Development of a Water Matrix Certified Reference Material for Volatile Organic Compounds Analysis in Water
Abstract
:1. Introduction
2. Results and Discussion
2.1. Methodology Study
2.2. Purity Test
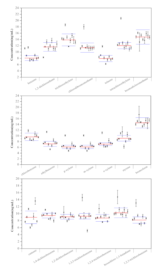
2.3. Homogeneity Assessment
2.4. Stability Assessment
2.5. Characterization and Uncertainty Study
3. Materials and Methods
3.1. Chemicals and Instruments
3.2. Purity Test
3.3. Determination of VOCs
3.3.1. Determination of VOCs in the Spiking Solution
3.3.2. Determination of VOCs in Water MCRM
3.4. Preparation of the VOCs Spiking Solution
3.5. Homogeneity Testing
3.6. Stability Testing
3.7. Characterization and Uncertainty Study
4. Conclusions
Author Contributions
Funding
Conflicts of Interest
References
- Chary, N.S.; Fernandez-Alba, A.R. Determination of volatile organic compounds in drinking and environmental waters. Trac-Trend. Anal. Chem. 2012, 32, 60–75. [Google Scholar] [CrossRef]
- Marczak, M.; Wolska, L.; Chrzanowski, W.; Namieśnik, J. Microanalysis of volatile organic compounds (VOCs) in water samples–methods and instruments. Microchimica Acta 2006, 155, 331–348. [Google Scholar] [CrossRef]
- Feron, V.J.; Til, H.P.; de Vrijer, F.; van Bladeren, P.J. Toxicology of volatile organic compounds in indoor air and strategy for further research. Indoor Environ. 1992, 1, 69–81. [Google Scholar]
- Chang, C.T.; Chen, B.Y.J. Toxicity assessment of volatile organic compounds and polycyclic aromatic hydrocarbons in motorcycle exhaust. Hazard. Mater. 2008, 153, 1262–1269. [Google Scholar] [CrossRef]
- Altalyan, H.N.; Jones, B.; Bradd, J.; Long, D.N.; Alyazichi, Y.M.J. Removal of volatile organic compounds (VOCs) from groundwater by reverse osmosis and nanofiltration. Water Process Eng. 2016, 9, 9–21. [Google Scholar] [CrossRef] [Green Version]
- Emons, H.; Linsinger, T.P.J.; Gawlik, B.M. Trac-Trend. Reference materials: Terminology and use. Can’t one see the forest for the trees? Anal. Chem. 2004, 23, 442–449. [Google Scholar]
- Quevauviller, P. Challenges for achieving traceability of environmental measurements. Trac-Trend. Anal. Chem. 2004, 23, 171–177. [Google Scholar] [CrossRef]
- Deplagne, J.; Vial, J.; Pichon, V.; Lalere, B.; Hervouet, G.; Hennion, M.C. Feasibility study of a reference material for water chemistry: Long term stability of triazine and phenylurea residues stored in vials or on polymeric sorbents. J. Chromatogr. A. 2006, 1123, 31–37. [Google Scholar] [CrossRef]
- Bercaru, O.; Manfred, G.; Awlik, B.; Ulberth, F.; Vandecasteele, C.J. Reference materials for the monitoring of the aquatic environment-a review with special emphasis on organic priority pollutants. Environ. Monitor. 2003, 5, 697–705. [Google Scholar] [CrossRef]
- Mrabet, K.E.; Poitevin, M.; Vial, J.; Pichon, V.; Amarouche, S.; Hervouet, G.; Lalere, B.J. An interlaboratory study to evaluate potential matrix reference materials for herbicides in water. Chromatogr. A. 2006, 1134, 151–161. [Google Scholar] [CrossRef]
- Kreeke, J.V.D.; Calle, B.D.L.; Held, A.; Bercaru, O.; Ricci, M.; Shegunova, P.; Taylor, P. IMEP-23: The eight EU-WFD priority PAHs in water in the presence of humic acid. Trend. Anal. Chem. 2010, 29, 928–937. [Google Scholar] [CrossRef]
- Elordui-Zapatarietxe, S.; Fettig, I.; Philipp, R.; Gantois, F.; Lalère, B.; Swart, C.; Petrov, P.; Goenaga-Infante, H.; Vanermen, G.; Boom, G.; et al. Novel concepts for preparation of reference materials as whole water samples for priority substances at nanogram-per-liter level using model suspended particulate matter and humic acids. Anal. Bioanal. Chem. 2015, 407, 3055–3067. [Google Scholar] [CrossRef] [Green Version]
- Elordui-Zapatarietxe, S.; Fettig, I.; Richter, J.; Philipp, R.; Gantois, F.; Lalère, B.; Swart, C.; Emteborg, H. Interaction of 15 priority substances for water monitoring at ng L−1 levels with glass, aluminium and fluorinated polyethylene bottles for the containment of water reference materials. Accredit. Qual. Assur. 2015, 20, 447–455. [Google Scholar] [CrossRef] [Green Version]
- Guimarães, E.D.F.; Rego, E.C.P.D.; Cunha, H.C.M.; Rodrigues, J.M.; Figueroa-Villar, J.D. Certified reference material for traceability in environmental analysis: PAHs in toluene. J. Braz. Chem. Soc. 2013, 25, 351–360. [Google Scholar] [CrossRef]
- van der Veen, A.M.H.; Linsinger, T.P. Pauwels, Uncertainty calculations in the certification of reference materials. 2. Homogeneity study. J. Accredit. Qual. Assur. 2001, 6, 26–30. [Google Scholar] [CrossRef]
- van der Veen, A.M.H.; Linsinger, T.P.; Lamberty, A. Pauwels, Uncertainty calculations in the certification of reference materials 3. Stability study. J. Accredit. Qual. Assur. 2001, 6, 257–263. [Google Scholar] [CrossRef]
- Sun, S.P.; Duan, J.P.; Zhou, X.M.; Xing, D.R. Determination of VOCs in air with capillary gas chromatography. J. Environ. Health 2007, 24, 446–448. [Google Scholar]
- van der Veen, A.M.H.; Linsinger, T.P.J.; Schimmel, H.; Lamberty, A. Pauwels, Uncertainty calculations in the certification of reference materials 4. Characterisation and certification. J. Accredit. Qual. Assur. 2001, 6, 290–294. [Google Scholar] [CrossRef]
- Neves, L.A.; Almeida, R.R.; Rego, E.P.; Rodrigues, J.M.; de Carvalho, L.J.; Goulart, A.L.D.M. Certified reference material of volatile organic compounds for environmental analysis: BTEX in methanol. Anal. Bioanal. Chem. 2015, 407, 3225–3229. [Google Scholar] [CrossRef]
- Ellison, S.L.R. Homogeneity studies and ISO Guide 35:2006. Accredit. Qual. Assur. 2015, 20, 519–528. [Google Scholar] [CrossRef]
- Fang, L.P.; Yang, G.; Jiang, Y.; Wang, W.; Liu, H.P.; Lu, B.W.; Tian, W. Development of the certified reference material of volatile organic compounds. Environ. Chem. 2016, 35, 688–696. [Google Scholar]





| No. | Composition | RSD(%) | Detection Limit/ (μg/mL) | Linear Correlation r |
|---|---|---|---|---|
| 1 | vinyl chloride | 2.55 | 0.1 | 1.000 |
| 2 | 1,1-dichloroethylene | 1.53 | 0.1 | 0.9999 |
| 3 | dichloromethane | 0.78 | 0.07 | 1.000 |
| 4 | trans-1,2-dichloroethene | 1.03 | 0.07 | 0.9999 |
| 5 | cis-1,2-dichloroethene | 0.34 | 0.03 | 1.000 |
| 6 | trichloromethane | 0.26 | 0.03 | 1.000 |
| 7 | carbon tetrachloride | 0.74 | 0.04 | 0.9998 |
| 8 | benzene | 0.44 | 0.02 | 1.000 |
| 9 | 1,2-dichloroethane | 0.50 | 0.04 | 1.000 |
| 10 | trichloroethylene | 0.72 | 0.2 | 1.000 |
| 11 | bromodicloromethane | 0.63 | 0.02 | 0.9998 |
| 12 | toluene | 0.53 | 0.03 | 0.9998 |
| 13 | tetrachloroethylene | 0.33 | 0.1 | 1.000 |
| 14 | chlorodibromomethane | 0.94 | 0.05 | 0.9997 |
| 15 | chlorobenzene | 0.45 | 0.02 | 0.9990 |
| 16 | ethylbenzene | 0.34 | 0.03 | 0.9999 |
| 17 | p-xylene | 0.43 | 0.04 | 0.9997 |
| 18 | m-xylene | 0.43 | 0.04 | 0.9997 |
| 19 | o-xylene | 0.43 | 0.03 | 0.9999 |
| 20 | styrene | 0.50 | 0.03 | 1.000 |
| 21 | bromoform | 0.39 | 0.03 | 0.9998 |
| 22 | cumene | 0.27 | 0.04 | 1.000 |
| 23 | 1,4-dichlorobenzene | 0.18 | 0.01 | 0.9991 |
| 24 | 1,2-dichlorobenzene | 0.14 | 0.02 | 0.9992 |
| 25 | 1,3,5-trichlorobenzene | 0.27 | 0.02 | 0.9992 |
| 26 | 1,2,4-trichlorobenzene | 0.28 | 0.01 | 0.9996 |
| 27 | hexachloro-1,3-butadiene | 0.50 | 0.06 | 0.9989 |
| 28 | 1,2,3-trichlorobenzene | 0.31 | 0.02 | 0.9995 |
| No. | Composition | b0 (μg/mL) | b1 (μg/mL) | s(b1) (μg/mL) | t0.95,n−2 | t0.95,n−2 × s(b1) |
|---|---|---|---|---|---|---|
| 1 | vinyl chloride | 18.04 | −0.165 | 0.220 | 2.57 | 0.565 |
| 2 | 1,1-dichloroethylene | 12.74 | −0.048 | 0.080 | 2.57 | 0.207 |
| 3 | dichloromethane | 12.56 | 0.011 | 0.056 | 2.57 | 0.145 |
| 4 | trans-1,2-dichloroethene | 10.56 | 0.021 | 0.069 | 2.57 | 0.178 |
| 5 | cis-1,2-dichloroethene | 10.27 | 0.000 | 0.041 | 2.57 | 0.106 |
| 6 | trichloromethane | 13.72 | 0.112 | 0.160 | 2.57 | 0.410 |
| 7 | carbon tetrachloride | 12.00 | 0.069 | 0.074 | 2.57 | 0.190 |
| 8 | benzene | 8.654 | −0.019 | 0.047 | 2.57 | 0.120 |
| 9 | 1,2-dichloroethane | 10.83 | 0.059 | 0.067 | 2.57 | 0.172 |
| 10 | trichloroethylene | 14.00 | 0.049 | 0.109 | 2.57 | 0.281 |
| 11 | chlorodibromomethane | 14.49 | 0.117 | 0.100 | 2.57 | 0.257 |
| 12 | toluene | 8.580 | −0.003 | 0.023 | 2.57 | 0.059 |
| 13 | tetrachloroethylene | 12.21 | 0.046 | 0.061 | 2.57 | 0.158 |
| 14 | bromodicloromethane | 12.09 | 0.051 | 0.109 | 2.57 | 0.280 |
| 15 | chlorobenzene | 9.873 | −0.041 | 0.037 | 2.57 | 0.095 |
| 16 | ethylbenzene | 7.701 | −0.028 | 0.020 | 2.57 | 0.050 |
| 17 | p-xylene | 6.092 | −0.007 | 0.009 | 2.57 | 0.023 |
| 18 | m-xylene | 6.092 | −0.007 | 0.009 | 2.57 | 0.023 |
| 19 | o-xylene | 7.191 | −0.020 | 0.013 | 2.57 | 0.034 |
| 20 | styrene | 8.533 | −0.021 | 0.017 | 2.57 | 0.043 |
| 21 | bromoform | 15.43 | 0.015 | 0.055 | 2.57 | 0.141 |
| 22 | cumene | 7.752 | −0.010 | 0.005 | 2.57 | 0.012 |
| 23 | 1,4-dichlorobenzene | 10.33 | −0.053 | 0.029 | 2.57 | 0.074 |
| 24 | 1,2-dichlorobenzene | 9.287 | −0.032 | 0.026 | 2.57 | 0.066 |
| 25 | 1,3,5-trichlorobenzene | 9.433 | −0.019 | 0.029 | 2.57 | 0.073 |
| 26 | 1,2,4-trichlorobenzene | 9.275 | −0.040 | 0.040 | 2.57 | 0.102 |
| 27 | hexachloro-1,3-butadiene | 10.80 | −0.040 | 0.057 | 2.57 | 0.147 |
| 28 | 1,2,3-trichlorobenzene | 8.463 | −0.006 | 0.025 | 2.57 | 0.063 |
| No. | Composition | b0 (μg/mL) | b1 (μg/mL) | s(b1) (μg/mL) | t0.95,n−2 | t0.95,n−2 × s(b1) |
|---|---|---|---|---|---|---|
| 1 | vinyl chloride | 17.06 | 0.108 | 0.158 | 2.57 | 0.405 |
| 2 | 1,1-dichloroethylene | 12.11 | 0.059 | 0.050 | 2.57 | 0.128 |
| 3 | dichloromethane | 12.56 | 0.041 | 0.028 | 2.57 | 0.071 |
| 4 | trans-1,2-dichloroethene | 10.83 | 0.025 | 0.037 | 2.57 | 0.095 |
| 5 | cis-1,2-dichloroethene | 10.13 | 0.000 | 0.048 | 2.57 | 0.124 |
| 6 | trichloromethane | 14.77 | 0.048 | 0.044 | 2.57 | 0.113 |
| 7 | carbon tetrachloride | 12.11 | 0.079 | 0.041 | 2.57 | 0.105 |
| 8 | benzene | 8.330 | 0.010 | 0.017 | 2.57 | 0.045 |
| 9 | 1,2-dichloroethane | 11.10 | 0.057 | 0.024 | 2.57 | 0.063 |
| 10 | trichloroethylene | 14.64 | 0.021 | 0.068 | 2.57 | 0.174 |
| 11 | chlorodibromomethane | 15.03 | 0.075 | 0.063 | 2.57 | 0.163 |
| 12 | toluene | 8.543 | 0.002 | 0.025 | 2.57 | 0.064 |
| 13 | tetrachloroethylene | 12.36 | 0.037 | 0.033 | 2.57 | 0.084 |
| 14 | bromodicloromethane | 11.83 | 0.073 | 0.092 | 2.57 | 0.238 |
| 15 | chlorobenzene | 10.03 | −0.049 | 0.035 | 2.57 | 0.090 |
| 16 | ethylbenzene | 7.805 | −0.032 | 0.020 | 2.57 | 0.050 |
| 17 | p-xylene | 6.156 | −0.007 | 0.010 | 2.57 | 0.027 |
| 18 | m-xylene | 6.156 | −0.007 | 0.010 | 2.57 | 0.027 |
| 19 | o-xylene | 7.259 | −0.023 | 0.011 | 2.57 | 0.029 |
| 20 | styrene | 8.410 | −0.009 | 0.011 | 2.57 | 0.028 |
| 21 | bromoform | 15.75 | −0.023 | 0.041 | 2.57 | 0.107 |
| 22 | cumene | 7.753 | −0.021 | 0.008 | 2.57 | 0.022 |
| 23 | 1,4-dichlorobenzene | 10.21 | −0.041 | 0.027 | 2.57 | 0.068 |
| 24 | 1,2-dichlorobenzene | 9.324 | −0.034 | 0.019 | 2.57 | 0.049 |
| 25 | 1,3,5-trichlorobenzene | 9.432 | −0.019 | 0.025 | 2.57 | 0.065 |
| 26 | 1,2,4-trichlorobenzene | 9.275 | −0.040 | 0.040 | 2.57 | 0.102 |
| 27 | hexachloro-1,3-butadiene | 10.28 | −0.008 | 0.041 | 2.57 | 0.105 |
| 28 | 1,2,3-trichlorobenzene | 8.578 | −0.016 | 0.019 | 2.57 | 0.048 |
| No. | Composition | b0 (μg/mL) | b1 (μg/mL) | s(b1) (μg/mL) | t0.95,n−2 | t0.95,n−2 × s(b1) |
|---|---|---|---|---|---|---|
| 1 | vinyl chloride | 18.50 | −0.018 | 0.139 | 2.57 | 0.358 |
| 2 | 1,1-dichloroethylene | 12.48 | 0.021 | 0.052 | 2.57 | 0.134 |
| 3 | dichloromethane | 12.79 | 0.021 | 0.035 | 2.57 | 0.090 |
| 4 | trans-1,2-dichloroethene | 10.99 | 0.022 | 0.035 | 2.57 | 0.091 |
| 5 | cis-1,2-dichloroethene | 10.18 | 0.023 | 0.031 | 2.57 | 0.079 |
| 6 | trichloromethane | 14.82 | 0.051 | 0.043 | 2.57 | 0.110 |
| 7 | carbon tetrachloride | 12.21 | 0.073 | 0.049 | 2.57 | 0.126 |
| 8 | benzene | 8.434 | 0.011 | 0.021 | 2.57 | 0.054 |
| 9 | 1,2-dichloroethane | 11.12 | 0.058 | 0.029 | 2.57 | 0.074 |
| 10 | trichloroethylene | 14.79 | 0.023 | 0.061 | 2.57 | 0.156 |
| 11 | chlorodibromomethane | 15.03 | 0.090 | 0.064 | 2.57 | 0.165 |
| 12 | toluene | 8.516 | 0.012 | 0.028 | 2.57 | 0.071 |
| 13 | tetrachloroethylene | 12.33 | 0.048 | 0.031 | 2.57 | 0.080 |
| 14 | bromodicloromethane | 11.61 | 0.091 | 0.060 | 2.57 | 0.154 |
| 15 | chlorobenzene | 10.093 | −0.059 | 0.035 | 2.57 | 0.089 |
| 16 | ethylbenzene | 7.836 | −0.034 | 0.020 | 2.57 | 0.051 |
| 17 | p-xylene | 6.168 | 0.001 | 0.011 | 2.57 | 0.028 |
| 18 | m-xylene | 6.168 | 0.001 | 0.011 | 2.57 | 0.028 |
| 19 | o-xylene | 7.243 | −0.020 | 0.008 | 2.57 | 0.020 |
| 20 | styrene | 8.378 | 0.000 | 0.009 | 2.57 | 0.022 |
| 21 | bromoform | 15.64 | −0.027 | 0.057 | 2.57 | 0.147 |
| 22 | cumene | 7.710 | −0.012 | 0.007 | 2.57 | 0.017 |
| 23 | 1,4-dichlorobenzene | 7.739 | −0.021 | 0.006 | 2.57 | 0.015 |
| 24 | 1,2-dichlorobenzene | 9.331 | −0.032 | 0.018 | 2.57 | 0.047 |
| 25 | 1,3,5-trichlorobenzene | 9.508 | −0.032 | 0.022 | 2.57 | 0.057 |
| 26 | 1,2,4-trichlorobenzene | 8.942 | −0.018 | 0.023 | 2.57 | 0.060 |
| 27 | hexachloro-1,3-butadiene | 10.25 | −0.013 | 0.042 | 2.57 | 0.107 |
| 28 | 1,2,3-trichlorobenzene | 8.628 | −0.028 | 0.016 | 2.57 | 0.042 |
| No. | Composition | uchar (%) | ubb (%) | ulst (%) | Certified Value (μg/L) | uCRM (k = 2) (μg/L) |
|---|---|---|---|---|---|---|
| 1 | vinyl chloride | 9.44 | 3.73 | 11.4 | 1.7 × 101 | 5.3 |
| 2 | 1,1-dichloroethylene | 5.75 | 1.22 | 6.20 | 1.4 × 101 | 2.5 |
| 3 | dichloromethane | 2.87 | 1.89 | 4.07 | 1.4 × 101 | 1.4 |
| 4 | trans-1,2-dichloroethene | 2.04 | 0.84 | 4.75 | 1.1 × 101 | 1.2 |
| 5 | cis-1,2-dichloroethene | 2.24 | 0.81 | 4.48 | 1.1 × 101 | 1.1 |
| 6 | trichloromethane | 2.42 | 1.52 | 4.25 | 1.6 × 101 | 1.6 |
| 7 | carbon tetrachloride | 2.61 | 1.71 | 5.80 | 1.3 × 101 | 1.7 |
| 8 | benzene | 2.99 | 0.86 | 3.67 | 8.1 × 100 | 0.8 |
| 9 | 1,2-dichloroethane | 4.49 | 1.02 | 3.77 | 1.2 × 101 | 1.4 |
| 10 | trichloroethylene | 2.68 | 1.20 | 6.09 | 1.4 × 101 | 1.9 |
| 11 | chlorodibromomethane | 0.87 | 1.40 | 6.17 | 1.1 × 101 | 1.5 |
| 12 | toluene | 3.74 | 0.46 | 4.81 | 7.9 × 100 | 1.0 |
| 13 | tetrachloroethylene | 2.18 | 0.82 | 3.69 | 1.2 × 101 | 1.0 |
| 14 | bromodicloromethane | 2.23 | 1.23 | 7.38 | 1.5 × 101 | 2.3 |
| 15 | chlorobenzene | 3.65 | 0.50 | 5.38 | 9.7 × 100 | 1.3 |
| 16 | ethylbenzene | 4.65 | 0.30 | 3.94 | 7.2 × 100 | 0.9 |
| 17 | p-xylene | 4.25 | 0.31 | 2.62 | 6.2 × 100 | 0.6 |
| 18 | m-xylene | 4.25 | 0.31 | 2.62 | 6.2 × 100 | 0.6 |
| 19 | o-xylene | 3.46 | 0.31 | 1.64 | 7.1 × 100 | 0.5 |
| 20 | styrene | 5.44 | 0.34 | 1.56 | 9.2 × 100 | 1.0 |
| 21 | bromoform | 1.87 | 1.41 | 5.54 | 1.5 × 101 | 1.8 |
| 22 | cumene | 9.87 | 0.42 | 1.32 | 9.0 × 100 | 1.8 |
| 23 | 1,4-dichlorobenzene | 3.15 | 0.18 | 0.91 | 9.5 × 100 | 0.7 |
| 24 | 1,2-dichlorobenzene | 1.74 | 0.22 | 3.00 | 9.1 × 100 | 0.7 |
| 25 | 1,3,5-trichlorobenzene | 1.56 | 0.25 | 3.60 | 9.3 × 100 | 0.8 |
| 26 | 1,2,4-trichlorobenzene | 3.76 | 0.39 | 3.98 | 8.8 × 100 | 1.0 |
| 27 | hexachloro-1,3-butadiene | 1.83 | 0.77 | 6.14 | 1.0 × 101 | 1.4 |
| 28 | 1,2,3-trichlorobenzene | 4.72 | 0.31 | 2.91 | 8.2 × 100 | 0.9 |
| No. | Composition | Manufacturer | Labeled Purity (%) | Labeled Uncertainty (%) | Measured Purity (%) |
|---|---|---|---|---|---|
| 1 | vinyl chloride | gmgas, China | 99.999 | 0.5 | 99.99 |
| 2 | 1,1-dichloroethylene | ChemService,USA | 99.5 | 0.5 | 99.83 |
| 3 | dichloromethane | ChemService,USA | 99.5 | 0.5 | 99.74 |
| 4 | trans-1,2-dichloroethene | ChemService,USA | 99.3 | 0.5 | 99.37 |
| 5 | cis-1,2-dichloroethene | ChemService,USA | 99.5 | 0.5 | 99.78 |
| 6 | trichloromethane | ChemService,USA | 99.5 | 0.5 | 99.34 |
| 7 | carbon tetrachloride | ChemService,USA | 99.5 | 0.5 | 99.85 |
| 8 | benzene | ChemService,USA | 99.5 | 0.5 | 99.95 |
| 9 | 1,2-dichloroethane | ChemService,USA | 99.5 | 0.5 | 99.93 |
| 10 | trichloroethylene | ChemService,USA | 99.5 | 0.5 | 99.83 |
| 11 | chlorodibromomethane | Fluka,USA | 98.8 | 0.5 | 98.88 |
| 12 | toluene | ChemService,USA | 99.5 | 0.5 | 99.99 |
| 13 | tetrachloroethylene | ChemService,USA | 99.5 | 0.5 | 99.94 |
| 14 | bromodicloromethane | Fluka,USA | 99.5 | 0.5 | 99.86 |
| 15 | chlorobenzene | ChemService,USA | 99.5 | 0.5 | 99.91 |
| 16 | ethylbenzene | ChemService,USA | 99.5 | 0.5 | 99.48 |
| 17 | p-xylene | ChemService,USA,USA | 99.5 | 0.5 | 99.77 |
| 18 | m-xylene | ChemService,USA | 99.4 | 0.5 | 99.83 |
| 19 | o-xylene | ChemService,USA | 99.0 | 0.5 | 99.27 |
| 20 | styrene | ChemService,USA | 99.4 | 0.5 | 99.86 |
| 21 | bromoform | ChemService,USA | 99.5 | 0.5 | 99.53 |
| 22 | cumene | ChemService,USA | 99.5 | 0.5 | 99.93 |
| 23 | hexachloro-1,3-butadiene | AccuStandard,USA | 98.3 | 1.0 | 97.82 |
| 24 | 1,4-dichlorobenzene | ChemService,USA | 99.5 | 0.5 | 99.98 |
| 25 | 1,2-dichlorobenzene | ChemService,USA | 99.5 | 0.5 | 99.73 |
| 26 | 1,2,4-trichlorobenzene | ChemService,USA | 99.5 | 0.5 | 99.58 |
| 27 | 1,2,3-trichlorobenzene | ChemService,USA | 99.5 | 0.5 | 99.93 |
| 28 | 1,3,5-trichlorobenzene | ChemService,USA | 99.5 | 0.5 | 99.11 |
| Group | Composition |
|---|---|
| 1 | vinyl chloride |
| 2 | dichloromethane, trichloroethylene, bromoform, chlorodibromomethane |
| 3 | carbon tetrachloride, bromodicloromethane, tetrachloroethylene |
| 4 | trichloromethane, 1,2-dichloroethane, 1,4-dichlorobenzene, hexachloro-1,3-butadiene |
| 5 | toluene, ethylbenzene, o-xylene, m-xylene, p-xylene, styrene, cumene |
| 6 | chlorobenzene, 1,2-dichlorobenzene, 1,2,4-trichlorobenzene, 1,2,3-trichlorobenzene, 1,3,5-trichlorobenzene |
| 7 | 1,1-dichloroethylene, benzene, trans-1,2-dichloroethene, cis-1,2-dichloroethene |
Publisher’s Note: MDPI stays neutral with regard to jurisdictional claims in published maps and institutional affiliations. |
© 2021 by the authors. Licensee MDPI, Basel, Switzerland. This article is an open access article distributed under the terms and conditions of the Creative Commons Attribution (CC BY) license (https://creativecommons.org/licenses/by/4.0/).
Share and Cite
Fang, L.; Huang, L.; Yang, G.; Jiang, Y.; Liu, H.; Lu, B.; Zhao, Y.; Tian, W. Development of a Water Matrix Certified Reference Material for Volatile Organic Compounds Analysis in Water. Molecules 2021, 26, 4370. https://doi.org/10.3390/molecules26144370
Fang L, Huang L, Yang G, Jiang Y, Liu H, Lu B, Zhao Y, Tian W. Development of a Water Matrix Certified Reference Material for Volatile Organic Compounds Analysis in Water. Molecules. 2021; 26(14):4370. https://doi.org/10.3390/molecules26144370
Chicago/Turabian StyleFang, Liping, Linyan Huang, Gang Yang, Yang Jiang, Haiping Liu, Bingwen Lu, Yaxian Zhao, and Wen Tian. 2021. "Development of a Water Matrix Certified Reference Material for Volatile Organic Compounds Analysis in Water" Molecules 26, no. 14: 4370. https://doi.org/10.3390/molecules26144370
APA StyleFang, L., Huang, L., Yang, G., Jiang, Y., Liu, H., Lu, B., Zhao, Y., & Tian, W. (2021). Development of a Water Matrix Certified Reference Material for Volatile Organic Compounds Analysis in Water. Molecules, 26(14), 4370. https://doi.org/10.3390/molecules26144370
