Curcumin–Coumarin Hybrid Analogues as Multitarget Agents in Neurodegenerative Disorders
Abstract
:1. Introduction
2. Results
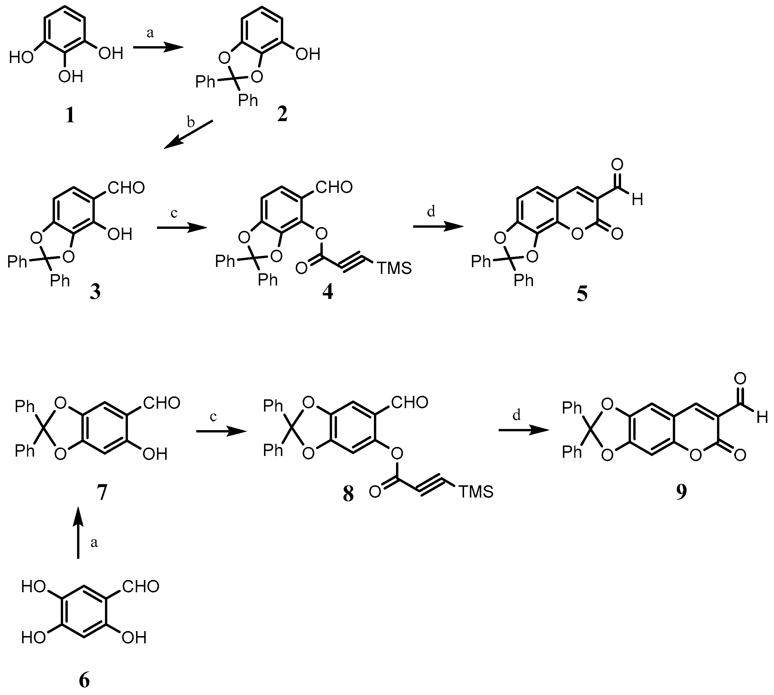
2.1. Synthesis of Coumarins 5 and 9
2.2. Synthesis of a Series of Curcumin–Coumarin Hybrid Analogues 11–18
2.3. Nanoparticles Formulations
2.4. In Vitro Activity
2.4.1. Cholinesterase Inhibition
2.4.2. Monoamine Oxidase Inhibition
2.4.3. Scavenging Activity
2.4.4. Neuroprotective Activity against H2O2
3. Discussion
4. Materials and Methods
4.1. Materials and Instrumentation
4.2. Chemical Synthesis
4.2.1. Synthesis of 2,2-Diphenylbenzo[1,3]dioxol-4-ol (2)
4.2.2. Synthesis of 4-Hydroxy-2,2-diphenylbenzo[1,3]dioxol-5-carbaldehyde (3)
4.2.3. Synthesis of 5-Formyl-2,2-diphenylbenzo[1,3]dioxol-4-yle (trimethylsilyl)propiolate (4)
4.2.4. Synthesis of 2′,2′-Diphenyl-1,3-dioxol[h]coumarin-3-carbaldehyde (5)
4.2.5. Synthesis of 6-Hydroxy-2,2-diphenylbenzo[1,3]dioxol-5-carbaldehyde (7)
4.2.6. Synthesis of 6-Formyl-2,2-diphenylbenzo[1,3]dioxol-5-yle(trimethylsilyl)propiolate (8)
4.2.7. Synthesis of 2′,2′-Diphenyl-1,3-dioxol[g]coumarin-3-carbaldehyde (9)
4.2.8. Synthesis of 7,8-Dihydroxy-3-(7-(2′,4′,6′-trihydroxyphenyl)-3,5-dioxohepta-1,6-dien-1-yl)coumarin (11)
4.2.9. Synthesis of 7,8-Dihydroxy-3-(7-(2′,4′,5′-trihydroxyphenyl)-3,5-dioxohepta-1,6-dien-1-yl)coumarin (12)
4.2.10. Synthesis of 7,8-Dihydroxy-3-(7-(2′,3′,4′-trihydroxyphenyl)-3,5-dioxohepta-1,6-dien-1-yl)coumarin (13)
4.2.11. Synthesis of 7,8-Dihydroxy-3-(7-(3′,4′,5′-trihydroxyphenyl)-3,5-dioxohepta-1,6-dien-1-yl)coumarin (14)
4.2.12. Synthesis of 6,7-Dihydroxy-3-(7-(2′,4′,6′-trihydroxyphenyl)-3,5-dioxohepta-1,6-dien-1-yl)coumarin (15)
4.2.13. Synthesis of 6,7-Dihydroxy-3-(7-(2′,4′,5′-trihydroxyphenyl)-3,5-dioxohepta-1,6-dien-1-yl)coumarin (16)
4.2.14. Synthesis of 6,7-Dihydroxy-3-(7-(2′,3′,4′-trihydroxyphenyl)-3,5-dioxohepta-1,6-dien-1-yl)coumarin (17)
4.2.15. Synthesis of 6,7-Dihydroxy-3-(7-(3′,4′,5′-trihydroxyphenyl)-3,5-dioxohepta-1,6-dien-1-yl)coumarin (18)
4.3. Formulation of Biodegradable Nanoparticles
4.4. Determination of hMAO-A and hMAO-B In Vitro Activity
4.5. Determination of AChE and BuChE In Vitro Activity
4.6. DPPH Radical Scavenging Assay
4.7. Cell Culture
4.7.1. Primary Culture of Rat Motor Cortex Neurons
4.7.2. Human Neuroblastoma SH-SY5Y Cell Culture and Maintaining
4.7.3. Cell Viability
5. Conclusions
Supplementary Materials
Author Contributions
Funding
Institutional Review Board Statement
Informed Consent Statement
Data Availability Statement
Conflicts of Interest
Sample Availability
References
- Gabr, M.T.; Yahiaoui, S. Multitarget therapeutics for neurodegenerative diseases. BioMed Res. Int. 2020, 2020, 6532827. [Google Scholar] [CrossRef]
- Ramsay, R.R.; Majekova, M.; Medina, M.; Valoti, M. Key targets for multi-target ligands designed to combat neurodegeneration. Front. Neurosci. 2016, 10, 375. [Google Scholar] [CrossRef] [PubMed] [Green Version]
- Eghbaliferiz, S.; Farhadi, F.; Barreto, G.E.; Majeed, M.; Sahebkar, A. Effects of cucrcumin on neurological diseases: Focus on astrocytes. Pharmacol. Rep. 2020, 72, 769–782. [Google Scholar] [CrossRef] [PubMed]
- Abass, S.; Latif, M.S.; Shafie, N.S.; Ghazali, M.I.; Kormin, F. Neuroprotective expression of turmeric and curcumin. Food Res. 2020, 4, 2366–2381. [Google Scholar] [CrossRef]
- Nelson, K.M.; Dahlin, J.L.; Bisson, J.; Graham, J.; Pauli, G.F.; Walters, A. The essential medicinal chemistry of curcumin. J. Med. Chem. 2017, 60, 1620–1637. [Google Scholar] [CrossRef]
- Gera, M.; Sharma, N.; Ghosh, M.; Luong, H.D.; Lee, S.L.; Min, T.; Kwon, T.; Jeong, D.K. Nanoformulations of curcumin: An emerging paradigm for improved remedial application. Oncotarget 2017, 8, 66680–66698. [Google Scholar] [CrossRef] [Green Version]
- Salehi, B.; Calina, D.; Docea, A.O.; Koirala, N.; Aryal, S.; Lombardo, D.; Pasqua, L.; Taheri, Y.; Salgado Castillo, C.M.; Martorell, M.; et al. Curcumin’s nanomedicine formulations for therapeutic application in neurological diseases. J. Clin. Med. 2020, 9, 430. [Google Scholar] [CrossRef] [PubMed] [Green Version]
- Chainoglou, E.; Hadjipavlou-Litina, D. Curcumin in health and diseases: Alzheimer’s disease and curcumin analogues, derivatives, and hybrids. Int. J. Mol. Sci. 2020, 21, 1975. [Google Scholar] [CrossRef] [Green Version]
- Lo Cascio, F.; Marzullo, P.; Kayed, R.; Palumbo Piccionello, A. Curcumin as scaffold for drug discovery against neurodegenerative diseases. Biomedicines 2021, 9, 173. [Google Scholar] [CrossRef] [PubMed]
- Jameel, E.; Umar, T.; Kumar, J.; Hoda, N. Coumarin: A privileged scaffold for the design and development of antineurodegenerative agents. Chem. Biol. Drug Des. 2016, 87, 21–38. [Google Scholar] [CrossRef]
- Matos, M.J.; Terán, C.; Pérez-Castillo, Y.; Uriarte, E.; Santana, L.; Viña, D. Synthesis and study of a series of 3-arylcoumarins as potent and selective monoamine oxidase B inhibitors. J. Med. Chem. 2011, 54, 7127–7137. [Google Scholar] [CrossRef]
- Matos, M.J.; Vilar, S.; Gonzalez-Franco, R.M.; Uriarte, E.; Santana, L.; Friedman, C.; Tatonetti, N.P.; Viña, D.; Fontenla, J.A. Novel (coumarin-3-yl)carbamates as selective MAO-B inhibitors: Synthesis, in vitro and in vivo assays, theoretical evaluation of ADME properties and docking study. Eur. J. Med. Chem. 2013, 63, 151–161. [Google Scholar] [CrossRef]
- Matos, M.J.; Rodríguez-Enríquez, F.; Borges, F.; Santana, L.; Uriarte, E.; Estrada, M.; Rodríguez-Franco, M.I.; Laguna, R.; Viña, D. 3-Amidocoumarins as potential multifunctional agents against neurodegenerative diseases. ChemMedChem 2015, 10, 2071–2079. [Google Scholar] [CrossRef] [Green Version]
- Delogu, G.; Picciau, C.; Ferino, G.; Quezada, E.; Podda, G.; Uriarte, E.; Viña, D. Synthesis, human monoamine oxidase inhibitory activity and molecular docking studies of 3-heteroarylcoumarin derivatives. Eur. J. Med. Chem. 2011, 46, 1147–1152. [Google Scholar] [CrossRef]
- Costas-Lago, M.C.; Besada, P.; Rodríguez-Enríquez, F.; Viña, D.; Vilar, S.; Uriarte, E.; Borges, F.; Terán, C. Synthesis and structure-activity relationship study of novel 3-heteroarylcoumarins based on pyridazine scaffold as selective MAO-B inhibitors. Eur. J. Med. Chem. 2017, 139, 1–11. [Google Scholar] [CrossRef]
- Matos, M.J.; Herrera Ibatá, D.M.; Uriarte, E.; Viña, D. Coumarin-rasagiline hybrids as potent and selective hMAO-B inhibitors, antioxidants, and neuroprotective agents. ChemMedChem 2020, 15, 532–538. [Google Scholar] [CrossRef]
- Rodríguez-Enríquez, F.; Costas-Lago, M.C.; Besada, P.; Alonso-Pena, M.; Torres-Terán, I.; Viña, D.; Fontenla, J.Á.; Sturlese, M.; Moro, S.; Quezada, E.; et al. Novel coumarin-pyridazine hybrids as selective MAO-B inhibitors for the Parkinson’s disease therapy. Bioorg. Chem. 2020, 104, 104203. [Google Scholar] [CrossRef]
- Finberg, J.P.M.; Rabey, J.M. Inhibitors of MAO-A and MAO-B in psychiatry and neurology. Front Pharmacol. 2016, 7, 340. [Google Scholar] [CrossRef] [Green Version]
- Zuo, Y.; Huang, J.; Zhou, B.; Wang, S.; Shao, W.; Zhu, C.; Lin, L.; Wen, G.; Wang, H.; Du, J.; et al. Synthesis, cytotoxicity of new 4-arylidene curcumin analogues and their multi-functions in inhibition of both NF-κB and Akt signalling. Eur. J. Med. Chem. 2012, 55, 346–357. [Google Scholar] [CrossRef] [PubMed]
- Lin, L.; Shi, Q.; Nyarko, A.K.; Bastow, K.F.; Wu, C.C.; Su, C.Y.; Shih, C.C.Y.; Lee, K.H. Antitumor Agents. 250. Design and synthesis of new curcumin analogues as potential anti-prostate cancer agents. J. Med. Chem. 2006, 49, 3963–3972. [Google Scholar] [CrossRef] [Green Version]
- Lee, K.H.; Lin, L.; Shih, C.C.Y.; Su, C.Y.; Ishida, J.; Ohtsu, H.; Wang, H.-K.; Itokawa, H.; Chang, C. Curcumin Analogues and uses Thereof. U.S. Patent 7355081 B2 20080408, 2008. [Google Scholar]
- Qiu, X.; Du, Y.; Lou, B.; Zuo, Y.; Shao, W.; Huo, Y.; Huang, J.; Yu, Y.; Zhou, B.; Du, J.; et al. Synthesis and identification of new 4-arylidene curcumin analogues as potential anticancer agents targeting nuclear factor-κB signaling pathway. J. Med. Chem. 2010, 53, 8260–8273. [Google Scholar] [CrossRef] [PubMed] [Green Version]
- Reinke, A.A.; Gestwicki, J.E. Structure-activity relationships of amyloid beta-aggregation inhibitors based on curcumin: Influence of linker length and flexibility. Chem. Biol. Drug Des. 2007, 70, 206–215. [Google Scholar] [CrossRef] [Green Version]
- Finberg, J.P.M. Update on the pharmacology of selective inhibitors of MAO-A and MAO-B: Focus on modulation of CNS monoamine neurotransmitter release. Pharmacol. Therapeut. 2014, 143, 133–152. [Google Scholar] [CrossRef] [PubMed]
- Cai, Z. Monoamine oxidase inhibitors: Promising therapeutic agents for Alzheimer’s disease. Mol. Med. Report. 2014, 9, 1533–1541. [Google Scholar] [CrossRef] [PubMed] [Green Version]
- Lane, R.M.; Potkin, S.G.; Enz, A. Targeting acetylcholinesterase and butyrylcholinesterase in dementia. Int. J. Neuropsychopharmacol. 2006, 9, 101–124. [Google Scholar] [CrossRef]
- Kandezi, K.; Mohammadi, M.; Ghaffari, M.; Gholami, M.; Motaghinejad, M.; Safari, S. Novel insight to neuroprotective potential of curcumin: A mechanistic review of possible involvement of mitochondrial biogenesis and PI3/Aky/GSK3 or PI3/Akt/CREB/BDNF signaling pathways. Int. J. Mol. Cell. Med. 2020, 9, 20–32. [Google Scholar] [CrossRef]
- Sandoval-Avila, S.; Diaz, N.F.; Gómez-Pinedo, U.; Canales-Aguirre, A.A.; Gutiérrez-Mercado, Y.K.; Padilla-Camberos, E.; Marquez-Aguirre, A.L.; Díaz-Martínez, N.E. Neuroprotective effects of phytochemicals on dopaminergic neuron cultures. Neurología 2019, 34, 114–124. [Google Scholar] [CrossRef]
- Mufti, S.; Bautista, A.; Pino-Figueroa, A. Evaluation of the neuroprotective effects of curcuminoids on B35 and SH-SY5Y neuroblastoma cells. Med. Aromat. Plants 2015, 4, 1000197. [Google Scholar] [CrossRef]
- Yu, X.; Chen, L.; Tang, M.; Yang, Z.; Fu, A.; Wang, Z.; Wang, H. Revealing the effects of curcumin on SH-SY5Y neuronal cells: A combined study from cellular viability, morphology, and biomechanics. J. Agric. Food Chem. 2019, 67, 4273–4279. [Google Scholar] [CrossRef]
- Zhai, K.; Brockmüller, A.; Kubatka, P.; Shakibaei, M.; Büsselberg, D. Curcumin’s beneficial effects on neuroblastoma: Mechanisms, challenges, and potential solutions. Biomolecules 2020, 10, 1469. [Google Scholar] [CrossRef]
- Moghaddam, N.S.A.; Oskouie, M.N.; Butler, A.E.; Petit, P.X.; Barreto, G.E.; Sahebkar, A. Hormetic effects of curcumin: What is the evidence? J. Cell Physiol. 2019, 234, 10060–10071. [Google Scholar] [CrossRef]
- Kim, M.K.; Choo, H.; Chong, Y. Water-soluble and cleavable quercetin–amino acid conjugates as safe modulators for P-glycoprotein-based multidrug resistance. J. Med. Chem. 2014, 57, 7216–7233. [Google Scholar] [CrossRef]
- Casagrande, C.; Ferrini, R.; Miragoli, G.; Ferrari, G. β-Adrenergic receptor inhibitors. IV. 1-(Hydroxy and dihydroxyphenoxy)-3-isopropylamine-2-propanols. Boll. Chim. Farm. 1973, 112, 445–454. [Google Scholar]
- Akselsen, O.W.; Skattebøl, L.; Hansen, T.V. ortho-Formylation of oxygenated phenols. Tetrahedron Lett. 2009, 50, 6339–6341. [Google Scholar] [CrossRef] [Green Version]
- Medvedeva, A.S.; Andreev, M.V.; Safronova, L.P.; Afonin, A.V. Synthesis of trimethylsilylpropynoyl chloride. Russ. J. Org. Chem. 2005, 41, 1463–1466. [Google Scholar] [CrossRef]
- Nakagawa-Goto, K.; Lee, K. Anti-AIDS agents 68. The first total synthesis of a unique potent anti-HIV chalcone from genus Desmos. Tetrahedron Lett. 2006, 47, 8263–8266. [Google Scholar] [CrossRef]
- Matsuya, Y.; Hayashi, K.; Nemoto, H. A new protocol for the consecutive a- and b-activation of propiolates towards electrophiles, involving conjugate addition of tertiary amines and intramolecular silyl migration. Chem. Eur. J. 2005, 11, 5408–5418. [Google Scholar] [CrossRef] [PubMed]
- Pereira, A.R. Marine Natural Products: Synthesis and Isolation of Bioactive Analogues. Ph.D. Thesis, University of British Columbia, Vancouver, BC, Canada, December 2007. Available online: http://hdl.handle.net/2429/7526 (accessed on 27 July 2021).
- Chen, D.; Chen, R.; Wang, R.; Li, J.; Xie, K.; Bian, C.; Sun, L.; Zhang, X.; Liu, J.; Yang, L.; et al. Probing the catalytic promiscuity of a regio- and stereospecific C-glycosyltransferase from Mangifera indica. Ang. Chem. Int. Ed. 2015, 54, 12678–12682. [Google Scholar] [CrossRef]
- Chao, S.W.; Su, M.Y.; Chiou, L.C.; Chen, L.C.; Chang, C.I.; Huang, W.J. Total synthesis of hispidulin and the structural basis for its inhibition of proto-oncogene kinase Pim-1. J. Nat. Prod. 2015, 78, 1969–1976. [Google Scholar] [CrossRef]
- Mazumder, A.; Neamati, N.; Sunder, S.; Schulz, J.; Pertz, H.; Eich, E.; Pommier, Y. Curcumin analogs with altered potencies against HIV-1 integrase as probes for biochemical mechanisms of drug action. J. Med. Chem. 1997, 40, 3057–3063. [Google Scholar] [CrossRef]
- Feldman, K.S.; Lawlor, M.D. Ellagitannin Chemistry. The first total synthesis of a dimeric ellagitannin, coriariin A. J. Am. Chem. Soc. 2000, 122, 7396–7397. [Google Scholar] [CrossRef]
- Xu, J.; Wang, H.; Sim, M.M. First synthesis of (±)-C-3-prenylated flavanones. Synth. Commun. 2003, 33, 2737–2750. [Google Scholar] [CrossRef]
- Teng, Y.; Li, X.; Yang, K.; Li, X.; Zhang, Z.; Wang, L.; Deng, Z.; Song, B.; Yan, Z.; Zhang, Y.; et al. Synthesis and antioxidant evaluation of desmethylxanthohumol analogs and their dimers. Eur. J. Med. Chem. 2017, 125, 335–345. [Google Scholar] [CrossRef]
- Hofmann, E.; Webster, J.; Do, T.; Kline, R.; Snider, L.; Hauser, Q.; Higginbottom, G.; Campbell, A.; Ma, L.; Paula, S. Hydroxylated chalcones with dual properties: Xanthine oxidase inhibitors and radical scavengers. Bioorg. Med. Chem. 2016, 24, 578–587. [Google Scholar] [CrossRef] [PubMed] [Green Version]
- Hirotaka, E.; Naoko, Y. Adhesive composition containing copolymer having gallol group-like side chain and method for producing the copolymer. Jpn. Kokai Tokkyo Koho 2019, JP2019147857 A 2019-09-05. [Google Scholar]
- Zhan, K.; Sung, K.; Ejima, H. Tunicate-inspired gallol polymers for underwater adhesive: A comparative study of catechol and gallol. Biomacromolecules 2017, 18, 2959–2966. [Google Scholar] [CrossRef]
- Roschek, B., Jr.; Fink, R.C.; McMichael, M.D.; Li, D.; Alberte, R.S. Elderberry flavonoids bind to and prevent H1N1 infection in vitro. Phytochemistry 2009, 70, 1255–1261. [Google Scholar] [CrossRef] [PubMed]
- Lopalco, A.; Ali, H.; Denora, N.; Rytting, E. Oxcarbazepine-loaded polymeric nanoparticles: Development and permeability studies across in vitro models of the blood-brain barrier and human placental trophoblast. Int. J. Nanomed. 2015, 10, 1985–1996. [Google Scholar] [CrossRef] [Green Version]
- Ellman, G.L.; Counrtney, K.D.; Andres, V.; Featherstone, R.M.A. A new and rapid colorimetric determination of acetylcholinesterase activity. Biochem. Pharmacol. 1961, 7, 88–90. [Google Scholar] [CrossRef]
- Mensor, L.L.; Menezes, F.S.; Leitão, G.G.; Reis, A.S.; dos Santos, T.C.; Coube, C.S.; Leitão, S.G. Screening of Brazilian plant extracts for antioxidant activity by the use of DPPH free radical method. Phytother. Res. 2001, 15, 127–130. [Google Scholar] [CrossRef]
- Yáñez, M.; Matías-Guiu, J.; Arranz-Tagarro, J.-A.; Galán, L.; Viña, D.; Gómez-Pinedo, U.; Vela, A.; Guerrero, A.; Martínez-Vila, E.; García, A.G. The neuroprotection exerted by memantine, minocycline and lithium, against neurotoxicity of CSF from patients with amyotrophic lateral sclerosis, is antagonized by riluzole. Neurodegen. Dis. 2014, 13, 171–179. [Google Scholar] [CrossRef] [PubMed]
- Xicoy, H.; Wiering, B.; Martens, G.J.M. SH-SY5Y cell line in Parkinson’s disease research: A systematic review. Mol. Neurodegener. 2017, 12, 10. [Google Scholar] [CrossRef] [PubMed] [Green Version]
- Liu, Y.; Peterson, D.A.; Kimura, H.; Schubert, D. Mechanism of cellular 3-(4,5-dimethylthiazol-2-yl)-2,5-diphenyltetrazolium bromide (MTT) reduction. J. Neurochem. 1997, 69, 581–593. [Google Scholar] [CrossRef] [PubMed]






| Compound | hAChE % Inh 100 µM | hBuChE % Inh 100 µM | hMAO-A % Inh 100 µM | hMAO-B % Inh 100 µM |
|---|---|---|---|---|
| 11 | 2.96% ± 0.10% | 2.90% ± 0.10% | nd | nd |
| 12 | 5.70% ± 0.40% | 43.26% ± 2.90% | 60.91% ± 4.09% | 45.76% ± 3.07% |
| 13 | 38.47% ± 2.58% | 36.08% ± 2.42% | nd | nd |
| 14 | 5.62% ± 0.40% | 8.69% ± 0.60% | 54.33% ± 3.64% | 45.81% ± 3.07% |
| 15 | 47.69% ± 3.20% | 50.94% ± 3.41% | nd | nd |
| 16 | 17.33% ± 1.16% | 21.37% ± 1.43% | 58.18% ± 3.90% | 78.93% ± 5.59% |
| 17 | 42.88% ± 2.87% | 46.63% ± 3.12% | nd | nd |
| 18 | 5.14% ± 0.34% | 10.38% ± 0.70% | 51.50% ± 3.45% | 55.72% ± 3.74% |
| Curcumin | 64.83% ± 4.34% | 35.46% ± 2.38% | 84.20% ± 5.61% | 92.60% ± 6.17% |
Publisher’s Note: MDPI stays neutral with regard to jurisdictional claims in published maps and institutional affiliations. |
© 2021 by the authors. Licensee MDPI, Basel, Switzerland. This article is an open access article distributed under the terms and conditions of the Creative Commons Attribution (CC BY) license (https://creativecommons.org/licenses/by/4.0/).
Share and Cite
Quezada, E.; Rodríguez-Enríquez, F.; Laguna, R.; Cutrín, E.; Otero, F.; Uriarte, E.; Viña, D. Curcumin–Coumarin Hybrid Analogues as Multitarget Agents in Neurodegenerative Disorders. Molecules 2021, 26, 4550. https://doi.org/10.3390/molecules26154550
Quezada E, Rodríguez-Enríquez F, Laguna R, Cutrín E, Otero F, Uriarte E, Viña D. Curcumin–Coumarin Hybrid Analogues as Multitarget Agents in Neurodegenerative Disorders. Molecules. 2021; 26(15):4550. https://doi.org/10.3390/molecules26154550
Chicago/Turabian StyleQuezada, Elías, Fernanda Rodríguez-Enríquez, Reyes Laguna, Elena Cutrín, Francisco Otero, Eugenio Uriarte, and Dolores Viña. 2021. "Curcumin–Coumarin Hybrid Analogues as Multitarget Agents in Neurodegenerative Disorders" Molecules 26, no. 15: 4550. https://doi.org/10.3390/molecules26154550
APA StyleQuezada, E., Rodríguez-Enríquez, F., Laguna, R., Cutrín, E., Otero, F., Uriarte, E., & Viña, D. (2021). Curcumin–Coumarin Hybrid Analogues as Multitarget Agents in Neurodegenerative Disorders. Molecules, 26(15), 4550. https://doi.org/10.3390/molecules26154550

