Design and Synthesis of New Acridone-Based Nitric Oxide Fluorescent Probe
Abstract
:1. Introduction
2. Results and Discussion
2.1. Synthesis of 1,2-Diamino-10-(carboxymethyl)-9(10H)-acridone
2.2. Synthesis of 7,8-Diamino-4-carboxy-10-methyl-9(10H)acridone
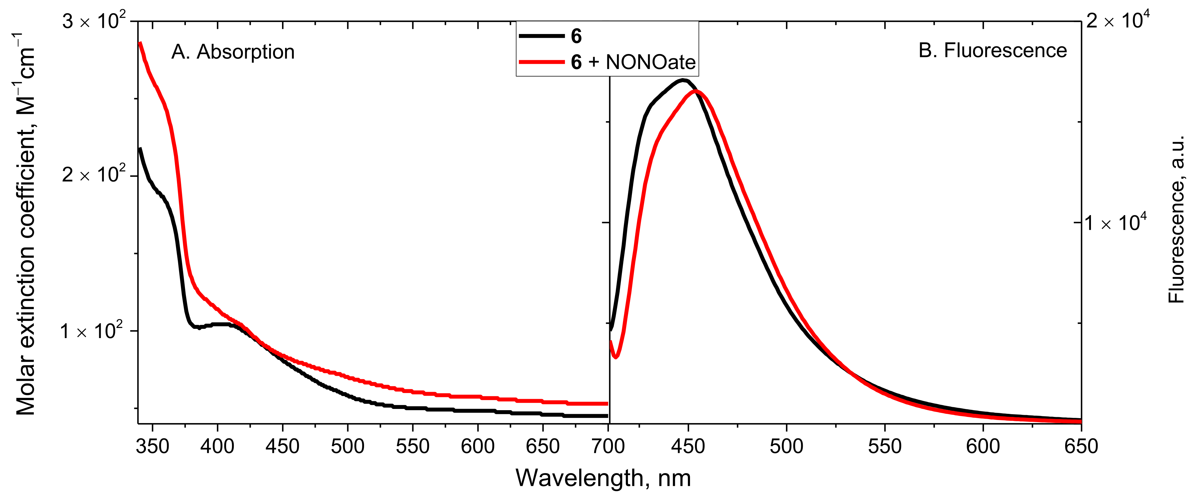
2.3. Spectral Properties and NO Trapping
2.4. NO Imaging in Jurkat Cells
3. Materials and Methods
3.1. General Remarks
3.2. Synthesis
3.2.1. Synthesis of 1,2-Diamino-10-(carboxymethyl)-9(10H)-acridone (6)
3.2.2. Synthesis 7,8-Diamino-10-methyl-9-oxo-9,10-dihydroacridine-4-carboxylic Acid (13)
3.2.3. Diazotation of Diaminoacridone 13
4. Conclusions
Supplementary Materials
Author Contributions
Funding
Institutional Review Board Statement
Informed Consent Statement
Data Availability Statement
Acknowledgments
Conflicts of Interest
References
- Mayer, B.; Andrew, P. Nitric Oxide Synthases: Catalytic Function and Progress towards Selective Inhibition. Naunyn-Schmiedeberg’s Arch Pharm. 1998, 358, 127–133. [Google Scholar] [CrossRef]
- Rand, M.J.; Li, C.G. Nitric Oxide as a Neurotransmitter in Peripheral Nerves: Nature of Transmitter and Mechanism of Transmission. Annu. Rev. Physiol. 1995, 57, 659–682. [Google Scholar] [CrossRef]
- Loscalzo, J.; Welch, G. Nitric Oxide and Its Role in the Cardiovascular System. Prog. Cardiovasc. Dis. 1995, 38, 87–104. [Google Scholar] [CrossRef]
- Lamattina, L.; García-Mata, C.; Graziano, M.; Pagnussat, G. Nitric Oxide: The Versatility of an Extensive Signal Molecule. Annu. Rev. Plant Biol. 2003, 54, 109–136. [Google Scholar] [CrossRef] [PubMed]
- Velayutham, M.; Zweier, J.L. Nitric Oxide Signaling in Biology. Messenger 2013, 2, 1–18. [Google Scholar] [CrossRef]
- Korde Choudhari, S.; Chaudhary, M.; Bagde, S.; Gadbail, A.R.; Joshi, V. Nitric Oxide and Cancer: A Review. World J. Surg. Onc. 2013, 11, 118. [Google Scholar] [CrossRef] [PubMed] [Green Version]
- Plater, M.J.; Greig, I.; Helfrich, M.H.; Ralston, S.H. The Synthesis and Evaluation of O-Phenylenediamine Derivatives as Fluorescent Probes for Nitric Oxide Detection. J. Chem. Soc. Perkin Trans. 1 2001, 2553–2559. [Google Scholar] [CrossRef]
- Hu, T.-M.; Chiu, S.-J.; Hsu, Y.-M. Nitroxidative Chemistry Interferes with Fluorescent Probe Chemistry: Implications for Nitric Oxide Detection Using 2,3-Diaminonaphthalene. Biochem. Biophys. Res. Commun. 2014, 451, 196–201. [Google Scholar] [CrossRef] [PubMed]
- Zhou, J.; Wang, C.; Zhao, Y.; Song, Q. Detection of Latent Fingerprints Based on Gas Phase Adsorption of NO and Subsequent Application of an Ultrasonically Nebulized Fluorescent Probe. Anal. Methods 2017, 9, 1611–1616. [Google Scholar] [CrossRef]
- Wang, H.-L.; Liu, F.-T.; Ding, A.-X.; Ma, S.-F.; He, L.; Lin, L.; Lu, Z.-L. Water-Soluble Hantzsch Ester as Switch-on Fluorescent Probe for Efficiently Detecting Nitric Oxide. Spectrochim. Acta Part A Mol. Biomol. Spectrosc. 2016, 169, 1–6. [Google Scholar] [CrossRef]
- Zhou, Y.; Zhang, X.; Yang, S.; Li, Y.; Qing, Z.; Zheng, J.; Li, J.; Yang, R. Ratiometric Visualization of NO/H 2S Cross-Talk in Living Cells and Tissues Using a Nitroxyl-Responsive Two-Photon Fluorescence Probe. Anal. Chem. 2017, 89, 4587–4594. [Google Scholar] [CrossRef]
- Okuno, H.; Ieda, N.; Hotta, Y.; Kawaguchi, M.; Kimura, K.; Nakagawa, H. A Yellowish-Green-Light-Controllable Nitric Oxide Donor Based on N-Nitrosoaminophenol Applicable for Photocontrolled Vasodilation. Org. Biomol. Chem. 2017, 15, 2791–2796. [Google Scholar] [CrossRef] [Green Version]
- Mioto, P.T.; Rodríguez-Ruiz, M.; Mot, A.C.; Zuccarelli, R.; Corpas, F.J.; Freschi, L.; Mercier, H. Alternative Fluorimetric-Based Method to Detect and Compare Total S-Nitrosothiols in Plants. Nitric Oxide 2017, 68, 7–13. [Google Scholar] [CrossRef]
- Li, X.; Hou, J.; Peng, C.; Chen, L.; Liu, W.; Liu, Y. A 1,8-Naphthalimide-Based Fluorescent Probe for Selective and Sensitive Detection of Peroxynitrite and Its Applications in Living Cell Imaging. RSC Adv. 2017, 7, 34287–34292. [Google Scholar] [CrossRef] [Green Version]
- Li, H.; Wan, A. Fluorescent Probes for Real-Time Measurement of Nitric Oxide in Living Cells. Analyst 2015, 140, 7129–7141. [Google Scholar] [CrossRef] [PubMed]
- Marín, M.J.; Thomas, P.; Fabregat, V.; Luis, S.V.; Russell, D.A.; Galindo, F. Fluorescence of 1,2-Diaminoanthraquinone and Its Nitric Oxide Reaction Product within Macrophage Cells. ChemBioChem 2011, 12, 2471–2477. [Google Scholar] [CrossRef]
- Galindo, F.; Kabir, N.; Gavrilovic, J.; Russell, D.A. Spectroscopic Studies of 1,2-Diaminoanthraquinone (DAQ) as a Fluorescent Probe for the Imaging of Nitric Oxide in Living Cells. Photochem. Photobiol. Sci. 2008, 7, 126–130. [Google Scholar] [CrossRef] [PubMed]
- Ding, L.; Yuan, F.; Huang, L.; Huang, J.; Liu, X.; Liang, B. A Novel Fluorescence Probe 9-(4-(1,2-Diamine)Benzene-N1-Phenyl)Acridine for Nitric Oxide Determination. J. Wuhan Univ. Technol. Mater. Sci. Ed. 2014, 29, 848–853. [Google Scholar] [CrossRef]
- Soh, N.; Katayama, Y.; Maeda, M. A Fluorescent Probe for Monitoring Nitric Oxide Production Using a Novel Detection Concept. Analyst 2001, 126, 564–566. [Google Scholar] [CrossRef] [PubMed]
- Belmont, P.; Bosson, J.; Godet, T.; Tiano, M. Acridine and Acridone Derivatives, Anticancer Properties and Synthetic Methods: Where Are We Now? ACAMC 2007, 7, 139–169. [Google Scholar] [CrossRef]
- Gao, C.; Liu, F.; Luan, X.; Tan, C.; Liu, H.; Xie, Y.; Jin, Y.; Jiang, Y. Novel Synthetic 2-Amino-10-(3,5-Dimethoxy)Benzyl-9(10H)-Acridinone Derivatives as Potent DNA-Binding Antiproliferative Agents. Bioorg. Med. Chem. 2010, 18, 7507–7514. [Google Scholar] [CrossRef]
- Singh, P.; Kaur, J.; Kaur, P.; Kaur, S. Search for MDR Modulators: Design, Syntheses and Evaluations of N-Substituted Acridones for Interactions with p-Glycoprotein and Mg2+. Bioorg. Med. Chem. 2009, 17, 2423–2427. [Google Scholar] [CrossRef]
- Parveen, M.; Aslam, A.; Nami, S.A.A.; Malla, A.M.; Alam, M.; Lee, D.-U.; Rehman, S.; Silva, P.S.P.; Silva, M.R. Potent Acetylcholinesterase Inhibitors: Synthesis, Biological Assay and Docking Study of Nitro Acridone Derivatives. J. Photochem. Photobiol. B Biol. 2016, 161, 304–311. [Google Scholar] [CrossRef] [PubMed]
- Velingkar, V.S.; Dandekar, V.D. Design, Synthesis and Evaluation of Substituted N-(3-Arylpropyl)-9,10-Dihydro-9-Oxoacridine-4-Carboxamides as Potent MDR Reversal Agents in Cancer. Chin. J. Chem. 2011, 29, 504–510. [Google Scholar] [CrossRef]
- David-Cordonnier, M.-H.; Hildebrand, M.-P.; Baldeyrou, B.; Lansiaux, A.; Keuser, C.; Benzschawel, K.; Lemster, T.; Pindur, U. Design, Synthesis and Biological Evaluation of New Oligopyrrole Carboxamides Linked with Tricyclic DNA-Intercalators as Potential DNA Ligands or Topoisomerase Inhibitors. Eur. J. Med. Chem. 2007, 42, 752–771. [Google Scholar] [CrossRef] [PubMed]







| Absorption Maximum λmax | Molar Extinction Coefficient ε(λmax) | Emission Maximum | Fluorescence Quantum Yield | |
|---|---|---|---|---|
| 13 | 447 nm | 6500 M−1cm−1 | 564 nm | 0.19% |
| 14a | 440 nm | 4100 M−1cm−1 | 494 nm | 1.45% |
Publisher’s Note: MDPI stays neutral with regard to jurisdictional claims in published maps and institutional affiliations. |
© 2021 by the authors. Licensee MDPI, Basel, Switzerland. This article is an open access article distributed under the terms and conditions of the Creative Commons Attribution (CC BY) license (https://creativecommons.org/licenses/by/4.0/).
Share and Cite
Panfilov, M.; Chernova, D.; Khalfina, I.; Moskalensky, A.; Vorob’ev, A. Design and Synthesis of New Acridone-Based Nitric Oxide Fluorescent Probe. Molecules 2021, 26, 4340. https://doi.org/10.3390/molecules26144340
Panfilov M, Chernova D, Khalfina I, Moskalensky A, Vorob’ev A. Design and Synthesis of New Acridone-Based Nitric Oxide Fluorescent Probe. Molecules. 2021; 26(14):4340. https://doi.org/10.3390/molecules26144340
Chicago/Turabian StylePanfilov, Mikhail, Darya Chernova, Irina Khalfina, Alexander Moskalensky, and Aleksey Vorob’ev. 2021. "Design and Synthesis of New Acridone-Based Nitric Oxide Fluorescent Probe" Molecules 26, no. 14: 4340. https://doi.org/10.3390/molecules26144340
APA StylePanfilov, M., Chernova, D., Khalfina, I., Moskalensky, A., & Vorob’ev, A. (2021). Design and Synthesis of New Acridone-Based Nitric Oxide Fluorescent Probe. Molecules, 26(14), 4340. https://doi.org/10.3390/molecules26144340

