Cadmium-Inspired Self-Polymerization of {LnIIICd2} Units: Structure, Magnetic and Photoluminescent Properties of Novel Trimethylacetate 1D-Polymers (Ln = Sm, Eu, Tb, Dy, Ho, Er, Yb)
Abstract
:1. Introduction
2. Results and Discussion
2.1. Synthesis and Structural Study of Complexes 1–7
2.2. Photoluminescence Properties of 2–4
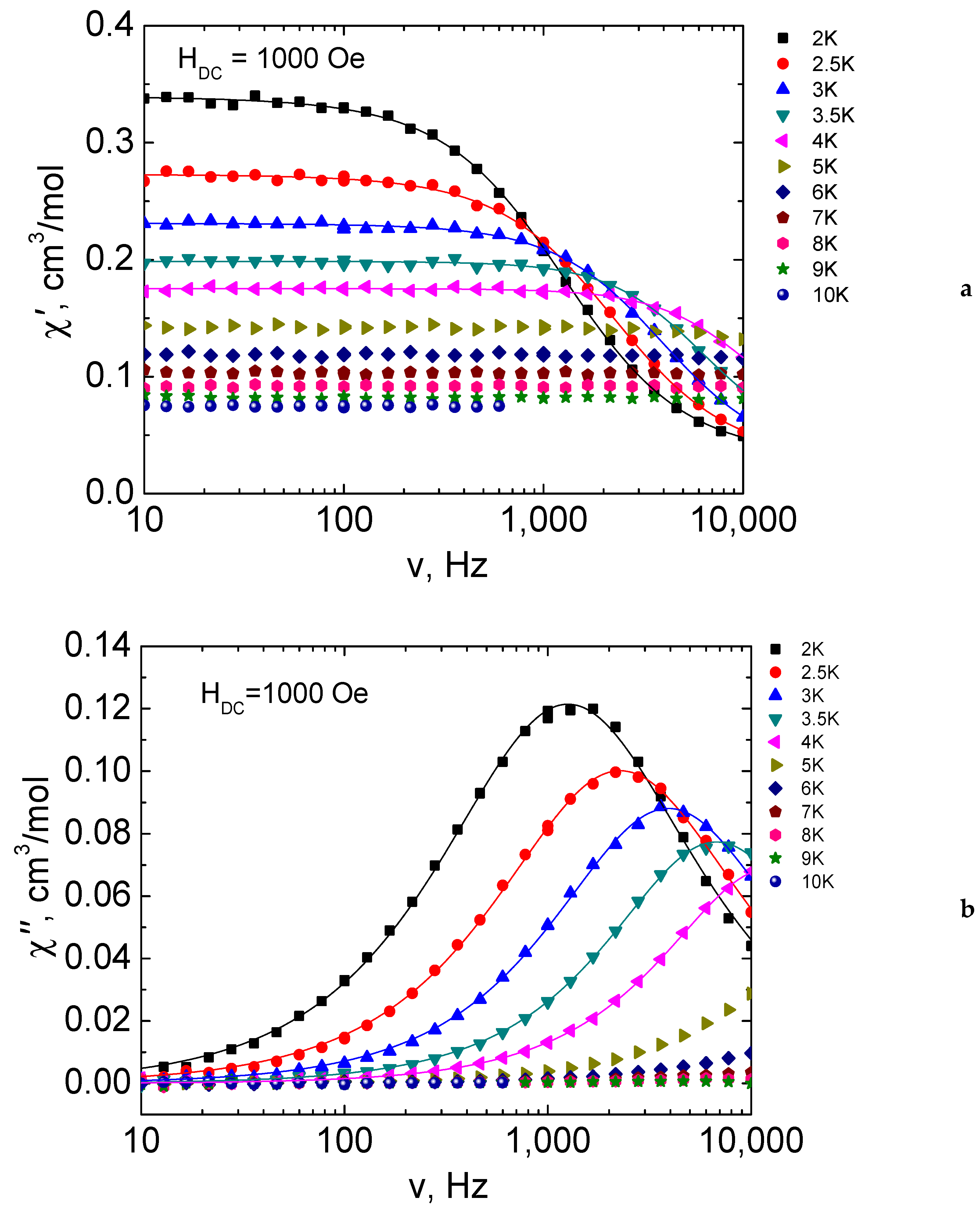
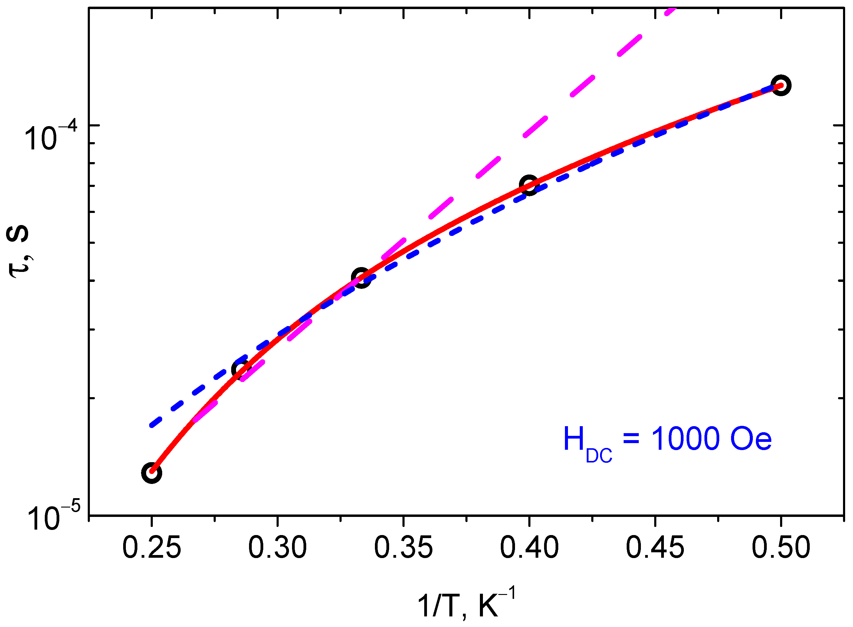
2.3. Magnetochemical Measurements and Modeling
3. Experimental and Computational Details
3.1. Materials and Methods
3.2. Synthesis of the Compounds
3.2.1. [SmCd2(piv)7(H2O)2]n·nMeCN (1)
3.2.2. [EuCd2(piv)7(H2O)2]n·nMeCN (2)
3.2.3. [TbCd2(piv)7(H2O)2]n·nMeCN (3)
3.2.4. [DyCd2(piv)7(H2O)2]n·nMeCN (4)
3.2.5. [HoCd2(piv)7(H2O)2]n·nMeCN (5)
3.2.6. [ErCd2(piv)7(H2O)2]n·nMeCN (6)
3.2.7. [YbCd2(piv)7(H2O)2]n·nMeCN (7)
3.3. X-ray Diffraction Studies
3.4. Magnetic Measurements
3.5. Photo-Physical Measurements
3.6. Details of Quantum Chemical Calculations
4. Conclusions
Supplementary Materials
Author Contributions
Funding
Institutional Review Board Statement
Informed Consent Statement
Data Availability Statement
Acknowledgments
Conflicts of Interest
Sample Availability
References
- Lendlein, A.; Trask, R.S. Multifunctional materials: Concepts, function-structure relationships, knowledge-based design, translational materials research. Multifunct. Mater. 2018, 1, 010201. [Google Scholar] [CrossRef]
- Wanderley, M.M.; Wang, C.; Wu, C.-D.; Lin, W. A chiral porous metal-organic framework for highly sensitive and enantioselective fluorescence sensing of amino alcohols. J. Am. Chem. Soc. 2016, 134, 9050–9053. [Google Scholar] [CrossRef] [PubMed]
- Shepherd, H.J.; Gural’skiy, I.A.; Quintero, C.M.; Tricard, S.; Salmon, L.; Molnár, G.; Bousseksou, A. Molecular actuators driven by cooperative spin-state switching. Nat. Commun. 2013, 4, 2607. [Google Scholar] [CrossRef] [Green Version]
- Watanabe, A.; Yamashita, A.; Nakano, M.; Yamamura, T.; Kajiwara, T. Multi-Path Magnetic Relaxation of Mono-Dysprosium(III) Single-Molecule Magnet with Extremely High Barrier. Chem. Eur. J. 2011, 17, 7428–7432. [Google Scholar] [CrossRef] [PubMed]
- Pointillart, F.; Jung, J.; Berraud-Pache, R.; Le Guennic, B.; Dorcet, V.; Golhen, S.; Cador, O.; Maury, O.; Guyot, Y.; Decurtins, S.; et al. Luminescence and Single-Molecule Magnet Behavior in Lanthanide Complexes Involving a Tetrathiafulvalene-Fused Dipyridophenazine Ligand. Inorg. Chem. 2015, 54, 5384–5397. [Google Scholar] [CrossRef]
- Coronado, E.; Galán-Mascarós, J.R.; Gómez-García, C.J.; Laukhin, V. Coexistence of ferromagnetism and metallic conductivity in a molecule-based layered compound. Nature 2000, 408, 447–449. [Google Scholar] [CrossRef]
- Uji, S.; Shinagawa, H.; Terashima, T.; Yakabe, T.; Terai, Y.; Tokumoto, M.; Kobayashi, A.; Tanaka, H.; Kobayashi, H. Magnetic-field-induced superconductivity in a two-dimensional organic conductor. Nature 2001, 410, 908–910. [Google Scholar] [CrossRef]
- Dale, S.; Bonanno, N.M.; Pelaccia, M.; Lough, A.J.; Miyawaki, A.; Takahashi, K.; Lemaire, M.T. Ligand mixed-valence and electrical conductivity in coordination complexes containing a redox-active phenalenol-substituted ligand. Dalton Trans. 2019, 48, 8053–8056. [Google Scholar] [CrossRef]
- Train, C.; Gheorghe, R.; Krstic, V.; Chamoreau, L.-M.; Ovanesyan, N.S.; Rikken, G.L.J.A.; Gruselle, M.; Verdaguer, M. Strong magneto-chiral dichroism in enantiopure chiral ferromagnets. Nat. Mater. 2008, 7, 729–734. [Google Scholar] [CrossRef]
- Wada, S.; Kitagawa, Y.; Nakanishi, T.; Fushimi, K.; Morisaki, Y.; Fujita, K.; Konishi, K.; Tanaka, K.; Chujo, Y.; Hasegawa, Y. The relationship between magneto-optical properties and molecular chirality. NPG Asia Mater. 2016, 8, e251. [Google Scholar] [CrossRef]
- Tokoro, H.; Matsuda, T.; Nuida, T.; Moritomo, Y.; Ohoyama, K.; Loutete Dangui, E.D.; Boukheddaden, K.; Ohkoshi, S.-i. Visible-Light-Induced Reversible Photomagnetism in Rubidium Manganese Hexacyanoferrate. Chem. Mater. 2008, 20, 423–428. [Google Scholar] [CrossRef]
- Ma, J.-P.; Liu, S.-C.; Zhao, C.-W.; Zhang, X.-M.; Suna, C.-Z.; Dong, Y.-B. Reversible visual thermochromic coordination polymers via single-crystal-to-single-crystal transformation. CrystEngComm 2014, 16, 304–307. [Google Scholar] [CrossRef]
- Bernhard, S.; Goldsmith, J.I.; Takada, K.; Abruña, H.D. Iron(II) and Copper(I) Coordination Polymers: Electrochromic Materials with and without Chiroptical Properties. Inorg. Chem. 2003, 42, 4389–4393. [Google Scholar] [CrossRef]
- Dey, A.; Garai, A.; Gude, V.; Biradha, K. Thermochromic, Solvatochromic, and Piezochromic Cd(II) and Zn(II) Coordination Polymers: Detection of Small Molecules by Luminescence Switching from Blue to Green. Cryst. Growth Des. 2018, 18, 6070–6077. [Google Scholar] [CrossRef]
- Liu, Z.; Liu, T.; Savory, C.N.; Jurado, J.P.; Reparaz, J.S.; Li, J.; Pan, L.; Faul, C.F.J.; Parkin, I.P.; Sankar, G.; et al. Controlling the Thermoelectric Properties of Organometallic Coordination Polymers via Ligand Design. Adv. Funct. Mater. 2020, 30, 2003106. [Google Scholar] [CrossRef]
- Pavlishchuk, A.V.; Pavlishchuk, V.V. Principles for Creating Molecular Refrigerators Derived from Gadolinium(III) Coordination Compounds: A Review. Theor. Exp. Chem. 2020, 56, 1–25. [Google Scholar] [CrossRef]
- Phukan, N.; Goswami, S.; Lipstman, S.; Goldberg, I.; Kumar Tripuramallu, B. Solvent Influence in Obtaining Diverse Coordination Symmetries of Dy(III) Metal Centers in Coordination Polymers: Synthesis, Characterization, and Luminescent Properties. Cryst.Growth Des. 2020, 20, 2973–2984. [Google Scholar] [CrossRef]
- Kalaj, M.; Cohen, S.M. Postsynthetic Modification: An Enabling Technology for the Advancement of Metal–Organic Frameworks. ACS Cent. Sci. 2020, 6, 1046–1057. [Google Scholar] [CrossRef] [PubMed]
- Mandal, S.; Natarajan, S.; Mani, P.; Pankajakshan, A. Post-Synthetic Modification of Metal–Organic Frameworks Toward Applications. Adv. Funct. Mater. 2021, 31, 2006291. [Google Scholar] [CrossRef]
- Polunin, R.A.; Burkovskaya, N.P.; Satska, J.A.; Kolotilov, S.V.; Kiskin, M.A.; Aleksandrov, G.G.; Cador, O.; Ouahab, L.; Eremenko, I.L.; Pavlishchuk, V.V. Solvent-Induced Change of Electronic Spectra and Magnetic Susceptibility of CoII Coordination Polymer with 2,4,6-Tris(4-pyridyl)-1,3,5-triazine. Inorg. Chem. 2015, 54, 5232–5238. [Google Scholar] [CrossRef] [PubMed]
- Dey, A.; Kalita, P.; Chandrasekhar, V. Lanthanide(III)-Based Single-Ion Magnets. ACS Omega 2018, 3, 9462–9475. [Google Scholar] [CrossRef]
- Hasegawa, Y.; Kitagawa, Y.; Nakanishi, T. Effective photosensitized, electrosensitized, and mechanosensitized luminescence of lanthanide complexes. NPG Asia Mater. 2018, 10, 52–70. [Google Scholar] [CrossRef] [Green Version]
- Ruiz-Muelle, A.B.; García-García, A.; García-Valdivia, A.A.; Oyarzabal, I.; Cepeda, J.; Seco, J.M.; Colacio, E.; Rodríguez-Diéguez, A.; Fernández, I. Design and synthesis of a family of 1D-lanthanide-coordination polymers showing luminescence and slow relaxation of the magnetization. Dalton Trans. 2018, 47, 12783–12794. [Google Scholar] [CrossRef] [PubMed]
- Peng, G.; Chena, Y.; Li, B. One-dimensional lanthanide coordination polymers supported by pentadentate Schiff-base and diphenyl phosphate ligands: Single molecule magnet behavior and photoluminescence. New J. Chem. 2020, 44, 7270–7276. [Google Scholar] [CrossRef]
- Fan, K.; Bao, S.S.; Huo, R.; Huang, X.D.; Liu, Y.J.; Yu, Z.W.; Kurmoo, M.; Zheng, L.M. Luminescent Ir(III)–Ln(III) coordination polymers showing slow magnetization relaxation. Inorg. Chem. Front. 2020, 7, 4580–4592. [Google Scholar] [CrossRef]
- Uekia, S.; Ishida, T.; Nogami, T.; Choi, K.Y.; Nojiri, H. Quantum tunneling of magnetization via well-defined Dy–Cu exchange coupling in a ferrimagnetic high-spin [Dy4Cu] single-molecule magnet. Chem. Phys. Lett. 2007, 440, 263–267. [Google Scholar] [CrossRef]
- Vignesh, K.R.; Langley, S.K.; Murray, K.S.; Rajaraman, G. Quenching the Quantum Tunneling of Magnetization in Heterometallic Octanuclear {TMIII4DyIII4} (TM=Co and Cr) Single-Molecule Magnets by Modification of the Bridging Ligands and Enhancing the Magnetic Exchange Coupling. Chem. Eur. J. 2017, 23, 1654–1666. [Google Scholar] [CrossRef]
- Lucaccini, E.; Briganti, M.; Perfetti, M.; Vendier, L.; Costes, J.P.; Totti, F.; Sessoli, R.; Sorace, L. Relaxation Dynamics and Magnetic Anisotropy in a Low-Symmetry DyIII Complex. Chem. Eur. J. 2016, 22, 5552–5562. [Google Scholar] [CrossRef] [Green Version]
- Bartolomé, E.; Bartolomé, J.; Melnic, S.; Prodius, D.; Shova, S.; Arauzo, A.; Luzón, J.; Badía-Romano, L.; Luisb, F.; Turta, C. Magnetic relaxation versus 3D long-range ordering in {Dy2Ba(α-fur)8}n furoate polymers. Dalton Trans. 2014, 43, 10999–11013. [Google Scholar] [CrossRef]
- Pugh, T.; Tuna, F.; Ungur, L.; Collison, D.; McInnes, E.J.L.; Chibotaru, L.F.; Layfield, R.A. Influencing the properties of dysprosium single-molecule magnets with phosphorus donor ligands. Nat. Commun. 2015, 6, 7492. [Google Scholar] [CrossRef]
- Mandal, L.; Biswas, S.; Yamashita, M. Magnetic Behavior of Luminescent Dinuclear Dysprosium and Terbium Complexes Derived from Phenoxyacetic Acid and 2,2′-Bipyridine. Magnetochemistry 2019, 5, 56. [Google Scholar] [CrossRef] [Green Version]
- Lim, K.S.; Baldoví, J.J.; Lee, W.R.; Song, J.H.; Yoon, S.W.; Suh, B.J.; Coronado, E.; Gaita-Ariño, A.; Hong, C.S. Switching of Slow Magnetic Relaxation Dynamics in Mononuclear Dysprosium(III) Compounds with Charge Density. Inorg. Chem. 2016, 55, 5398–5404. [Google Scholar] [CrossRef]
- Liu, J.-L.; Chen, Y.-C.; Zheng, Y.-Z.; Lin, W.-Q.; Ungur, L.; Wernsdorfer, W.; Chibotaru, L.F.; Tong, M.-L. Switching the anisotropy barrier of a single-ion magnet by symmetry change from quasi-D5h to quasi-Oh. Chem. Sci. 2013, 4, 3310–3316. [Google Scholar] [CrossRef]
- Blake, A.B.; Yavari, A.; Hatfield, W.E.; Sethulekshmi, C.N. Magnetic and spectroscopic properties of some heterotrinuclear basic acetates of Chromium(III), Iron(III), and divalent metal ions. J. Chem. Soc. Dalton Trans. 1985, 2509. [Google Scholar] [CrossRef]
- Duncan, J.F.; Kanekar, C.R.; Mok, K.F. Some Trinuclear Iron(III) Carboxylate Complexes. J. Chem. Soc. Inorg. Phys. Theor. 1969, 480–482. [Google Scholar] [CrossRef]
- Sudik, A.C.; Côté, A.P.; Yaghi, O.M. Metal-Organic Frameworks Based on Trigonal Prismatic Building Blocks and the New “acs” Topology. Inorg. Chem. 2005, 44, 2998–3000. [Google Scholar] [CrossRef]
- Kiskin, M.; Zorina-Tikhonova, E.; Kolotilov, S.; Goloveshkin, A.; Romanenko, G.; Efimov, N.; Eremenko, I. Synthesis, Structure, and Magnetic Properties of a Family of Complexes Containing a CoII2DyIII Pivalate Core and a Pentanuclear CoII4DyIII Derivative. Eur. J. Inorg. Chem. 2018, 2018, 1356–1366. [Google Scholar] [CrossRef]
- Lutsenko, I.A.; Kiskin, M.A.; Nikolaevskii, S.A.; Starikova, A.A.; Efimov, N.N.; Khoroshilov, A.V.; Bogomyakov, A.S.; Ananyev, I.V.; Voronina, J.K.; Goloveshkin, A.S.; et al. Ferromagnetically Coupled Molecular Complexes with a CoII2GdIII Pivalate Core: Synthesis, Structure, Magnetic Properties and Thermal Stability. ChemistrySelect 2019, 4, 14261–14270. [Google Scholar] [CrossRef]
- Shmelev, M.A.; Gogoleva, N.V.; Kuznetsova, G.N.; Kiskin, M.A.; Voronina, Y.K.; Yakushev, I.A.; Ivanova, T.M.; Nelyubina, Y.V.; Sidorov, A.A.; Eremenko, I.L. Cd(II) and Cd(II)–Eu(III) Complexes with Pentafluorobenzoic Acid Anions and N-Donor Ligands: Synthesis and Structures. Russ. J. Coord. Chem. 2020, 46, 557–572. [Google Scholar] [CrossRef]
- Shmelev, M.A.; Gogoleva, N.V.; Makarov, D.A.; Kiskin, M.A.; Yakushev, I.A.; Dolgushin, F.M.; Aleksandrov, G.G.; Varaksina, E.A.; Taidakov, I.V.; Aleksandrov, E.V.; et al. Synthesis of Coordination Polymers from the Heterometallic Carboxylate Complexes with Chelating N-Donor Ligands. Russ. J. Coord. Chem. 2020, 46, 1–14. [Google Scholar] [CrossRef]
- Chi, Y.-X.; Niu, S.-Y.; Wang, Z.-L.; Jin, J. Syntheses, Structures and Photophysical Properties of New Heterodinuclear Cd–Ln Coordination Complexes (Ln = Sm, Eu, Tb, Nd, Ho, Er). Eur. J. Inorg. Chem. 2008, 14, 2336–2343. [Google Scholar] [CrossRef]
- Chi, Y.-X.; Liu, Y.-Q.; Hu, X.-S.; Tang, X.-Y.; Liu, Y.-J.; Jin, J.; Niu, S.-Y.; Zhang, G.-N. Syntheses, Crystal Structures, and Photophysical Properties of Heteronuclear Zinc(II)/Cadmium(II)-Lanthanide(III) Coordination Complexes based on Benzoic Acid. Z. Anorg. Allg. Chem. 2016, 642, 73–80. [Google Scholar] [CrossRef]
- Chi, Y.-X.; Niu, S.-Y.; Jin, J.; Wang, R.; Li, Y. Syntheses, structures and photophysical properties of tetranuclear Cd–Ln coordination complexes. Dalton Trans. 2009, 37, 7653–7659. [Google Scholar] [CrossRef] [PubMed]
- Fomina, I.G.; Dobrokhotova, Z.V.; Kazak, V.O.; Aleksandrov, G.G.; Lysenko, K.A.; Puntus, L.N.; Gerasimova, V.I.; Bogomyakov, A.S.; Novotortsev, V.M.; Eremenko, I.L. Synthesis, Structure, Thermal Stability, and Magnetic and Luminescence Properties of Dinuclear Lanthanide(III) Pivalates with Chelating N-Donor Ligands. Eur. J. Inorg. Chem. 2012, 2012, 3595–3610. [Google Scholar] [CrossRef]
- Sapianik, A.A.; Dudko, E.R.; Samsonenko, D.G.; Lazarenko, V.A.; Dorovatovskii, P.V.; Fedin, V.P. Metal-organic frameworks from pre-synthesized heterometallic (d-f) complexes: Synthesis, structure and luminescent properties. Inorg. Chim. Acta 2021, 517, 120216. [Google Scholar] [CrossRef]
- Egorov, E.N.; Mikhalyova, E.A.; Kiskin, M.A.; Pavlishchuk, V.V.; Sidorov, A.A.; Eremenko, I.L. Synthesis, structure, and properties of trinuclear pivalate {Zn2Eu} complexes with N-donor ligands. Russ. Chem. Bull. 2013, 62, 2141–2149. [Google Scholar] [CrossRef]
- Shannon, R.D. Revised effective ionic radii and systematic studies of interatomic distances in halides and chalcogenides. Acta Crystallogr. A 1976, 32, 751–767. [Google Scholar] [CrossRef]
- Shmelev, M.A.; Kiskin, M.A.; Voronina, J.K.; Babeshkin, K.A.; Efimov, N.N.; Varaksina, E.A.; Korshunov, V.M.; Taydakov, I.V.; Gogoleva, N.V.; Sidorov, A.A.; et al. Molecular and Polymer Ln2M2 (Ln = Eu, Gd, Tb, Dy; M = Zn, Cd) Complexes with Pentafluorobenzoate Anions: The Role of Temperature and Stacking Effects in the Structure; Magnetic and Luminescent Properties. Materials 2020, 13, 5689. [Google Scholar] [CrossRef]
- Shmelev, M.A.; Gogoleva, N.V.; Dolgushin, F.M.; Lyssenko, K.A.; Kiskin, M.A.; Varaksina, E.A.; Taidakov, I.V.; Sidorov, A.A.; Eremenko, I.L. Influence of Substituents in the Aromatic Fragment of the Benzoate Anion on the Structures and Compositions of the Formed {Cd–Ln} Complexes. Russ. J. Coord. Chem. 2020, 46, 493–504. [Google Scholar] [CrossRef]
- Shmelev, M.A.; Gogoleva, N.V.; Sidorov, A.A.; Nelyubina, Y.A.; Dolgushin, F.M.; Voronina, Y.K.; Kiskin, M.A.; Aleksandrov, G.G.; Varaksina, E.A.; Taydakov, I.V.; et al. Chemical assembling of heterometallic {Cd–M} (M=Li, Mg, Eu, Tb) molecules with 3,5-Di-tert-butylbenzoate bridges and N-donor ligands. ChemistrySelect 2020, 5, 8475–8482. [Google Scholar] [CrossRef]
- Shmelev, M.A.; Gogoleva, N.V.; Sidorov, A.A.; Kiskin, M.A.; Voronina, J.K.; Nelyubina, Y.V.; Varaksina, E.A.; Korshunov, V.M.; Taydakov, I.V.; Eremenko, I.L. Coordination polymers based on 3,5-di-tert-butylbenzoate {Cd2Eu} moieties. Inorg. Chim. Acta 2021, 515, 120050. [Google Scholar] [CrossRef]
- Deacon, G.B.; Phillips, R.J. Relationships between the carbon-oxygen stretching frequencies of carboxylato complexes and the type of carboxylate coordination. Coord. Chem. Rev. 1980, 33, 227–250. [Google Scholar] [CrossRef]
- Tanner, P.A. Lanthanide Luminescence in Solids. In Lanthanide Luminescence; Springer Series on Fluorescence (Methods and Applications); Hänninen, P., Härmä, H., Eds.; Springer: Berlin, Germany, 2010. [Google Scholar]
- Blasse, G.; Dirksen, G.J.; van Vliet, J.P.M. The luminescence of europium nitrate hexahydrate, Eu(NO3)3·6H2O. Inorg. Chim. Acta 1988, 142, 165–168. [Google Scholar] [CrossRef]
- Bazhina, E.S.; Bovkunova, A.A.; Medved’ko, A.V.; Varaksina, E.A.; Taidakov, I.V.; Efimov, N.N.; Kiskin, M.A.; Eremenko, I.L. Lanthanide(III) (Eu, Gd, Tb, Dy) Complexes Derived from 4-(Pyridin-2-yl)methyleneamino-1,2,4-triazole: Crystal Structure, Magnetic Properties, and Photoluminescence. Chem. Asian J. 2018, 13, 2060–2068. [Google Scholar] [CrossRef]
- Kalyakina, A.S.; Utochnikova, V.V.; Bushmarinov, I.S.; Ananyev, I.V.; Eremenko, I.L.; Volz, D.; Rönicke, F.; Schepers, U.; Van Deun, R.; Trigub, A.L.; et al. Highly Luminescent, Water-Soluble Lanthanide Fluorobenzoates: Syntheses, Structures and Photophysics, Part I: Lanthanide Pentafluorobenzoates. Chem. Eur. J. 2015, 21, 17921–17932. [Google Scholar] [CrossRef]
- Cagnin, F.; Davolos, M.R.; Castellano, E.E. A polymeric europium complex with the ligand thiophene-2-carboxylic acid: Synthesis, structural and spectroscopic characterization. Polyhedron 2014, 67, 65–72. [Google Scholar] [CrossRef]
- Barja, B.; Baggio, R.; Garland, M.T.; Aramendia, P.F.; Peña, O.; Perec, M. Crystal structures and luminescent properties of terbium(III) carboxylates. Inorg. Chim. Acta 2003, 346, 187–196. [Google Scholar] [CrossRef]
- Zhuravlev, K.P.; Michnik, Ł.; Gawryszewska, P.; Tsaryuk, V.I.; Kudryashova, V.A. Europium and terbium pyrrole-2-carboxylates: Structures, luminescence, and energy transfer. Inorg. Chim. Acta 2019, 492, 1–7. [Google Scholar] [CrossRef]
- Kalyakina, A.S.; Utochnikova, V.V.; Bushmarinov, I.S.; Le-Deygen, I.M.; Volz, D.; Weis, P.; Schepers, U.; Kuzmina, N.P.; Bräse, S. Lanthanide Fluorobenzoates as Bio-Probes: A Quest for the Optimal Ligand Fluorination Degree. Chem. Eur. J. 2017, 23, 14944–14953. [Google Scholar] [CrossRef] [PubMed]
- Bartolomé, E.; Bartolomé, J.; Arauzo, A.; Luzón, J.; Cases, R.; Fuertes, S.; Sicilia, V.; Sánchez-Cano, A.I.; Aporta, J.; Melnic, S.; et al. Heteronuclear {TbxEu1−x} furoate 1D polymers presenting luminescent properties and SMM behavior. J. Mater. Chem. C 2018, 6, 5286–5299. [Google Scholar] [CrossRef] [Green Version]
- Li, L.; Zhao, X.; Xiao, N.; Wang, Y.; Wang, Z.; Yang, S.; Zhou, X. Synthesis, structure and fluorescence studies of the lanthanide complexes with 4-fluorobenzoic acid. Inorg. Chim. Acta 2015, 426, 107–112. [Google Scholar] [CrossRef]
- Evstifeev, I.S.; Efimov, N.N.; Varaksina, E.A.; Taydakov, I.V.; Mironov, V.S.; Dobrokhotova, Z.V.; Aleksandrov, G.G.; Kiskin, M.A.; Eremenko, I.L. Thermostable 1D Lanthanide 4-Phenylbenzoate Polymers [Ln(4-phbz)3]n (Ln = Sm, Eu, Gd, Tb, Dy, Ho) with Isolated Metal Chains: Synthesis, Structure, Luminescence, and Magnetic Properties. Chem. Eur. J. 2017, 22, 2892–2904. [Google Scholar] [CrossRef]
- Ungur, L.; Chibotaru, L.F. Strategies toward High-Temperature Lanthanide-Based Single-Molecule Magnets. Inorg. Chem. 2016, 55, 10043–10056. [Google Scholar] [CrossRef]
- Ostrovsky, S.M.; Werner, R.; Brown, D.A.; Haase, W. Magnetic properties of dinuclear cobalt complexes. Chem. Phys. Lett. 2002, 353, 290–294. [Google Scholar] [CrossRef]
- Wang, Y.-L.; Zhou, N.; Ma, Y.; Qin, Z.-X.; Wang, Q.-L.; Li, L.-C.; Cheng, P.; Liao, D.-Z. Linear chain and mononuclear tri-spin compounds based on the lanthanide-nitronyl nitroxide radicals: Structural design and magnetic properties. CrystEngComm 2012, 14, 235–239. [Google Scholar] [CrossRef]
- Mikhalyova, E.A.; Kolotilov, S.V.; Zeller, M.; Thompson, L.K.; Addison, A.W.; Pavlishchuk, V.V.; Hunter, A.D. Synthesis, structure and magnetic properties of Nd3+ and Pr3+ 2D polymers with tetrafluoro-p-phthalate. Dalton Trans. 2011, 40, 10989–10996. [Google Scholar] [CrossRef] [PubMed]
- Wang, Y.-L.; Gao, Y.-Y.; Ma, Y.; Wang, Q.-L.; Li, L.-C.; Liao, D.-Z. Syntheses, crystal structures, magnetic and luminescence properties of five novel lanthanide complexes of nitronyl nitroxide radical. J. Solid State Chem. 2013, 202, 276–281. [Google Scholar] [CrossRef]
- Kariaka, N.S.; Kolotilov, S.V.; Gawryszewska, P.; Kasprzycka, E.; Weselski, M.; Dyakonenko, V.V.; Shishkina, S.V.; Trush, V.A.; Amirkhanov, V.M. Structures and Spectral and Magnetic Properties of a Series of Carbacylamidophosphate Pentanuclear Lanthanide(III) Hydroxo Complexes. Inorg. Chem. 2019, 58, 14682–14692. [Google Scholar] [CrossRef]
- Polunin, R.A.; Kolotilov, S.V.; Kiskin, M.A.; Cador, O.; Mikhalyova, E.A.; Lytvynenko, A.S.; Golhen, S.; Ouahab, L.; Ovcharenko, V.I.; Eremenko, I.L.; et al. Topology Control of Porous Coordination Polymers by Building Block Symmetry. Eur. J. Inorg. Chem. 2010, 2010, 5055–5057. [Google Scholar] [CrossRef]
- Litvinenko, A.S.; Mikhaleva, E.A.; Kolotilov, S.V.; Pavlishchuk, V.V. Effect of spin–orbit coupling on the magnetic susceptibility of polynuclear complexes of 3d metals containing a Co2+ ion. Theor. Exp. Chem. 2011, 46, 422–428. [Google Scholar] [CrossRef]
- Mjöllnir Software for Magnetic Data Simulation Can Be Downloaded Free of Charge for Academic Use. Available online: https://sites.google.com/site/mjollnirmagn/asdescribedpreviously (accessed on 31 January 2013).
- Petrosyants, S.P.; Babeshkin, K.A.; Gavrikov, A.V.; Ilyukhin, A.B.; Belova, E.V.; Efimov, N.N. Towards comparative investigation of Er- and Yb-based SMMs: The effect of the coordination environment configuration on the magnetic relaxation in the series of heteroleptic thiocyanate complexes. Dalton Trans. 2019, 48, 12644–12655. [Google Scholar] [CrossRef] [PubMed]
- Polyzou, C.D.; Koumousi, E.S.; Lada, Z.G.; Raptopoulou, C.P.; Psycharis, V.; Rouzières, M.; Tsipis, A.C.; Mathonière, C.; Clérac, R.; Perlepes, S.P. “Switching on” the single-molecule magnet properties within a series of dinuclear cobalt(III)–dysprosium(III) 2-pyridyloximate complexes. Dalton Trans. 2017, 46, 14812–14825. [Google Scholar] [CrossRef]
- Li, M.; Wu, H.; Wei, Q.; Ke, H.; Yin, B.; Zhang, S.; Lv, X.; Xiea, G.; Chen, S. Two {ZnII2DyIII} complexes supported by monophenoxido/dicarboxylate bridges with multiple relaxation processes: Carboxylato ancillary ligand-controlled magnetic anisotropy in square antiprismatic DyIII species. Dalton Trans. 2018, 47, 9482–9491. [Google Scholar] [CrossRef]
- Liu, S.-J.; Zhao, J.-P.; Song, W.-C.; Han, S.-D.; Liu, Z.-Y.; Bu, X.-H. Slow Magnetic Relaxation in Two New 1D/0D DyIII Complexes with a Sterically Hindered Carboxylate Ligand. Inorg. Chem. 2013, 52, 2103–2109. [Google Scholar] [CrossRef] [PubMed]
- Gogoleva, N.V.; Sidorov, A.A.; Nelyubina, Y.V.; Shmelev, M.A.; Aleksandrov, G.G.; Kuznetsova, G.N.; Kiskin, M.A.; Eremenko, I.L. Formation of Polynuclear Cadmium Pivalates in Exchange Reactions. Russ. J. Coord. Chem. 2018, 44, 473–482. [Google Scholar] [CrossRef]
- SMART (Control) and SAINT (Integration) Software, Version 5.0; Bruker AXS Inc.: Madison, WI, USA, 1997.
- Sheldrick, G.M. SADABS-2004/1; Program for Scaling and Correction of Area Detector Data; Göttingen University: Göttinngen, Germany, 2004. [Google Scholar]
- Dolomanov, O.V.; Bourhis, L.J.; Gildea, R.J.; Howard, J.A.K.; Puschmann, H. OLEX2: A complete structure solution, refinement and analysis program. J. Appl. Crystallogr. 2009, 42, 339–341. [Google Scholar] [CrossRef]
- Sheldrick, G.M. Crystal structure refinement with SHELXL. Acta Cryst. C 2015, 71, 3–8. [Google Scholar] [CrossRef] [PubMed]
- Llunell, M.; Casanova, D.; Cirera, J.; Alemany, P.; Alvarez, S. SHAPE, Version 2.1; Program for the Stereochemical Analysis of Molecular Fragments by Means of Continuous Shape Measures and Associated Tools; Universitat de Barcelona: Barcelona, Spain, 2013. [Google Scholar]
- Roos, B.O.; Malmqvist, P.-O. Relativistic quantum chemistry: The multiconfigurational approach. Phys. Chem. Chem. Phys. 2004, 6, 2919–2926. [Google Scholar] [CrossRef]
- Malmqvist, P.-A.; Roos, B.O.; Schimmelpfennig, B. The restricted active space (RAS) state interaction approach with spin–orbit coupling. Chem. Phys. Lett. 2002, 357, 230–240. [Google Scholar] [CrossRef]
- Malmqvist, P.-A.; Roos, B.O. The CASSCF state interaction method. Chem. Phys. Lett. 1989, 155, 189–194. [Google Scholar] [CrossRef]
- Aquilante, F.; Autschbach, J.; Carlson, R.K.; Chibotaru, L.F.; Delcey, M.G.; De Vico, L.; Galván, I.F.; Ferré, N.; Frutos, L.M.; Gagliardi, L.; et al. Molcas 8. New capabilities for multiconfigurational quantum chemical calculations across the periodic table. J. Comput. Chem. 2016, 37, 506–541. [Google Scholar] [CrossRef] [Green Version]
- Roos, B.O.; Lindh, R.; Malmqvist, P.-A.; Veryazov, V.; Widmark, P.O. Main Group Atoms and Dimers Studied with a New Relativistic ANO Basis Set. J. Phys. Chem. A 2004, 108, 2851–2858. [Google Scholar] [CrossRef]
- Hess, B.A. Relativistic electronic-structure calculations employing a two-component no-pair formalism with external-field projection operators. Phys. Rev. A 1986, 33, 3742–3748. [Google Scholar] [CrossRef] [PubMed] [Green Version]
- Chibotaru, L.F.; Ungur, L. Ab initio calculation of anisotropic magnetic properties of complexes. I. Unique definition of pseudospin Hamiltonians and their derivation. J. Chem. Phys. 2012, 137, 064112. [Google Scholar] [CrossRef] [PubMed]














| 1 | 2 | 3 | 4 | 6 | 7 | |
|---|---|---|---|---|---|---|
| Cd···Ln | 3.6716(4), 3.6910(4) | 3.6615(4), 3.6749(4) | 3.6554(2), 3.6652(2) | 3.6496(2), 3.6513(2) | 3.6370(5), 3.6415(4) | 3.6253(5), 3.6383(5) |
| Cd···Cd | 4.1634(5) | 4.1556(5) | 4.1576(3) | 4.1529(3) | 4.1529(6) | 4.1480(6) |
| Ln···Lnmin | 10.405 | 10.376 | 10.362 | 10.326 | 10.313 | 10.296 |
| Cd-O(O2CR) | 2.218(3)–2.720(3) | 2.213(4)–2.722(4) | 2.214(2)–2.718(2) | 2.216(2)–2.703(2) | 2.210(3)–2.711(3) | 2.217(3)–2.711(4) |
| Cd-O(H2O) | 2.269(3), 2.309(3) | 2.267(4), 2.308(4) | 2.273(2), 2.305(2) | 2.271(2), 2.306(2) | 2.279(4), 2.305(3) | 2.280(4)–2.297(5) |
| Ln-O(O2CR) | 2.309(3)–2.560(3) | 2.300(3)–2.553(3) | 2.273(2)–2.537(2) | 2.261(2)–2.534(2) | 2.241(3)–2.523(3) | 2.213(4)–2.515(4) |
| Cd-Ln-Cd | 153.954(9) | 153.890(10) | 153.617(6) | 153.420(5) | 153.324(9) | 153.061(13) |
| Cd-Cd-Ln | 142.387(10), 149.957(10) | 142.508(11), 149.818(11) | 142.526(8), 149.706(7) | 142.463(6), 149.219(6) | 142.535(11), 149.411(10) | 149.232(16) |
| SQ(Cd1O7), D5h | 2.428 | 2.427 | 2.421 | 2.403 | 2.413 | 2.414 |
| SQ(Cd2O6), C5v/Oh | 6.075/6.558 | 6.174/6.534 | 6.210/6.614 | 6.329/6.496 | 6.355/6.625 | 6.269/6.812 |
| SQ(LnO8), D2d/C2v | 3.314/3.273 | 3.157/3.148 | 3.028/3.101 | 2.941/3.019 | 2.791/2.971 | 2.633/2.868 |
| H···O(O2CR) | 1.81–1.93 | 1.82–1.91 | 1.88–1.93 | 1.86–1.97 | 1.82–1.95 | 1.93–1.98 |
| O(H2O)···O(O2CR) | 2.695–2.828 | 2.696–2.816 | 2.701–2.807 | 2.697–2.808 | 2.708–2.798 | 2.700–2.810 |
| O-H-O | 154.6, 167.8 | 157.5, 168.4 | 158.9, 167.2 | 156.5, 165.4 | 155.3, 164.9 | 156.7, 157.9 |
| H···N(MeCN) | 2.14 | 2.02 | 2.13 | 2.07 | 2.03 | 2.14 |
| O(H2O)···N(MeCN) | 2.883 | 2.893 | 2.897 | 2.893 | 2.891 | 2.881 |
| O-H-N | 146.3 | 168.4 | 163.3 | 169.1 | 163.8 | 145.4 |
| Complex | τobs, ms | Arad, s−1 | Anrad, s−1 | Ref. | ||
|---|---|---|---|---|---|---|
| 2 | 1.6 | 349 | 276 | 56 | This work | |
| 3 | 2.1 | This work | ||||
| Eu(NO3)3·6H2O | 18 | [54] | ||||
| Tb(NO3)3·6H2O | 0.65 | [54] | ||||
| [Eu(NO3)3(H2O)3]·2L | 0.25 | 290 | 3710 | 7 | [55] | |
| [Eu(pfb)3(H2O)n] | 0.65 | 65 | 15 | [56] | ||
| [Tb(pfb)3(H2O)n] | 1.36 | 38 | [56] | |||
| [EuCd(pfb)5(phen)]n | 1.92 | 325 | 195 | 62 | 36 | [48] |
| [Eu2Zn2(pfb)10(phen)2] | 1.90 | 425 | 100 | 81 | 41 | [48] |
| [TbCd(pfb)5(phen)]n | 2.09 | 63 | [48] | |||
| [Tb2Zn2(pfb)10(phen)2] | 1.83 | 45 | [48] | |||
| [Eu2Cd2(4-TBA)10(bpy)2] | 1.8 | 81 | 13 | [49] | ||
| [Eu2(piv)6(bpy)2] | 1.47 | 60 | [44] | |||
| [Eu2(piv)6(phen)2] | 1.51 | 60 | [44] | |||
| [Eu(tpc)3(Htpc)2]n | 1.10 | 310 | 598 | 34 | [57] | |
| [Tb2(CH3COO)6(H2O)4]·4H2O | 1.03 | [58] | ||||
| [{Tb(pyr)3(H2O)2}·H2O]n | 0.79 | 10.6 | [59] | |||
| [Eu(fbz)3(H2O)2]2 | 1.03 | 25 | 50 | [60] | ||
| [Eu(f2bz)3(H2O)2]n | 0.66 | 75 | 10 | [60] | ||
| [Eu(f3bz)3(H2O)]n | 1.30 | 75 | 70 | [60] | ||
| [Eu(f4bz)3(H2O)2] | 2.20 | 45 | 35 | [60] | ||
| [Tb(fur)3(H2O)3]n | 0.82 | 23.8 | 12.8 | [61] | ||
| [Eu(fur)3(H2O)3]n | 7.3 | 7.2 | [61] | |||
| [Tb(FBA)3(H2O)4]n·nH2O | 1.08 | 41 | [62] | |||
| [Eu(FBA)3(H2O)4]n·nH2O | 0.42 | 14 | [62] | |||
| [EuCd2(bzo)6(NO3)(H2O)2(EtOH)2] | 1.31 | 430 | 335 | 56 | [50] | |
| [EuCd2(bzo)6(NO3)(MeCN)2(THF)2] | 1.04 | 440 | 520 | 46 | 1 | [51] |
| [EuCd2(bzo)6(NO3)(pz)(H2O)2]n | 0.85 | 480 | 700 | 41 | 7 | [51] |
| [EuCd2(bzo)6(NO3)(pz)2(EtOH)2] | 2.05 | 320 | 170 | 66 | 7 | [51] |
| [Eu(phbz)3]n | 1.1 | 460 | 450 | 50 | 14 | [63] |
| [Tb(phbz)3]n | 0.75 | 24 | [63] |
| Complex | KDs | KD Energies, cm−1 | gx | gy | gz | Crystal Field Wave Functions |
|---|---|---|---|---|---|---|
| 4m | 1 | 0 | 1.07 | 3.64 | 15.17 | 50%|± 〉 + 19%|± 〉 |
| 2 | 22 (31.7 K) | 1.15 | 1.88 | 13.84 | 21%|± 〉 + 19%|± 〉 | |
| 3 | 59 | 1.83 | 2.94 | 14.96 | 26%|± 〉 + 25%|± 〉 | |
| 4 | 100 | 0.94 | 4.02 | 10.94 | 35%|± 〉 + 19%|± 〉 | |
| 5 | 157 | 9.17 | 7.16 | 0.8 | 49%|± 〉 + 13%|± 〉 | |
| 6 | 204 | 1.08 | 1.97 | 14.51 | 25%|± 〉 + 23%|± 〉 | |
| 7 | 218 | 1.41 | 3.69 | 11.56 | 26%|± 〉 + 22%|± 〉 | |
| 8 | 368 | 0.05 | 0.09 | 19.29 | 22%|± 〉 + 20%|± 〉 | |
| 7m | 1 | 0 | 0.2 | 2.2 | 5.27 | 64%|± 〉 |
| 2 | 96 | 0.32 | 1.68 | 5.59 | 38%|± 〉 + 34%|± 〉 | |
| 3 | 223 | 4.48 | 2.67 | 0.85 | 42%|± 〉 + 25%|± 〉 | |
| 4 | 301 | 1.22 | 2.14 | 5.9 | 39%|± 〉 + 33%|± 〉 |
Publisher’s Note: MDPI stays neutral with regard to jurisdictional claims in published maps and institutional affiliations. |
© 2021 by the authors. Licensee MDPI, Basel, Switzerland. This article is an open access article distributed under the terms and conditions of the Creative Commons Attribution (CC BY) license (https://creativecommons.org/licenses/by/4.0/).
Share and Cite
Shmelev, M.A.; Polunin, R.A.; Gogoleva, N.V.; Evstifeev, I.S.; Vasilyev, P.N.; Dmitriev, A.A.; Varaksina, E.A.; Efimov, N.N.; Taydakov, I.V.; Sidorov, A.A.; et al. Cadmium-Inspired Self-Polymerization of {LnIIICd2} Units: Structure, Magnetic and Photoluminescent Properties of Novel Trimethylacetate 1D-Polymers (Ln = Sm, Eu, Tb, Dy, Ho, Er, Yb). Molecules 2021, 26, 4296. https://doi.org/10.3390/molecules26144296
Shmelev MA, Polunin RA, Gogoleva NV, Evstifeev IS, Vasilyev PN, Dmitriev AA, Varaksina EA, Efimov NN, Taydakov IV, Sidorov AA, et al. Cadmium-Inspired Self-Polymerization of {LnIIICd2} Units: Structure, Magnetic and Photoluminescent Properties of Novel Trimethylacetate 1D-Polymers (Ln = Sm, Eu, Tb, Dy, Ho, Er, Yb). Molecules. 2021; 26(14):4296. https://doi.org/10.3390/molecules26144296
Chicago/Turabian StyleShmelev, Maxim A., Ruslan A. Polunin, Natalia V. Gogoleva, Igor S. Evstifeev, Pavel N. Vasilyev, Alexey A. Dmitriev, Evgenia A. Varaksina, Nikolay N. Efimov, Ilya V. Taydakov, Aleksey A. Sidorov, and et al. 2021. "Cadmium-Inspired Self-Polymerization of {LnIIICd2} Units: Structure, Magnetic and Photoluminescent Properties of Novel Trimethylacetate 1D-Polymers (Ln = Sm, Eu, Tb, Dy, Ho, Er, Yb)" Molecules 26, no. 14: 4296. https://doi.org/10.3390/molecules26144296
APA StyleShmelev, M. A., Polunin, R. A., Gogoleva, N. V., Evstifeev, I. S., Vasilyev, P. N., Dmitriev, A. A., Varaksina, E. A., Efimov, N. N., Taydakov, I. V., Sidorov, A. A., Kiskin, M. A., Gritsan, N. P., Kolotilov, S. V., & Eremenko, I. L. (2021). Cadmium-Inspired Self-Polymerization of {LnIIICd2} Units: Structure, Magnetic and Photoluminescent Properties of Novel Trimethylacetate 1D-Polymers (Ln = Sm, Eu, Tb, Dy, Ho, Er, Yb). Molecules, 26(14), 4296. https://doi.org/10.3390/molecules26144296

