Nitrile Synthesis with Aldoxime Dehydratases: A Biocatalytic Platform with Applications in Asymmetric Synthesis, Bulk Chemicals, and Biorefineries
Abstract
:1. Aldoxime Dehydratases as Biocatalysts for the Cyanide-Free Synthesis of Nitriles
2. Applications of Aldoxime Dehydratases in the (Asymmetric) Synthesis of Fine Chemicals, Fragrances, and Pharmaceuticals
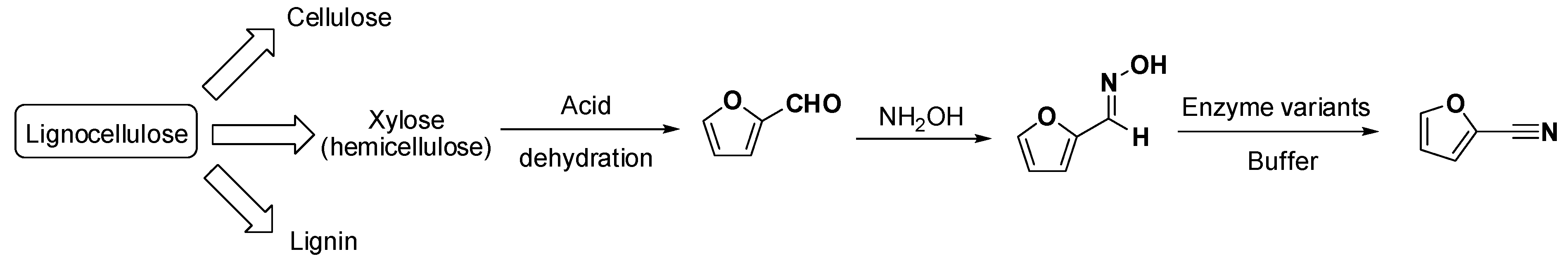
3. Toward the Production of Bulk Chemicals and Biorefinery-Like Approaches Using Aldoxime Dehydratases
4. Concluding Remarks
Funding
Institutional Review Board Statement
Informed Consent Statement
Conflicts of Interest
References
- Hauddinger, P.; Glathaar, R.; Rhode, W.; Kick, H.; Benkmann, C.; Weber, J.; Wunschel, H.-J.; Stenke, V.; Leicht, H. Ullmann’s Encyclopedia of Industrial Chemistry; Wiley: Hoboken, NJ, USA, 2012. [Google Scholar]
- Weissermel, K.; Arpe, H.-J. Industrial Organic Chemistry; John Wiley & Sons: Hoboken, NJ, USA, 2004. [Google Scholar]
- Pollak, P.; Romeder, G.; Hagedorn, F.; Gelbke, H.-P. (Eds.) Nitriles. In Ulmann’s Encyclopedia of Industrial Chemistry; Wiley: Hoboken, NJ, USA, 2000. [Google Scholar]
- Domínguez de María, P. (Ed.) Industrial Biorenewables, a Practical Viewpoint; John Wiley & Sons: Hoboken, NJ, USA, 2016. [Google Scholar]
- De Gonzalo, G.; Domínguez de María, P. (Eds.) Biocatalysis: An Industrial Perspective; RSC Publishing: Cambridge, UK, 2017. [Google Scholar]
- Sheldon, R.A. The E factor 25 years on: The rise of green chemistry and sustainability. Green Chem. 2016, 19, 18–43. [Google Scholar] [CrossRef]
- Sheldon, R.A. Metrics of Green Chemistry and Sustainability: Past, Present, and Future. ACS Sustain. Chem. Eng. 2017, 6, 32–48. [Google Scholar] [CrossRef] [Green Version]
- Van Schie, M.; Spöring, J.D.; Bocola, M.; Domínguez de María, P.; Rother, D. Applied biocatalysis beyond just buffers—From aqueous to unconventional media: Options and guidelines. Green Chem. 2021, 23, 3191–3206. [Google Scholar] [CrossRef]
- Domínguez de María, P. Biocatalysis, sustainability and industrial applications: Show me the metrics. Curr. Opin. Green Sustain. Chem. 2021, 31, 100514. [Google Scholar] [CrossRef]
- Guajardo, N.; Domínguez de María, P. Continuous Biocatalysis in environmentally-friendly media: A triple synergy for future sustainable processes. ChemCatChem 2019, 11, 3128–3137. [Google Scholar] [CrossRef]
- Xie, S.-X.; Kato, Y.; Asano, Y. High Yield Synthesis of Nitriles by a New Enzyme, Phenylacetaldoxime Dehydratase, from Bacillus sp. Strain OxB-1. Biosci. Biotechnol. Biochem. 2001, 65, 2666–2672. [Google Scholar] [CrossRef]
- Kato, Y.; Ooi, R.; Asano, Y. A new enzymatic method of nitrile synthesis by Rhodococcus sp. strain YH3-3. J. Mol. Catal. B Enzym. 1999, 6, 249–256. [Google Scholar] [CrossRef]
- Asano, Y.; Kato, Y. Z-phenylacetaldoxime degradation by a novel aldoxime dehydratase from Bacillus sp. strain OxB-1. FEMS Microbiol. Lett. 1998, 158, 185–190. [Google Scholar] [CrossRef]
- Chen, K.; Wang, Z.; Ding, K.; Chen, Y.; Asano, Y. Recent progress on discovery and research of aldoxime dehydratases. Green Synth. Catal. 2021, 2, 179–186. [Google Scholar] [CrossRef]
- Hinzmann, A.; Betke, T.; Asano, Y.; Gröger, H. Synthetic Processes toward Nitriles without the Use of Cyanide: A Biocatalytic Concept Based on Dehydration of Aldoximes in Water. Chem. Eur. J. 2021, 27, 5313–5321. [Google Scholar] [CrossRef]
- Gröger, H.; Asano, Y. Cyanide-Free Enantioselective Catalytic Strategies for the Synthesis of Chiral Nitriles. J. Org. Chem. 2020, 85, 6243–6251. [Google Scholar] [CrossRef]
- Betke, T.; Higuchi, J.; Rommelmann, P.; Oike, K.; Nomura, T.; Kato, Y.; Asano, Y.; Gröger, H. Cover Feature: Biocatalytic Synthesis of Nitriles through Dehydration of Aldoximes: The Substrate Scope of Aldoxime Dehydratases (ChemBioChem 8/2018). ChemBioChem 2018, 19, 766. [Google Scholar] [CrossRef] [Green Version]
- Müller, C.R.; Pérez-Sánchez, M.; Domínguez de María, P. Benzaldehyde lyase-catalyzed diastereoselective C-C bond formation by simultaneous carboligation and kinetic resolution. Org. Biomol. Chem. 2013, 11, 2000–2004. [Google Scholar] [CrossRef] [PubMed]
- Metzner, R.; Okazaki, S.; Asano, Y.; Gröger, H. Cyanide-free enantioselective synthesis of nitriles: Synthetic proof of a biocatalytic concept and mechanistic insights. ChemCatChem 2014, 6, 3105–3109. [Google Scholar] [CrossRef]
- Betke, T.; Rommelmann, P.; Oike, K.; Asano, Y.; Gröger, H. Cyanide-Free and Broadly Applicable Enantioselective Synthetic Platform for Chiral Nitriles through a Biocatalytic Approach. Angew. Chem. Int. Ed. 2017, 56, 12361–12366. [Google Scholar] [CrossRef] [PubMed]
- Miao, Y.; Metzner, R.; Asano, Y. Kemp Elimination Catalyzed by Naturally Occurring Aldoxime Dehydratases. ChemBioChem 2017, 18, 451–454. [Google Scholar] [CrossRef] [PubMed]
- Zheng, D.; Asano, Y. Biocatalytic asymmetric ring-opening of dihydroisoxazoles: A cyanide-free route to complementary enantiomers of β-hydroxy nitriles from olefins. Green Chem. 2020, 22, 4930–4936. [Google Scholar] [CrossRef]
- Piatesi, A.; Siegel, W.; Baldenius, K.U. Method for Biocatalytic Production of Nitriles from Oximes and Oxime Dehydratases Usable Therein. U.S. Patent 9,080,191, 14 July 2015. [Google Scholar]
- Hinzmann, A.; Glinski, S.; Worm, M.; Gröger, H. Enzymatic Synthesis of Aliphatic Nitriles at a Substrate Loading of up to 1.4 kg/L: A Biocatalytic Record Achieved with a Heme Protein. J. Org. Chem. 2019, 84, 4867–4872. [Google Scholar] [CrossRef] [PubMed]
- Hinzmann, A.; Adebar, N.; Betke, T.; Leppin, M.; Gröger, H. Biotransformations in Pure Organic Medium: Organic Solvent-Labile Enzymes in the Batch and Flow Synthesis of Nitriles. Eur. J. Org. Chem. 2019, 2019, 6911–6916. [Google Scholar] [CrossRef] [Green Version]
- Adebar, N.; Gröger, H. Heterogeneous catalysts “on the move”: Flow chemistry with fluid immobilized (bio)catalysts. Eur. J. Org. Chem. 2020, 38, 6062–6067. [Google Scholar] [CrossRef]
- Plass, C.; Hinzmann, A.; Terhorst, M.; Brauer, W.; Oike, K.; Yazuver, H.; Asano, Y.; Vorholt, A.J.; Betke, T.; Gröger, H. Approaching bulk chemical nitriles from alkenes: A hydrogen cyanide-free approach through a combination of hydroformylation and biocatalysis. ACS Catal. 2019, 9, 5198–5203. [Google Scholar] [CrossRef]
- Hinzmann, A.; Druhmann, S.S.; Gröger, H. Synthesis of bifunctional molecules for the production of polymers based on un-saturated fatty acids as bioderived raw materials. Sustain. Chem. 2020, 1, 275–289. [Google Scholar] [CrossRef]
- Choi, J.E.; Shinoda, S.; Asano, Y.; Gröger, H. Aldoxime dehydratase mutants as improved biocatalysts for a sustainable synthesis of biorenewable-based 2-furonitrile. Catalysts 2020, 10, 362. [Google Scholar] [CrossRef] [Green Version]
- Choi, J.E.; Shinoda, S.; Inoue, R.; Zheng, D.; Gröger, H.; Asano, Y. Cyanide-free synthesis of an aromatic nitrile from a biorenewable-based aldoxime: Development and application of a recombinant aldoxime dehydratase as a biocatalyst. Biocatal. Biotransform. 2019, 37, 414–420. [Google Scholar] [CrossRef]
- Stein, T.V.; Grande, P.M.; Leitner, W.; Domínguez de María, P. Iron-Catalyzed Furfural Production in Biobased Biphasic Systems: From Pure Sugars to Direct Use of Crude Xylose Effluents as Feedstock. ChemSusChem 2011, 4, 1592–1594. [Google Scholar] [CrossRef]
- Betke, T.; Maier, M.; Gruber-Wölfler, H.; Gröger, H. Biocatalytic production of adiponitrile and related aliphatic linear α,ω-dinitriles. Nat. Commun. 2018, 9, 5112. [Google Scholar] [CrossRef] [Green Version]
- Hinzmann, A.; Stricker, M.; Gröger, H. Chemoenzymatic cascades toward aliphatic nitriles starting from biorenewable feedstocks. ACS Sustain. Chem. Eng. 2020, 8, 17088–17096. [Google Scholar] [CrossRef]
- Rodríguez, A.M.B.; Schober, L.; Hinzmann, A.; Gröger, H.; Binks, B.P. Effect of particle wettability and particle concentration on the enzymatic dehydration of n-octanaloxime in Pickering emulsions. Angew. Chem. Int. Ed. 2021, 60, 1450–1457. [Google Scholar] [CrossRef] [PubMed]






Publisher’s Note: MDPI stays neutral with regard to jurisdictional claims in published maps and institutional affiliations. |
© 2021 by the author. Licensee MDPI, Basel, Switzerland. This article is an open access article distributed under the terms and conditions of the Creative Commons Attribution (CC BY) license (https://creativecommons.org/licenses/by/4.0/).
Share and Cite
Domínguez de María, P. Nitrile Synthesis with Aldoxime Dehydratases: A Biocatalytic Platform with Applications in Asymmetric Synthesis, Bulk Chemicals, and Biorefineries. Molecules 2021, 26, 4466. https://doi.org/10.3390/molecules26154466
Domínguez de María P. Nitrile Synthesis with Aldoxime Dehydratases: A Biocatalytic Platform with Applications in Asymmetric Synthesis, Bulk Chemicals, and Biorefineries. Molecules. 2021; 26(15):4466. https://doi.org/10.3390/molecules26154466
Chicago/Turabian StyleDomínguez de María, Pablo. 2021. "Nitrile Synthesis with Aldoxime Dehydratases: A Biocatalytic Platform with Applications in Asymmetric Synthesis, Bulk Chemicals, and Biorefineries" Molecules 26, no. 15: 4466. https://doi.org/10.3390/molecules26154466
APA StyleDomínguez de María, P. (2021). Nitrile Synthesis with Aldoxime Dehydratases: A Biocatalytic Platform with Applications in Asymmetric Synthesis, Bulk Chemicals, and Biorefineries. Molecules, 26(15), 4466. https://doi.org/10.3390/molecules26154466
