Nucleus-Independent Chemical Shift (NICS) as a Criterion for the Design of New Antifungal Benzofuranones
Abstract
:1. Introduction
2. Results and Discussion
2.1. NICS(0) and NICS(1) of Indol-4-ones
2.2. Structure–Activity Relationship: Aromaticity vs. Antifungal Activity
2.3. Design of New Compounds
2.4. Synthesis of Benzofuran-4-ones
2.5. Antifungal Activity of Benzofurans
2.6. Statistical Analysis between the Calculated and Experimental MIC Values
3. Materials and Methods
3.1. Computational Details
3.2. Structure–Activity Relationship (SAR) Statistical Procedure
3.3. Synthesis of Benzofuran-4-ones
3.4. Antifungal Activity
4. Conclusions
Supplementary Materials
Author Contributions
Funding
Institutional Review Board Statement
Informed Consent Statement
Data Availability Statement
Acknowledgments
Conflicts of Interest
Sample Availability
References
- Pauling, L.; Wheland, G.W. The Nature of the Chemical Bond. V. The Quantum-Mechanical Calculation of the Resonance Energy of Benzene and Naphthalene and the Hydrocarbon Free Radicals. J. Chem. Phys. 1933, 1, 362. [Google Scholar] [CrossRef] [Green Version]
- Schleyer, P.V.R.; Maerker, C.; Dransfeld, A.; Jiao, H.; van Eikema Hommes, N.J. Nucleus-Independent Chemical Shifts: A Simple and Efficient Aromaticity Probe. J. Am. Chem. Soc. 1996, 118, 6317–6318. [Google Scholar] [CrossRef] [PubMed]
- Chen, Z.; Wannere, C.S.; Corminboeuf, C.; Puchta, R.; Schleyer, P.V.R. Nucleus-Independent Chemical Shifts (NICS) as an Aromaticity Criterion. Chem. Rev. 2005, 105, 3842–3888. [Google Scholar] [CrossRef]
- Ramirez-Tagle, R.; Higgins, U.B.O. NICS: A Possible New Criterion to Evaluate the Structure—Antioxidant Activity Relationship of Phenolic Compound. Oxid. Commun. 2011, 520, 516–520. [Google Scholar]
- Wu, J.I.; Jackson, J.E.; Schleyer, P.V.R. Reciprocal Hydrogen Bonding − Aromaticity Relationships. J. Am. Chem. Soc. 2014, 136, 13526–13529. [Google Scholar] [CrossRef]
- Evstigneev, M.P. Physicochemical Mechanisms of Synergistic Biological Action of Combinations of Aromatic Heterocyclic Compounds. Org. Chem. Int. 2013, 2013, 1–10. [Google Scholar] [CrossRef] [Green Version]
- Pianalto, K.; Alspaugh, J. New Horizons in Antifungal Therapy. J. Fungi 2016, 2, 1–24. [Google Scholar] [CrossRef] [PubMed]
- Ghannoum, M.A.; Rice, L.B. Antifungal Agents: Mode of Action, Mechanisms of Resistance, and Correlation of These Mechanisms with Bacterial Resistance. Clin. Microbiol. Rev. 1999, 12, 501–517. [Google Scholar] [CrossRef] [PubMed] [Green Version]
- Vandeputte, P.; Ferrari, S.; Coste, A.T. Antifungal Resistance and New Strategies to Control Fungal Infections. Int. J. Microbiol. 2012, 2012, 1–26. [Google Scholar] [CrossRef] [PubMed]
- Campoy, S.; Adrio, J.L. Antifungals. Biochem. Pharmacol. 2016, 133, 86–96. [Google Scholar] [CrossRef]
- Che, X.; Sheng, C.; Wang, W.; Cao, Y.; Xu, Y.; Ji, H.; Dong, G.; Miao, Z.; Yao, J.; Zhang, W. New Azoles with Potent Antifungal Activity: Design, Synthesis and Molecular Docking. Eur. J. Med. Chem. 2009, 44, 4218–4226. [Google Scholar] [CrossRef] [PubMed]
- Borate, H.B.; Maujan, S.R.; Sawargave, S.P.; Chandavarkar, M.A.; Vaiude, S.R.; Joshi, V.A.; Wakharkar, R.D.; Iyer, R.; Kelkar, R.G.; Chavan, S.P.; et al. Fluconazole Analogues Containing 2H-1,4-Benzothiazin-3(4H)-One or 2H-1,4-Benzoxazin-3(4H)-One Moieties, a Novel Class of Anti-Candida Agents. Bioorganic Med. Chem. Lett. 2010, 20, 722–725. [Google Scholar] [CrossRef] [PubMed]
- Bari, S.B.; Haswani, N.G. Design, Synthesis and Molecular Docking Study of Thienopyrimidin-4(3H)-Thiones as Antifungal Agents. J. Saudi Chem. Soc. 2014, 21, S264–S274. [Google Scholar] [CrossRef] [Green Version]
- Jain, K.S.; Khedkar, V.M.; Arya, N.; Rane, P.V.; Chaskar, P.K.; Coutinho, E.C. Design, Synthesis & Evaluation of Condensed 2H-4-Arylaminopyrimidines as Novel Antifungal Agents. Eur. J. Med. Chem. 2014, 77, 166–175. [Google Scholar] [CrossRef]
- Buragohain, P.; Surineni, N.; Barua, N.C.; Bhuyan, P.D.; Boruah, P.; Borah, J.C.; Laisharm, S.; Moirangthem, D.S. Synthesis of a Novel Series of Fluoroarene Derivatives of Artemisinin as Potent Antifungal and Anticancer Agent. Bioorganic Med. Chem. Lett. 2015, 25, 3338–3341. [Google Scholar] [CrossRef]
- Shah, J.J.; Khedkar, V.; Coutinho, E.C.; Mohanraj, K. Design, Synthesis and Evaluation of Benzotriazole Derivatives as Novel Antifungal Agents. Bioorg. Med. Chem. Lett. 2015, 25, 3730–3737. [Google Scholar] [CrossRef]
- Chandrika, N.T.; Shrestha, S.K.; Ngo, H.X.; Garneau-Tsodikova, S. Synthesis and Investigation of Novel Benzimidazole Derivatives as Antifungal Agents. Bioorg. Med. Chem. 2016, 24, 3680–3686. [Google Scholar] [CrossRef] [Green Version]
- Hemalatha, K.; Madhumitha, G.; Ravi, L.; Khanna, V.G.; Al-Dhabi, N.A.; Arasu, M.V. Binding Mode of Dihydroquinazolinones with Lysozyme and Its Antifungal Activity against Aspergillus Species. J. Photochem. Photobiol. B Biol. 2016, 161, 71–79. [Google Scholar] [CrossRef]
- Wilson, P.R.; Yusuf, S. In silico design, docking, synthesis and antimicrobial evaluation of 2, 5-disubstituted 1,3,4-oxadiazole derivatives. Int. J. Pharm. Sci. Res. 2016, 7, 2074–2082. [Google Scholar] [CrossRef]
- Singh, V.K.; Rishishwar, P.; Bhardwaj, P.; Alok, S. Benzotrizole: A Heterocyclic Molecule with Diversified Pharmacological Activities. Int. J. Pharm. Sci. Res. 2017, 8, 446–456. [Google Scholar] [CrossRef]
- Doğan, İ.S.; Saraç, S.; Sari, S.; Kart, D.; Eşsiz Gőkhan, Ş.; Vural, İ.; Dalkara, S. New Azole Derivatives Showing Antimicrobial Effects and Their Mechanism of Antifungal Activity by Molecular Modeling Studies. Eur. J. Med. Chem. 2017, 130, 124–138. [Google Scholar] [CrossRef]
- González-Chávez, R.; Martínez, R.; Torre-Bouscoulet, M.E.; Gallo, M.; González-Chávez, M.M. De Novo Design of Non-Coordinating Indolones as Potential Inhibitors for Lanosterol 14-α-Demethylase (CYP51). Chem. Pharm. Bull. 2014, 62, 16–24. [Google Scholar] [CrossRef] [Green Version]
- Zermeño-Macías, M.A.; González-Chávez, M.M.; Méndez, F.; González-Chávez, R.; Richaud, A. Theoretical Reactivity Study of Indol-4-Ones and Their Correlation with Antifungal Activity. Molecules 2017, 22, 1–16. [Google Scholar] [CrossRef] [Green Version]
- Horner, K.E.; Karadakov, P.B. Chemical Bonding and Aromaticity in Furan, Pyrrole, and Thiophene: A Magn. Shielding Study. 2013, 78, 8037–8043. [Google Scholar] [CrossRef]
- Goncalves, S.; Wagner, A.; Mioskowski, C.; Baati, R. Microwave-Assisted Synthesis of 4-Keto-4,5,6,7-Tetrahydrobenzofurans. Tetrahedron Lett. 2009, 50, 274–276. [Google Scholar] [CrossRef]
- Becke, A.D. Density-Functional Thermochemistry. III. The Role of Exact Exchange. J. Chem. Phys. 1993, 98, 5648–5652. [Google Scholar] [CrossRef] [Green Version]
- Lee, C.; Yang, W.; Parr, R.G. Development of the Colle-Salvetti Correlation-Energy Formula into a Functional of the Electron Density. Phys. Rev. B Condens. Matter Mater. Phys. 1988, 37, 785–789. [Google Scholar] [CrossRef] [PubMed] [Green Version]
- Richaud, A.; Barba-Behrens, N.; Méndez, F. Chemical Reactivity of the Imidazole: A Semblance of Pyridine and Pyrrole? Org. Lett. 2011, 13, 972–975. [Google Scholar] [CrossRef]
- Suárez-Moreno, G.V.; González-Zamora, E.; Méndez, F. Oxazole as an Electron-Deficient Diene in the Diels–Alder Reaction. Org. Lett. 2011, 13, 6358–6361. [Google Scholar] [CrossRef] [PubMed]
- Richaud, A.; Méndez, F.; Barba-Behrens, N.; Florian, P.; Medina-Campos, O.M.; Pedraza-Chaverri, J. Electrophilic Modulation of the Superoxide Anion Radical Scavenging Ability of Copper(II) Complexes with 4-Methyl Imidazole. J. Phys. Chem. A 2021, 125, 2394–2401. [Google Scholar] [CrossRef] [PubMed]
- Richaud, A.; Méndez, F.; Alonso, J.A. Elimination vs Substitution Reaction. A Dichotomy between Brønsted–Lowry and Lewis Basicity. Org. Lett 2015, 17, 767–769. [Google Scholar] [CrossRef] [Green Version]
- Frisch, M.J.; Trucks, G.W.; Schlegel, H.B.; Scuseria, G.E.; Robb, M.A.; Cheeseman, J.R.; Scalmani, G.; Barone, V.; Mennucci, B.; Petersson, G.A.; et al. Gaussian 09, Revision D.01; Gaussian. Inc.: Wallingford, CT, USA, 2009. [Google Scholar]
- SAS Software, V. 8.0; SAS Institute Inc.: Cary, NC, USA, 1999.
- CLSI. Reference Method for Broth Dilution Antifungal Susceptibility Testing of Yeast; Fourth Informational Supplement; CLSI document M27-S4; Clinical and Laboratory Standards Institute: Wayne, PA, USA, 2012. [Google Scholar]
- CLSI. Reference Method for Broth Dilution Antifungal Susceptibiliity Testing of Filamentous Fungi, 3rd ed.; CLSI standard M38; Clinical and Laboratory Standards Institute: Wayne, PA, USA, 2017. [Google Scholar]
- Sheng, C.; Che, X.; Wang, W.; Wang, S.; Cao, Y.; Miao, Z.; Yao, J.; Zhang, W. Design and Synthesis of Novel Triazole Antifungal Derivatives by Structure-Based Bioisosterism. Eur. J. Med. Chem. 2011, 46, 5276–5282. [Google Scholar] [CrossRef] [PubMed]
- Jiang, Z.; Wang, Y.; Wang, W.; Wang, S.; Xu, B.; Fan, G.; Dong, G.; Liu, Y.; Yao, J.; Miao, Z.; et al. Discovery of Highly Potent Potent Triazole Antifungal Derivatives by Heterocycle-Benzene Bioisosteric Replacement. Eur. J. Med. Chem. 2013, 64, 16–22. [Google Scholar] [CrossRef] [PubMed]






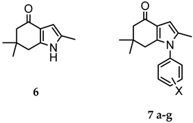
![]() | ||||
| Compound | R | NICS(0), ppm | NICS(1), ppm | |
| S E R I E S I | 6 7a 7b 7c 7d 7e 7f 7g | – H 2-F 4-F 2,4-diF 2-Cl 4-Cl 2,4-diCl | –10.34 –9.80 –9.71 –10.14 –9.90 –9.83 –10.17 –9.93 | –7.67 –6.08 –6.37 –7.07 –6.37 –6.09 –7.25 –5.73 |
| S E R I E S II | 8a 8b 8c 8d 8e 8f 8g | H 2-F 4-F 2,4-diF 2-Cl 4-Cl 2,4-diCl | –9.88 –9.74 –10.03 –10.06 –10.65 –9.93 –10.78 | –6.79 –6.94 –7.08 –7.03 –7.29 –6.95 –7.39 |
![]() | |||||||
|---|---|---|---|---|---|---|---|
| Microorganism | Time of Testing (h) | NICS(0) | NICS(1) | ||||
| r | r2 | p | r | r2 | p | ||
| C. albicans | 24 | 0.70 | 0.49 | 0.050 * | 0.62 | 0.38 | 0.101 |
| 48 | 0.37 | 0.14 | 0.367 | 0.55 | 0.30 | 0.161 | |
| C. glabrata | 24 | 0.64 | 0.41 | 0.086 | 0.57 | 0.32 | 0.140 |
| 48 | 0.60 | 0.36 | 0.119 | 0.68 | 0.46 | 0.063 | |
| C. krusei | 24 | 0.59 | 0.35 | 0.125 | 0.65 | 0.43 | 0.079 |
| 48 | 0.31 | 0.10 | 0.451 | 0.50 | 0.25 | 0.204 | |
| C. tropicalis | 24 | 0.59 | 0.35 | 0.125 | 0.65 | 0.43 | 0.079 |
| 48 | 0.29 | 0.08 | 0.483 | 0.49 | 0.24 | 0.222 | |
| C. guilliermondii | 24 | 0.66 | 0.44 | 0.073 | 0.67 | 0.45 | 0.070 |
| 48 | 0.67 | 0.45 | 0.067 | 0.66 | 0.44 | 0.075 | |
| C. parapsilosis | 24 | 0.24 | 0.06 | 0.561 | 0.49 | 0.24 | 0.218 |
| 48 | 0.32 | 0.10 | 0.44 | 0.04 | 0.002 | 0.927 | |
| A. niger | 48 | 0.94 | 0.89 | 0.002 * | 0.95 | 0.90 | 0.001 * |
| 72 | 0.89 | 0.80 | 0.015 * | 0.78 | 0.61 | 0.068 * | |
| A. fumigatus | 48 | 0.77 | 0.60 | 0.024 * | 0.59 | 0.35 | 0.123 |
| 72 | 0.88 | 0.77 | 0.004 * | 0.91 | 0.83 | 0.002 * | |
![]() | |||||||
|---|---|---|---|---|---|---|---|
| Microorganism | Time of Testing (h) | NICS(0) | NICS(1) | ||||
| r | r2 | p | r | r2 | p | ||
| C. albicans | 24 | 0.54 | 0.29 | 0.22 | 0.72 | 0.51 | 0.071 |
| 48 | 0.75 | 0.56 | 0.050 * | 0.83 | 0.69 | 0.021 * | |
| C. glabrata | 24 | 0.75 | 0.56 | 0.050 * | 0.83 | 0.69 | 0.021 * |
| 48 | 0.33 | 0.11 | 0.468 | 0.60 | 0.36 | 0.151 | |
| C. krusei | 24 | 0.62 | 0.39 | 0.134 | 0.72 | 0.51 | 0.071 |
| 48 | 0.62 | 0.39 | 0.134 | 0.72 | 0.51 | 0.071 | |
| C. tropicalis | 24 | 0.62 | 0.39 | 0.134 | 0.72 | 0,51 | 0.071 |
| 48 | 0.73 | 0.53 | 0.064 | 0.81 | 0.65 | 0.029 * | |
| C. guilliermondii | 24 | 0.62 | 0.39 | 0.134 | 0.72 | 0.51 | 0.071 |
| 48 | 0.56 | 0.32 | 0.187 | 0.74 | 0.54 | 0.059 | |
| C. parapsilosis | 24 | 0.91 | 0.83 | 0.004 * | 0.82 | 0.67 | 0.025 * |
| 48 | 0.032 | 0.001 | 0.945 | 0.22 | 0.05 | 0.64 | |
![]() | ||||||||
|---|---|---|---|---|---|---|---|---|
| Compound | R | NICS(0) ppm | NICS(1) ppm | Compound | R | NICS(0), ppm | NICS(1), ppm | |
| 14 | – | −8.97 | −7.19 | 15-22 | 4-OCH2OCH3 | −8.00 | −6.40 | |
| 15-1 | H | −8.02 | −6.24 | 15-23 | 4-OCH2CH2OH | −8.00 | −6.85 | |
| 15-2 | 4-N(C4H8) | −7.93 | −6.92 | 15-24 | 3,4-(OCH2O) | −7.95 | −6.99 | |
| 15-3 | 4-imidazole | −7.89 | −7.24 | 15-25 | 4-OCF3 | −7.82 | −7.09 | |
| 15-4 | 4-N(CH2CH3)2 | −7.85 | −6.88 | 15-26 | 4-SCH3 | −7.99 | −7.05 | |
| 15-5 | 4-N(C5H9OH) | −7.88 | −6.95 | 15-27 | 4-C(CH3)3 | −7.98 | −6.99 | |
| 15-6 | 2-OH | −8.07 | −7.01 | 15-28 | 4-phenyl | −7.84 | −5.62 | |
| 15-7 | 3-OH | −8.09 | −6.72 | 15-29 | 4-Cl | −8.06 | −7.01 | |
| 15-8 | 4-OH | −8.04 | −6.67 | 15-30 | 2,5-diCl | −8.30 | −7.10 | |
| 15-9 | 2,4-diOH | −8.21 | −6.86 | 15-31 | 3,4-diCl | −8.10 | −7.13 | |
| 15-10 | 2,5-diOH | −8.15 | −7.16 | 15-32 | 4-Cl-3-NO2 | −8.09 | −7.43 | |
| 15-11 | 2-OCH3 | −8.00 | −7.31 | 15-33 | 4-F | −8.03 | −6.80 | |
| 15-12 | 3-OCH3 | −7.99 | −7.04 | 15-34 | 2,4-diF | −8.2 | −7.37 | |
| 15-13 | 4-OCH3 | −7.92 | −6.78 | 15-35 | 2-CF3 | −8.94 | −7.36 | |
| 15-14 | 2,4-diOCH3 | −8.09 | −7.19 | 15-36 | 4-CF3 | −7.96 | −7.21 | |
| 15-15 | 2,5-diOCH3 | −8.03 | −6.75 | 15-37 | 2-COOH | −8.80 | −6.76 | |
| 15-16 | 3,4-diOCH3 | −8.06 | −7.18 | 15-38 | 4-COOH | −7.96 | −6.91 | |
| 15-17 | 2-OH-4-OCH3 | −8.14 | −6.88 | 15-39 | 2-NO2 | −8.76 | −7.92 | |
| 15-18 | 2-OH-5-OCH3 | −8.11 | −7.02 | 15-40 | 3-NO2 | −7.96 | −6.96 | |
| 15-19 | 3-OCH3-4-OH | −7.93 | −6.92 | 15-41 | 4-NO2 | −7.96 | −7.42 | |
| 15-20 | 3,5-diOCH3-4-OH | −7.95 | −6.17 | 15-42 | 4-SO2CH3 | −7.99 | −7.07 | |
| 15-21 | 4-OCO(C6H5) | −8.04 | −7.24 | 15-43 | 4-SO2Cl | −8.04 | −6.91 | |
| Compound | R | C. albicans | C. glabrata | C. krusei | C. tropicalis | C. guilliermondii | C. parapsilosis | A. niger | A. fumigatus | ||||||||
|---|---|---|---|---|---|---|---|---|---|---|---|---|---|---|---|---|---|
| 24 h | 48 h | 24 h | 48 h | 24 h | 48 h | 24 h | 48 h | 24 h | 48 h | 24 h | 48 h | 48h | 72 h | 48 h | 72 h | ||
| 14 | – | 1.4027 | 2.8054 | 1.4027 | 1.4027 | 0.7014 | 1.4027 | 1.4027 | 0.7014 | 0.7014 | 1.4027 | 0.7014 | 1.4027 | 0.0438 | 0.0877 | 1.4027 | 1.4027 |
| (250) | (500) | (250) | (250) | (125) | (250) | (250) | (125) | (125) | (250) | (125) | (250) | (7.81) | (15.62) | (250) | (250) | ||
| 15-1 | H | 0.5202 | 1.0404 | 1.0404 | 1.0404 | 0.5202 | 0.5202 | 0.5202 | 1.0404 | 0.1301 | 1.0404 | 0.2601 | 0.5202 | 0.0081 | 0.03250 | 0.1300 | 0.2601 |
| (125) | (250) | (250) | (250) | (125) | (125) | (125) | (250) | (31.25) | (250) | (62.5) | (125) | (1.95) | (7.81) | (31.25) | (62.5) | ||
| 15-3 | 4-Iz | 0.4080 | 1.6321 | 0.8160 | 0.8160 | 0.2040 | 0.4080 | 0.8160 | 1.6321 | >1.632 | 1.6321 | 0.8160 | 0.8160 | 0.0510 | 0.1020 | 0.2040 | 0.2040 |
| (125) | (500) | (250) | (250) | (62.5) | (125) | (250) | (500) | (>500) | (500) | (250) | (250) | (15.62) | (31.25) | (62.5) | (62.5) | ||
| 15-11 | 2-OCH3 | 0.4624 | 1.8496 | 0.9248 | >1.850 | 0.2312 | 1.8496 | 1.8496 | >1.850 | 1.8496 | 1.8496 | 0.9248 | >1.850 | 0.1156 | 0.1156 | 0.4624 | 0.9248 |
| (125) | (500) | (250) | (>500) | (62.5) | (500) | (500) | (>500) | (500) | (500) | (250) | (>500) | (31.25) | (31.25) | (125) | (250) | ||
| 15-15 | 2,5-diOCH3 | 0.8324 | >1.665 | 0.4162 | >1.665 | 0.1040 | 0.4162 | 0.4162 | >1.665 | >1.665 | 1.6647 | >1.665 | >1.665 | 0.1040 | 0.1040 | 0.8324 | 0.2081 |
| (250) | (>500) | (125) | (>500) | (31.25) | (125) | (125) | (>500) | (>500) | (500) | (>500) | (>500) | (31.25) | (31.25) | (250) | (62.5) | ||
| 15-28 | 4-Ph | 1.5803 | >1.580 | 0.3951 | 0.7902 | 0.7902 | 1.5803 | 1.5803 | >1.580 | >1.580 | >1.580 | >1.580 | >1.580 | 0.0988 | 0.0988 | 0.1975 | 0.7902 |
| (500) | (>500) | (125) | (250) | (250) | (500) | (500) | (>500) | (>500) | (>500) | (>500) | (>500) | (31.25) | (31.25) | (62.5) | (250) | ||
| 15-32 | 4-Cl-3-NO2 | 0.3909 | 0.3909 | 0.0977 | 0.7819 | 0.3909 | 0.7819 | 0.3909 | 1.5638 | 0.1955 | 0.7819 | 0.3909 | 1.5638 | 0.0489 | 0.0489 | 0.1955 | 0.3909 |
| (125) | (125) | (31.25) | (250) | (125) | (250) | (125) | (500) | (62.5) | (250) | (125) | (500) | (15.62) | (15.62) | (62.5) | (125) | ||
| 15-33 | 4-F | 1.9358 | 0.9679 | 0.9679 | 1.9358 | 0.9679 | 0.9679 | 0.4840 | 0.9679 | >1.936 | 0.2420 | >1.936 | >1.936 | 0.0076 | 0.0605 | 0.2420 | 0.1210 |
| (500) | (250) | (250) | (500) | (250) | (250) | (125) | (250) | (>500) | (62.5) | (>500) | (>500) | (1.95) | (15.62) | (62.5) | (31.25) | ||
| 15-34 | 2,4-diF | >1.810 | 1.8098 | 0.9049 | 1.8098 | 0.4524 | 1.8098 | 0.9049 | >1.810 | >1.810 | 0.4524 | 0.9049 | >1.810 | 0.0566 | 0.0071 | 0.1131 | 0.1131 |
| (>500) | (500) | (250) | (500) | (125) | (500) | (250) | (>500) | (>500) | (125) | (250) | (> 500) | (15.62) | (1.95) | (31.25) | (31.25) | ||
| 15-41 | 4-NO2 | 0.2191 | 0.8763 | 0.8763 | 1.7526 | 0.8763 | 1.7526 | 1.7526 | 1.7526 | 0.8763 | 0.8763 | 1.7526 | 1.7526 | 0.0274 | 0.0274 | 0.1095 | > 1.753 |
| (62.5) | (250) | (250) | (500) | (250) | (500) | (500) | (500) | (250) | (250) | (500) | (500) | (7.81) | (7.81) | (31.25) | (>500) | ||
| Flu/Itr | 0.0131 | 0.0131 | 0.0065 | 0.0065 | 0.0065 | 0.0065 | 0.0131 | 0.0261 | 0.0065 | 0.0065 | 0.0131 | 0.0131 | 0.0004 | 0.0016 | 0.0016 | 0.0008 | |
| (4) | (4) | (2) | (2) | (2) | (2) | (4) | (8) | (2) | (2) | (4) | (4) | (0.125) | (0.5) | (0.5) | (0.25) | ||
| Indol-4-Ones | Benzofuran-4-Ones | |||||||||||||||
| 6 | H | 4-F | 2,4-diF | 14 | H | 4-F | 2,4-diF | |||||||||
| NICS(0) | −10.34 | −9.88 | −10.03 | −10.06 | −8.97 | −8.02 | −8.03 | −8.26 | ||||||||
| NICS(1) | −7.67 | −6.79 | −7.08 | −7.03 | −7.19 | −6.24 | −6.80 | −7.37 | ||||||||
| 24 h | 48 h | 24 h | 48 h | 24 h | 48 h | 24 h | 48 h | 24 h | 48 h | 24 h | 48 h | 24 h | 48 h | 24 h | 48 h | |
| C. albicans | 1.4105 (250) | 2.8210 (500) | 0.5223 (125) | 1.0447 (250) | 0.2429 (62.5) | 0.9716 (250) | 0.2270 (62.5) | 0.9081 (250) | 1.4027 (250) | 2.8054 (500) | 0.5202 (125) | 1.0404 (250) | 1.9358 (500) | 0.9679 (250) | >1.810 (>500) | 1.8098 (500) |
| C. glabrata | 0.1467 (500) | 1.9736 (1000) | 0.5223 (125) | 4.1787 (1000) | 0.4858 (125) | 0.9716 (250) | 0.4541 (125) | 0.9081 (250) | 1.4027 (250) | 1.4027 (250) | 1.0404 (250) | 1.0404 (250) | 0.9676 (250) | 1.9358 (500) | 0.9049 (250) | 1.8098 (500) |
| C. krusei | 0.2304 (500) | 1.8428 (1000) | 0.5223 (125) | 1.0445 (250) | 0.2429 (62.5) | 0.4858 (125) | 0.2270 (62.5) | 0.4541 (125) | 0.7014 (125) | 1.4027 (250) | 0.5202 (125) | 0.5202 (125) | 0.9679 (250) | 0.9679 (250) | 0.4524 (125) | 1.8098 (500) |
| C. tropicalis | 0.2304 (250) | 1.8428 (1000) | 0.2612 (62.5) | 0.5253 (125) | 0.1214 (31.25) | 0.2429 (62.5) | 0.1135 (31.25) | 0.2270 (62.5) | 1.4027 (250) | 0.7014 (125) | 0.5202 (125) | 1.0404 (250) | 0.4840 (125) | 0.9679 (250) | 0.9049 (250) | >1.810 (>500) |
| C. guilliermondii | 0.4321 (250) | 0.8641 (500) | 0.2612 (62.5) | 0.5223 (125) | 0.1214 (31.25) | 0.2429 (62.5) | 0.1135 (31.25) | 0.2270 (62.5) | 0.7014 (125) | 1.4027 (250) | 0.1301 (31.25) | 1.0404 (250) | >1.936 (>500) | 0.2420 (62.5) | >1.810 (>500) | 0.4524 (125) |
| C. parapsilosis | 0.4344 (8) | 0.8687 (62.5) | 0.0669 (16) | 1.0447 (250) | 0.0622 (16) | 0.2410 (62) | 0.0581 (16) | 0.9081 (250) | 0.7014 (125) | 1.4027 (250) | 0.2601 (62.5) | 0.5202 (125) | >1.936 (>500) | >1.936 (>500) | 0.9049 (250) | >1.810 (>500) |
| 48 h | 72 h | 48 h | 72 h | 48 h | 72 h | 48 h | 72 h | 48 h | 72 h | 48 h | 72 h | 48 h | 72 h | 48 h | 72 h | |
| A. niger | 0.4344 (125) | 0.8687 (250) | >1.0447 (>250) | >1.0447 (>250) | >0.9716 (>250) | >0.9716 (>250) | >0.9081 (>250) | >0.9081 (>250) | 0.0438 (7.81) | 0.0877 (15.62) | 0.0081 (1.95) | 0.03250 (7.81) | 0.0076 (1.95) | 0.0605 (15.62) | 0.0566 (15.62) | 0.0071 (1.95) |
| A. fumigatus | 0.3879 (125) | 0.7758 (250) | 1.0447 (250) | 1.0447 (250) | >0.9716 (>250) | >0.9716 (>250) | >0.9081 (>250) | >0.9081 (>250) | 1.4027 (250) | 1.4027 (250) | 0.1300 (31.25) | 0.2601 (62.5) | 0.2420 (62.5) | 0.1210 (31.25) | 0.1131 (31.25) | 0.1131 (31.25) |
Publisher’s Note: MDPI stays neutral with regard to jurisdictional claims in published maps and institutional affiliations. |
© 2021 by the authors. Licensee MDPI, Basel, Switzerland. This article is an open access article distributed under the terms and conditions of the Creative Commons Attribution (CC BY) license (https://creativecommons.org/licenses/by/4.0/).
Share and Cite
Zermeño-Macías, M.d.l.Á.; González-Chávez, M.M.; Méndez, F.; Richaud, A.; González-Chávez, R.; Ojeda-Fuentes, L.E.; Niño-Moreno, P.d.C.; Martínez, R. Nucleus-Independent Chemical Shift (NICS) as a Criterion for the Design of New Antifungal Benzofuranones. Molecules 2021, 26, 5078. https://doi.org/10.3390/molecules26165078
Zermeño-Macías MdlÁ, González-Chávez MM, Méndez F, Richaud A, González-Chávez R, Ojeda-Fuentes LE, Niño-Moreno PdC, Martínez R. Nucleus-Independent Chemical Shift (NICS) as a Criterion for the Design of New Antifungal Benzofuranones. Molecules. 2021; 26(16):5078. https://doi.org/10.3390/molecules26165078
Chicago/Turabian StyleZermeño-Macías, María de los Ángeles, Marco Martín González-Chávez, Francisco Méndez, Arlette Richaud, Rodolfo González-Chávez, Luis Enrique Ojeda-Fuentes, Perla del Carmen Niño-Moreno, and Roberto Martínez. 2021. "Nucleus-Independent Chemical Shift (NICS) as a Criterion for the Design of New Antifungal Benzofuranones" Molecules 26, no. 16: 5078. https://doi.org/10.3390/molecules26165078
APA StyleZermeño-Macías, M. d. l. Á., González-Chávez, M. M., Méndez, F., Richaud, A., González-Chávez, R., Ojeda-Fuentes, L. E., Niño-Moreno, P. d. C., & Martínez, R. (2021). Nucleus-Independent Chemical Shift (NICS) as a Criterion for the Design of New Antifungal Benzofuranones. Molecules, 26(16), 5078. https://doi.org/10.3390/molecules26165078





