02 | 588.92 |
Publisher’s Note: MDPI stays neutral with regard to jurisdictional claims in published maps and institutional affiliations. |
© 2021 by the authors. Licensee MDPI, Basel, Switzerland. This article is an open access article distributed under the terms and conditions of the Creative Commons Attribution (CC BY) license (https://creativecommons.org/licenses/by/4.0/).
Share and Cite
Ghazali, S.A.I.S.M.; Fatimah, I.; Bohari, F.L. Synthesis of Hybrid Organic-Inorganic Hydrotalcite-Like Materials Intercalated with Duplex Herbicides: The Characterization and Simultaneous Release Properties. Molecules 2021, 26, 5086. https://doi.org/10.3390/molecules26165086
Ghazali SAISM, Fatimah I, Bohari FL. Synthesis of Hybrid Organic-Inorganic Hydrotalcite-Like Materials Intercalated with Duplex Herbicides: The Characterization and Simultaneous Release Properties. Molecules. 2021; 26(16):5086. https://doi.org/10.3390/molecules26165086
Chicago/Turabian StyleGhazali, Sheikh Ahmad Izaddin Sheikh Mohd, Is Fatimah, and Farah Liyana Bohari. 2021. "Synthesis of Hybrid Organic-Inorganic Hydrotalcite-Like Materials Intercalated with Duplex Herbicides: The Characterization and Simultaneous Release Properties" Molecules 26, no. 16: 5086. https://doi.org/10.3390/molecules26165086
APA StyleGhazali, S. A. I. S. M., Fatimah, I., & Bohari, F. L. (2021). Synthesis of Hybrid Organic-Inorganic Hydrotalcite-Like Materials Intercalated with Duplex Herbicides: The Characterization and Simultaneous Release Properties. Molecules, 26(16), 5086. https://doi.org/10.3390/molecules26165086

