Structure, Luminescent Sensing and Proton Conduction of a Boiling-Water-Stable Zn(II) Metal-Organic Framework
Abstract
:1. Introduction
2. Results and Discussion
2.1. Synthesis and Structure Characterization
2.2. Stability of ZnBPD-4F4TS
2.3. Luminescent Properties
2.4. Metal Sensing and Mechanism
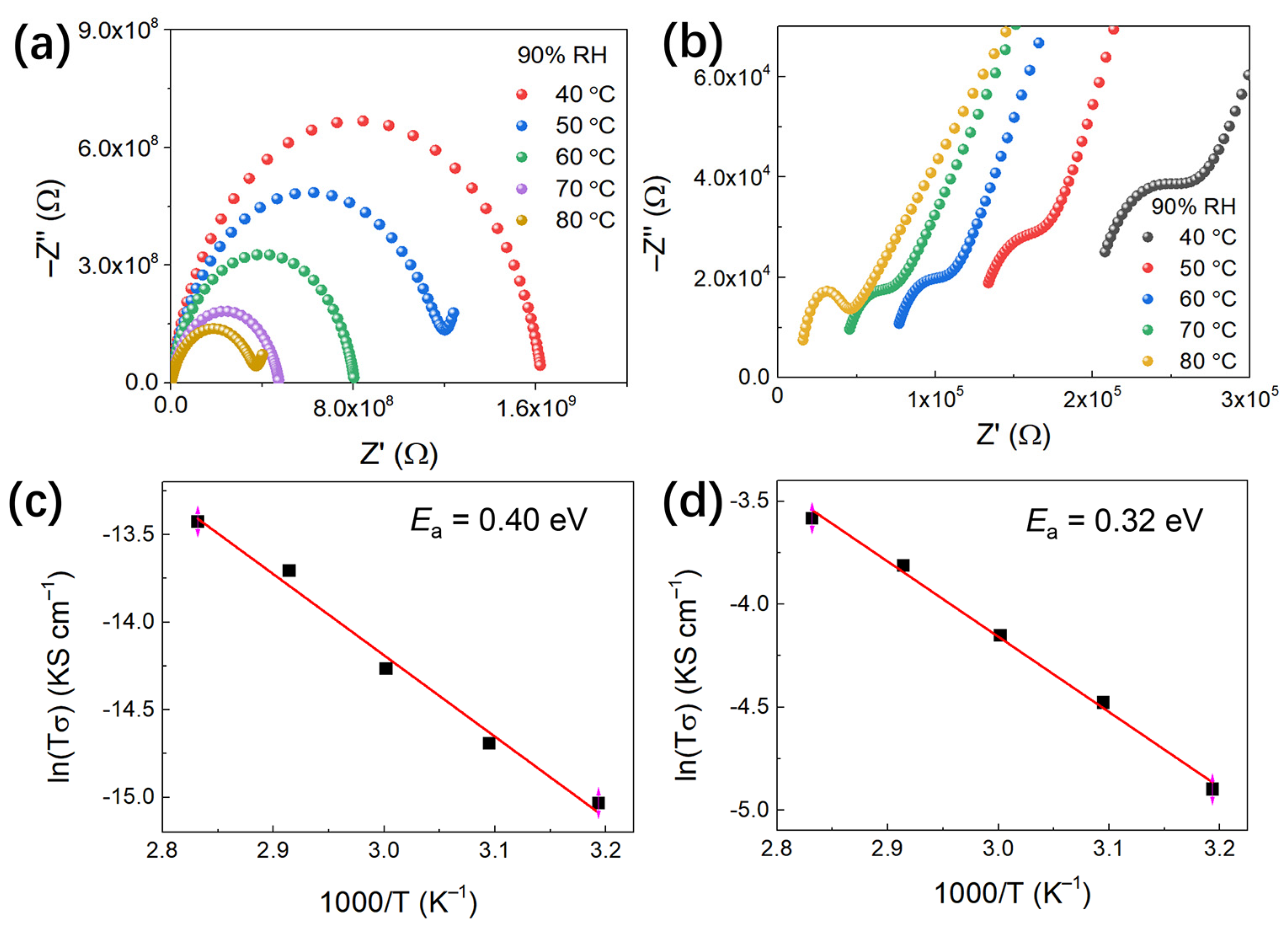
2.5. Proton Conduction
2.6. Proton Conduction Mechanism
3. Materials and Methods
3.1. General Procedure
3.2. Synthesis of [Zn4O(H2BPD-4F4TS)3]n (ZnBPD-4F4TS)
3.3. Activation of ZnBPD-4F4TS
3.4. Synthesis of NH4Br@ZnBPD-4F4TS
3.5. Single Crystal X-ray Crystallography
3.6. Metal Ion Sensing Experiment
3.7. Electrochemical Impedance Spectroscopy
4. Conclusions
Supplementary Materials
Author Contributions
Funding
Institutional Review Board Statement
Informed Consent Statement
Data Availability Statement
Conflicts of Interest
Sample Availability
References
- Yan, B. Luminescence response mode and chemical sensing mechanism for lanthanide-functionalized metal-organic framework hybrids. Inorg. Chem. Front. 2021, 8, 201–233. [Google Scholar] [CrossRef]
- Wagner, M.; Lin, K.Y.A.; Oh, W.D.; Lisak, G. Metal-organic frameworks for pesticidal persistent organic pollutants detection and adsorption—A mini review. J. Hazard. Mater. 2021, 413, 125325. [Google Scholar] [CrossRef] [PubMed]
- Yi, F.-Y.; Chen, D.; Wu, M.-K.; Han, L.; Jiang, H.-L. Chemical Sensors Based on Metal-Organic Frameworks. ChemPlusChem 2016, 81, 675–690. [Google Scholar] [CrossRef] [PubMed]
- Pan, M.; Liao, W.M.; Yin, S.Y.; Sun, S.S.; Su, C.Y. Single-Phase White-Light-Emitting and Photoluminescent Color-Tuning Coordination Assemblies. Chem. Rev. 2018, 118, 8889–8935. [Google Scholar] [CrossRef]
- Yan, B. Lanthanide-Functionalized Metal-Organic Framework Hybrid Systems To Create Multiple Luminescent Centers for Chemical Sensing. Acc. Chem. Res. 2017, 50, 2789–2798. [Google Scholar] [CrossRef]
- Feng, L.; Pang, J.; She, P.; Li, J.L.; Qin, J.S.; Du, D.Y.; Zhou, H.C. Metal-Organic Frameworks Based on Group 3 and 4 Metals. Adv. Mater. 2020, 32, 2004414. [Google Scholar] [CrossRef]
- Sun, T.; Gao, Y.; Du, Y.; Zhou, L.; Chen, X. Recent Advances in Developing Lanthanide Metal-Organic Frameworks for Ratiometric Fluorescent Sensing. Front. Chem. 2020, 8, 624592. [Google Scholar] [CrossRef] [PubMed]
- Mahata, P.; Mondal, S.K.; Singha, D.K.; Majee, P. Luminescent rare-earth-based MOFs as optical sensors. Dalton Trans. 2017, 46, 301–328. [Google Scholar] [CrossRef]
- Lai, C.; Wang, Z.; Qin, L.; Fu, Y.; Li, B.; Zhang, M.; Liu, S.; Li, L.; Yi, H.; Liu, X.; et al. Metal-organic frameworks as burgeoning materials for the capture and sensing of indoor VOCs and radon gases. Coord. Chem. Rev. 2021, 427, 213565. [Google Scholar] [CrossRef]
- Rasheed, T.; Nabeel, F. Luminescent metal-organic frameworks as potential sensory materials for various environmental toxic agents. Coord. Chem. Rev. 2019, 401, 213065. [Google Scholar] [CrossRef]
- Zhang, Y.; Yuan, S.; Day, G.; Wang, X.; Yang, X.; Zhou, H.-C. Luminescent sensors based on metal-organic frameworks. Coord. Chem. Rev. 2018, 354, 28–45. [Google Scholar] [CrossRef]
- Cao, Y.; Zhang, Y.; Gu, L.-W.; Qin, X.-M.; Li, H.-Y.; Bian, H.-D.; Huang, F.-P. A zinc2+-dpbt framework: Luminescence sensing of Cu2+, Ag+, MnO4− and Cr(VI) (Cr2O72− and CrO42−) ions. New J. Chem. 2020, 44, 10681–10688. [Google Scholar] [CrossRef]
- Gu, T.Y.; Dai, M.; Young, D.J.; Ren, Z.G.; Lang, J.P. Luminescent Zn(II) Coordination Polymers for Highly Selective Sensing of Cr(III) and Cr(VI) in Water. Inorg. Chem. 2017, 56, 4669–4679. [Google Scholar]
- Lv, R.; Wang, J.; Zhang, Y.; Li, H.; Yang, L.; Liao, S.; Gu, W.; Liu, X. An amino-decorated dual-functional metal-organic framework for highly selective sensing of Cr(III) and Cr(VI) ions and detection of nitroaromatic explosives. J. Mater. Chem. A 2016, 4, 15494–15500. [Google Scholar] [CrossRef]
- Wu, H.; Yang, J.; Liu, Y.-Y.; Ma, J.-F. pH-Controlled Assembly of Two Unusual Entangled Motifs Based on a Tridentate Ligand and Octamolybdate Clusters: 1D + 1D→3D Poly-Pseudorotaxane and 2D→2D→3D Polycatenation. Cryst. Growth Des. 2012, 12, 2272–2276. [Google Scholar] [CrossRef]
- Xiang, H.; Gao, W.-Y.; Zhong, D.-C.; Jiang, L.; Lu, T.-B. The diverse structures of Cd(II) coordination polymers with 1,3,5-benzenetribenzoate tuned by organic bases. CrystEngComm 2011, 13, 5825–5832. [Google Scholar] [CrossRef]
- Razavi, S.A.A.; Morsali, A. Metal ion detection using luminescent-MOFs: Principles, strategies and roadmap. Coord. Chem. Rev. 2020, 415, 213299. [Google Scholar] [CrossRef]
- Kobielska, P.A.; Howarth, A.J.; Farha, O.K.; Nayak, S. Metal–organic frameworks for heavy metal removal from water. Coord. Chem. Rev. 2018, 358, 92–107. [Google Scholar] [CrossRef]
- Li, Y.X.; Li, S.J.; Yan, P.F.; Wang, X.Y.; Yao, X.; An, G.H.; Li, G.M. Luminescence-colour-changing sensing of Mn(2+) and Ag(+) ions based on a white-light-emitting lanthanide coordination polymer. Chem. Commun. 2017, 53, 5067–5070. [Google Scholar] [CrossRef] [PubMed]
- Wu, Y.; Wu, J.; Luo, Z.; Wang, J.; Li, Y.; Han, Y.; Liu, J. Fluorescence detection of Mn2+, Cr2O72− and nitroexplosives and photocatalytic degradation of methyl violet and rhodamine B based on two stable metal-organic frameworks. RSC Adv. 2017, 7, 10415–10423. [Google Scholar] [CrossRef] [Green Version]
- Xie, X.-X.; Yang, Y.-C.; Dou, B.-H.; Li, Z.-F.; Li, G. Proton conductive carboxylate-based metal-organic frameworks. Coord. Chem. Rev. 2020, 403, 213100. [Google Scholar] [CrossRef]
- Lim, D.W.; Kitagawa, H. Proton Transport in Metal-Organic Frameworks. Chem. Rev. 2020, 120, 8416–8467. [Google Scholar] [CrossRef]
- Li, W.-H.; Deng, W.-H.; Wang, G.-E.; Xu, G. Conductive MOFs. EnergyChem 2020, 2, 100029. [Google Scholar] [CrossRef]
- Deng, X.; Hu, J.-Y.; Luo, J.; Liao, W.-M.; He, J. Conductive Metal-Organic Frameworks: Mechanisms, Design Strategies and Recent Advances. Top. Curr. Chem. 2020, 378, 27. [Google Scholar] [CrossRef]
- Bao, S.-S.; Shimizu, G.K.H.; Zheng, L.-M. Proton conductive metal phosphonate frameworks. Coord. Chem. Rev. 2019, 378, 577–594. [Google Scholar] [CrossRef]
- Zhang, X.; Wang, B.; Alsalme, A.; Xiang, S.; Zhang, Z.; Chen, B. Design and applications of water-stable metal-organic frameworks: Status and challenges. Coord. Chem. Rev. 2020, 423, 213507. [Google Scholar] [CrossRef]
- Yuan, S.; Feng, L.; Wang, K.; Pang, J.; Bosch, M.; Lollar, C.; Sun, Y.; Qin, J.; Yang, X.; Zhang, P.; et al. Stable Metal-Organic Frameworks: Design, Synthesis, and Applications. Adv. Mater. 2018, 30, 1704303. [Google Scholar] [CrossRef] [PubMed] [Green Version]
- Wang, C.; Liu, X.; Keser Demir, N.; Chen, J.P.; Li, K. Applications of water stable metal-organic frameworks. Chem. Soc. Rev. 2016, 45, 5107–5134. [Google Scholar] [CrossRef] [PubMed]
- Mileo, P.G.M.; Adil, K.; Davis, L.; Cadiau, A.; Belmabkhout, Y.; Aggarwal, H.; Maurin, G.; Eddaoudi, M.; Devautour-Vinot, S. Achieving Superprotonic Conduction with a 2D Fluorinated Metal-Organic Framework. J. Am. Chem. Soc. 2018, 140, 13156–13160. [Google Scholar] [CrossRef] [PubMed] [Green Version]
- Pili, S.; Argent, S.P.; Morris, C.G.; Rought, P.; Garcia-Sakai, V.; Silverwood, I.P.; Easun, T.L.; Li, M.; Warren, M.R.; Murray, C.A.; et al. Proton Conduction in a Phosphonate-Based Metal-Organic Framework Mediated by Intrinsic “Free Diffusion inside a Sphere”. J. Am. Chem. Soc. 2016, 138, 6352–6355. [Google Scholar] [CrossRef] [PubMed] [Green Version]
- Taylor, J.M.; Dawson, K.W.; Shimizu, G.K.H. A Water-Stable Metal-Organic Framework with Highly Acidic Pores for Proton-Conducting Applications. J. Am. Chem. Soc. 2013, 135, 1193–1196. [Google Scholar] [CrossRef]
- Horike, S.; Umeyama, D.; Inukai, M.; Itakura, T.; Kitagawa, S. Coordination-network-based ionic plastic crystal for anhydrous proton conductivity. J. Am. Chem. Soc. 2012, 134, 7612–7615. [Google Scholar] [CrossRef]
- Panda, T.; Kundu, T.; Banerjee, R. Structural isomerism leading to variable proton conductivity in indium(III) isophthalic acid based frameworks. Chem. Commun. 2013, 49, 6197–6199. [Google Scholar] [CrossRef]
- Xing, X.S.; Fu, Z.H.; Zhang, N.N.; Yu, X.Q.; Wang, M.S.; Guo, G.C. High proton conduction in an excellent water-stable gadolinium metal-organic framework. Chem. Commun. 2019, 55, 1241–1244. [Google Scholar] [CrossRef]
- Liu, L.; Yao, Z.; Ye, Y.; Liu, C.; Lin, Q.; Chen, S.; Xiang, S.; Zhang, Z. Enhancement of Intrinsic Proton Conductivity and Aniline Sensitivity by Introducing Dye Molecules into the MOF Channel. ACS Appl. Mater. Interfaces 2019, 11, 16490–16495. [Google Scholar] [CrossRef]
- Ye, Y.; Guo, W.; Wang, L.; Li, Z.; Song, Z.; Chen, J.; Zhang, Z.; Xiang, S.; Chen, B. Straightforward Loading of Imidazole Molecules into Metal-Organic Framework for High Proton Conduction. J. Am. Chem. Soc. 2017, 139, 15604–15607. [Google Scholar] [CrossRef]
- Phang, W.J.; Jo, H.; Lee, W.R.; Song, J.H.; Yoo, K.; Kim, B.; Hong, C.S. Superprotonic conductivity of a UiO-66 framework functionalized with sulfonic acid groups by facile postsynthetic oxidation. Angew. Chem. Int. Ed. 2015, 54, 5142–5146. [Google Scholar] [CrossRef] [PubMed]
- Li, X.; Sun, X.; Li, X.; Fu, Z.; Su, Y.; Xu, G. Porous Cadmium(II) Anionic Metal-Organic Frameworks Based on Aromatic Tricarboxylate Ligands: Encapsulation of Protonated Flexible Bis(2-methylimidazolyl) Ligands and Proton Conductivity. Cryst. Growth Des. 2015, 15, 4543–4548. [Google Scholar] [CrossRef]
- Zhou, H.Q.; He, Y.; Hu, J.Y.; Chung, L.H.; Gu, Q.; Liao, W.M.; Zeller, M.; Xu, Z.; He, J. Conjugated crosslinks boost the conductivity and stability of a single crystalline metal-organic framework. Chem. Commun. 2021, 57, 187–190. [Google Scholar] [CrossRef] [PubMed]
- Eddaoudi, M.; Kim, J.; Rosi, N.; Vodak, D.; Wachter, J.; O’Keeffe, M.; Yaghi, O.M. Systematic design of pore size and functionality in isoreticular MOFs and their application in methane storage. Science 2002, 295, 469–472. [Google Scholar] [CrossRef] [PubMed] [Green Version]
- Dong, L.Z.; Zhang, L.; Liu, J.; Huang, Q.; Lu, M.; Ji, W.X.; Lan, Y.Q. Stable Heterometallic Cluster-Based Organic Framework Catalysts for Artificial Photosynthesis. Angew. Chem. Int. Ed. 2020, 59, 2659–2663. [Google Scholar] [CrossRef] [PubMed]
- Chen, J.; Li, B.; Shi, Z.; He, C.; Duan, C.; Zhang, T.; Wang, L.-Y. Crystal engineering of coordination-polymer-based iodine adsorbents using a π-electron-rich polycarboxylate aryl ether ligand. CrystEngComm 2020, 22, 6612–6619. [Google Scholar] [CrossRef]
- Cui, J.; Li, Y.; Guo, Z.; Zheng, H. A porous metal-organic framework based on Zn6O2 clusters: Chemical stability, gas adsorption properties and solvatochromic behavior. Chem. Commun. 2013, 49, 555–557. [Google Scholar] [CrossRef] [PubMed]
- Lou, X.-H.; Xu, C.; Li, H.-M.; Wang, Z.-Q.; Guo, H.; Xue, D.-X. Metal-directed topological diversity of three fluorescent metal-organic frameworks based on a new tetracarboxylate strut. CrystEngComm 2013, 15, 4606–4610. [Google Scholar] [CrossRef]
- Ma, D.-Y.; Qin, L.; Lei, J.-M.; Liang, Y.-Q.; Lin, W.-J.; Yan, J.-J.; Ding, W.-Q.; Guo, H.-F.; Ling, Y. Structural diversity of a series of coordination polymers built from 5-substituted isophthalic acid with or without a methyl-functionalized N-donor ligand. CrystEngComm 2016, 18, 1363–1375. [Google Scholar] [CrossRef]
- Li, X.-M.; Dong, L.-Z.; Li, S.-L.; Xu, G.; Liu, J.; Zhang, F.-M.; Lu, L.-S.; Lan, Y.-Q. Synergistic Conductivity Effect in a Proton Sources-Coupled Metal-Organic Framework. ACS Energy Lette. 2017, 2, 2313–2318. [Google Scholar] [CrossRef]
- Li, Y.-Z.; Fu, Z.-H.; Xu, G. Metal-organic framework nanosheets: Preparation and applications. Coord. Chem. Rev. 2019, 388, 79–106. [Google Scholar] [CrossRef]
- Kreuer, K.-D. Proton Conductivity: Materials and Applications. Chem. Mater. 1996, 8, 610–641. [Google Scholar] [CrossRef]
- Kreuer, K.-D.; Rabenau, A.; Weppner, W. Vehicle Mechanism, A New Model for the Interpretation of the Conductivity of Fast Proton Conductors. Angew. Chem. Int. Ed. 1982, 21, 208–209. [Google Scholar] [CrossRef]
- Dolomanov, O.V.; Bourhis, L.J.; Gildea, R.J.; Howard, J.A.K.; Puschmann, H. OLEX2: A complete structure solution, refinement and analysis program. J. Appl. Crystallogr. 2009, 42, 339–341. [Google Scholar] [CrossRef]
- Vladikova, D. Selectivity study of the differential impedance analysis—Comparison with the complex non-linear least-squares method. Electrochim. Acta 2002, 47, 2943–2951. [Google Scholar] [CrossRef]





Publisher’s Note: MDPI stays neutral with regard to jurisdictional claims in published maps and institutional affiliations. |
© 2021 by the authors. Licensee MDPI, Basel, Switzerland. This article is an open access article distributed under the terms and conditions of the Creative Commons Attribution (CC BY) license (https://creativecommons.org/licenses/by/4.0/).
Share and Cite
Zhou, H.-Q.; Zheng, S.-L.; Wu, C.-M.; Ye, X.-H.; Liao, W.-M.; He, J. Structure, Luminescent Sensing and Proton Conduction of a Boiling-Water-Stable Zn(II) Metal-Organic Framework. Molecules 2021, 26, 5044. https://doi.org/10.3390/molecules26165044
Zhou H-Q, Zheng S-L, Wu C-M, Ye X-H, Liao W-M, He J. Structure, Luminescent Sensing and Proton Conduction of a Boiling-Water-Stable Zn(II) Metal-Organic Framework. Molecules. 2021; 26(16):5044. https://doi.org/10.3390/molecules26165044
Chicago/Turabian StyleZhou, Hua-Qun, Sai-Li Zheng, Can-Min Wu, Xin-He Ye, Wei-Ming Liao, and Jun He. 2021. "Structure, Luminescent Sensing and Proton Conduction of a Boiling-Water-Stable Zn(II) Metal-Organic Framework" Molecules 26, no. 16: 5044. https://doi.org/10.3390/molecules26165044
APA StyleZhou, H.-Q., Zheng, S.-L., Wu, C.-M., Ye, X.-H., Liao, W.-M., & He, J. (2021). Structure, Luminescent Sensing and Proton Conduction of a Boiling-Water-Stable Zn(II) Metal-Organic Framework. Molecules, 26(16), 5044. https://doi.org/10.3390/molecules26165044

