Substituted Pyrazoles and Their Heteroannulated Analogs—Recent Syntheses and Biological Activities
Abstract
:1. Introduction
2. Synthesis of Pyrazoles
2.1. Cyclocondensation of Hydrazines
2.1.1. Cyclocondensation of Hydrazines with 1,3-Dicarbonyl Compounds
2.1.2. With α,β-Unsaturated Ketones
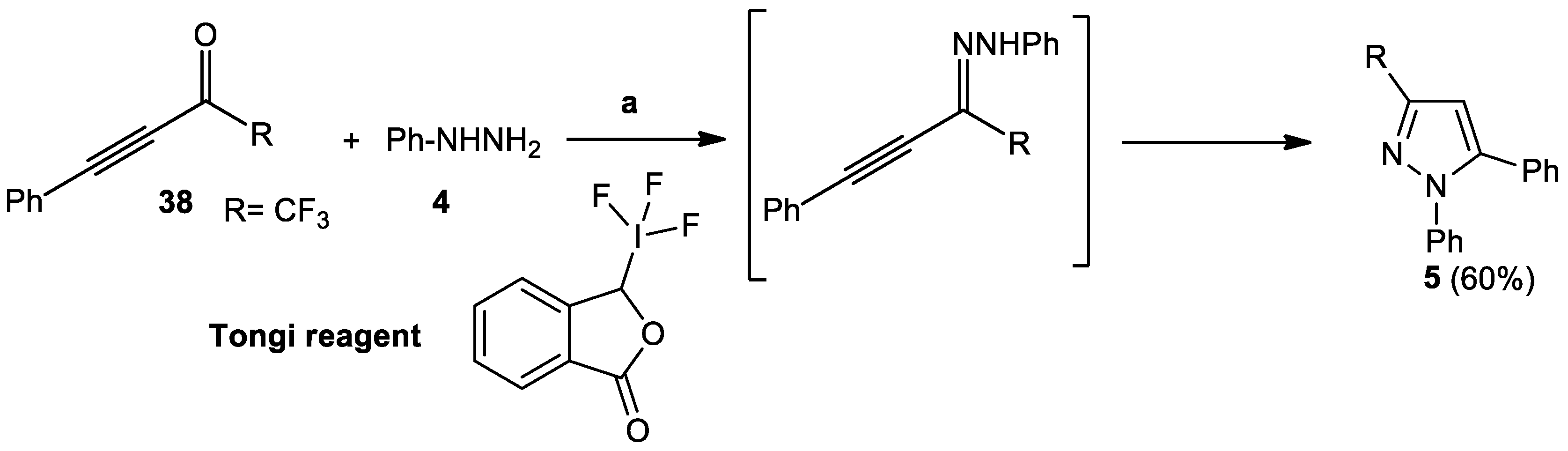
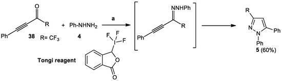
2.1.3. With Acetylenic Compounds
2.1.4. With π-Deficient Compounds
2.1.5. Via Vilsmeier–Haack Reaction
2.2. Pyrazoles from Diazo Compounds
2.3. Heterocyclic Ring Rearrangement
2.4. Multicomponent Synthesis
2.5. Eco-Friendly Methods for Pyrazole Synthesis
3. Heteroannulated Pyrazoles
3.1. Heteroannulation with Six-Membered Heterocycles
3.1.1. Pyranopyrazoles
3.1.2. Pyrazolopyrimidine
3.1.3. Pyrazolopyridines
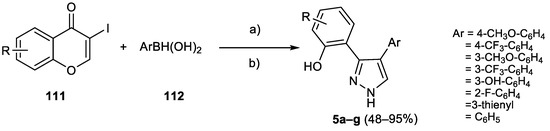
3.2. Heteroannulation with Five-Membered Heterocycles
3.2.1. Imidazo-Pyrazole
3.2.2. Thienopyrazoles
3.2.3. Furopyrazole
4. Biological Activities
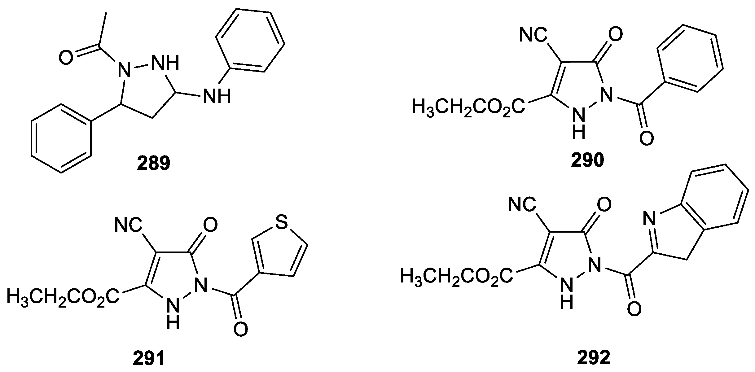
4.1. Anticancer Activity
4.2. Monoamine Oxidase Inhibitors
4.3. Antimicrobial and Antifungal Activity
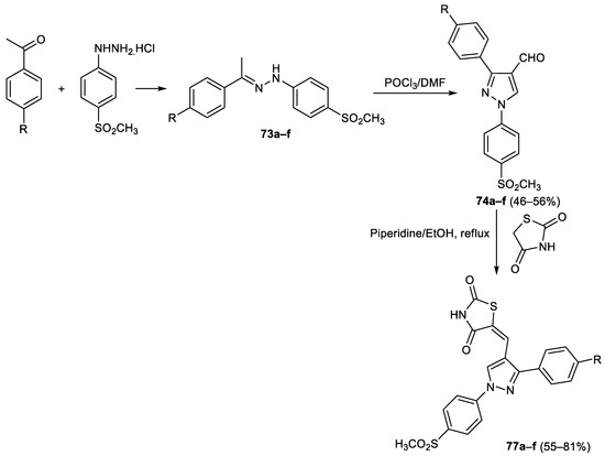
4.4. Anti-Inflammatory Activity
4.5. Antiviral Activity
4.6. Anti-Alzheimer’s Activity
4.7. Insecticides and Herbicides
4.8. Anticonvulsant and Antidepressant Activity
4.9. Pyrazole as Hypotensive Agents
4.10. Anti-HIV
4.11. Hypoglycemic
4.12. Anti-Oxidant Activity
5. Conclusions
Author Contributions
Funding
Institutional Review Board Statement
Informed Consent Statement
Data Availability Statement
Acknowledgments
Conflicts of Interest
References
- Siliveri, S.; Bashaboina, N.; Vamaraju, H.; Raj, S. Design, synthesis, molecular docking, ADMET studies and biological evaluation of pyrazoline incorporated 1,2,3-triazole benzene sulphonamides. Int. J. Pharm. Pharm. Sci. 2019, 11, 6–15. [Google Scholar] [CrossRef] [Green Version]
- Wiley, R.H.; Behr, L.C. Pyrazoles, Pyrazolines, Pyrazolidines, Indazoles and Condensed Rings; John Wiley & Sons, Ltd.: Hoboken, NJ, USA, 1967. [Google Scholar]
- Kikuchi, T.; Ikedaya, A.; Toda, A.; Ikushima, K.; Yamakawa, T.; Okada, R.; Yamada, T.; Tanaka, R. Pyrazole alkaloids from watermelon (Citrullus lanatus) seeds. Phytochem. Lett. 2015, 12, 94–97. [Google Scholar] [CrossRef]
- Lv, P.C.; Sun, J.; Luo, Y.; Yang, Y.; Zhu, H.L. Design, synthesis, and structure-activity relationships of pyrazole derivatives as potential FabH inhibitors. Bioorg. Med. Chem. Lett. 2010, 20, 4657–4660. [Google Scholar] [CrossRef]
- Kumar, V.; Kaur, K.; Gupta, G.K.; Sharma, A. Pyrazole Containing Natural Products: Synthetic Preview and Biological Significance. Eur. J. Med. Chem. 2013, 69, 735–753. [Google Scholar] [CrossRef] [PubMed]
- Fu, H.B.; Yao, J.N. Size effects on the optical properties of organic nanoparticles. J. Am. Chem. Soc. 2001, 123, 1434–1439. [Google Scholar] [CrossRef]
- Wang, M.; Zhang, J.; Liu, J.; Xu, C.; Ju, H. Intramolecular energy and charge transfer in 5-(9-anthryl)-3-(4-nitrophenyl)-1-phenyl-2-pyrazoline. J. Lumin. 2002, 99, 79–83. [Google Scholar] [CrossRef]
- Karcı, F.; Karcı, F.; Demirçalı, A.; Yamaç, M. Synthesis, solvatochromic properties and antimicrobial activities of some novel pyridone-based disperse diazo dyes. J. Mol. Liq. 2013, 187, 302–308. [Google Scholar] [CrossRef]
- Gao, X.C.; Cao, H.; Zhang, L.Q.; Zhang, B.W.; Cao, Y.; Huang, C.H. Properties of a new pyrazoline derivative and its application in electroluminescence. J. Mater. Chem. 1999, 9, 1077–1080. [Google Scholar] [CrossRef]
- Burschka, J.; Kessler, F.; Nazeeruddin, M.K.; Grätzel, M. Co (III) complexes as p-dopants in solid-state dye-sensitized solar cells. Chem. Mater. 2013, 25, 2986–2990. [Google Scholar] [CrossRef]
- Kauhanka, U.M.; Kauhanka, M.M. Synthesis of new liquid crystalline isoxazole-, pyrazole-and 2-isoxazoline-containing compounds. Liq. Cryst. 2006, 33, 121–127. [Google Scholar] [CrossRef]
- Chou, P.T.; Chi, Y. Phosphorescent dyes for organic light-emitting diodes. Chem. A Eur. J. 2007, 13, 380–395. [Google Scholar] [CrossRef]
- Nayak, N.; Ramprasad, J.; Dalimba, U. Synthesis and antitubercular and antibacterial activity of some active fluorine containing quinoline–pyrazole hybrid derivatives. J. Fluor. Chem. 2016, 183, 59–68. [Google Scholar] [CrossRef]
- Kumar, H.; Saini, D.; Jain, S.; Jain, N. Pyrazole scaffold: A remarkable tool in the development of anticancer agents. Eur. J. Med. Chem. 2013, 70, 248–258. [Google Scholar] [CrossRef]
- Gomha, S.M.; Edrees, M.M.; Faty, R.A.; Muhammad, Z.A.; Mabkhot, Y.N. Microwave-assisted one pot three-component synthesis of some novel pyrazole scaffolds as potent anticancer agents. Chem. Cent. J. 2017, 11, 37. [Google Scholar] [CrossRef] [Green Version]
- Arunachalam, S.; Gowrishankar, N.; Krishnan, A.; Prakash, M.; Muhsin, T.; Naseena, U.; Poornima, G. A brief review on pyrazole derivatives possessing various pharmacological and biological evaluation. World J. Pharm. Pharm. Sci. 2018, 5, 1496–1500. [Google Scholar]
- Viveka, S.; Shama, P.; Nagaraja, G.K.; Ballav, S.; Kerkar, S. Design and synthesis of some new pyrazolyl-pyrazolines as potential anti-inflammatory, analgesic and antibacterial agents. Eur. J. Med. Chem. 2015, 101, 442–451. [Google Scholar] [CrossRef] [PubMed]
- Hadipavlou-Litina, D.J.; Logoyda, L. Antioxidant and anti-inflammatory properties of a series of new 7,8-disubstituted theophylline containing a pyrazole ring. Asian J. Pharm. Clin. Res. 2018, 11, 448–450. [Google Scholar]
- Manikannan, R.; Venkatesan, R.; Muthusubramanian, S.; Yogeeswari, P.; Sriram, D. Pyrazole derivatives from azines of substituted phenacyl aryl/cyclohexyl sulfides and their antimycobacterial activity. Bioorg. Med. Chem. Lett. 2010, 20, 6920–6924. [Google Scholar] [CrossRef]
- Özdemir, A.; Altıntop, M.D.; Kaplancıklı, Z.A.; Can, Ö.D.; Demir Özkay, Ü.; Turan-Zitouni, G. Synthesis and Evaluation of New 1,5-Diaryl-3-[4-(methyl-sulfonyl)phenyl]-4,5-dihydro-1H-pyrazole Derivatives as Potential Antidepressant Agents. Molecules 2015, 20, 2668–2684. [Google Scholar] [CrossRef] [PubMed] [Green Version]
- Farag, A.M.; Mayhoub, A.S.; Barakat, S.E.; Bayomi, A.H. Synthesis of new N-phenylpyrazole derivatives with potent antimicrobial activity. Bioorg. Med. Chem. 2008, 16, 4569–4578. [Google Scholar] [CrossRef] [PubMed]
- Iglesias, A.; Mir, V.; Pompa-Monroy, D.; Martinez-Ortiz, J.; Diaz-Trujillo, G. Biological Activity of New Schiff Base Compounds Derived from Substituted 3-Aminopyrazoles, the Role of Pyrazole on Bioactivity. Ind. J. Pharm.Sci. 2019, 81, 333–343. [Google Scholar] [CrossRef]
- Sony, J.; Ganguly, S. A battle against AIDS: New pyrazole key to an older lock-reverse transcriptase. Int. J. Pham. Pharm. Sci. 2016, 8, 75. [Google Scholar]
- Bekhit, A.A.; Hassan, A.M.; Abd El Razik, H.A.; El-Miligy, M.M.; El-Agroudy, E.J.; Bekhit, A.E.-D. A New heterocyclic hybrids of pyrazole and its bioisosteres: Design, synthesis and biological evaluation as dual acting antimalarial-antileishmanial agents. Eur. J. Med. Chem. 2015, 94, 30–44. [Google Scholar] [CrossRef]
- Mukarram, S.; Bandgar, B.P.; Shaikh, R.U.; Ganapure, S.D.; Chavan, H.V. Synthesis of novel α, α-difluoro-β-hydroxycarbonyl pyrazole derivatives as antioxidant, anti-inflammatory and anticancer agents. Med. Chem. Res. 2017, 26, 262–273. [Google Scholar] [CrossRef]
- Menozzi, G.; Merello, L.; Fossa, P.; Schenone, S.; Ranise, A.; Mosti, L.; Bondavalli, F.; Loddo, R.; Murgioni, C.; Mascia, V. Synthesis, antimicrobial activity and molecular modeling studies of halogenated 4-[1H-imidazol-1-yl(phenyl)methyl]-1, 5-diphenyl-1H-pyrazoles. Bioorg. Med. Chem. 2004, 12, 5465–5483. [Google Scholar] [CrossRef]
- Naoum, F.; Kasiotis, K.M.; Magiatis, P.; Haroutounian, S.A. Synthesis of novel nitro-substituted triaryl pyrazole derivatives as potential estrogen receptor ligands. Molecules 2007, 12, 1259–1273. [Google Scholar] [CrossRef] [PubMed] [Green Version]
- Cocconcelli, G.; Diodato, E.; Caricasole, A.; Gaviraghi, G.; Genesio, E.; Ghiron, C.; Magnoni, L.; Pecchioli, E.; Plazzi, P.V.; Terstappen, G.C. Aryl azoles with neuroprotective activity—Parallel synthesis and attempts at target identification. Bioorg. Med. Chem. 2008, 16, 2043–2052. [Google Scholar] [CrossRef] [PubMed]
- Chimenti, F.; Carradori, S.; Secci, D.; Bolasco, A.; Bizzarri, B.; Chimenti, P.; Granese, A.; Yanez, M.; Orallo, F. Synthesis and inhibitory activity against human monoamine oxidase of N1-thiocarbamoyl-3,5-di(hetero)aryl-4,5-dihydro-(1H)-pyrazole derivatives. Eur. J. Med. Chem. 2010, 45, 800–804. [Google Scholar] [CrossRef] [PubMed]
- Khalilullah, H.; Khan, S.; Ahsan, M.J.; Ahmed, B. Synthesis and antihepatotoxic activity of 5-(2, 3-dihydro-1, 4-benzodioxane-6-yl)-3-substituted-phenyl-4,5-dihydro-1H-pyrazole derivatives. Bioorg. Med. Chem. Lett. 2011, 21, 7251–7254. [Google Scholar] [CrossRef]
- dos Santos, M.S.; Oliveira, M.L.; Bernardino, A.M.; de Léo, R.M.; Amaral, V.F.; de Carvalho, F.T.; Leon, L.L.; Canto-Cavalheiro, M.M. Synthesis and antileishmanial evaluation of 1-aryl-4-(4,5-dihydro-1H-imidazol-2-yl)-1H-pyrazole derivatives. Bioorg. Med. Chem. Lett. 2011, 21, 7451–7454. [Google Scholar] [CrossRef]
- Huang, Y.-Y.; Wang, L.-Y.; Chang, C.-H.; Kuo, Y.-H.; Kaneko, K.; Takayama, H.; Kimura, M.; Juang, S.-H.; Wong, F.F. One-pot synthesis and antiproliferative evaluation of pyrazolo[3,4-d]pyrimidine derivatives. Tetrahedron 2012, 68, 9658–9664. [Google Scholar] [CrossRef]
- Sidique, S.; Ardecky, R.; Su, Y.; Narisawa, S.; Brown, B.; Millán, J.L.; Sergienko, E.; Cosford, N.D. Design and synthesis of pyrazole derivatives as potent and selective inhibitors of tissue-nonspecific alkaline phosphatase (TNAP). Bioorg. Med. Chem. Lett. 2009, 19, 222–225. [Google Scholar] [CrossRef] [PubMed] [Green Version]
- Sun, J.; Lv, X.H.; Qiu, H.Y.; Wang, Y.T.; Du, Q.R.; Li, D.D.; Yang, Y.H.; Zhu, H.L. Synthesis, biological evaluation and molecular docking studies of pyrazole derivatives coupling with a thiourea moiety as novel CDKs inhibitors. Eur. J. Med. Chem. 2013, 68, 1–9. [Google Scholar] [CrossRef] [PubMed]
- Kees, K.L.; Fitzgerald, J.J.; Steiner, K.E.; Mattes, J.F.; Mihan, B.; Tosi, T.; Mondoro, D.; McCaleb, M.L. New potent antihyperglycemic agents in db/db mice: Synthesis and structure−activity relationship studies of (4-substituted benzyl)(trifluoromethyl) pyrazoles and-pyrazolones. J. Med. Chem. 1996, 39, 3920–3928. [Google Scholar] [CrossRef] [PubMed]
- Nieto, C.I.; Cabildo, M.P.; Cornago, M.P.; Sanz, D.; Claramunt, R.M.; Alkorta, I.; Elguero, J.; García, J.A.; López, A.; Acuña-Castroviejo, D. Synthesis, structure and biological activity of 3 (5)-trifluoromethyl-1H-pyrazoles derived from hemicurcuminoids. J. Mol. Struct. 2015, 1100, 518–529. [Google Scholar] [CrossRef]
- Lv, X.-H.; Li, Q.-S.; Ren, Z.-L.; Chu, M.-J.; Sun, J.; Zhang, X.; Xing, M.; Zhu, H.-L.; Cao, H.-Q. (E)-1,3-diphenyl-1H-pyrazole derivatives containing O-benzyl oxime moiety as potential immunosuppressive agents: Design, synthesis, molecular docking and biological evaluation. Eur. J. Med. Chem. 2016, 108, 586–593. [Google Scholar] [CrossRef]
- Heller, S.T.; Natarajan, S.R. 1,3-Diketones from acid chlorides and ketones: A rapid and general one-pot synthesis of pyrazoles. Org. Lett. 2006, 8, 2675–2678. [Google Scholar] [CrossRef]
- Mert, S.; Kasımoğulları, R.; Iça, T.; Çolak, F.; Altun, A.; Ok, S. Synthesis, structure–activity relationships, and in vitro antibacterial and antifungal activity evaluations of novel pyrazole carboxylic and dicarboxylic acid derivatives. Eur. J. Med. Chem. 2014, 78, 86–96. [Google Scholar] [CrossRef]
- Knorr, L. Einwirkung von Acetessigester auf Phenylhydrazin. Berich. Deut. Chem. Gesellschaft 1883, 16, 2597–2599. [Google Scholar] [CrossRef] [Green Version]
- Komendantova, A.S.; Lyssenko, K.A.; Zavarzin, I.V.; Volkova, Y.A. Iodine-promoted synthesis of pyrazoles from 1,3-dicarbonyl compounds and oxamic acid thiohydrazides. Org. Chem. Front. 2020, 7, 1640–1646. [Google Scholar] [CrossRef]
- Ohtsuka, Y.; Uraguchi, D.; Yamamoto, K.; Tokuhisa, K.; Yamakawa, T. Syntheses of 2-(trifluoromethyl)-1,3-dicarbonyl compounds through direct trifluoromethylation with CF3I and their application to fluorinated pyrazoles syntheses. Tetrahedron 2012, 68, 2636–2649. [Google Scholar] [CrossRef]
- Girish, Y.R.; Kumar, K.S.S.; Manasa, H.S.; Shashikanth, S. ZnO: An Ecofriendly, Green Nano-catalyst for the Synthesis of Pyrazole Derivatives under Aqueous Media. J. Chin. Chem. Soc. 2014, 61, 1175–1179. [Google Scholar] [CrossRef]
- Sayed, A.R.; Gomha, S.M.; Abdelrazek, F.M.; Farghaly, M.S.; Hassan, S.A.; Metz, P. Design, efficient synthesis and molecular docking of some novel thiazolyl-pyrazole derivatives as anticancer agents. BMC Chem. 2019, 13, 116. [Google Scholar] [CrossRef] [Green Version]
- Alberola, A.; González-Ortega, A.; Sádaba, M.L.; Sañudo, M.C. β-Aminoenones in the regioselective synthesis of 1,3,5-trialkylpyrazoles. The influence of the substituents in the mechanism and the regioselectivity of the reaction. J. Chem. Soc. Perkin Trans. 1998, 1, 4061–4066. [Google Scholar] [CrossRef]
- Sahu, S.; Banerjee, M.; Samantray, A.; Behera, C.; Azam, M. Synthesis, analgesic, anti-inflammatory and antimicrobial activities of some novel pyrazoline derivatives. Trop. J. Pharm. Res. 2008, 7, 961–968. [Google Scholar] [CrossRef]
- Kovacs, S.; Novak, Z. Copper on iron promoted one-pot synthesis of β-aminoenones and 3,5-disubstituted pyrazoles. Tetrahedron 2013, 69, 8987–8993. [Google Scholar] [CrossRef]
- Rao, V.K.; Tiwari, R.; Chhikara, B.S.; Shirazi, A.N.; Parang, K.; Kumar, A. Copper triflate-mediated synthesis of 1,3,5-triarylpyrazoles in [bmim][PF6] ionic liquid and evaluation of their anticancer activities. RSC Adv. 2013, 3, 15396–15403. [Google Scholar] [CrossRef] [PubMed]
- Bonacorso, H.; Wastowski, A.; Zanatta, N.; Martins, M.; Naue, J. Haloacetylated enol ethers 10. Condensation of β-alkoxyvinyl trifluoromethyl ketones with thiosemicarbazide. Synthesis of new trifluoromethyl 4,5-dihydro-1H-1-pyrazolethiocarboxyamides. J. Fluor. Chem. 1998, 92, 23–26. [Google Scholar] [CrossRef]
- Prabhudeva, M.; Renuka, N.; Kumar, K. Synthesis of thiophene-pyrazole conjugates as potent antimicrobial and radical scavengers. Curr. Chem. Lett. 2018, 7, 73–80. [Google Scholar] [CrossRef]
- Palleapati, K.; Kancharlapalli, V.R.; Shaik, A.B. Synthesis, characterization and antitubercular evaluation of some new isoxazole appended 1-carboxamido-4,5-dihydro-1H-pyrazoles. J. Res. Pharm. 2019, 23, 156–163. [Google Scholar] [CrossRef] [Green Version]
- Metwally, N.H.; Saad, G.R.; Abd El-Wahab, E.A. Grafting of multiwalled carbon nanotubes with pyrazole derivatives: Characterization, antimicrobial activity and molecular docking study. Int. J. Nanomed. 2019, 14, 6645. [Google Scholar] [CrossRef] [PubMed] [Green Version]
- Moureu, C.; Delange, R. Over some Acetylenketone and over a new method to the synthesis of β-Diketones. Bull. Soc. Chim. 1901, 25, 302–313. [Google Scholar]
- Harigae, R.; Moriyama, K.; Togo, H. Preparation of 3,5-disubstituted pyrazoles and isoxazoles from terminal alkynes, aldehydes, hydrazines, and hydroxylamine. J. Org. Chem. 2014, 79, 2049–2058. [Google Scholar] [CrossRef] [PubMed]
- Ji, G.; Wang, X.; Zhang, S.; Xu, Y.; Ye, Y.; Li, M.; Zhang, Y.; Wang, J. Synthesis of 3-trifluoromethylpyrazoles via trifluoromethylation/cyclization of α,β-alkynic hydrazones using a hypervalent iodine reagent. Chem. Commun. 2014, 50, 4361–4363. [Google Scholar] [CrossRef] [PubMed]
- Ma, C.; Li, Y.; Wen, P.; Yan, R.; Ren, Z.; Huang, G. Copper (I)-catalyzed synthesis of pyrazoles from phenylhydrazones and dialkyl ethylenedicarboxylates in the presence of bases. Synlett 2011, 2011, 1321–1323. [Google Scholar] [CrossRef]
- Martín, R.; Rodríguez Rivero, M.; Buchwald, S.L. Domino Cu-Catalyzed C-N Coupling/Hydroamidation: A Highly Efficient Synthesis of Nitrogen Heterocycles. Angew. Chem. 2006, 118, 7237–7240. [Google Scholar] [CrossRef]
- Jackowski, O.; Lecourt, T.; Micouin, L. Direct synthesis of polysubstituted aluminoisoxazoles and pyrazoles by a metalative cyclization. Org. Lett. 2011, 13, 5664–5667. [Google Scholar] [CrossRef]
- Aly, A.A.; Hassan, A.A.; Bräse, S.; Gomaa, M.A.M.; Nemr, F.M. Reaction of Amidrazones with Diaminomaleonitrile: Synthesis of 4-Amino-5-Iminopyrazoles. J. Heterocycl. Chem. 2017, 54, 480–483. [Google Scholar] [CrossRef]
- Elbastawesy, M.A.; Aly, A.A.; Ramadan, M.; Elshaier, Y.A.; Youssif, B.G.; Brown, A.B.; Abuo-Rahma, G.E.D.A. Novel Pyrazoloquinolin-2-ones: Design, synthesis, docking studies, and biological evaluation as antiproliferative EGFR-TK inhibitors. Bioorg. Chem. 2019, 90, 103045. [Google Scholar] [CrossRef]
- Aly, A.A.; Sayed, S.M.; Abdelhafez, E.S.M.; Abdelhafez, S.M.N.; Abdelzaher, W.Y.; Raslan, M.A.; Ahmed, A.E.; Thabet, K.; El-Reedy, A.A.; Brown, A.B. New quinoline-2-one/pyrazole derivatives; design, synthesis, molecular docking, anti-apoptotic evaluation, and caspase-3 inhibition assay. Bioorg. Chem. 2020, 94, 103348. [Google Scholar] [CrossRef]
- Aly, A.A.; Ramadan, M.; Abd El-Aziz, M.; Bräse, S.; Brown, A.B.; Fathy, H.M.; Nieger, M. Regioselective synthesis of 5-aminopyrazoles from reactions of amidrazones with activated nitriles: NMR investigation and X-ray structural analysis. Chem. Pap. 2017, 71, 1409–1417. [Google Scholar] [CrossRef] [Green Version]
- Lourenço, A.L.; Vegi, P.F.; Faria, J.V.; Pinto, G.S.; Santos, M.S.D.; Sathler, P.C.; Saito, M.S.; Santana, M.; Dutra, T.P.; Rodrigues, C.R. Pyrazolyl-tetrazoles and imidazolyl-pyrazoles as potential anticoagulants and their integrated multiplex analysis virtual screening. J. Braz. Chem. Soc. 2019, 30, 33–47. [Google Scholar] [CrossRef]
- Elkanzi, N.A.A.; Ghoneim, A.A.; Hrichi, H. Synthesis and antimicrobial evaluation of novel pyrazole, imidazole and pyrimidine derivatives possessing imidazo[4,5-b]indol moiety. Chem. J. Mold. 2019, 14, 105–116. [Google Scholar] [CrossRef]
- Westermeyer, A.; Llopis, Q.; Guillamot, G.; Phansavath, P.; Ratovelomanana-Vidal, V. Highly Regioselective Synthesis of 3,5-Substituted Pyrazoles from Bromovinyl Acetals and N-Tosylhydrazones. Synlett 2020, 31, 1172–1176. [Google Scholar]
- Selvam, T.P.; Kumar, P.V.; Saravanan, G.; Prakash, C.R. Microwave-assisted synthesis, characterization and biological activity of novel pyrazole derivatives. J. Saudi Chem. Soc. 2014, 18, 1015–1021. [Google Scholar] [CrossRef] [Green Version]
- Lokhande, P.; Hasanzadeh, K.; Konda, S.G. A novel and efficient approach for the synthesis of new halo substituted 2-arylpyrazolo [4,3-c] coumarin derivatives. Eur. J. Chem. 2011, 2, 223–228. [Google Scholar] [CrossRef]
- Sivaramakarthikeyan, R.; Iniyaval, S.; Saravanan, V.; Lim, W.-M.; Mai, C.-W.; Ramalingan, C. Molecular Hybrids Integrated with Benzimidazole and Pyrazole Structural Motifs: Design, Synthesis, Biological Evaluation, and Molecular Docking Studies. ACS Omega 2020, 5, 10089–10098. [Google Scholar] [CrossRef] [PubMed]
- Nayak, S.G.; Poojary, B.; Kamat, V. Novel pyrazole-clubbed thiophene derivatives via Gewald synthesis as antibacterial and anti-inflammatory agents. Arch. Pharm. 2020, 353, 2000103. [Google Scholar] [CrossRef] [PubMed]
- Abdellatif, K.R.; Fadaly, W.A.; Kamel, G.M.; Elshaier, Y.A.; El-Magd, M.A. Design, synthesis, modeling studies and biological evaluation of thiazolidine derivatives containing pyrazole core as potential anti-diabetic PPAR-γ agonists and anti-inflammatory COX-2 selective inhibitors. Bioorg. Chem. 2019, 82, 86–99. [Google Scholar] [CrossRef] [PubMed]
- Abdellatif, K.R.; El-Saadi, M.T.; Elzayat, S.G.; Amin, N.H. New substituted pyrazole derivatives targeting COXs as potential safe anti-inflammatory agents. Future Med. Chem. 2019, 11, 1871–1882. [Google Scholar] [CrossRef] [PubMed]
- Aggarwal, R.; Bansal, A.; Rozas, I.; Kelly, B.; Kaushik, P.; Kaushik, D. Synthesis, biological evaluation and molecular modeling study of 5-trifluoromethyl-Δ2-pyrazoline and isomeric 5/3-trifluoromethylpyrazole derivatives as anti-inflammatory agents. Eur. J. Med. Chem. 2013, 70, 350–357. [Google Scholar] [CrossRef] [PubMed]
- Nair, V.; Biju, A.; Mohanan, K.; Suresh, E. Novel synthesis of highly functionalized pyrazolines and pyrazoles by triphenylphosphine-mediated reaction of dialkyl azodicarboxylate with allenic esters. Org. Lett. 2006, 8, 2213–2216. [Google Scholar] [CrossRef] [PubMed]
- Hari, Y.; Tsuchida, S.; Aoyama, T. One-pot, cis-selective synthesis of α-substituted β-trimethylsilyl-α,β-epoxyesters from α-ketoesters and diazo (trimethylsilyl) methyl magnesium bromide. Tetrahedron Lett. 2006, 47, 1977–1980. [Google Scholar] [CrossRef]
- Babinski, D.J.; Aguilar, H.R.; Still, R.; Frantz, D.E. Synthesis of substituted pyrazoles via tandem cross-coupling/electrocyclization of enol triflates and diazoacetates. J. Org. Chem. 2011, 76, 5915–5923. [Google Scholar] [CrossRef] [Green Version]
- Parham, W.E.; Bleasdale, J.L. Reactions of diazo compounds with nitroölefins. I. The preparation of pyrazoles. J. Am. Chem. Soc. 1950, 72, 3843–3846. [Google Scholar] [CrossRef]
- Parham, W.E.; Hasek, W.R. Reactions of diazo compounds with nitroölefins. III. Group migrations in the decomposition of nitropyrazolines. J. Am. Chem. Soc. 1954, 76, 799–801. [Google Scholar] [CrossRef]
- Auwers, K.V.; Ungemach, O. Mixed observations on the assembly and disassembly of pyrazoline derivatives. Chem. Ber. 1933, 66, 1198–1204. [Google Scholar] [CrossRef]
- Neumann, J.J.; Suri, M.; Glorius, F. Efficient Synthesis of Pyrazoles: Oxidative C–C/N–N Bond-Formation Cascade. Angew. Chem. Int. Ed. 2010, 49, 7790–7794. [Google Scholar] [CrossRef] [PubMed]
- Rai, N.S.; Kalluraya, B. A Novel synthesis of nitrofuran containing 1,3,4,5-tetrasubstituted pyrazoles via 1, 3-dipolar addition reaction. Indian J. Chem. Sect. B Org. Chem. Incl. Med. Chem. 2007, 46, 375–378. [Google Scholar] [CrossRef]
- Chen, F.; Liu, F.M.; Shi, H.; Chen, S.L. A facile access to 1,3,4-trisubstituted pyrazoles via 1,3-dipolar cycloaddition of 3-arylsydnones with α, β-unsaturated ketones. Mon. Chem. 2013, 144, 879–884. [Google Scholar] [CrossRef]
- Delaunay, T.; Genix, P.; Es-Sayed, M.; Vors, J.-P.; Monteiro, N.; Balme, G. A Modular Sydnone Cycloaddition/Suzuki−Miyaura Cross-Coupling Strategy to Unsymmetrical 3,5-Bis(hetero)aromatic Pyrazoles. Org. Lett. 2010, 12, 3328–3331. [Google Scholar] [CrossRef]
- Kawase, M.; Koiwai, H.; Yamano, A.; Miyamae, H. Regioselective reaction of mesoionic 4-trifluoroacetyl-1, 3-oxazolium-5-olates and phenylhydrazine: Synthesis of trifluoromethyl substituted pyrazole and 1,2,4-triazine derivatives. Tetrahedron Lett. 1998, 39, 663–666. [Google Scholar] [CrossRef]
- Xie, F.; Cheng, G.; Hu, Y. Three-component, one-pot reaction for the combinatorial synthesis of 1,3,4-substituted pyrazoles. J. Comb. Chem. 2006, 8, 286–288. [Google Scholar] [CrossRef] [PubMed]
- Rykowski, A.; Branowska, D. Ring transformation of 3-halo-1,2,4-triazines with α-chlorocarbanions: A novel route to pyrazoles with sulfonyl, sulfonamido and sulfonyloxy groups. Heterocycles 1996, 10, 2095–2098. [Google Scholar] [CrossRef]
- Simoni, D.; Rondanin, R.; Furnò, G.; Aiello, E.; Invidiata, F.P. Facile synthesis of pyrazoles and pyrroles via thermolysis of tetrazolo [1,5-b] pyridazines, tetrazolo [1,5-a]pyrimidines and tetrazolo[1,5-a]pyridines. Tetrahedron Lett. 2000, 41, 2699–2703. [Google Scholar] [CrossRef]
- Liu, H.L.; Jiang, H.F.; Zhang, M.; Yao, W.J.; Zhu, Q.H.; Tang, Z. One-pot three-component synthesis of pyrazoles through a tandem coupling-cyclocondensation sequence. Tetrahedron Lett. 2008, 49, 3805–3809. [Google Scholar] [CrossRef]
- Kiyani, H.; Samimi, H.; Ghorbani, F.; Esmaieli, S. One-pot, four-component synthesis of pyrano[2,3-c]pyrazoles catalyzed by sodium benzoate in aqueous medium. Curr. Chem. Lett. 2013, 2, 197–206. [Google Scholar] [CrossRef]
- Ahmed, M.; Kobayashi, K.; Mori, A. One-pot construction of pyrazoles and isoxazoles with palladium-catalyzed four-component coupling. Org. Lett. 2005, 7, 4487–4489. [Google Scholar] [CrossRef]
- Shahbazi, S.; Ghasemzadeh, M.A.; Shakib, P.; Zolfaghari, M.R.; Bahmani, M. Synthesis and antimicrobial study of 1, 4-dihydropyrano[2,3-c]pyrazole derivatives in the presence of amino-functionalized silica-coated cobalt oxide nanostructures as catalyst. Polyhedron 2019, 170, 172–179. [Google Scholar] [CrossRef]
- Beyzaei, H.; Motraghi, Z.; Aryan, R.; Zahedi, M.M.; Samzadeh-Kermani, A. Green one-pot synthesis of novel polysubstituted pyrazole derivatives as potential antimicrobial agents. Acta Chim. Slov. 2017, 64, 911–918. [Google Scholar] [CrossRef] [Green Version]
- Kangani, M.; Hazeri, N.; Mghsoodlou, M.T.; Habibi-khorasani, S.M.; Salahi, S. Green synthesis of 1,4-dihydropyrano [2,3-c]pyrazole derivatives using maltose as biodegradable catalyst. Res. Chem. Intermed. 2015, 41, 2513–2519. [Google Scholar] [CrossRef]
- Zolfigol, M.A.; Afsharnadery, F.; Baghery, S.; Salehzadeh, S.; Maleki, F. Catalytic applications of {[HMIM]C(NO2)3}: As a nano ionic liquid for the synthesis of pyrazole derivatives under green conditions and a mechanistic investigation with a new approach. RSC Adv. 2015, 5, 75555–75568. [Google Scholar] [CrossRef]
- Polshettiwar, V.; Varma, R.S. Nano-organocatalyst: Magnetically retrievable ferrite-anchored glutathione for microwave-assisted Paal–Knorr reaction, aza-Michael addition, and pyrazole synthesis. Tetrahedron 2010, 66, 1091–1097. [Google Scholar] [CrossRef]
- Kumari, K.; Raghuvanshi, D.S.; Jouikov, V.; Singh, K.N. Sc(OTf)3-catalyzed, solvent-free domino synthesis of functionalized pyrazoles under controlled microwave irradiation. Tetrahedron Lett. 2012, 53, 1130–1133. [Google Scholar] [CrossRef]
- Srivastava, M.; Rai, P.; Singh, J.; Singh, J. An environmentally friendlier approach—Ionic liquid catalysed, water promoted and grinding induced synthesis of highly functionalised pyrazole derivatives. RSC Adv. 2013, 3, 16994–16998. [Google Scholar] [CrossRef]
- Otto, H.H. Darstellung einiger 4H-Pyrano [2.3-c] pyrazolderivate. Arch. Pharm. 1974, 307, 444–447. [Google Scholar] [CrossRef] [PubMed]
- Peng, Y.; Song, G.; Dou, R. Surface cleaning under combined microwave and ultrasound irradiation: Flash synthesis of 4H-pyrano [2,3-c] pyrazoles in aqueous media. Green Chem. 2006, 8, 573–575. [Google Scholar] [CrossRef]
- Dyachenko, V.; Rusanov, E. Novel approaches to synthesis of 4-alkyl-6-amino-5-cyano-3-methyl (propylphenyl)-2H,4H-pyrano [2,3-c] pyrazoles. Chem. Heterocycl. Compds. 2004, 40, 231–240. [Google Scholar] [CrossRef]
- Elagamey, A.G.A.; Sowellim, S.Z.A.; Khodeir, M.N. Reactions with heterocyclic amidines (V). Synthesis of some new imidazo [1,2-b]pyrazole, pyrazolo[5,1-c]-1,2,4-triazine and pyrazolo[5,1-c]-1,2,4-triazole derivatives. Arch. Pharm. Res. 1987, 10, 14–17. [Google Scholar] [CrossRef]
- Hafez, E.A.A.; Abdul Galil, F.M.; Sherif, S.M.; Elnagdi, M.H. Nitriles in heterocyclic synthesis. A novel synthesis of spiropyran4-ylindolidene derivatives. J. Heterocycl. Chem. 1986, 23, 1375–1378. [Google Scholar] [CrossRef]
- Mohamed, N.R.; Khaireldin, N.Y.; Fahmyb, A.; El-Sayeda, A. Facile synthesis of fused nitrogen containing heterocycles as anticancer agents. Pharm. Chem. 2010, 2, 400–417. [Google Scholar]
- Aslam, N.; White, J.M.; Zafar, A.M.; Jabeen, M.; Ghafoor, A.; Sajid, N.; Noreen, S.; Khan, M.A. 4H-Pyrano[2,3-c]pyrazoles: A review. Arkivoc 2018, 6, 139–203. [Google Scholar] [CrossRef]
- Enders, D.; Grossmann, A.; Gieraths, B.; Düzdemir, M.; Merkens, C. Organocatalytic One-Pot Asymmetric Synthesis of 4H, 5H-Pyrano[2, 3-c]pyrazoles. Org. Lett. 2012, 14, 4254–4257. [Google Scholar] [CrossRef] [PubMed]
- Lu, Z.; Xiao, J.; Wang, D.; Li, Y. An Efficient One-Pot Five-Component Tandem Sequential Approach for the Synthesis of Pyranopyrazole Derivatives via Suzuki Coupling and Multicomponent Reaction. Asian J. Org. Chem. 2015, 4, 487–492. [Google Scholar] [CrossRef]
- Safaei-Ghomi, J.; Ziarati, A.; Tamimi, M. A Novel Method for the One-pot Five-component Synthesis Highly Functionalized Pyranopyrazoles Catalyzed by CuI Nanoparticles. Acta Chim. Slov. 2013, 60, 403–410. [Google Scholar] [PubMed]
- Yoo, J.; Thai, K.-M.; Kim, D.-K.; Lee, J.Y.; Park, H.-J. 3D-QSAR studies on sildenafil analogues, selective phosphodiesterase 5 inhibitors. Bioorg. Med. Chem. Lett. 2007, 17, 4271–4274. [Google Scholar] [CrossRef]
- Poulsen, S.-A.; Young, D.J.; Quinn, R.J. High-pressure synthesis of enantiomerically pure C-6 substituted pyrazolo[3,4-d]pyrimidines. Bioorg. Med. Chem. Lett. 2001, 11, 191–193. [Google Scholar] [CrossRef]
- Makino, K.; Kim, H.S.; Kurasawa, Y. Synthesis of pyrazoles. J. Heterocycl. Chem. 1998, 35, 489–497. [Google Scholar] [CrossRef]
- Arava, V.R.; Gorentla, L.; Bandatmakuru, S.R.; Siripalli, U.B.R. New reagents from “N,N-Dimethylaminomethoxy methylenium methyl sulphate”-Synthesis of 3-Amino-4-cyano pyrazole. Pharma Chem. 2010, 2, 178–186. [Google Scholar]
- Rashad, A.E.; Abdelmegid, M.; Shamroukh, A.H.; Abdelmegeid, F.M. The chemistry of pyrazolopyrimidines and their applications. Org. Chem. Ind. J. 2014, 10, 224–250. [Google Scholar]
- Kim, D.C.; Lee, Y.R.; Yang, B.-S.; Shin, K.J.; Kim, D.J.; Chung, B.Y.; Yoo, K.H. Synthesis and biological evaluations of pyrazolo [3,4-d] pyrimidines as cyclin-dependent kinase 2 inhibitors. Eur. J. Med. Chem. 2003, 38, 525–532. [Google Scholar] [CrossRef]
- Raffa, D.; Maggio, B.; Plescia, F.; Cascioferro, S.; Raimondi, M.V.; Plescia, S.; Cusimano, M.G. Pyrazolo[3, 4-d]pyrimidine Derivatives as COX-2 Selective Inhibitors: Synthesis and Molecular Modelling Studies. Arch. Pharm. Int. J. Pharm. Med. Chem. 2009, 342, 321–326. [Google Scholar] [CrossRef]
- Ghorab, M.M.; Ragab, F.A.; Alqasoumi, S.I.; Alafeefy, A.M.; Aboulmagd, S.A. Synthesis of some new pyrazolo[3,4-d]pyrimidine derivatives of expected anticancer and radioprotective activity. Eur. J. Med. Chem. 2010, 45, 171–178. [Google Scholar] [CrossRef] [PubMed]
- El-Enany, M.M.; Kamel, M.M.; Khalil, O.M.; El-Nassan, H.B. Synthesis and antitumor activity of novel 6-aryl and 6-alkylpyrazolo[3,4-d]pyrimidin-4-one derivatives. Eur. J. Med. Chem. 2010, 45, 5286–5291. [Google Scholar] [CrossRef] [PubMed]
- Kandeel, M.M.; Mohamed, L.W.; Abd El Hamid, M.K.; Negmeldin, A.T. Design, synthesis, and antitumor evaluation of novel pyrazolo[3,4-d]pyrimidine derivatives. Sci. Pharm. 2012, 80, 531–546. [Google Scholar] [CrossRef] [PubMed] [Green Version]
- Quintela, J.M.; Peinador, C.; Moreira, M.J.; Alfonso, A.; Botana, L.M.; Riguera, R. Pyrazolopyrimidines: Synthesis, effect on histamine release from rat peritoneal mast cells and cytotoxic activity. Eur. J. Med. Chem. 2001, 36, 321–332. [Google Scholar] [CrossRef]
- Hassan, S.M.; Emam, H.A.; Abdelall, M.M. Heteroaromatization with ketene dithioacetals: Part I. Synthesis of some novel 5-amino-1-(1,3,4-thiadiazol-2-yl) and 1-(1,3,4-thiadiazin-2-yl)pyrazole-4-carbonitriles. J. Chem. Res. 2000, 2000, 544–545. [Google Scholar] [CrossRef]
- Schenone, S.; Bruno, O.; Bondavalli, F.; Ranise, A.; Mosti, L.; Menozzi, G.; Fossa, P.; Donnini, S.; Santoro, A.; Ziche, M. Antiproliferative activity of new 1-aryl-4-amino-1H-pyrazolo[3,4-d]pyrimidine derivatives toward the human epidermoid carcinoma A431 cell line. Eur. J. Med. Chem. 2004, 39, 939–946. [Google Scholar] [CrossRef]
- Ibrahim, D.A.; El-Metwally, A.M.; Al-Arab, E.E. Structure-based design of a new class of highly selective pyrazolo [3,4-d]pyrimidines based inhibitors of cyclin dependent kinases. Arkivoc 2009, 7, 12–25. [Google Scholar] [CrossRef] [Green Version]
- Meiners, B.; Salama, A. Enhancement of benzodiazepine and GABA binding by the novel anxiolytic, tracazolate. Eur. J. Pharmacol. 1982, 78, 315–322. [Google Scholar] [CrossRef]
- Marcade, M.; Bourdin, J.; Loiseau, N.; Peillon, H.; Rayer, A.; Drouin, D.; Schweighoffer, F.; Désiré, L. Etazolate, a neuroprotective drug linking GABAA receptor pharmacology to amyloid precursor protein processing. J. Neurochem. 2008, 106, 392–404. [Google Scholar] [CrossRef]
- Höhn, H.; Polacek, I.; Schulze, E. Potential antidiabetic agents. Pyrazolo[3,4-b]pyridines. J. Med. Chem. 1973, 16, 1340–1346. [Google Scholar] [CrossRef] [PubMed]
- Jiang, B.; Ye, Q.; Fan, W.; Wang, S.L.; Tu, S.J.; Li, G. Four-component strategy for selective synthesis of azepino[5,4,3-cd]indoles and pyrazolo[3, 4-b]pyridines. Chem. Commun. 2014, 50, 6108–6111. [Google Scholar] [CrossRef] [PubMed] [Green Version]
- Hill, M.D. A multicomponent approach to highly substituted 1H-pyrazolo[3,4-b]pyridines. Synthesis 2016, 48, 2201–2204. [Google Scholar] [CrossRef]
- Lee, S.; Park, S.B. An efficient one-step synthesis of heterobiaryl pyrazolo[3, 4-b]pyridines via indole ring opening. Org. Lett. 2009, 11, 5214–5217. [Google Scholar] [CrossRef]
- Charris-Molina, A.; Castillo, J.-C.; Macías, M.; Portilla, J. One-Step synthesis of fully functionalized pyrazolo[3,4-b]pyridines via isobenzofuranone ring opening. J. Org. Chem. 2017, 82, 12674–12681. [Google Scholar] [CrossRef]
- Miliutina, M.; Janke, J.; Hassan, S.; Zaib, S.; Iqbal, J.; Lecka, J.; Sévigny, J.; Villinger, A.; Friedrich, A.; Lochbrunner, S. A domino reaction of 3-chlorochromones with aminoheterocycles. Synthesis of pyrazolopyridines and benzofuropyridines and their optical and ecto-5-nucleotidase inhibitory effects. Org. Biomol. Chem. 2018, 16, 717–732. [Google Scholar] [CrossRef]
- Brullo, C.; Spisani, S.; Selvatici, R.; Bruno, O. N-Aryl-2-phenyl-2,3-dihydro-imidazo[1,2-b]pyrazole-1-carboxamides 7-substituted strongly inhibiting both fMLP-OMe-and IL-8-induced human neutrophil chemotaxis. Eur. J. Med. Chem. 2012, 47, 573–579. [Google Scholar] [CrossRef]
- Seneci, P.; Nicola, M.; Inglesi, M.; Vanotti, E.; Resnati, G. Synthesis of mono-and disubstituted 1H-imidazo[1,2-b]pyrazoles. Synth. Commun. 1999, 29, 311–341. [Google Scholar] [CrossRef]
- Ohki, H.; Kawabata, K.; Inamoto, Y.; Okuda, S.; Kamimura, T.; Sakane, K. Studies on 3′-quaternary ammonium cephalosporins—III. Synthesis and antibacterial activity of 3-(3-aminopyrazolium)cephalosporins. Bioorg. Med. Chem. 1997, 5, 557–567. [Google Scholar] [CrossRef]
- Abdelhamid, A.O.; Abdelall, E.K.; Zaki, Y.H. Reactions with hydrazonoyl halides 62: Synthesis and antimicrobial evaluation of some new imidazo[1,2-a]pyrimidine, imidazo[1, 2-a]pyridine, imdazo[1, 2-b]pyrazole, and quinoxaline derivatives. J. Heterocycl. Chem. 2010, 47, 477–482. [Google Scholar] [CrossRef]
- Langer, P.; Wuckelt, J.; Döring, M.; Schreiner, P.R.; Görls, H. Regioselective Anionic [3+ 2] Cyclizations of Isoxazole, Pyrazole and 1, 2, 4-Triazole Dinucleophiles− Efficient Synthesis of 2, 4-Dihydroimidazo [4, 5-b]quinoxalines, 3H-Imidazo [1, 2-b] pyrazoles and 5H-Imidazo [2, 1-c][1,2,4] triazoles. Eur. J. Med. Chem. 2001, 2001, 2257–2263. [Google Scholar] [CrossRef]
- Elgemeie, G.E.H.; Riad, B.Y.; Nawwar, G.A.; Elgamal, S. Nitriles in heterocyclic synthesis: Synthesis of new pyrazolo [1,5a] pyrimidines, pyrano [2,3-c] pyrazoles and pyrano[3, 4-c]pyrazoles. Arch. Pharm. 1987, 320, 223–228. [Google Scholar] [CrossRef]
- Rahmati, A.; Kouzehrash, M.A. Synthesis of N-alkyl-2-aryl-5H-imidazo[1,2-b]pyrazol-3-amines by a three-component condensation reaction. Synthesis 2011, 2011, 2913–2920. [Google Scholar] [CrossRef]
- Brown, K.J.; Meth-Cohn, O. A new approach to the synthesis of 2-substituted benzothiophens and their hetero-analogues. Tetrahedron Lett. 1974, 15, 4069–4072. [Google Scholar] [CrossRef]
- Patil, S.P.; Kanawade, S.B.; Bhavsar, D.C.; Nikam, P.S.; Gangurde, S.A.; Toche, R.B. Syntheses of New Unsymmetrical 2, 5Disubstituted-1,3,4-oxadiazoles and 1,2,4-Triazolo [3, 4-b]-1,3,4-thiadiazoles Bearing Thieno[2,3-c]pyrazolo Moiety. J. Heterocycl. Chem. 2014, 51, 368–373. [Google Scholar] [CrossRef]
- Shindy, H.; El-Maghraby, M.; Eissa, F. Novel Cyanine Dyes: Synthesis, Characterization and Photosensitization-Structure Correlation. J. Chin. Chem. Soc. 2002, 49, 1061–1068. [Google Scholar] [CrossRef]
- Rizk, H. Simple and convenient procedures for the synthesis of novel heterocyclic compounds containing 1-phenyl-3-pyridylpyrazole moiety. Bulg. Chem. Commun. 2009, 41, 241–247. [Google Scholar]
- Toto, P.; Chenault, J.; El Hakmaoui, A.; Akssira, M.; Guillaumet, G. Synthesis of 3-Substituted-1-methyl-1H-thieno [2, 3-c]pyrazoles. Synth. Commun. 2008, 38, 674–683. [Google Scholar] [CrossRef]
- Eller, G.A.; Vilkauskaitė, G.; Arbačiauskienė, E.; Šačkus, A.; Holzer, W. Sonogashira Coupling Offers a New Synthetic Route to Thieno [2, 3-c] pyrazoles. Synth. Commun. 2011, 41, 541–547. [Google Scholar] [CrossRef]
- Sabaa, M.W.; Rabie, S.T.; Mohamed, R.R. Novel antimicrobial and antitumor organic thermal stabilizers for rigid Poly (vinyl chloride). J. Therm. Anal. Calorim. 2012, 109, 1503–1513. [Google Scholar] [CrossRef]
- Rabie, S.; Abdelhalim, M.; Mohamed, N. Synthesis of some novel pyrazole derivatives as potent antimicrobial agents. Org. Chem. J. 2013, 9, 414–424. [Google Scholar]
- Elgemeie, G.H.; Zaghary, W.A.; Nasr, T.M.; Amin, K.M. First synthesis of thienopyrazole thioglycosides. J. Carbohyd. Chem. 2008, 27, 345–356. [Google Scholar] [CrossRef]
- El-Saraf, G.A.; El-Sayed, A.M.; El-Saghier, A.M. One-pot PTC synthesis of polyfused pyrazoles. Heteroat. Chem. An. Int. J. Main Group Elem. 2003, 14, 211–217. [Google Scholar]
- Olyaei, A.; Sadeghpour, M. Recent developments in the synthesis and applications of furopyrazoles. New J. Chem. 2020, 44, 14791–14813. [Google Scholar] [CrossRef]
- Aziz, S.; Abd-Allah, S.; Ibrahim, N. Reactions with nitriles: A novel synthesis of furo[2,3-c]pyrazoles and pyrano[2,3-c]pyrazoles. Heterocycles 1984, 22, 2523–2527. [Google Scholar] [CrossRef]
- El-Shafei, A.; Abdel-Ghany, H.; Sultan, A.; El-Saghier, A. Synthesis of thieno(2,3-b)thiophenes and related structures. Phosph. Sulfur Silicon Relat. Elem. 1992, 73, 15–25. [Google Scholar] [CrossRef]
- Zhang, Z.; Han, J.; Zhu, S. Facile synthesis of novel CF3-substituted ring-fused furo[2,3-c]pyrazoles through Rh2(OAc)4 catalyzed [3+2]cycloaddition of 4-diazo-1-phenyl-3-(trifluoromethyl)-1H-pyrazol-5(4H)-one with aromatic alkynes. Tetrahedron 2011, 67, 8496–8501. [Google Scholar] [CrossRef]
- Milišiūnaitė, V.; Paulavičiūtė, R.; Arbačiauskienė, E.; Martynaitis, V.; Holzer, W.; Šačkus, A. Synthesis of 2H-furo[2,3-c]pyrazole ring systems through silver(I) ion-mediated ring-closure reaction. Beilst. J. Org. Chem. 2019, 15, 679–684. [Google Scholar] [CrossRef]
- Kale, A.; Medishetti, N.; Atmakur, K. Synthesis of Dihydrospiro Furo[2,3-c]pyrazoles Promoted by Hypervalent Iodine in Water. Synlett 2018, 29, 1037–1042. [Google Scholar]
- Yazdani-Elah-Abadi, A.; Morekian, R.; Simin, N.; Lashkari, M. Microwave Domino Diastereoselective Synthesis of Novel trans-4,5-Dihydro-1H-Furo[2, 3-c]Pyrazoles Using Pyridinium Salts in an Aqueous Medium. J. Chem. Res. 2018, 42, 219–223. [Google Scholar] [CrossRef]
- Shindy, H. Synthesis, absorption characteristics and solvatochromism of some novel heterocyclic cyanine dyes. Coloration Technol. 2007, 123, 298–305. [Google Scholar] [CrossRef]
- Wu, P.; Nielsen, T.E.; Clausen, M.H. Small-molecule kinase inhibitors: An analysis of FDA-approved drugs. Drug Discov. Today 2016, 21, 5–10. [Google Scholar] [CrossRef] [PubMed]
- Mundla, S.R. A Pyridin Quinolin Substituted Pyrrolo[1,2-b]Pyrazole Monohydrate as TGF-β Inhibitor. Patent WO 2007/018818 A1, 15 February 2007. [Google Scholar]
- Shaw, A.T.; Felip, E.; Bauer, T.M.; Besse, B.; Navarro, A.; Postel-Vinay, S.; Gainor, J.F.; Johnson, M.; Dietrich, J.; James, L.P.; et al. Lorlatinib in non-small-cell lung cancer with ALK or ROS1 rearrangement: An international, multicentre, open-label, single-arm first-in-man phase 1 trial. Lancet Oncol. 2017, 18, 1590–1599. [Google Scholar] [CrossRef]
- Al-Saadi, M.S. Synthesis and In Vitro antitumor activity of some fused pyrazole and pyrazoline ring systems. Saudi Pharm. J. 2008, 16, 135–145. [Google Scholar]
- Lv, P.C.; Li, H.Q.; Sun, J.; Zhou, Y.; Zhu, H.L. Synthesis and biological evaluation of pyrazole derivatives containing thiourea skeleton as anticancer agents. Bioorg. Med. Chem. 2010, 18, 4606–4614. [Google Scholar] [CrossRef] [PubMed]
- Havrylyuk, D.; Zimenkovsky, B.; Vasylenko, O.; Zaprutko, L.; Gzella, A.; Lesyk, R. Synthesis of novel thiazolone-based compounds containing pyrazoline moiety and evaluation of their anticancer activity. Eur. J. Med. Chem. 2009, 44, 1396–1404. [Google Scholar] [CrossRef]
- Zheng, L.W.; Wu, L.L.; Zhao, B.X.; Dong, W.L.; Miao, J.Y. Synthesis of novel substituted pyrazole-5-carbohydrazide hydrazone derivatives and discovery of a potent apoptosis inducer in A549 lung cancer cells. Bioorg. Med. Chem. 2009, 17, 1957–1962. [Google Scholar] [CrossRef]
- Kamal, A.; Shaik, A.B.; Jain, N.; Kishor, C.; Nagabhushana, A.; Supriya, B.; Bharath Kumar, G.; Chourasiya, S.S.; Suresh, Y.; Mishra, R.K.; et al. Design and synthesis of pyrazole-oxindole conjugates targeting tubulin polymerization as new anticancer agents. Eur. J. Med. Chem. 2015, 92, 501–513. [Google Scholar] [CrossRef] [PubMed]
- McElroy, W.T.; Tan, Z.; Ho, G.; Paliwal, S.; Li, G.; Seganish, W.M.; Tulshian, D.; Tata, J.; Fischmann, T.O.; Sondey, C.; et al. Potent and Selective Amidopyrazole Inhibitors of IRAK4 That Are Efficacious in a Rodent Model of Inflammation. ACS Med. J. Chem. Lett. 2015, 6, 677–682. [Google Scholar] [CrossRef] [Green Version]
- Lim, J.; Altman, M.D.; Baker, J.; Brubaker, J.D.; Chen, H.; Chen, Y.; Fischmann, T.; Gibeau, C.; Kleinschek, M.A.; Leccese, E. Discovery of 5-amino-N-(1H-pyrazol-4-yl) pyrazolo[1,5-a]pyrimidine-3-carboxamide inhibitors of IRAK4. ACS Med. Chem. Lett. 2015, 6, 683–688. [Google Scholar] [CrossRef] [PubMed] [Green Version]
- Palaska, E.; Aydin, F.; Ucar, G.; Erol, D. Synthesis and Monoamine Oxidase Inhibitory Activities of 1-Thiocarbamoyl-3, 5-diphenyl-4,5-dihydro-1H-pyrazole Derivatives. Arch. Pharm. Int. J. Pharm. Med. Chem. 2008, 341, 209–215. [Google Scholar] [CrossRef]
- Mamolo, M.G.; Zampieri, D.; Falagiani, V.; Luciano Vio, L.; Banfi, E. Synthesis and antimycobacterial activity of 5-aryl-1-isonicotinoyl-3-(pyridin-2-yl)-4,5-dihydro-1H-pyrazole derivatives. Farmaco 2001, 56, 593–599.166. [Google Scholar] [CrossRef]
- Özdemir, A.; Turan-Zitouni, G.; Kaplancıklı, Z.A.; Revial, G.; Güven, K. Synthesis and antimicrobial activity of 1-(4-aryl-2-thiazolyl)-3-(2-thienyl)-5-aryl-2-pyrazoline derivatives. Eur. J. Med. Chem. 2007, 42, 403–409. [Google Scholar] [CrossRef]
- Zampieri, D.; Mamolo, M.G.; Laurini, E.; Scialino, G.; Banfi, E.; Vio, L. Antifungal and antimycobacterial activity of 1-(3, 5-diaryl-4, 5-dihydro-1H-pyrazol-4-yl)-1H-imidazole derivatives. Bioorg. Med. Chem. 2008, 16, 4516–4522. [Google Scholar] [CrossRef]
- Akbas, E.; Berber, I.; Sener, A.; Hasanov, B. Synthesis and antibacterial activity of 4-benzoyl-1-methyl-5-phenyl-1H-pyrazole-3-carboxylic acid and derivatives. Farmaco 2005, 60, 23–26. [Google Scholar] [CrossRef]
- Rahimizadeh, M.; Pordel, M.; Bakavoli, M.; Rezaeian, S.; Sadeghian, A. Synthesis and antibacterial activity of some new derivatives of pyrazole. World J. Microbiol. Biotech. 2010, 26, 317–321. [Google Scholar] [CrossRef]
- Chandrakantha, B.; Isloor, A.M.; Shetty, P.; Isloor, S.; Malladi, S.; Fun, H.K. Synthesis, characterization and antimicrobial activity of novel ethyl 1-(N-substituted)-5-phenyl-1H-pyrazole-4-carboxylate derivatives. Med. Chem. Res. 2012, 21, 2702–2708. [Google Scholar] [CrossRef]
- Sharma, P.K.; Kumar, S.; Kumar, P.; Kaushik, P.; Kaushik, D.; Dhingra, Y.; Aneja, K.R. Synthesis and biological evaluation of some pyrazolylpyrazolines as anti-inflammatory–antimicrobial agents. Eur. J. Med. Chem. 2010, 45, 2650–2655. [Google Scholar] [CrossRef]
- Kendre, B.V.; Landge, M.G.; Bhusare, S.R. Synthesis and biological evaluation of some novel pyrazole, isoxazole, benzoxazepine, benzothiazepine and benzodiazepine derivatives bearing an aryl sulfonate moiety as antimicrobial and anti-inflammatory agents. Arabian J. Chem. 2019, 12, 2091–2097. [Google Scholar] [CrossRef]
- B’Bhatt, H.; Sharma, S. Synthesis and antimicrobial activity of pyrazole nucleus containing 2-thioxothiazolidin-4-one derivatives. Arabian J. Chem. 2017, 10, S1590–S1596. [Google Scholar] [CrossRef] [Green Version]
- Alnufaie, R.; Alsup, N.; KC, H.R.; Newman, M.; Whitt, J.; Chambers, S.A.; Gilmore, D.; Alam, M.A. Design and synthesis of 4-[4-formyl-3-(2-naphthyl)pyrazol-1-yl]benzoic acid derivatives as potent growth inhibitors of drug-resistant. Staphylococcus Aureus. J. Antibiot. 2020, 73, 818–827. [Google Scholar] [CrossRef]
- Alnufaie, R.; KC, H.R.; Alsup, N.; Whitt, J.; Chambers, S.A.; Gilmore, D.; Alam, M.A. Synthesis and Antimicrobial Studies of Coumarin-Substituted Pyrazole Derivatives as Potent Anti-Staphylococcus aureus Agents. Molecules 2020, 25, 2758. [Google Scholar] [CrossRef]
- Bondock, S.; Fadaly, W.; Metwally, M.A. Synthesis and antimicrobial activity of some new thiazole, thiophene and pyrazole derivatives containing benzothiazole moiety. Eur. J. Med. Chem. 2010, 45, 3692–3701. [Google Scholar] [CrossRef]
- Kendre, B.V.; Landge, M.G.; Jadhav, W.N.; Bhusare, S.R. Synthesis and bioactivities of some new 1H-pyrazole derivatives containing an aryl sulfonate moiety. Chin. Chem. Lett. 2013, 24, 325–328. [Google Scholar] [CrossRef]
- Tewari, A.K.; Singh, V.P.; Yadav, P.; Gupta, G.; Singh, A.; Goel, R.K.; Shinde, P.; Mohan, C.G. Synthesis, biological evaluation and molecular modeling study of pyrazole derivatives as selective COX-2 inhibitors and anti-inflammatory agents. Bioorg. Chem. 2014, 56, 8–15. [Google Scholar] [CrossRef]
- Malladi, S.; Isloor, A.M.; Shetty, P.; Fun, H.K.; Telkar, S.; Mahmood, R.; Isloor, N. Synthesis and anti-inflammatory evaluation of some new 3,6-disubstituted-1,2,4-triazolo-[3,4-b]-1,3,4-thiadiazoles bearing pyrazole moiety. Med. Chem. Res. 2012, 21, 3272–3280. [Google Scholar] [CrossRef]
- El-Sayed, M.A.A.; Abdel-Aziz, N.I.; Abdel-Aziz, A.A.M.; El-Azab, A.S.; Asiri, Y.A.; ElTahir, K.E.H. Design, synthesis, and biological evaluation of substituted hydrazone and pyrazole derivatives as selective COX-2 inhibitors: Molecular docking study. Bioorg. Med. Chem. 2011, 19, 3416–3424. [Google Scholar] [CrossRef]
- El-Sabbagh, O.I.; Baraka, M.M.; Ibrahim, S.M.; Pannecouque, C.; Andrei, G.; Snoeck, R.; Balzarini, J.; Rashad, A.A. Synthesis and antiviral activity of new pyrazole and thiazole derivatives. Eur. J. Med. Chem. 2009, 44, 3746–3753. [Google Scholar] [CrossRef] [PubMed]
- Rashad, A.E.; Hegab, M.I.; Abdel-Megeid, R.E.; Micky, J.A.; Abdel-Megeid, F.M. Synthesis and antiviral evaluation of some new pyrazole and fused pyrazolopyrimidine derivatives. Bioorg. Med. Chem. 2008, 16, 7102–7106. [Google Scholar] [CrossRef]
- Chimenti, F.; Fioravanti, R.; Bolasco, A.; Manna, F.; Chimenti, P.; Secci, D.; Befani, O.; Turini, P.; Ortuso, F.; Alcaro, S. Monoamine oxidase isoform-dependent tautomeric influence in the recognition of 3,5-diaryl pyrazole inhibitors. J. Med. Chem. 2007, 50, 425–428. [Google Scholar] [CrossRef]
- Kuduk, S.D.; Di Marco, C.N.; Cofre, V.; Pitts, D.R.; Ray, W.J.; Ma, L.; Wittmann, M.; Veng, L.; Seager, M.A.; Koeplinger, K. N-heterocyclic derived M1 positive allosteric modulators. Bioorg. Med. Chem. Lett. 2010, 20, 1334–1337. [Google Scholar] [CrossRef]
- Malamas, M.S.; Erdei, J.; Gunawan, I.; Barnes, K.; Hui, Y.; Johnson, M.; Robichaud, A.; Zhou, P.; Yan, Y.; Solvibile, W. New pyrazolyl and thienyl aminohydantoins as potent BACE1 inhibitors: Exploring the S2′region. Bioorg. Med. Chem. Lett. 2011, 21, 5164–5170. [Google Scholar] [CrossRef]
- Zou, Y.; Xu, L.; Chen, W.; Zhu, Y.; Chen, T.; Fu, Y.; Li, L.; Ma, L.; Xiong, B.; Wang, X. Discovery of pyrazole as C-terminus of selective BACE1 inhibitors. Eur. J. Med. Chem. 2013, 68, 270–283. [Google Scholar] [CrossRef] [PubMed]
- Han, Y.T.; Kim, K.; Choi, G.-I.; An, H.; Son, D.; Kim, H.; Ha, H.-J.; Son, J.-H.; Chung, S.-J.; Park, H.-J. Pyrazole-5-carboxamides, novel inhibitors of receptor for advanced glycation end products (RAGE). Eur. J. Med. Chem. 2014, 79, 128–142. [Google Scholar] [CrossRef] [PubMed]
- Silva, D.; Chioua, M.; Samadi, A.; Carreiras, M.C.; Jimeno, M.-L.; Mendes, E.; de Los Ríos, C.; Romero, A.; Villarroya, M.; López, M.G. Synthesis and pharmacological assessment of diversely substituted pyrazolo[3,4-b]quinoline, and benzo[b]pyrazolo [4, 3-g][1, 8]naphthyridine derivatives. Eur. J. Med. Chem. 2011, 46, 4676–4681. [Google Scholar] [CrossRef] [Green Version]
- Khoobi, M.; Ghanoni, F.; Nadri, H.; Moradi, A.; Hamedani, M.P.; Moghadam, F.H.; Emami, S.; Vosooghi, M.; Zadmard, R.; Foroumadi, A. New tetracyclic tacrine analogs containing pyrano[2,3-c]pyrazole: Efficient synthesis, biological assessment and docking simulation study. Eur. J. Med. Chem. 2015, 89, 296–303. [Google Scholar] [CrossRef]
- Zanaletti, R.; Bettinetti, L.; Castaldo, C.; Ceccarelli, I.; Cocconcelli, G.; Comery, T.A.; Dunlop, J.; Genesio, E.; Ghiron, C.; Haydar, S.N. N-[5-(5-Fluoropyridin-3-yl)-1H-pyrazol-3-yl]-4-piperidin-1-ylbutyramide (SEN78702, WYE-308775): A Medicinal Chemistry Effort toward an α-7 Nicotinic Acetylcholine Receptor Agonist Preclinical Candidate. J. Med. Chem. 2012, 55, 10277–10281. [Google Scholar] [CrossRef] [PubMed]
- Nencini, A.; Castaldo, C.; Comery, T.A.; Dunlop, J.; Genesio, E.; Ghiron, C.; Haydar, S.; Maccari, L.; Micco, I.; Turlizzi, E. Design and synthesis of a hybrid series of potent and selective agonists of α-7 nicotinic acetylcholine receptor. Eur. J. Med. Chem. 2014, 78, 401–418. [Google Scholar] [CrossRef] [PubMed]
- Ernst, G.; Frietze, W.; Simpson, T. Novel Pyrazole Derivatives and Their Use as Modulators of Nicotinic Acetylcholine Receptors. Patent WO-2006068591, 29 June 2006. [Google Scholar]
- Thuring, J.W.J.F.; Macdonald, G.J.; Zhuang, W. Trisubstituted Pyrazoles as Acetylcholine Receptor Modulators. Patent US8779158B2, 15 July 2014. [Google Scholar]
- Silver, K.S.; Soderlund, D.M. Action of pyrazoline type insecticides at neuronal target side. Pestic. Biochem. Physiol. 2005, 81, 136–143. [Google Scholar] [CrossRef]
- Kudo, N.; Furuta, S. Synthesis and herbicidal activity of 1, 5-diaryl pyrazole derivatives. Chem. Pharm. Bull. 1999, 47, 857–868. [Google Scholar] [CrossRef] [Green Version]
- Singh, A.; Rana, A.C. Synthesis and anticonvulsant activity of 1-[(4,5-dihydro-5-phenyl-3-(phenylamino)pyrazol-1-yl)]ethanone derivatives. J. Chem. Pharm. Res. 2010, 2, 505–511. [Google Scholar]
- Abdel-Aziz, M.; Abuo-Rahman, G.E.A.; Hassan, A.A. Synthesis of novel pyrazole derivatives and evaluation of their antidepressant and anticonvulsant activities. Eur. J. Med. Chem. 2009, 44, 3480. [Google Scholar] [CrossRef]
- Turan, Z.G.; Chevallet, P.; Kilic, T.S.; Erolic, K. Synthesis of some thiazolyl-pyrazoline derivatives and preliminary investigation of their hypotensive activity. Eur. J. Med. Chem. 2000, 35, 635–641. [Google Scholar] [CrossRef]
- Charles, E.M.; Catherine, B.; Romuald, C.; Simon, G.; Michael, H.; Manos, P.; Isabelle, T.; David, A.P.; Faye, J.Q.; Matthew, D.S.; et al. Pyrazole NNRTIs 4: Selection of UK-453,061 (lersivirine) as a development candidate. Bioorg. Med. Chem. Lett. 2009, 19, 5857. [Google Scholar]
- Hernández-Vázquez, E.; Aguayo-Ortiz, R.; Ramírez-Espinosa, J.J.; Estrada-Soto, S.; Hernández-Luis, F. Synthesis, hypoglycemic activity and molecular modeling studies of pyrazole-3-carbohydrazides designed by a CoMFA model. Eur. J. Med. Chem. 2013, 69, 10–21. [Google Scholar] [CrossRef]
- Vagish, C.B.; Kumar, A.D.; Kumara, K.; Vivek, H.K.; Renuka, N.; Lokanath, N.K.; Kumar, K.A. Environmentally benign synthesis of substituted pyrazoles as potent antioxidant agents, characterization and docking studies. J. Iran. Chem. Soc. 2021, 18, 479–493. [Google Scholar] [CrossRef]
- Mantzanidou, M.; Pontiki, E.; Hadjipavlou-Litina, D. Pyrazoles and Pyrazolines as Anti-Inflammatory Agents. Molecules 2021, 26, 3439. [Google Scholar] [CrossRef]
Sample Availability: Samples of the compounds are not available from the authors. |













































































































































| Entry | Catalyst | Amount (mol%) | Time (min) | Yield (%) |
|---|---|---|---|---|
| 1 | ZnO (Bulk) | 5 | 45 | 50 |
| 2 | TiO2 | 5 | 40 | 30 |
| 3 | Al2O3 | 5 | 45 | 55 |
| 4 | ZnO (nano) | 10 | 15 | 95 |
| 5 | ZnO (nano) | 10 | 25 | 85 |
| 6 | ZnO (nano) | 20 | 15 | 93 |
| Entry | Catalyst | Base | Solvent | Yield (%) a |
|---|---|---|---|---|
| 1 | CuI | NaOAc | DME | 73 |
| 2 b | CuI | NaOAc | DME | 44 |
| 3 | CuI | - | DME | trace |
| 4 c | CuI | NaOAc | DME | 75 |
| 5 d | CuI | NaOAc | DME | 75 |
| 6 | - | NaOAc | DME | 0 |
| Entry | Solvent | Amounts of Catalyst (mol%) | Time (min) | Yield (%) |
|---|---|---|---|---|
| 1 | H2O | 2.5 | 35 | 45 |
| 2 | H2O | 5 | 30 | 53 |
| 3 | H2O | 10 | 30 | 84 |
| 4 | H2O | 15 | 30 | 90 |
| 5 | H2O | 20 | 35 | 81 |
Publisher’s Note: MDPI stays neutral with regard to jurisdictional claims in published maps and institutional affiliations. |
© 2021 by the authors. Licensee MDPI, Basel, Switzerland. This article is an open access article distributed under the terms and conditions of the Creative Commons Attribution (CC BY) license (https://creativecommons.org/licenses/by/4.0/).
Share and Cite
Ramadan, M.; Aly, A.A.; El-Haleem, L.E.A.; Alshammari, M.B.; Bräse, S. Substituted Pyrazoles and Their Heteroannulated Analogs—Recent Syntheses and Biological Activities. Molecules 2021, 26, 4995. https://doi.org/10.3390/molecules26164995
Ramadan M, Aly AA, El-Haleem LEA, Alshammari MB, Bräse S. Substituted Pyrazoles and Their Heteroannulated Analogs—Recent Syntheses and Biological Activities. Molecules. 2021; 26(16):4995. https://doi.org/10.3390/molecules26164995
Chicago/Turabian StyleRamadan, Mohamed, Ashraf A. Aly, Lamiaa E. Abd El-Haleem, Mohammed B. Alshammari, and Stefan Bräse. 2021. "Substituted Pyrazoles and Their Heteroannulated Analogs—Recent Syntheses and Biological Activities" Molecules 26, no. 16: 4995. https://doi.org/10.3390/molecules26164995
APA StyleRamadan, M., Aly, A. A., El-Haleem, L. E. A., Alshammari, M. B., & Bräse, S. (2021). Substituted Pyrazoles and Their Heteroannulated Analogs—Recent Syntheses and Biological Activities. Molecules, 26(16), 4995. https://doi.org/10.3390/molecules26164995

