Abstract
α-Functionalized α,β-unsaturated aldehydes is an important class of compounds, which are widely used in fine organic synthesis, biology, medicine and pharmacology, chemical industry, and agriculture. Some of the 2-substituted 2-alkenals are found to be the key metabolites in plant and animal cells. Therefore, the development of efficient methods for their synthesis attracts the attention of organic chemists. This review focusses on the recent advances in the synthesis of 2-functionally substituted 2-alkenals. The approaches to the preparation of α-alkyl α,β-unsaturated aldehydes are not included in this review.
1. Introduction
α,β-Unsaturated aldehydes, containing a double bond conjugated with an aldehyde group, represent attractive synthetic “building blocks”. Due to the high reactivity of these polyfunctional substrates, they are widely employed, e.g., in the targeted synthesis of practically important natural compounds and other molecules (scaffolds) [1,2,3]. The presence of a functional group at the position 2 of the conjugated aldehyde system enriches chemistry of such derivatives and determines fields of their application. Some 2-functionally substituted alkenals are plant and animal metabolites [4,5,6,7,8]. In industry, α-substituted α,β-unsaturated aldehydes are used as the starting materials in the production of dyes, pesticides, aromatic compounds, and drugs [9].
Therefore, the preparation of these highly reactive substrates represents an urgent challenge for organic chemistry. It should be noted that the employment of various catalysts has expanded opportunities of 2-alkenals synthesis and sparked the interest in this area of research.
Meanwhile, many years have passed since the publication of the last review devoted to the chemistry of α-functionally substituted acrolein derivatives. Indeed, this review only covered the synthetic approaches to acrolein and its α-substituted analogs developed before 1993 [10]. There were other survey publications on this topic, in which, however, 2-functionally substituted 2-alkenals were only described partially. It is worth noting the chapter in a book [11], which only deals with the synthesis of these compounds. A review [12] was dedicated to captodative aminoalkenes, but it gave little attention to the chemistry of α-functionalized alkenals. In addition, a significant number of new original papers were published over the last decade.
This review summarizes methods for the synthesis of α-functionalized α,β-unsaturated aldehydes (Figure 1) bearing functional groups or halogen atoms in the position 2. Structural features, mechanistic aspects of transformations, and the prospects of these compounds’ application are discussed.
Figure 1.
α-Functionalized alkenals.
The review covers the literature published in the past 20 years. In some cases, earlier works are also considered. As the approaches to preparation of α-alkyl α,β-unsaturated aldehydes were surveyed in 2020 [13], they are not included in the present review.
2. Synthesis of α-Functionally Substituted α,β-Unsaturated Aldehydes
2.1. α-Oxygensubstituted α,β-Unsaturated Aldehydes
α-Alkoxysubstituted acrylic systems generate a particular research interest, as they represent a key structural motif of many biologically active natural compounds [14]. In addition, some derivatives of α-alkoxysubstituted α,β-unsaturated aldehydes are known to possess DNA-inhibiting and antitumor activity [15]. α-Alkoxysubstituted α,β-unsaturated aldehydes are the chemical equivalents of methylglyoxal [16], a low molecular regulator of cell growth in animals, plants, and microbes [17,18]. Derivatives of α-alkoxycinnamic aldehydes are met in plants and are structural fragments of lignin [4].
The methods for the preparation of α-oxygensubstituted alkenals are limited in number. For instance, in 2000 α,β-unsaturated aldehyde 4 was obtained in 24% yield as a side product generated by beta-elimination in the reaction of trimethoxynaphthalene 1 with α-benzyloxyaldehyde 2 (Scheme 1) [19].
Scheme 1.
Synthesis of 5-(tert-butyldimethylsilyloxy)-2-(phenylmethoxy)-hex-2-enal (4). In 2001, van Boom et al. examined the transformations of D-glucose-derived eight-membered ring carbocycle 5 [20]. It was found that multistage process involved the formation of densely functional 2-benzyloxysubstituted 2-alkenals 9 (Scheme 2) via a side reaction.
Scheme 2.
Synthesis of 2-benzyloxysubstituted 2-alkenals 9.
Scheme 1.
Synthesis of 5-(tert-butyldimethylsilyloxy)-2-(phenylmethoxy)-hex-2-enal (4). In 2001, van Boom et al. examined the transformations of D-glucose-derived eight-membered ring carbocycle 5 [20]. It was found that multistage process involved the formation of densely functional 2-benzyloxysubstituted 2-alkenals 9 (Scheme 2) via a side reaction.

Aldehydes 9 were formed under the action of bases (NaOH, NaOMe) on lactone 8, which was opened with the elimination of benzyloxy groups to furnish 2-alkenals 9 in 78–84% yields.
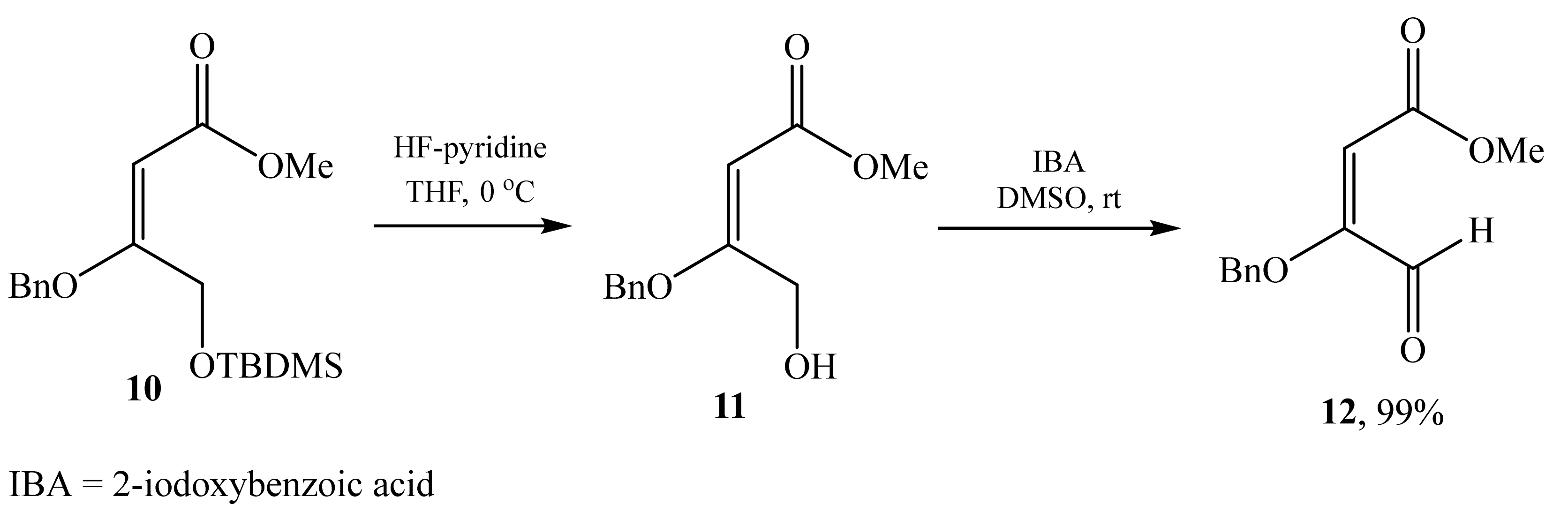
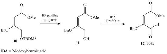
The synthesis of methyl (E)-3-benzyloxy-4-hydroxybut-2-enoate (12) from methyl (E)-3-benzyloxy-4-(tert-butyldimethylsilanyloxy)but-2-enoate (10) via an efficient two-step reaction sequence (Scheme 3) was documented [21].
Scheme 3.
Synthesis of methyl (E)-3-benzyloxy-4-hydroxybut-2-enoate (12).
The reaction involves two consecutive processes: first, the hydroxyl group is deprotected (Olah’s reagent) in THF at 0 °C or, alternatively, with HF in acetonitrile at the same temperature to give 4-hydroxybut-2-enoate (11). Subsequent oxidation of 11 with 2-iodoxybenzoic acid (IBA) in DMSO at room temperature affords 2-alkenal 12 in high yield (99%). It should be underlined that aldehyde 12 is an important building block in the synthesis of 3,5-unsubstituted 4-O-alkyl tetramates (versatile starting compounds for design of a wide variety of natural products and analogues) [22,23].
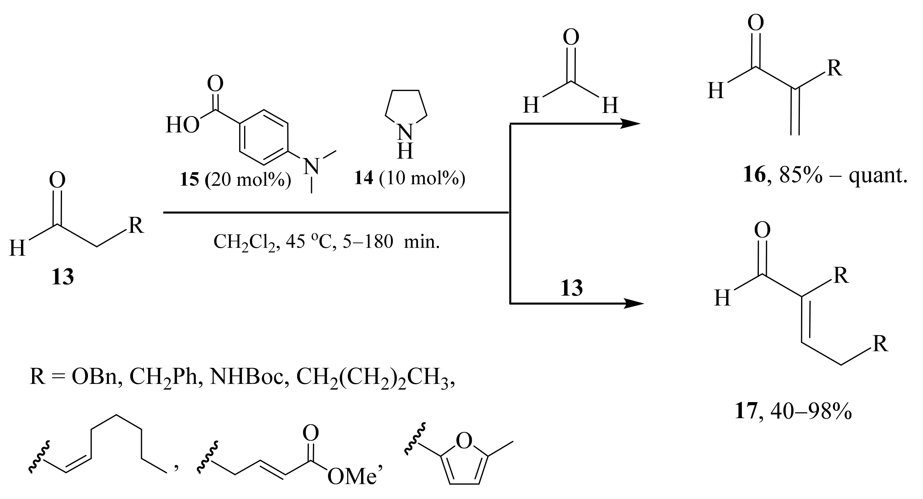
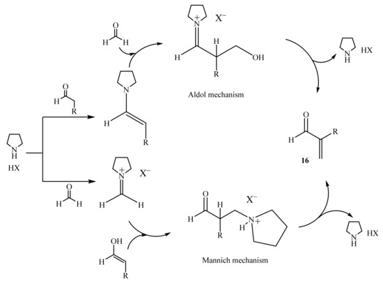
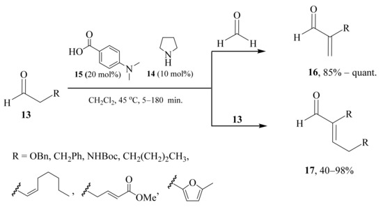
2-Benzyloxysubstituted 2-alkenals 16 and 17 were also obtained in good yields by an organocatalyzed aldol condensation [24,25]. Thus, the reaction of aldehyde 13 with formaldehyde in the presence of pyrrolidine 14 (10 mol%) as a catalyst and 4-N,N-dimethylaminobenzoic acid (15) as a cocatalyst (20 mol%) gave diverse 2-substituted 2-alkenals 16, including 2-benzyloxysubstituted 2-alkenals, in high yield. In the absence of formaldehyde at the same conditions, the catalytic system promoted the self-condensation reaction of 13 to produce aldehyde 17. The yields of products 17 reached 98% (Scheme 4).
Scheme 4.
Synthesis of α-substituted α,β-unsaturated aldehydes by organocatalytic Mannich condensation of aldehydes 13.
It is assumed that the reaction course is determined by the kinetic resolution of the catalyst between formaldehyde and other aldehydes. Presumably, the formation of formaldehyde/catalyst complex (or a covalent intermediate) is more preferable than the formation of the related compounds with other aldehydes. The mechanism of the Mannich reaction suggests that the enol form of donor aldehyde reacts with an iminium compound produced by the acceptor aldehyde (usually formaldehyde) (Scheme 5).
Scheme 5.
Possible mechanisms for the α-methylenation reaction.
The α-siloxysubstituted α,β-unsaturated aldehydes are widely employed in organic synthesis as dienophiles for (4+3) cycloaddition reactions in the presence of Lewis acid [26]. The reactivity of such aldehydes was first tested by Sasaki et al. in the construction of various cycloadducts [27]. In 2000, Harmata and Sharma [28] obtained 2-(trialkylsilyloxy)-2-propenals 19 from trialkylsilyltriflates and 2-methoxy-2-methyl-[1,3]-dioxan-5-one 18 by the retro-hetero-Diels–Alder reaction (Scheme 6). The target alkenals were further involved in the reaction with dienes (furan, cyclopentadiene, 1,3-butadiene).
Scheme 6.
Synthesis of 2-(trialkylsilyloxy)-2-propenals 19.
It is worthwhile to note that the trialkylsilyl group is perfectly retained in the obtained cycloadducts.
Similar to the above-described reactions, 2-(trialkylsilyloxy)-2-enals 21 were synthesized from 4-butyl-5-(trialkylsilyloxy)-2,2-dimethyl-4H-[1,3]-dioxins 20 upon refluxing in toluene [29] (Scheme 7).
Scheme 7.
Retro-hetero-Diels–Alder synthesis of α-siloxysubstituted α,β-unsaturated aldehydes 21.
The yields of α-(trialkylsilyloxy)substituted α,β-unsaturated aldehydes 19, 21 reach 72–99%. However, these compounds are extremely unstable in moist air. α-(Trialkylsilyloxy)acroleins 21, unlike compounds 19, contain a substituent in the β-position that promotes a more efficient Sasaki-type [4+3] cyclization with dienes in the presence of Lewis acids with excellent regio- and/or stereoselectivity. Enal, with a similar structure to 21, has been used for the synthesis of (±)-Cortistatin J (novel steroidal alkaloid) [30].
The retrocycloaddition reactions of 1,3-dioxins 23 [31] proved to be efficient for the synthesis of 2-acyloxyacroleines 24 in the presence of 1% hydroquinone at 100 °C in toluene under an argon atmosphere (Scheme 8). These aldehydes 24 can be purified using column chromatography. However, substance polymerize easily upon standing at room temperature and are best stored at low temperatures (−20 °C).
Scheme 8.
Synthesis of 2-acyloxysubstituted 2-propenals 24.
2-Acyloxysubstituted 2-propenals 24 are widely employed in [2+2]-cycloadditions [32] and Diels–Alder reactions [33,34,35,36,37,38].
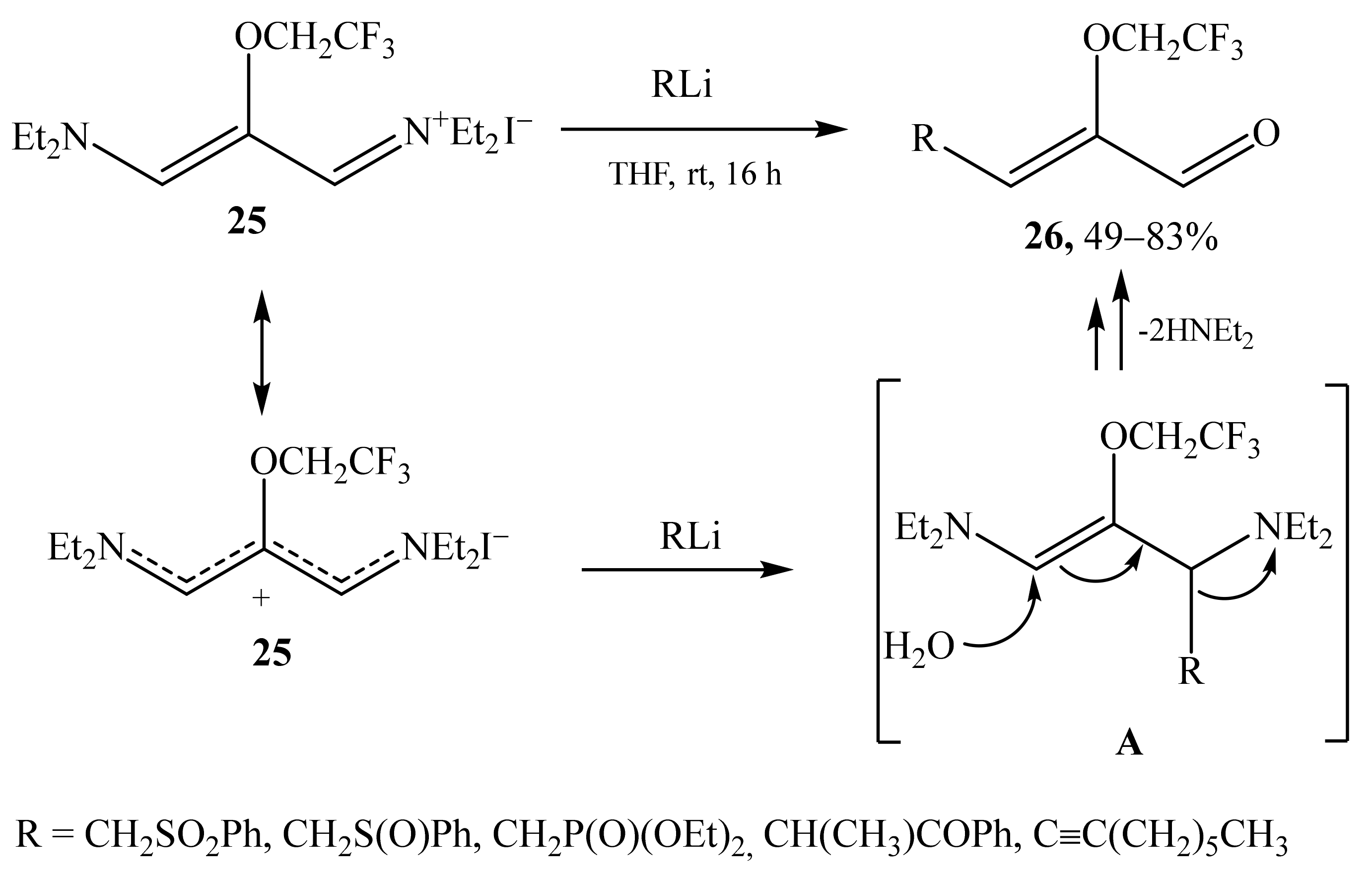
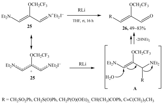
The compounds containing the fluoroalkoxy group are used as pharmaceuticals, for example, Flecainide and Lansoprazole [39]. 2-Trifluoroethoxysubstituted alkenals 26 were obtained by Yamanaka et al. [40] through the reaction of β-trifluoroethoxyvinamidinium salts (25) with lithium acetylide and other carbanions derived from methyl compounds bearing sulfonyl, sulfinyl, and phosphonyl groups (Scheme 9).
Scheme 9.
Synthesis of α-trifluoroethoxysubstituted α,β-unsaturated aldehydes 26.
Mechanistically, the reaction is triggered by the attack of carbanion at the carbon atom of vinamidinium salt 25 to generate a tetrahedral intermediate A. When the hydrogen atom at the α-position to the diethylamino group in substituent R is weakly acidic, and/or sterically hindered, and the base cannot attack it, the diethylamino group is not cleaved from the intermediate A. Subsequent hydrolysis leads to elimination of the diethylamino group to give aldehydes 26 via the formation of N,O-acetal.
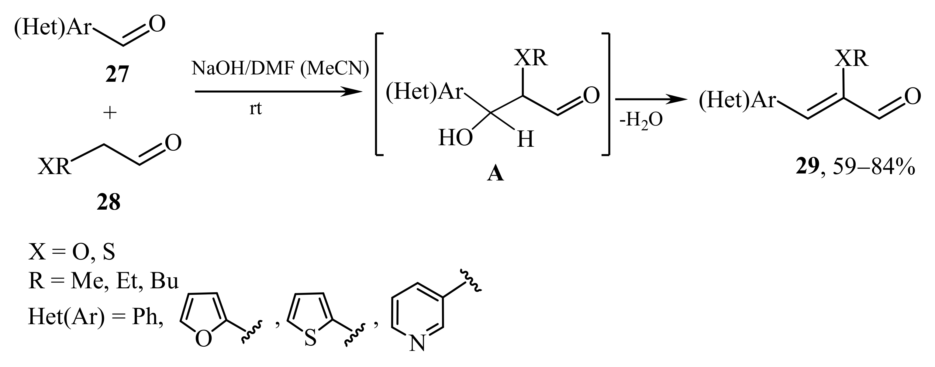
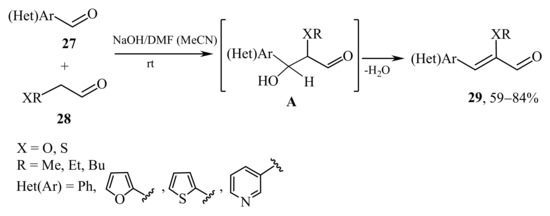
Heteroaromatic α-alkoxy- and α-alkylthiosubstituted α,β-unsaturated aldehydes 29 were prepared using alkaline catalysts in the two-phase systems (Scheme 10) [41].
Scheme 10.
Synthesis of α-alkoxy- and α-alkylthiosubstituted α,β-unsaturated aldehydes by condensation in two-phase systems.
The aldol condensation proceeds stereoselectively to deliver the Z-isomer. Unlike classical protocols using alkali [42,43,44], heterogenous system solid NaOH/DMF(MeCN) allows the avoidance of by-products and increase in yields of the target compounds. α-Alkoxy- and α-alkylthiosubstituted α,β-unsaturated aldehydes 29 are valuable building blocks in the synthesis of oxazoles, pyrroles, and quinoxalines [45].
In 2012, K. Ishihara synthesized α-(N,N-diisopropylcarbamoyloxy)-β-alkylacroleins 33 [46]. The synthesis of 33 starts with carbamoylation of allylic alcohols 30 with diisopropylcarbamic chloride (i-Pr2NCOCl) in the presence of a catalytic amount of 4-dimethylaminopyridine (DMAP) (Scheme 11).
Scheme 11.
Synthesis of α-(N,N-diisopropylcarbamoyloxy)-β-alkylacroleins 33.
The carbon–carbon double bond migration of the allylic carbamates 31 successfully gave the corresponding Z-vinyl carbamates 32 as single stereoisomers. Formylation of the vinyl carbamates 32 with t-BuLi and N,N-dimethylformamide (DMF) afforded (Z)-α-(N,N-diisopropylcarbamoyloxy)-β-alkylacroleins 33 as single stereoisomers in the total yields of 28–64%. Aldehydes 33 were employed as the efficient dienophiles for the enantioselective Diels–Alder reaction.
2.2. α-Thio- and α-Seleniumsubstituted α,β-Unsaturated Aldehydes
The carbon–sulfur (C–S) bond is a key structural motif that is ubiquitous in bioactive compounds and pharmaceuticals [47,48,49,50].
At the beginning of the 2000s, ring-opening reactions leading to the synthesis of α-thio-α,β-unsaturated aldehydes were implemented [51]. The photo-oxidized ring-opening of enantiomerically pure (S)-p-tolylsulfinylfurans in the presence of methylene blue yielded (S)-1,4-dicarbonyl-2-(p-tolylsulfinyl)-2-alkenes 35 (Scheme 12).
Scheme 12.
Synthesis of α-thiosubstituted α,β-unsaturated aldehydes 35 by ring opening of (S)-p-tolylsulfinylfurans 34.
Another ring-opening reaction was carried out by Silvestri and Wong [52]. It was shown that the thiirane cycle 36 was efficiently opened upon treatment with methanesulphenylbromide at low temperature in CH2Cl2 in the presence of 1,1,3,3-tetramethylurea (TMU). The formed halo disulfide 37 on silica gel produced predominantly aldehyde 38 via hydrolysis and dehydrohalogenation (Scheme 13).
Scheme 13.
Synthesis of 2-disulfidesubstituted 2-propenal 38 by the ring-opening reactions.
Unfortunately, the yield of aldehyde 38 has not been reported.
In 2012, Ishihara et al. [37] first synthesized α-(benzoylthio)acroleins 40 by the acylation of thiirane 36 (Scheme 14).
Scheme 14.
Synthesis of α-(benzoylthio)acroleins 40.
The acylation of 2-(diethoxymethyl)thiirane (36) with benzoic anhydride or carboxylic chloride, followed by the hydrolysis with formic acid gave the corresponding α-(benzoylthio)substituted α,β-unsaturated aldehydes 40. The modest yields of 40 were mainly attributed to the low reactivity of the thiirane in the acylation.
α-(Benzoylthio)substituted α,β-unsaturated aldehydes 40 were synthesized and involved in Diels–Alder reactions as dienophiles to produce sulfur-containing quaternary carbons. However, the low basicity and poor solubility of aldehydes 40 did not allow the reaction with the diene to be performed. In this regard, a new synthetic approach to other promising dienophiles, α-(carbamoylthio)acroleins 45, was developed. The approach was based on the umpolung strategy: the C–S bond formation between a “carbamoylthio cation R2NCOS+” and a “vinyl anion RCH=CH−” (Scheme 15).
Scheme 15.
Synthesis of α-(carbamoylthio)substituted α,β-unsaturated aldehydes 45.
Bis(carbamoyl)disulfides 42, the synthetic equivalents of carbamoylthio cations, is prepared from bis(chlorocarbonyl)disulfide (41) and secondary amines. Lithiation of α-bromoacrolein diethylacetals 44, obtained from aldehyde 43, affords the corresponding vinyl anion. The vinyl anion with 42 followed by acid hydrolysis of the acetal moiety gives 45 in 30–60% yields. α-(Carbamoylthio)acroleins 45 shows high reactivity and enantioselectivity in the Diels–Alder reaction with 2,3-dimethylbutadiene.
In 2014, L. He [53] synthesized 2-sulfanylsubstituted 2-propenals via a new organocatalytic cross-coupling reaction between α-haloenals and thiols using NHC (N-heterocyclic carbene) as a catalyst (Scheme 16).
Scheme 16.
Synthesis of 2-sulfanylsubstituted 2-propenals 47 from α-haloenals 46, thiols, and NHC.
In the presence of 5 mol% NHC and potassium carbonate, various thiols reacted with α-haloenals 46 to afford 2-sulfanylsubstituted 2-propenals 47 in high yields (53–91%) and high Z-selectivity. Although the mechanism of this reaction is still obscure, it is likely based on the pioneering research of Movassaghi [54] and others [55,56,57] (Scheme 17).
Scheme 17.
The proposed mechanism for formation of aldehydes 47.
In this process, NHC acts as a carbon-centered Brønsted base. The complex A (thioxy anion/azolium ion complex) is formed as a result of the deprotonation of the acidic thiol by NHCs. The complex A further interacts with α-haloenal to give compound B. The conjugate adduct B undergoes an intramolecular sulfenylation via a favorable 3-exo-tert attack to form sulfonium ion intermediate C according to Baldwin’s rule. The attack of the second thiol molecule leads to the ring-opening in the intermediate C to deliver bisulfenylated aldehyde D. Subsequent β-elimination produces α-alkylthiopropenal.
More readily available organocatalysts such as Et3N or DABCO can also be employed instead of N-heterocyclic carbene [58].
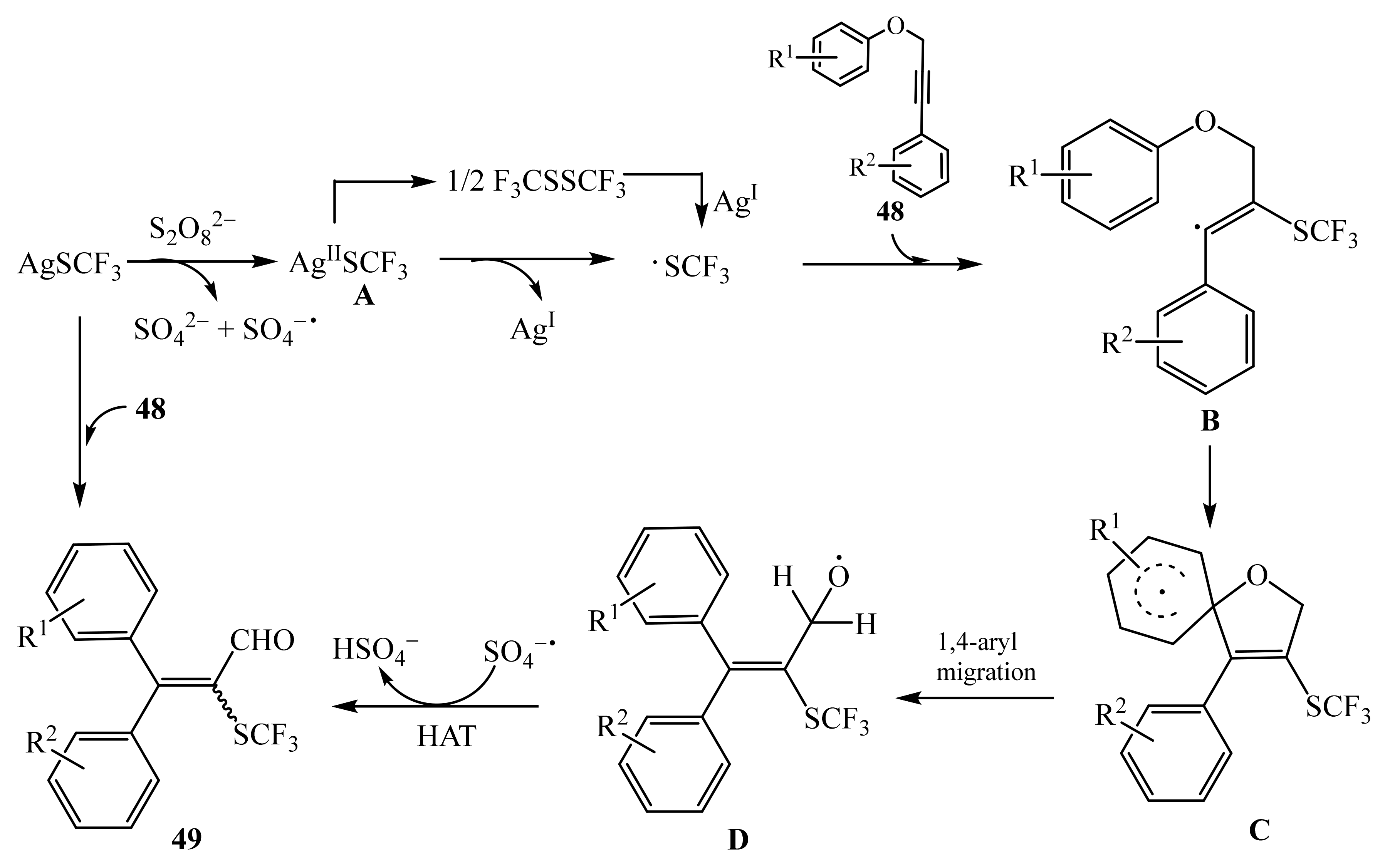
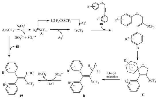
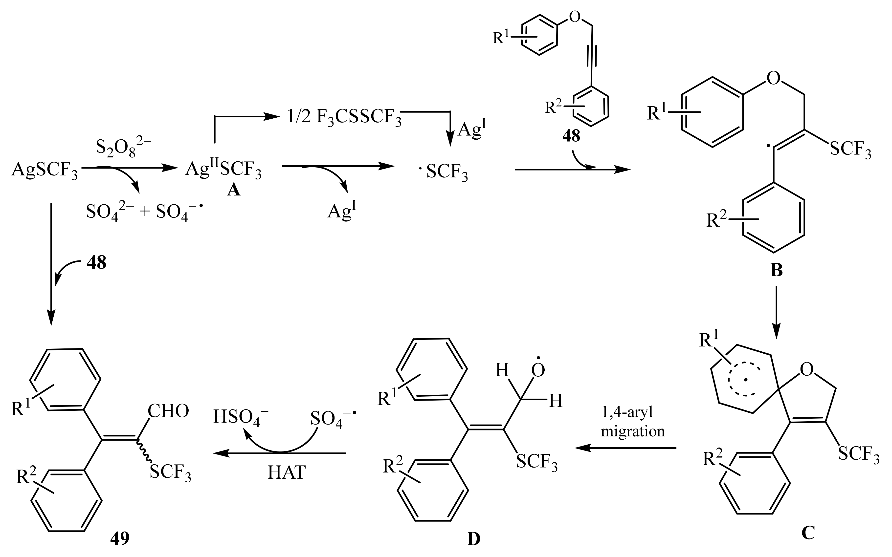
In 2017, Liu [59] carried out an original one-pot synthesis of 2-thiosubstituted 2-propenals 49 from 3-aryl-2-propynyl ethers 48 (Scheme 18). The method combines alkyne trifluoromethylthiolation, radical 1,4-aryl migration from oxygen to carbon and the formation of a carbonyl moiety.
Scheme 18.
One-pot synthesis of 2-thiosubstituted 2-propenals 49.
The reaction features excellent conversion of aryl propynyl ethers into SCF3-containing α,β-unsaturated aldehydes through a radical pathway (Scheme 19).
Scheme 19.
Proposed reaction mechanism.
At the first stage of the reaction, AgSCF3 is oxidized by K2S2O8 to give AgIISCF3 (A), which could generate trifluoromethylthio radical (·SCF3) via single electron transfer. Further, this radical is regioselectively added to the triple bond of substrate 48, affording a vinyl radical B. An intramolecular radical ipso-cyclization of B furnishes the spiro-intermediate C, and the subsequent 1,4-aryl migration leads to the intermediate D. The target product 49 is obtained via hydrogen atom abstraction (HAT) of radical intermediate species D.
A radical cascade reaction of the unsaturated C–C bonds involving migration is also of interest to the chemical community [60].
α-Seleniumcontaining α,β-unsaturated aldehydes are vinylmetallic reagents and valuable polyfunctionalized substrates [61,62]. Few methodologies to obtain 2-seleno-2-propenals were published [63,64,65,66].
In 2000, [67] α-(butylseleno)-α,β-unsaturated aldehyde (52) was synthesized in high yields from the lithiated vinyl selenide 51 generated in situ from ketene telluro(seleno)acetal 50 (Scheme 20). Aldehyde 52 has (Z)-configuration.
Scheme 20.
Synthesis of (Z)-2-(butylseleno)-2-heptenal (52).
In 2001, Silveira et al. [68] reported a reduction in the CN moiety from α-phenylseleno acrylonitriles 53 in the presence of DIBAL-H (diisobutylaluminium hydride), giving rise to α-phenylselenosubstituted α,β-unsaturated aldehydes 54 (Scheme 21).
Scheme 21.
Synthesis of 2-phenylselenoalkenals 54.
The α-phenylselenocinnamaldehyde (54a) is obtained as a mixture of the Z and E isomers in a ratio of 3.5:1. The α-phenylseleno-α,β,γ,δ-unsaturated aldehyde (54b) has the Z,Z configuration only.
2.3. α-Phenyl(aryl)substituted α,β-Unsaturated Aldehydes
2-Arylsubstituted 2-propenals represent valuable building blocks for organic synthesis [69,70]. The synthesis and properties of 2-phenylpropenal, usually called atropaldehyde, have received much attention in the medical literature, as this compound is known to be a cytotoxic metabolite of antiepileptic drug Felbamate [71,72].
In 2000, an original method for the preparation of 2-phenylacroleins was developed by Funk et al. [73]. According to this method, 5-substituted-4H-1,3-dioxins 55 undergo smooth retrocycloaddition at 115–130 °C to the corresponding 2-phenylacroleins 56 (Scheme 22).
Scheme 22.
Thermolysis of 5-substituted-4H-1,3-dioxins 55.
The retrocycloaddition reaction for each of dioxins 55 is performed without any diene or heterodienophilic trapping agent. Thus, the thermolyses of dioxins 55 cleanly gives the corresponding 2-substituted acroleins 56. This method is of obvious interest, as it allows various α-substituted α,β-unsaturated aldehydes to be obtained [29,31].
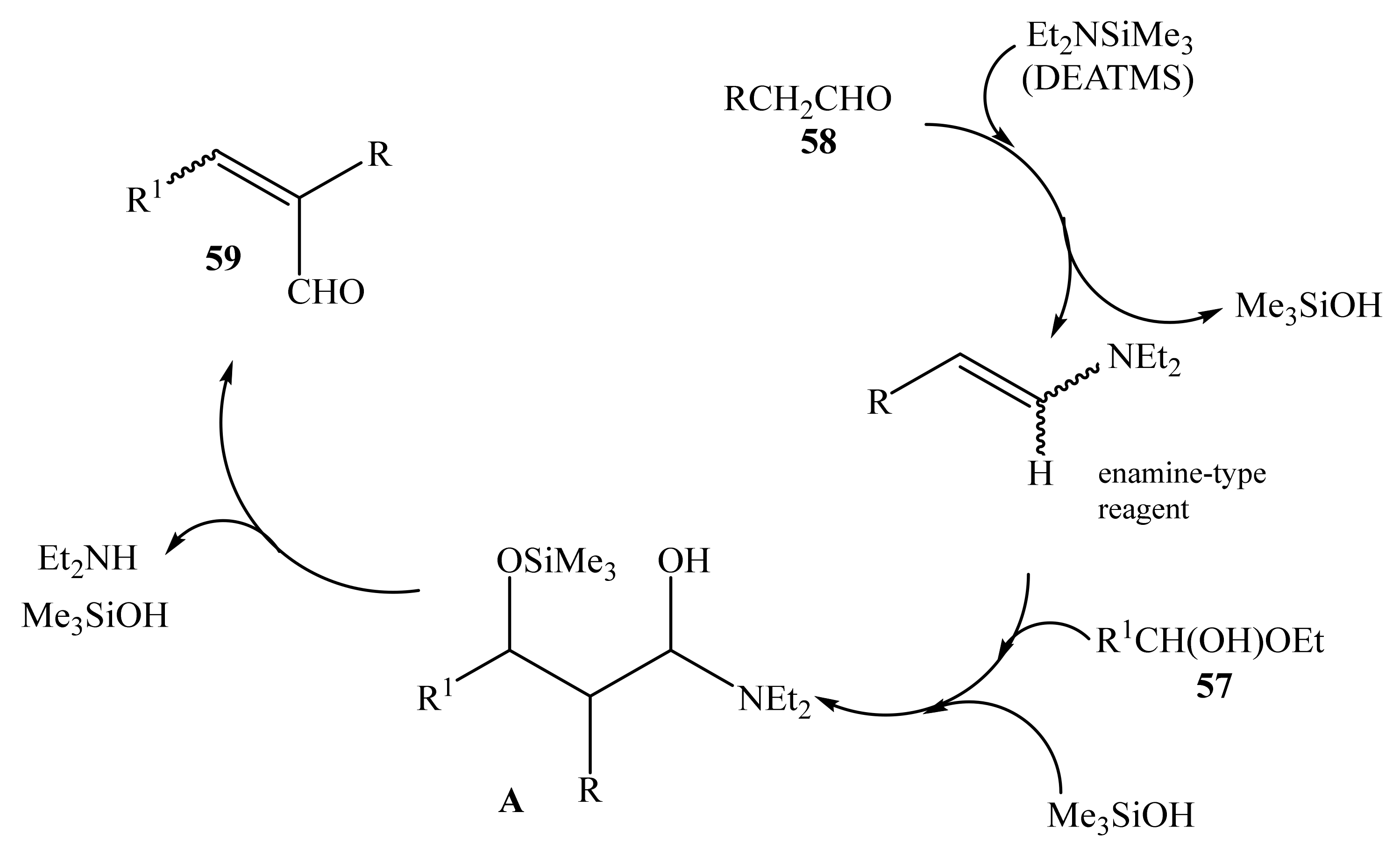
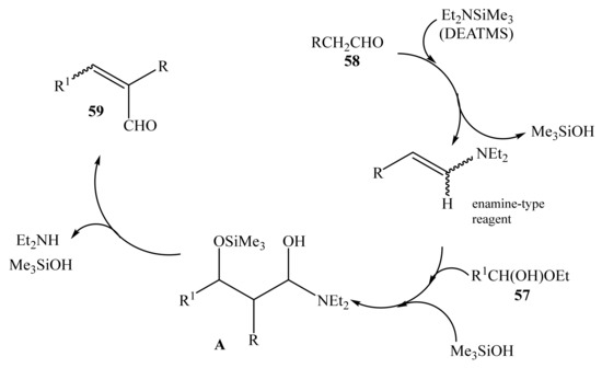
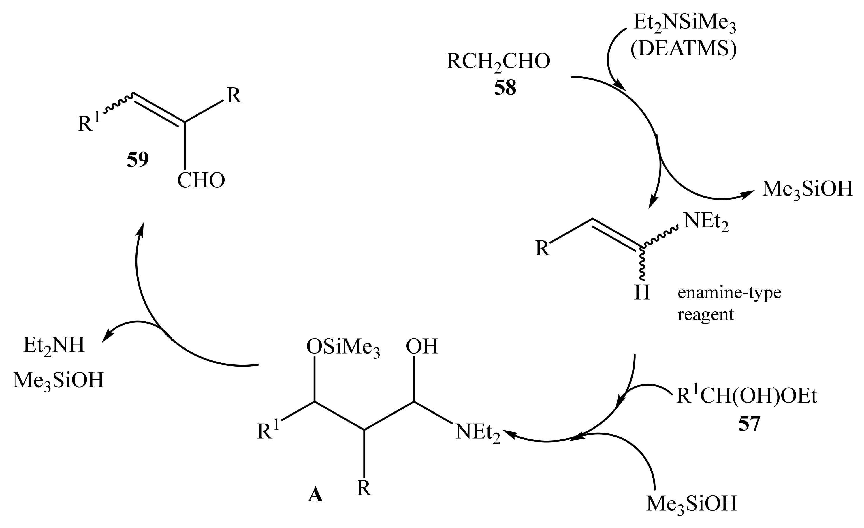
In 2004, Kitazume et al. [74] elaborated a one-stage synthesis of 2-substituted 3-tri-(or di-)-fluoromethyl-2-propenals using versatile aldehydes, tri- or di-fluoroacetaldehyde ethyl hemiacetal in the presence of diethylaminotrimethylsilane (DEATMS) in an ionic liquid. This protocol permits us to successfully construct 2-substituted propenals with high levels of selectivity of the geometric isomers (Scheme 23).
Scheme 23.
Synthesis of 3-fluoromethyl-2-substituted propenals 59.
The reaction of hemiacetal 57 with enamine, generated from DEATMS and aldehyde 58, involves the generation of the intermediate A to produce 2-substituted 3-tri- (or di-) fluoromethyl-2-propenals 59 (Scheme 24).
Scheme 24.
Proposed pathway to 2-propenals 59.
Note that this reaction meets the requirements of green chemistry (solvent reuse), while reuse of the recovered ionic liquid in the same process ensured high yields of the product and good selectivity (like in the first cycle).
A wide series of α,β-unsaturated aldehydes including 2-cyclohexylidene-2-phenylacetaldehyde (61) was synthesized in 2012 by Stambuli et al. [75]. The mild oxidation of alkyl enol ether 60 takes place with the low loadings of a palladium catalyst (Scheme 25).
Scheme 25.
Synthesis of 2-cyclohexylidene-2-phenylacetaldehyde (61).
The mild oxidation conditions tolerate a diverse array of functional groups, thus allowing the formation of di-, tri-, and tetrasubtituted olefins.
More recently, Mura and coworkers developed a short-cut to α-substituted α,β-unsaturated aldehydes through the cross-dehydrogenative coupling of two different primary alcohols behaving as the latent aldehydes [76]. This approach represents a cascade reaction, wherein a nonenolizable aldehyde is first generated in situ by the removal of a “hydrogen molecule” from an alcohol, and then is temporarily trapped as an imine.
The target 2-alkenals 62 are formed due to the subsequent Mannich-type condensation between the imine particles and another intermediate aldehyde (Scheme 26).
Scheme 26.
Synthesis of aldehydes 62 from alcohols.
A plausible mechanism of this ruthenium-promoted transfer-hydrogenation/Mannich-type domino reaction is shown in Scheme 27. Higher reactive benzyl alcohol is first oxidized by the ruthenium-mediated hydrogen transfer from the substrate to crotononitrile. Further, the formed benzaldehyde is probably trapped by the supported amine, leaving the restored catalyst to oxidize the aliphatic alcohol via a second hydrogen transfer with crotononitrile. Finally, the Mannich-type reaction between the grafted imine species and the second aldehyde delivers the α-substituted α,β-unsaturated aldehydes 62.
Scheme 27.
Plausible reaction mechanism.
The use of enolates prepared in situ from alcohols helps to avoid the treatment of unstable aldehydes, and opens the way to various cinnamic aldehydes bearing a substituent in the α-position. The addition of a silica-grafted primary amine leads to a selective one-pot process to produce cross-dehydrogenative coupling products in good-to-moderate yields and with high chemoselectivity.
2.4. α-Amino- and α-Amidosubstituted α,β-Unsaturated Aldehydes
2-Amino- and 2-acylamino-3-alkylpropenals are unique groups of organic compounds, the synthesis of which, however, still remains underdeveloped. Such compounds are known to be excellent dienophiles for Diels–Alder reactions and subsequent design of bioactive natural compounds [77,78]. The products of Diels–Alder cycloaddition reactions of 2-amidoacroleins with dienes are structural motifs of biologically active tricyclic alkaloids (cytotoxins lepadiformine, fasicularin, cylindricines A/B) [79,80,81,82] and immunosuppressent FR901483 [83].
In 2003, Rulev et al. [84] synthesized for the first time enamine 64 bearing a weakly basic tertiary amino group. (Z,E)-2-[Methyl(phenyl)amino]-3-phenylpropenal (64) was obtained by the reaction of 2-bromo-3-phenylalkenal 63 with N-methylaniline in the presence of Et3N in anhydrous THF. The reaction proceeds via the nucleophilic vinyl substitution of halogen atom in the activated haloalkene. This reaction takes 30 h at 90 °C. After purification on silica gel, the yield of 2-amino-3-phenylpropenal 64 is 51% (Scheme 28).
Scheme 28.
The formation of 2-amino-2-alkenal 64.
Various 2-amido-2-alkenals 66 were synthesized by the retrocycloaddition of 5-amido-1,3-dioxin 65 in refluxing toluene [79] (Scheme 29).
Scheme 29.
The synthesis of 2-amido-2-alkenals 66 by retrocycloaddition of 5-amido-1,3-dioxin.
In 2012 [46], various α-nitrogensubstituted α,β-unsaturated aldehydes 68 were prepared from aldehydes and 2-acylamino-2-(dimethoxyphosphoryl)acetate 67 by the method developed by Burk et al. [85] (Scheme 30).
Scheme 30.
Synthesis of α-nitrogensubstituted α,β-unsaturated aldehydes 69 and 70.
The subsequent removal of the tert-butyloxycarbonyl group (Boc) from aldehyde 68 gives 2-(acylamino)crotonaldehydes 69 in 19–56% yields. Additionally, the treatment of crotonaldehyde 69 with DBU (13 mol%) produces highly reactive 2-phthalimidoacrolein (70) in 46% yield.
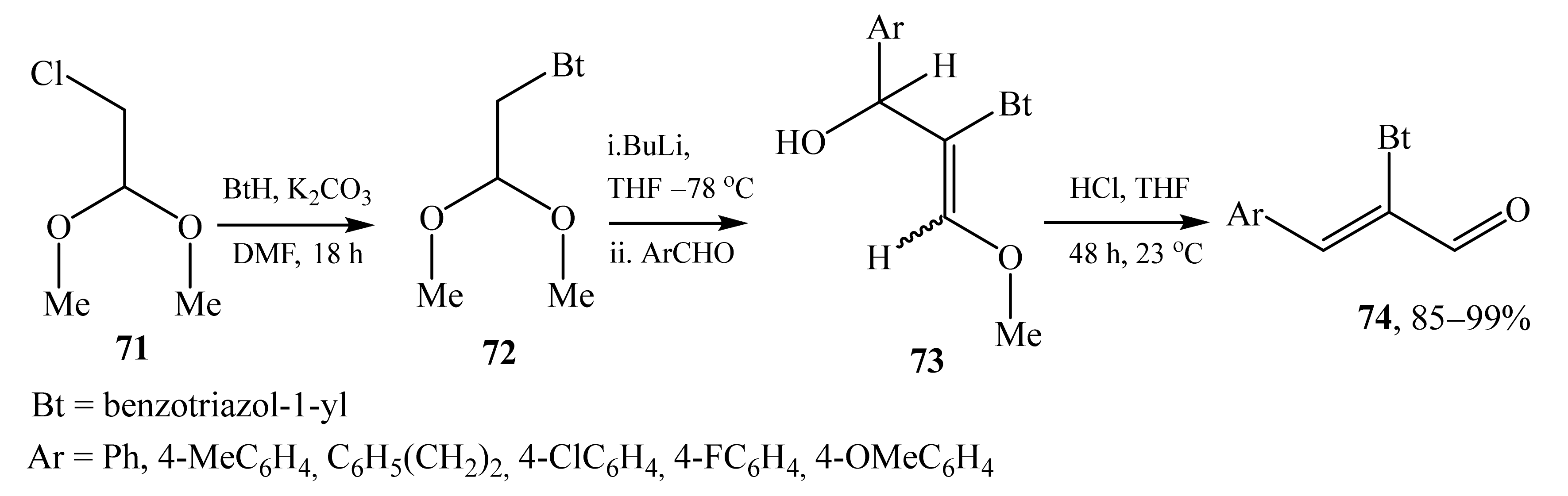
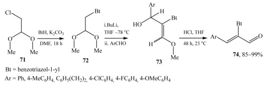
Three-stage method for the synthesis of α-benzotriazolyl-α,β-unsaturated aldehydes 74 (Scheme 31) was disclosed by Katritzky et al. [86].
Scheme 31.
Synthesis of α-benzotriazolyl-α,β-unsaturated aldehydes.
2-Chloroacetaldehyde dimethylacetal (71) reacts with benzotriazole in DMF to give 1-(2,2-dimethoxyethyl)-1H-1,2,3-benzotriazole 72. The acetal carbanion 72 formed under the action of n-BuLi attacks the carbonyl group of the aromatic aldehyde (ArCHO) to result in vinylbenzotriazoles 73, the hydrolysis of which affords 2-triazolylcinnamaldehydes 74 in high yields. Aldehydes 74 are used as synthons in the pyrazole synthesis.
In 2006 [24], a series of α-substituted acroleins (including α-NHBoc-2-alkenals) was obtained by mild α-methylenation of aldehydes in the presence of 10 mol% pyrrolidine/propionic acidic or 10 mol% L-pro-β-Ala. The reaction proceeds chemoselectively for 1–4 h at 45 °C to ensure 64–99% yields of the functionalized α-substituted acroleins. A year later, the authors optimized the reaction conditions using a combination of pyrrolidine and a weak acid co-catalyst (p-dimethylaminobenzoic acid) [25] that significantly shortened the reaction time. For instance, 2-aminosubstituted aldehyde is prepared for 15 min in 98% yield. Formerly, similar 2-substituted aldehydes 16, 17 are synthesized by the above methodology (Scheme 4, Section 2.1).
2.5. α-Halosubstituted α,β-Unsaturated Aldehydes
Halovinyl aldehydes hold a prominent place in organic chemistry as valuable building blocks for the targeted design of linear and heterocyclic systems [87]. Therefore, the development of new methods for the preparation of these compounds remains an urgent challenge.
Most often, α-chloro- and α-bromosubstituted α,β-unsaturated aldehydes are obtained via halogenation of the corresponding α,β-unsaturated aldehydes followed by dehydrohalogenation. Di- and triethylamine are used as HHal acceptors. However, yields of the target products reach only 36–68% [88,89]. On the other hand, it was shown that bromination/dehydrobromination of E-hexenal at 0–5 °C afforded (Z)-2-bromohex-2-enal in a quantitative yield [90].
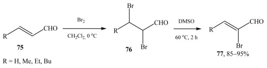
In 2007, Li et al. [91] obtained 2-bromopropenals 77 by bromination of α,β-unsaturated aldehydes 75 in the presence of dimethyl sulfoxide, which induced effective selective dehydrohalogenation of α,β-dihalo compounds 76 (Scheme 32).
Scheme 32.
Formation of 2-bromopropenals 77.
The two-stage reaction proceeds without alkalis under mild conditions. The process is facile and allows analogs of 2-bromopropenals to be prepared in high yields. The DMSO acts in the reaction as a reagent and a solvent. Among the existing protocols of dehydrohalogenation, this method appears to be the most expedient and environmentally benign.
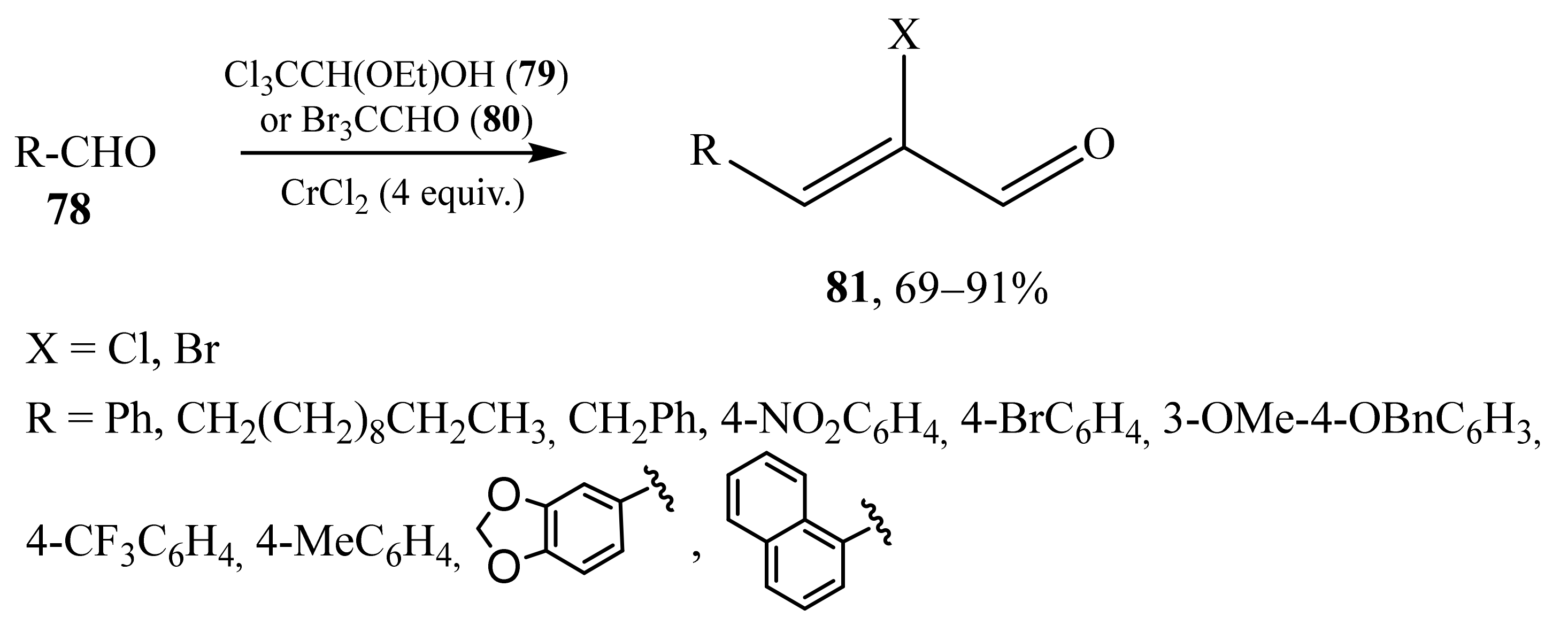
The CrCl2-mediated two-carbon halo-homologation of aryl, alkenyl, and aliphatic aldehydes 78 with chloral ethyl hemiacetal 79 or bromal 80 furnishes (Z)-α-chloro- and (Z)-α-bromo-α,β-unsaturated aldehydes 81 in good yields and high stereoselectivity [92] (Scheme 33).
Scheme 33.
The CrCl2-mediated two-carbon halo-homologation of aldehydes 78.
According to the reaction mechanism, CrCl2 as a multiple one-electron reductant generates chromium(III)-enolate A from chloral/bromal, which is intercepted by the aldehyde (Scheme 34). The Reformatsky-type adduct B further undergoes the reductive metalation with concomitant E2-elimination to give the target α-Cl(Br)propenal 81.
Scheme 34.
A tentative mechanism of the reaction halo-homologation of aldehydes.
The method is applicable to the synthesis of (Z)-2-chloropentadec-2-enal, a toxin isolated from the marine red alga Laurencia flexilis. It is important that the reaction tolerates a variety of functional groups.
Das et al. [93] successfully elaborated an efficient chemoselective general procedure for the synthesis of 3-aryl(hetaryl)substituted 2-bromopropenals 83 from enals 82 through an unprecedented PPh3·HBr-DMSO mediated oxidative bromination followed by the Kornblum oxidation, yields of the products being from moderate to good (Scheme 35).
Scheme 35.
Synthesis of 3-aryl(hetaryl)substituted 2-bromopropenals 83 from enals 82.
The mechanism of the transformation likely involves the initial oxidative dibromination of the olefinic double bond, followed by substitution of the bromine atom at the β-position by DMSO to generate alkoxysulfonium intermediate. Finally, elimination of the hydrogen atom leads to dehydrobromination. Alternatively, the intermediate bromonium derivative eliminates a proton from the α-carbon atom to directly give the product. The synthesis of such aromatic α-bromoenal derivatives generally comprises two steps, requires highly corrosive and toxic Br2, followed by base treatment. Therefore, one-stage protocol using the system PPh3•HBr-DMSO is an efficient alternative to the existing methods.
It is well known that the introduction of fluorine atoms into organic molecules often drastically changes chemical properties and biological activity of the parent compounds [94]. Over the last decade, fluorinated compounds attract noticeable interest. Due to the unique combination of physical-chemical and biological properties, achieved by incorporation of fluorine or perfluoroalkyl groups (usually CF3) in an organic molecule, fluorinated compounds find widespread application in design of new materials, agrochemicals, and drugs [95].
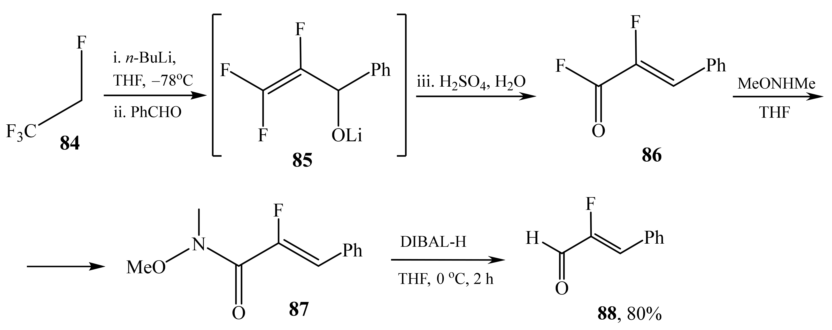
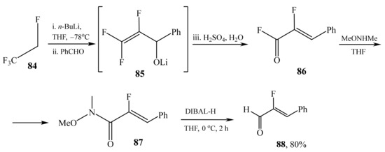
α-Fluorosubstituted α,β-unsaturated aldehydes has been synthesized by the reduction in 2-halogenated nitrosyl and ester functional groups with DIBAL-H in THF/Et2O to give aldehydes. Kanai et al. [96] affected stereoselective synthesis of 3-phenyl-2-fluoro-2-propenal (88) from the available 1,1,1,2-tetrafluoroethane (HFC-134a) (84) (Scheme 36).
Scheme 36.
Synthesis of 3-phenyl-2-fluoro-2-propenal 88 from HFC-134a (84).
The reactions sequence includes dehydrofluorination/metallation of 84 upon treatment with n-butyllithium in THF. Then, the organolithium adduct is added to the carbonyl group of benzaldehyde. Hydrolysis of 85 by H2SO4 gives acyl fluoride 86, which is aminated with methoxymethylamine to deliver enamide 87. The latter is reduced with diisobutylaluminum hydride (DIBAL-H) to produce 3-phenyl-2-fluoro-2-propenal (88) in high yield.
The obvious benefit of the process is that it proceeds as a two-pot sequence, without isolation of the intermediate products and with formation of only one Z-isomer.
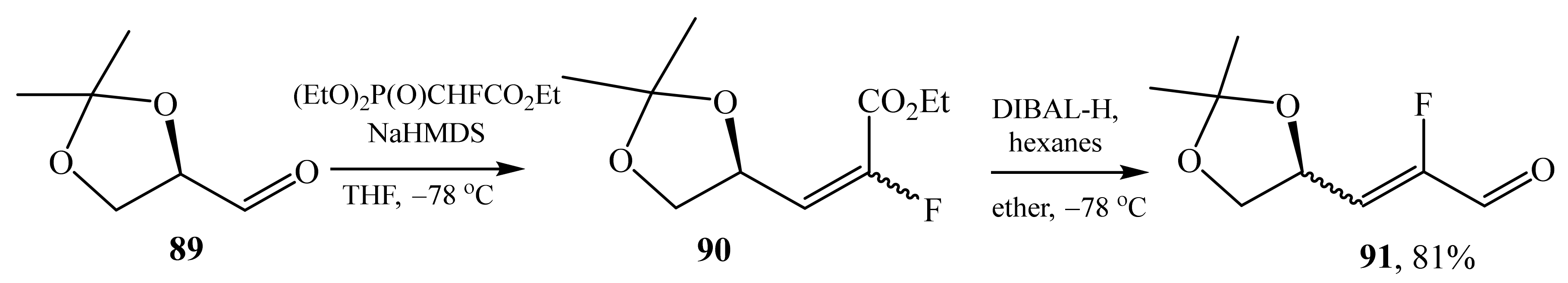
In 2002, Chu et al. [97] developed a method for the synthesis of original α-fluoroenal 91 from 1,2-O-isopropylidene-D-glyceraldehyde (89) (Scheme 37).
Scheme 37.
Synthesis of α-fluoroenal 91 from 1,2-O-isopropylidene-D-glyceraldehyde.
1,2-O-Isopropylidene-D-glyceraldehyde (89) reacted with diethyl α-fluorophosphonoacetate to give a mixture of fluoroesters in a 9:1 ratio, the (E)-isomer being predominant. The treatment of 90 with DIBAL-H/hexanes affords α-fluorosubstituted α,β-unsaturated aldehyde 91 as a mixture of the (E)- and (Z)-isomers. The isomers are separated by flash silica gel column chromatography. The (E)-3-[(S)-2,2-dimethyl-(1,3)-dioxolan-4-yl]-2-fluoro-propenal (91) is used as a synthon in preparation of D- and L -series of 3ʹ-fluorosubstituted pyranosyl nucleosides.
Later, Yoshimatsu and coworkers [98] synthesized 2-fluoroalkenals 94 from β-ethoxy-α-fluoro-α-(phenylselanyl)ethene (92) specially prepared by a multistage procedure (Scheme 38).
Scheme 38.
Lewis acid-catalyzed α-fluoroformylalkenylation of aldehyde acetals.
Ethene 92 is successfully utilized in the Lewis acid-catalyzed α-fluoroformylalkenylation of non-enolizable aldehyde acetals 93 to provide α,β-unsaturated aldehydes 94 in moderate yields.
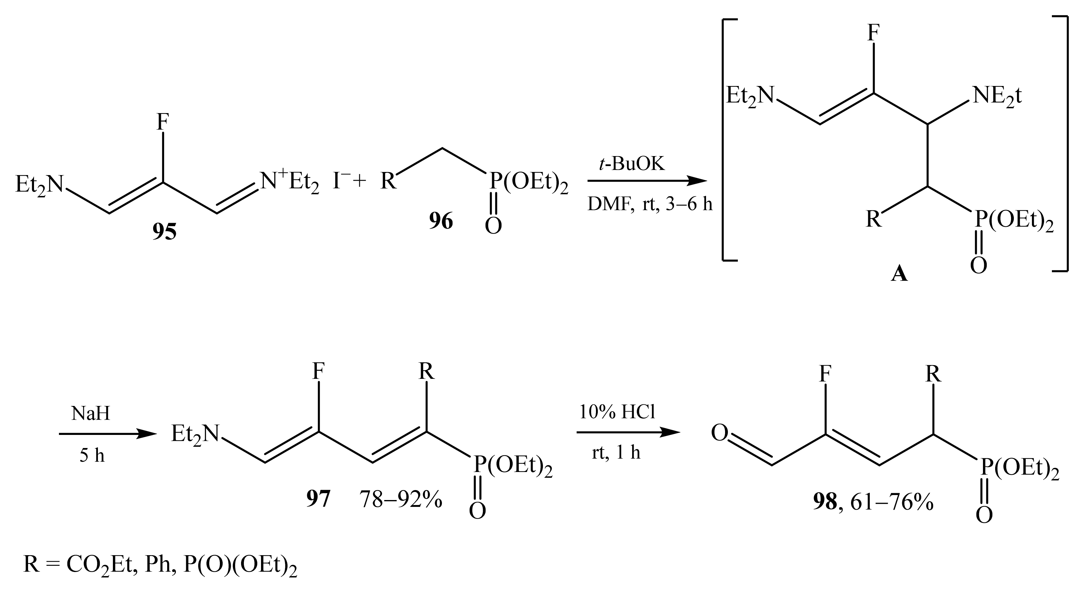
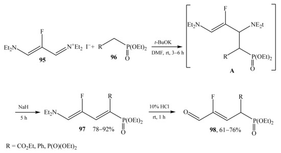
The reaction of β-fluorovinamidinium salt 95 with the Horner–Wadsworth–Emmons reagents 96 proceeds under basic conditions to furnish fluorinated 1,3-butadienyl phosphonates 97. The substrate 97 is hydrolyzed with a 10% HCl aqueous solution to afford the corresponding γ-(diethylphosphono)-α-fluoro-α,β-unsaturated aldehydes 98 in good yields (Scheme 39) [99].
Scheme 39.
Synthesis of phosphonate-containing α-fluorinated α,β-unsaturated aldehydes 98.
The stereoconvergent Pd-catalyzed formylation of (E/Z)-β-bromo-β-fluorostyrene mixtures with carbon monoxide and sodium formate was implemented. Under the optimized conditions, the corresponding pure (Z)-α-fluorocinnamaldehydes 100 are obtained in good yields [100] (Scheme 40).
Scheme 40.
PdCl2(PPh3)2-catalyzed reaction of β-bromo-β-fluorostyrene 99 with CO and HCOONa.
Recently, Zhu et al. [101] developed a unique domino reaction of enolizable aldehydes 101a,b with Me3SiCF2Br (TMSCF2Br) 102 to construct α-fluoroenals 103a,b. (Scheme 41).
Scheme 41.
Catalytic domino reactions of aldehydes 101a,b with TMSCF2Br.
A tentative reaction mechanism is depicted in Scheme 42. The reaction involves in situ formation of difluorocarbene (step a) and silyl enolether A (step b), difluorocyclopropanation (step c), desilylation, ring-opening, and defluorination (step d). In this tandem reaction, Me3SiCF2Br acts not only as a difluorocarbene source, but also as a TMS transfer agent, as well as internal bromide and fluoride anion catalyst. It enables a smooth transformation in the presence of only catalytic amounts of n-Bu4NBr as an initiator. The cascade reaction proceeds mildly to give 103 and catalyzed by n-Bu4NBr (TBAB) to initially activate TMSCF2Br (Scheme 42, catalytic cycle I). In many cases, it is assisted by an external fluoride anion to accelerate desilylation of the target cyclic trimethylsilyl ether intermediate B (Scheme 42, catalytic cycle II).
Scheme 42.
Mechanism of domino reaction of aldehydes with TMSCF2Br.
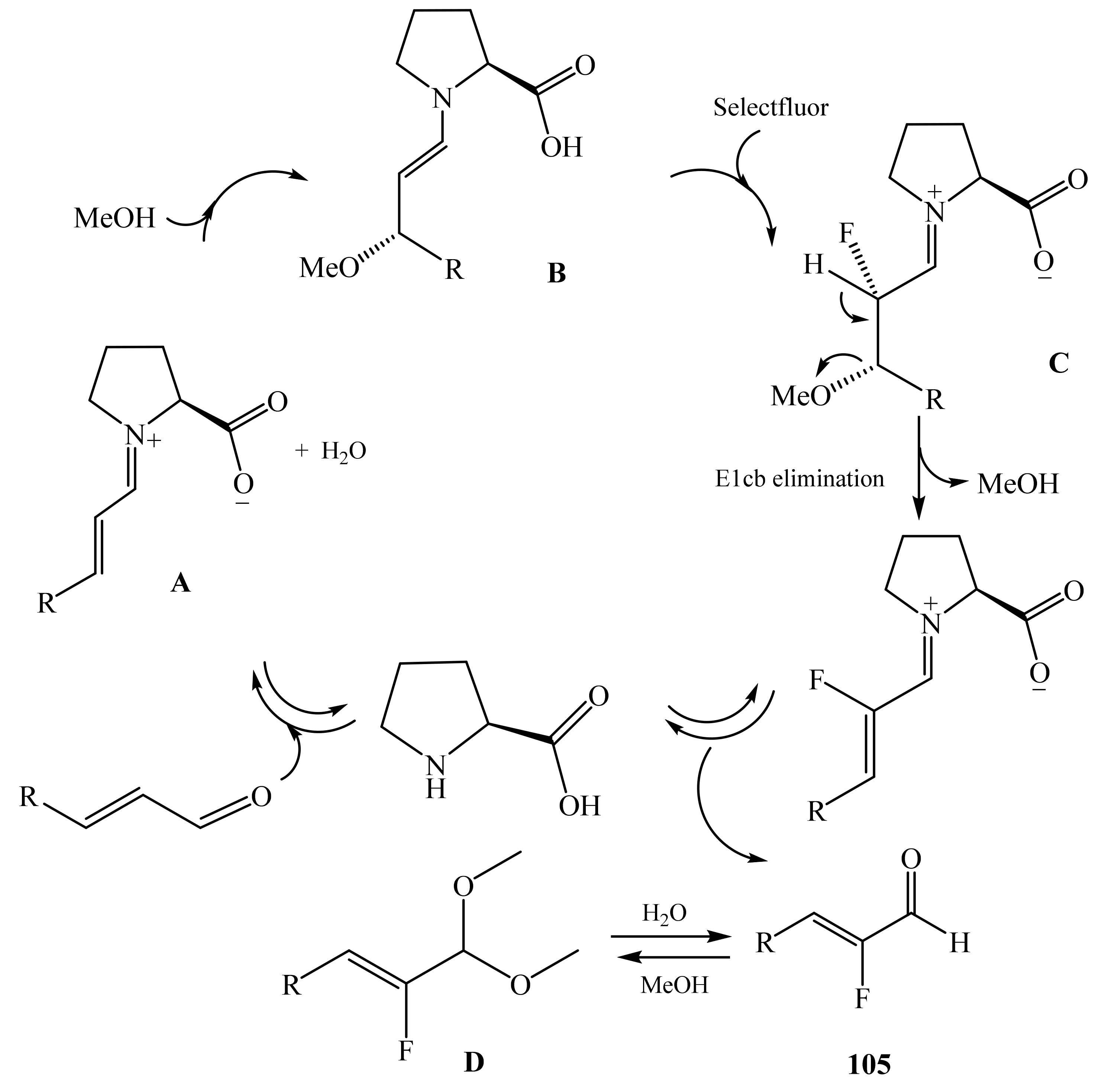
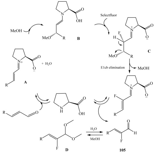
A one-pot, two-step L-proline-mediated stereoselective α-C(sp2)-H fluorination of α,β-unsaturated aldehydes 104 to deliver the corresponding (Z)-α-fluoro-α,β-unsaturated aldehydes 105 (Scheme 43) was documented in 2017 [102].
Scheme 43.
Synthesis of α-fluoro aldehydes 105.
At the first step, Selectfluor was employed as a fluorinating agent in the CH3NO2/MeOH system to form the (Z)-α-fluoro-α,β-unsaturated aldehydes and their corresponding dimethyl acetals through methoxyfluorination-elimination. At the second step, water is added to promote the hydrolytic cleavage of the dimethyl acetals.
Possible mechanism of the cascade reaction of asymmetric methoxyfluorination-elimination is shown in Scheme 44. The action of L-proline on aldehyde 104 generates the activated iminium A. The latter undergoes oxa-Michael addition of MeOH to give chiral enamine B. The reaction of enamine B with Selectfluor produces the α-fluoro-β-methoxy iminium species C. At last, the elimination of MeOH affords the (Z)-α-fluoro-α,β-unsaturated aldehyde 105 and the corresponding dimethyl acetal D. After complete fluorination, the addition of water promotes the hydrolytic cleavage of dimethyl acetal D.
Scheme 44.
Possible mechanism of the cascade reaction of asymmetric methoxyfluorination-elimination.
The obtained (Z)-α-fluoro-α,β-unsaturated aldehydes 105 can be smoothly reduced to the corresponding alcohols by NaBH4. This method represents an expedient, facile, and mild synthetic approach to 2-fluoropropenal and 2-fluoropropenol, which are important structural units in biologically active molecules.
3. Conclusions
Summarizing the available literature data on the synthesis of α-functionally substituted α,β-unsaturated aldehydes, it can be concluded the classical approach to the preparation of such aldehydes via aldol condensation is still widely employed. The main shortcoming of this approach is the high probability of side processes, especially in the case of different enolizable carbonyl compounds. In this regard, considerable efforts are focused on the development of chemo- and stereoselective methods for the preparation of α-substituted alkenals.
High selectivity can be achieved using the Mannich condensation with the participation of aliphatic aldehydes and non-enolizable aldehydes in the presence of secondary amines, which act as organic catalysts generating a Mannich base in situ. Such reactions have a number of benefits, including mild conditions, high selectivity and yields, and one-pot procedure.
It should be underlined that, as α- functionally substituted α,β-unsaturated aldehydes are heterodienes, they can be obtained with high chemoselectivity via the retro-Diels–Alder reaction. In addition, other efficient and promising methods comprise various cascade transformations that combine functionalization and elimination involving aldehydes (including those already unsaturated) or their synthetic equivalents. To some extent, the lack of generality reduces the significance of these methods. Nevertheless, they continue to be developed. The application of new catalysts, two-phase systems, ionic liquids, or solvent-free protocols arouses ever-increasing interest. In addition, microwave assistance is an expedient and convenient tool to increase the yields and shorten the reaction time.
Additionally, it may be inferred that the synthetic chemistry of α-functionally substituted alkenals is rather rich, though it remains poorly studied. It is important that among functionalized unsaturated aldehydes there have been found representatives that are structurally similar to the naturally occurring compounds. This fact allows the regularities of chemical transformations that are inherent in natural substrates to be established.
Therefore, it can be expected that the generalization of information on the methods for the synthesis of α-substituted α,β-unsaturated aldehydes will contribute to the further development of chemistry of these valuable reagents, biologically active substances, ligands, and promising materials.
Author Contributions
E.A.V., N.V.V. and I.B.R. contributed to the review. E.A.V. conceived the paper, designed the thematic, they all wrote and finalized the paper. All authors have read and agreed to the published version of the manuscript.
Funding
This research received no external funding.
Institutional Review Board Statement
Not applicable.
Informed Consent Statement
Not applicable.
Data Availability Statement
Not applicable.
Conflicts of Interest
The authors declare no conflict of interest.
References
- Keiko, N.A.; Vchislo, N.V. Synthesis of diheteroatomic five-membered heterocyclic compounds from α,β-unsaturated aldehydes. Asian J. Org. Chem. 2016, 5, 1169–1197. [Google Scholar] [CrossRef]
- Keiko, N.A.; Vchislo, N.V. α,β-Unsaturated aldehydes in the synthesis of five-membered heterocyclic compounds with one heteroatom: Recent advances from developments in metal- and organocatalysis. Asian J. Org. Chem. 2016, 5, 439–461. [Google Scholar] [CrossRef]
- Vchislo, N.V.; Verochkina, E.A. Recent advances in total synthesis of alkaloids from α,β-unsaturated aldehydes. ChemistrySelect 2020, 5, 9579–9589. [Google Scholar] [CrossRef]
- Kim, H.; Ralph, J.; Lu, F.; Ralph, S.A. NMR analysis of lignins in CAD-deficient plants. Incorporation of hydroxycinnamaldehydes and hydroxybenzaldehydes into lignins. Org. Biomol. Chem. 2003, 1, 268–281. [Google Scholar] [CrossRef] [PubMed]
- Sy, L.K.; Brown, G.D. Coniferaldehyde derivatives from tissue culture of Artemisia annua and Tanacetum parthenium. Phytochemistry 1999, 50, 781–785. [Google Scholar] [CrossRef]
- Yamamoto, M.; Blaschek, L.; Subbotina, E.; Kajita, S.; Pesquet, E. Importance of lignin coniferaldehyde residues for plant properties and sustainable uses. ChemSusChem 2020, 13, 4400–4408. [Google Scholar] [CrossRef]
- Ralph, J.; Lapierre, C.; Boerjan, W. Lignin structure and its engineering. Curr. Opin. Biotechnol. 2019, 56, 240–249. [Google Scholar] [CrossRef]
- Boerth, D.W.; Eder, E.; Hussain, S.; Hoffman, C. Structures of acrolein-guanine adducts: A semi-empirical self-consistent field and nuclear magnetic resonance spectral study. Chem. Res. Toxicol. 1998, 11, 284–294. [Google Scholar] [CrossRef]
- Jose, T.; Sudheesh, N.; Shukla, R.S. Amino functionalized chitosan as a catalyst for selective solvent-free self-condensation of linear aldehydes. J. Mol. Catal. A Chem. 2010, 333, 158–166. [Google Scholar] [CrossRef]
- Keiko, N.A.; Voronkov, M.G. Methods of synthesis of acrolein and its α-substituted derivatives. Russ. Chem. Rev. 1993, 62, 751–767. [Google Scholar] [CrossRef]
- Mackie, P.R.; Forester, C.E. Aldehydes: α,β-Unsaturated Aldehydes in Comprehensive Organic Functional Group Transformations II; Katritzky, A.R., Taylor, R.J.K., Eds.; Elsevier: Amsterdam, The Netherlands, 2003; Volume 2, Chapter 3.02; pp. 60–89. [Google Scholar]
- Rulev, A.Y. Captodative aminoalkenes. Russ. Chem. Rev. 2002, 71, 195–221. [Google Scholar] [CrossRef]
- Verochkina, E.A. Methods for synthesis of α-alkyl α,β-unsaturated aldehydes. Mini Rev. Org. Chem. 2020, 17, 539–545. [Google Scholar] [CrossRef]
- Fyjita, E.; Nagao, Y. Tumor inhibitors having potential for interaction with mercapto enzymes and/or coenzymes. Bioorg. Chem. 1977, 6, 287–309. [Google Scholar] [CrossRef]
- Keiko, N.A.; Stepanova, L.G.; Voronkov, M.G.; Potapova, G.I.; Gudratov, O.N.; Treshchalina, E.M. Synthesis, DNA-inhibiting activity, and antitumor activity of 2-formyl-2,5-dimethoxy-2,3-dihydro-4H-pyran thiosemicarbazone, a related ethyl analog, and a copper complex. Pharm. Chem. J. 2002, 36, 407–409. [Google Scholar] [CrossRef]
- Kalapos, M.P. Methylglyoxal in living organisms: Chemistry, biochemistry, toxicology and biological implications. Toxicol. Lett. 1999, 110, 145–175. [Google Scholar] [CrossRef]
- Keiko, N.A.; Mamashvili, T.N. New syntheses of the bis-guanylhydrazone and bis-thiosemicarbazone of methylglyoxal. Pharm. Chem. J. 2005, 39, 82–83. [Google Scholar] [CrossRef]
- Mamashvili, T.N.; Keiko, N.A.; Sarapulova, G.I.; Voronkov, M.G. Hydrolysis of 2-alkoxyalk-2-enals. Russ. Chem. Bull. 1998, 47, 2465–2467. [Google Scholar] [CrossRef]
- Brimble, M.A.; Nairn, M.R.; Park, J.S.O. A titanium naphtholate approach for the synthesis of analogues of griseusin A. J. Chem. Soc. Perkin Trans. 1 2000, 5, 697–709. [Google Scholar] [CrossRef]
- Van Hooft, P.A.V.; Litjens, R.E.J.N.; van der Marel, G.A.; van Boeckel, C.A.A.; van Boom, J.H. Stereoselective transformations on D-glucose-derived eight-membered ring carbocycles. Org. Lett. 2001, 3, 731–733. [Google Scholar] [CrossRef]
- Paintner, F.F.; Metz, M.; Bauschke, G. A new, general entry to 3,5-unsubstituted 4-O-alkyl tetramates. Synthesis 2002, 7, 869–874. [Google Scholar] [CrossRef]
- Matiadis, D. Metal catalyzed and metal-mediated approaches to the synthesis and functionalization of tetramic acids. Catalysts 2019, 9, 50. [Google Scholar] [CrossRef]
- Panduwawala, T.D.; Iqbal, S.; Thompson, A.L.; Genov, M.; Pretsch, A.; Pretsch, D.; Liu, S.; Ebright, R.; Howells, A.; Maxwelld, A.; et al. Functionalised bicyclic tetramates derived from cysteine as antibacterial agents. Org. Biomol. Chem. 2019, 17, 5615–5632. [Google Scholar] [CrossRef]
- Erkkilä, A.; Pihko, P.M. Mild organocatalytic α-methylenation of aldehydes. J. Org. Chem. 2006, 71, 2538–2541. [Google Scholar] [CrossRef]
- Erkkilä, A.; Pihko, P.M. Rapid organocatalytic aldehyde-aldehyde condensation reactions. Eur. J. Org. Chem. 2007, 4205–4216. [Google Scholar] [CrossRef]
- Shibata, M.; Fuchigami, R.; Kotaka, R.; Namba, K.; Tanino, K. Acid-catalyzed [4+3] cycloaddition reaction of N-nosyl pyrroles. Tetrahedron 2015, 71, 4495–4499. [Google Scholar] [CrossRef]
- Sasaki, T.; Ishibashi, Y.; Ohn, M. Catalyzed cycloaddition reactions of α-silyloxy-α,β-unsaturated ketone and aldehyde. Tetrahedron Lett. 1982, 23, 1693–1696. [Google Scholar] [CrossRef]
- Harmata, M.; Sharma, U. Synthesis and some cycloaddition reactions of 2-(triisopropylsilyloxy)acrolein. Org. Lett. 2000, 2, 2703–2705. [Google Scholar] [CrossRef]
- Aungst, R.A.; Funk, R.L. Stereoselective preparation of (Z)-2-(trialkylsilyloxy)-2-alkenals by retrocycloaddition reactions of 4H-4-alkyl-5-(trialkylsilyloxy)-1,3-dioxins. Useful reactants for Lewis acid catalyzed [4+3] cyclizations. Org. Lett. 2001, 3, 3553–3555. [Google Scholar] [CrossRef]
- Nilson, M.G.; Funk, R.L. Total synthesis of (±)-Cortistatin J from furan. J. Am. Chem. Soc. 2011, 133, 12451–12453. [Google Scholar] [CrossRef]
- Funk, R.L.; Yost, K.J., III. Preparation and Diels-Alder cycloaddition of 2-acyloxyacroleins. Facile synthesis of functionalized Taxol A-synthons. J. Org. Chem. 1996, 61, 2598–2599. [Google Scholar] [CrossRef]
- Ishihara, K.; Nakano, K. Enantioselective [2+2] cycloaddition of unactivated alkenes with α-acyloxyacroleins catalyzed by chiral organoammonium salts. J. Am. Chem. Soc. 2007, 129, 8930–8931. [Google Scholar] [CrossRef]
- Ishihara, K.; Nakano, K. Design of an organocatalyst for the enantioselective Diels–Alder reaction with α-acyloxyacroleins. J. Am. Chem. Soc. 2005, 127, 10504–10505. [Google Scholar] [CrossRef]
- Sakakura, A.; Suzuki, K.; Nakano, K.; Ishihara, K. Chiral 1,1′-binaphthyl-2,2′-diammonium salt catalysts for the enantioselective Diels–Alder reaction with α-acyloxyacroleins. Org. Lett. 2006, 8, 2229–2232. [Google Scholar] [CrossRef]
- Sakakura, A.; Ishihara, K. Organoammonium salt-catalyzed Enantioselective cycloaddition reactions with α-(acyloxy)- or α-diacylaminoacroleins. Bull. Chem. Soc. Jpn. 2010, 83, 313–322. [Google Scholar] [CrossRef]
- Hayashi, Y.; Bondzic, B.P.; Yamazaki, T.; Gupta, Y.; Ogasawara, S.; Taniguchi, T.; Monde, K. Asymmetric Diels–Alder reaction of α-substituted and β,β-disubstituted α,β-enals via diarylprolinol silyl ether for the construction of all-carbon quaternary stereocenters. Chem. Eur. J. 2016, 22, 15874–15880. [Google Scholar] [CrossRef]
- Sakakura, A.; Yamada, H.; Ishihara, K. Enantioselective Diels-Alder reaction of α-(acylthio)acroleins: A new entry to sulfur-containing chiral quaternary carbons. Org. Lett. 2012, 14, 2972–2975. [Google Scholar] [CrossRef]
- Ishihara, K.; Yamada, H.; Akakura, M. An enantioselective Diels–Alder reaction of 1,2-dihydropyridines with α-acyloxyacroleins catalyzed by a chiral primary ammonium salt. Chem. Commun. 2014, 50, 6357–6360. [Google Scholar] [CrossRef]
- Lin, J.-H.; Xiao, J.-C. Emerging Fluorinated Motifs, 2 Volume Set: Synthesis, Properties and Applications; Cahard, D., Ma, J.-A., Eds.; John Wiley & Sons: Hoboken, NJ, USA, 2020; p. 872. [Google Scholar]
- Kase, K.; Katayama, M.; Konno, T.; Ishihara, T.; Yamanaka, H.; Gupton, J.T. Reaction of β-trifluoroethoxy vinamidinium salts with carbon nucleophiles. J. Fluor. Chem. 2003, 120, 33–39. [Google Scholar] [CrossRef]
- Keiko, N.A.; Stepanova, L.G.; Verochkina, E.A.; Larina, L.I. Synthesis and properties of 2-alkoxy- and 2-alkylthio-3-aryl(hetaryl)propenals. Arkivoc 2010, II, 49–60. [Google Scholar] [CrossRef]
- Robert, F.; Heritier, J.; Quiquerez, J.; Simian, H.; Blank, I. Synthesis and sensorial properties of 2-alkylalk-2-enals and 3-(acetylthio)-2-alkyl alkanals. J. Agric. Food. Chem. 2004, 52, 3525–3529. [Google Scholar] [CrossRef] [PubMed]
- Casalea, M.T.; Richmana, A.R.; Elroda, M.J.; Garland, R.M.; Beaver, M.R.; Tolbert, M.A. Kinetics of acid-catalyzed aldol condensation reactions of aliphatic aldehydes. Atmos. Environ. 2007, 41, 6212–6224. [Google Scholar] [CrossRef]
- Mandal, S.; Mandal, S.; Ghosh, S.K.; Ghosh, A.; Saha, R.; Banerjies, S.; Saha, B. Review of the aldol reaction. Synth. Commun. 2016, 46, 1327–1342. [Google Scholar] [CrossRef]
- Vchislo, N.V.; Fedoseeva, V.G.; Novokshonov, V.V.; Larina, L.I.; Rozentsveig, I.B.; Verochkina, E.A. Synthesis of new alkoxy/alkylthiovinylated oxazoles using tosylmethyl isocyanide. Mendeleev Commun. 2020, 30, 350–351. [Google Scholar] [CrossRef]
- Sakakura, A.; Yamada, H.; Ishihara, K. α-Heterosubstituted β-alkylacroleins as useful multisubstituted dienophiles for enantioselective Diels–Alder reactions. Asian J. Org. Chem. 2012, 1, 133–137. [Google Scholar] [CrossRef]
- Clayden, J.; MacLellan, P. Asymmetric synthesis of tertiary thiols and thioethers. Beilstein J. Org. Chem. 2011, 7, 582–595. [Google Scholar] [CrossRef]
- Da Silva, F.J.R.; Williams, R.J.P. The Biological Chemistry of the Elements; Oxford University Press: New York, NY, USA, 2001. [Google Scholar]
- Feng, J.; Lu, G.; Lv, M.; Cai, C. Palladium-catalyzed odorless one-pot synthesis of vinyl sulfides from organohalides, thiourea, and alkynes. Asian J. Org. Chem. 2014, 3, 77–81. [Google Scholar] [CrossRef]
- Ilardi, E.A.; Vitaku, E.; Njardarson, J.T. Data-mining for sulfur and fluorine: An evaluation of pharmaceuticals to reveal opportunities for drug design and discovery. J. Med. Chem. 2014, 57, 2832–2842. [Google Scholar] [CrossRef]
- Arroyo, Y.; Carreno, M.C.; Ruano, J.L.G.; Amo, J.F.R.; Santos, M.; Tejedor, M.A.S. Synthesis and photooxygenation of (S)-p-tolylsulfinylfuran derivatives. Tetrahedron Asymmetry 2000, 11, 1183–1191. [Google Scholar] [CrossRef]
- Silvestri, M.G.; Wong, C.-H. Opening of triiranes: Preparation of orthogonal protected 2-thioglyceraldehyde. J. Org. Chem. 2001, 66, 910–914. [Google Scholar] [CrossRef]
- He, L.; Guo, H.; Li, Y.-Z.; Du, G.-F.; Dai, B. N-heterocyclic carbene-catalyzed formal cross-coupling reaction of α-haloenals with thiols: Organocatalytic construction of sp2 carbon–sulfur bonds. Chem. Commun. 2014, 50, 3719–3721. [Google Scholar] [CrossRef]
- Movassaghi, M.; Schmidt, M.A. N-Heterocyclic carbene-catalyzed amidation of unactivated esters with amino alcohols. Org. Lett. 2005, 7, 2453–2456. [Google Scholar] [CrossRef]
- Phillips, E.M.; Riedrich, M.; Scheidt, K.A. N-Heterocyclic carbene-catalyzed conjugate additions of alcohols. J. Am. Chem. Soc. 2010, 132, 13179–13181. [Google Scholar] [CrossRef]
- Kang, Q.; Zhang, Y. N-Heterocyclic carbene-catalyzed aza-Michael addition. Org. Biomol. Chem. 2011, 9, 6715–6720. [Google Scholar] [CrossRef] [PubMed]
- Song, X.; Song, A.; Zhang, F.; Li, H.; Wang, W. Direct stereoselective α-arylation of unmodified enals using an organocatalytic cross-coupling-like reaction. Nat. Commun. 2011, 2, 524–533. [Google Scholar] [CrossRef]
- Kondrashov, E.V.; Romanov, A.R.; Ushakov, I.A.; Rulev, A.Y. Alkyl-and arylsulfanylsubstituted unsaturated carbonyl compounds. J. Sulfur Chem. 2017, 38, 18–33. [Google Scholar] [CrossRef]
- Guo, C.-H.; Chen, D.-Q.; Chen, S.; Liu, X.-Y. Synthesis of tetrasubstituted α,β-unsaturated aldehydes via radical 1,4-aryl migration/trifluoromethylthiolation cascade reaction of aryl propynyl ethers. Adv. Synth. Catal. 2017, 359, 2901–2906. [Google Scholar] [CrossRef]
- Zhang, G.; Liu, Y.; Zhao, J.; Li, Y.; Zhang, Q. Radical cascade reactions of unsaturated C–C bonds involving migration. Sci. China Chem. 2019, 62, 1476–1491. [Google Scholar] [CrossRef]
- Guerrero, P.G.; Dabdoub, M.J.; Baroni, A.C.M. Hydroalumination of selenoacetylenes: A versatile generation and reactions of α-aluminate vinyl selenide intermediates in the highly regio- and stereoselective synthesis of telluro(seleno)ketene acetals. Tetrahedron Lett. 2008, 49, 3872–3876. [Google Scholar] [CrossRef]
- Perin, G.; Lenardão, E.J.; Jacob, R.G.; Panatieri, R.B. Synthesis of vinyl selenides. Chem. Rev. 2009, 109, 1277–1301. [Google Scholar] [CrossRef] [PubMed]
- Yoshimatsu, M.; Oguri, K.; Ikeda, K.; Gotoh, S. The first example of the 1-chalcogene-substituted formylolefination of the ketones and aldehydes using 1-lithio-2-ethoxyvinyl chalcogenides. J. Org. Chem. 1998, 63, 4475–4480. [Google Scholar] [CrossRef]
- Lerouge, P.; Paulmier, C. Synthese D’α-hydroxyallenes α-fonctionnalises a partir D’α-phenylselenoenals. Tetrahedron Lett. 1984, 25, 1987–1990. [Google Scholar] [CrossRef]
- Paulmier, C.; Outurquin, F.; Plaquevent, J.-C. Enantioselective α-selenenylation of 2-phenylpropanal. Tetrahedron Lett. 1988, 29, 5889–5891. [Google Scholar] [CrossRef]
- Uneyama, K.; Takano, K.; Torii, S. Electrochemical hydroxyselenenylation as a new method for one-step preparation of α-arylseleno-α,β-unsaturated aldehydes from 3-hydroxyalkynes. Tetrahedron Lett. 1982, 1161–1164. [Google Scholar] [CrossRef]
- Dabdoub, M.J.; Begnini, M.L.; Guerrero, P.G.; Baroni, A.C.M. Hydrozirconation of lithium alkynylselenolate anions. Generation and reactions of α-zirconated vinyl selenide intermediates. J. Org. Chem. 2000, 65, 61–67. [Google Scholar] [CrossRef] [PubMed]
- Silveira, C.C.; Perin, G.; Braga, A.L.; Dabdoub, M.J.; Jacob, R.G. Phenyltelluroacrylonitriles and phenylselenoacrylonitriles as precursors of (Z)-α-phenylseleno-α,β-unsaturated aldehydes, β-amino-α-phenylselenonitriles and Diels–Alder adducts. Tetrahedron 2001, 57, 5953–5959. [Google Scholar] [CrossRef]
- Katritzky, A.R.; Toader, D.; Chassaing, C.; Aslan, D.C. Masked 2-arylacroleins: Versatile three-carbon units for organic synthesis. J. Org. Chem. 1999, 64, 6080–6084. [Google Scholar] [CrossRef]
- Dumanski, P.G.; Florey, P.; Knettig, M.; Smallridge, A.J.; Trewhella, M.A. The baker’s yeast-mediated reduction of conjugated methylene groups in an organic solvent. J. Mol. Catal. B Enzym. 2001, 11, 905–908. [Google Scholar] [CrossRef]
- Thompson, C.D.; Miller, T.A.; Barthen, M.T.; Dieckhaus, C.M.; Sofia, R.D.; Macdonald, T.L. The synthesis, in vitro reactivity, and evidence for formation in humans of 5-phenyl-1,3-oxazinane-2,4-dione, a metabolite of Felbamate. Drug Metab. Dispos. 2000, 28, 434–439. [Google Scholar]
- Dieckhaus, C.M.; Roller, S.G.; Santos, W.L.; Sofia, R.D.; Macdonald, T.L. Role of glutathione S-transferases A1-1, M1-1, and P1-1 in the detoxification of 2-phenylpropenal, a reactive felbamate metabolite. Chem. Res. Toxicol. 2001, 14, 511–516. [Google Scholar] [CrossRef]
- Fearnley, S.P.; Funk, R.L.; Gregg, R.J. Preparation of 2-alkyl- and 2-acylpropenals from 5-(trifluoromethanesulfonyloxy)-4H-1,3-dioxin: A versatile acrolein α-cation synthon. Tetrahedron 2000, 56, 10275–10281. [Google Scholar] [CrossRef]
- Kitazume, T.; Nagura, H.; Koguchi, S. One step synthesis of 2-substituted 3-tri-(or di-)-fluoromethyl-2-propenalsin an ionic liquid. J. Fluor. Chem. 2004, 125, 79–82. [Google Scholar] [CrossRef]
- Lauer, M.G.; Henderson, W.H.; Awad, A.; Stambuli, J.P. Palladium-Catalyzed Reactions of Enol Ethers: Access to Enals, Furans, and Dihydrofurans. Org. Lett. 2012, 14, 6000–6003. [Google Scholar] [CrossRef]
- Mura, M.G.; Luca, L.D.; Taddei, M.; Williams, J.M.J.; Porcheddu, A. Synthesis of α,β-unsaturated aldehydes based on a one-pot phase-switch dehydrogenative cross-coupling of primary alcohols. Org. Lett. 2014, 16, 2586–2589. [Google Scholar] [CrossRef] [PubMed]
- Funk, R.L.; Belmar, J. Total synthesis of (±)-isophellibiline. Tetrahedron Lett. 2012, 53, 176–178. [Google Scholar] [CrossRef] [PubMed][Green Version]
- Kang, S.H.; Kang, S.Y.; Lee, H.-S.; Buglass, A.J. Total synthesis of natural tert-alkylamino hydroxy carboxylic acids. Chem. Rev. 2005, 105, 4537–4558. [Google Scholar] [CrossRef] [PubMed]
- Greshock, T.J.; Funk, R.L. Total synthesis of (±)-Lepadiformine via an amidoacrolein cycloaddition. Org. Lett. 2001, 3, 3511–3514. [Google Scholar] [CrossRef] [PubMed]
- Maeng, J.-H.; Funk, R.L. Total synthesis of (±)-Fasicularin via a 2-amidoacrolein cycloaddition. Org. Lett. 2002, 4, 331–333. [Google Scholar] [CrossRef]
- He, Y.; Funk, R.L. Total syntheses of (±)-β-Erythroidine and (±)-8-oxo-β-Erythroidine by an intramolecular Diels–Alder cycloaddition of a 2-amidoacrolein. Org. Lett. 2006, 8, 3689–3692. [Google Scholar] [CrossRef]
- Fuchs, J.R.; Funk, R.L. Intramolecular electrophilic aromatic substitution reactions of 2-amidoacroleins: A new method for the preparation of tetrahydroisoquinolines, tetrahydro-3-benzazepines, and hexahydro-3-benzazocines. Org. Lett. 2001, 3, 3349–3351. [Google Scholar] [CrossRef]
- Maeng, J.-H.; Funk, R.L. Total synthesis of the Immunosuppressant FR901483 via an amidoacrolein cycloaddition. Org. Lett. 2001, 3, 1125–1128. [Google Scholar] [CrossRef]
- Rulev, A.Y.; Fedorov, S.V.; Chuvashev, Y.A. Captodative formyl- and acyl(amino)alkenes containing a terminal double bond or a weakly basic tertiary amino group. Russ. J. Org. Chem. 2003, 39, 646–649. [Google Scholar] [CrossRef]
- Burk, M.J.; Johnson, N.B.; Lee, J.R. Asymmetric synthesis of β-amino alcohols and 1,2-diamines through DuPHOS-Rh catalyzed hydrogenation. Tetrahedron Lett. 1999, 40, 6685–6688. [Google Scholar] [CrossRef]
- Katritzky, A.R.; Vakulenko, A.V.; Akue-Gedu, R.; Gromova, A.V.; Witek, R.; Rogers, J.W. Regiospecific preparation of 1,4,5-trisubstituted pyrazoles from 2-(1H-1,2,3-benzotriazol-1-yl)-3-(4-aryl)-2-propenals. Arkivoc 2007, 2007, 9–21. [Google Scholar] [CrossRef]
- Brahma, S.; Ray, J.K. Halovinyl aldehydes: Useful tools in organic synthesis. Tetrahedron 2008, 64, 2883–2896. [Google Scholar] [CrossRef]
- Barlow, A.J.; Compton, B.J.; Weavers, R.T. Synthesis of the 3-methylene-2-vinyltetrahydropyran unit; the hallmark of the sesquiterpene, hodgsonox. J.Org. Chem. 2005, 70, 2470–2475. [Google Scholar] [CrossRef] [PubMed]
- Nicolaou, K.C.; Brenzovich, W.E.; Bulger, P.G.; Fransis, T.M. Synthesis of iso-epoxy-amphidinolide N and des-epoxy-caribenolide I structures. Initial forays. Org. Biomol. Chem. 2006, 4, 2119–2157. [Google Scholar] [CrossRef] [PubMed]
- Feutren, S.; McAlonan, H.; Montgomery, D.; Stevenson, P.J. Palladium catalysed formal 6-endo-trig approaches to pumiliotoxin alkaloid: Interception of the elusive cyclopropyl intermediate. J. Chem. Soc. Perkin Trans. 1 2000, 7, 1129–1137. [Google Scholar] [CrossRef]
- Li, W.; Li, J.; Wan, Z.-K.; Wu, J.; Massefski, W. Preparation of α-haloacrylate derivatives via dimethyl sulfoxide-mediated selective dehydrohalogenation. Org. Lett. 2007, 9, 4607–4610. [Google Scholar] [CrossRef]
- Barma, D.K.; Lu, B.; Baati, R.; Mioskowski, C.; Falck, J.R. Convenient preparation of (Z)-α-halo-α,β-unsaturated aldehydes: Synthesis of a Laurencia flexilis toxin. Tetrahedron Lett. 2008, 49, 4359–4361. [Google Scholar] [CrossRef]
- Mal, K.; Sharma, A.; Maulik, P.R.; Das, I. PPh3·HBr-DMSO Mediated expedient synthesis of γ-substituted β,γ-unsaturated α-ketomethylthioesters and α-bromo enals: Application to the synthesis of 2-methylsulfanyl-3(2H)-furanones. Chem. Eur. J. 2014, 20, 662–667. [Google Scholar] [CrossRef]
- Smart, B.E. Fluorine substituent effects (on bioactivity). J. Fluor. Chem. 2001, 109, 3–11. [Google Scholar] [CrossRef]
- Nenajdenko, V.G.; Muzalevskiy, V.M.; Shastin, A.V. Polyfluorinated ethanes as versatile fluorinated C2-building blocks for organic synthesis. Chem. Rev. 2015, 115, 973–1050. [Google Scholar] [CrossRef] [PubMed]
- Kanai, M.; Percy, J.M. Short, stereoselective synthesis of α-fluoroalkenoate derivatives, α-fluoroenones and α-fluorienals from HFC-134a. Tetrahedron Lett. 2000, 2453–2455. [Google Scholar] [CrossRef]
- Lee, K.; Zhou, W.; Kelley, L.-L.C.; Momany, C.; Chu, C.K. Synthesis of unsaturated fluoride containing D- and L-pyranosyl nucleosides. Tetrahedron Asymmetry 2002, 13, 1589–1598. [Google Scholar] [CrossRef]
- Hatanaka, F.; Tsuchiya, M.; Yoshimatsu, M. The First synthesis and reaction of β-ethoxy-α-fluoro-α-(phenyl-selanyl)ethene: Scandium or lanthanum triflate catalyzed α-fluoroformylalkenylation of aldehydes. Synlett 2005, 14, 2191–2194. [Google Scholar] [CrossRef]
- Arimitsu, S.; Konno, T.; Gupton, J.T.; Ishihara, T.; Yamanaka, H. Synthetic application of fluorinated vinamidinium salts: Synthesis of fluorinated 1,3-butadienylphosphonates by the reaction with Horner–Wadsworth–Emmons reagents. J. Fluor. Chem. 2006, 127, 1235–1241. [Google Scholar] [CrossRef]
- Zemmouri, R.; Kajjout, M.; Castanet, Y.; Eddarir, S.; Rolando, C. Palladium vatalyzed stereoconvergent formylation of (E/Z)-β-bromo-β-fluorostyrenes: Straightforward access to Z)-α-fluorocinnamic aldehydes and (Z)-β-fluorocinnamic alcohols. J. Org. Chem. 2011, 76, 7691–7698. [Google Scholar] [CrossRef]
- Song, X.; Chang, J.; Zhu, D.; Li, J.; Xu, C.; Liu, Q.; Wang, M. Catalytic domino reaction of ketones/aldehydes with Me3SiCF2Br for the synthesis of α-fluoroenones/α-fluoroenals. Org. Lett. 2015, 17, 1712–1715. [Google Scholar] [CrossRef]
- Zhou, J.; Jiang, X.; Jin, C.; Guo, Z.; Su, B.; Su, W. One-pot L-proline-mediated stereoselective α-C(sp2)–H fluorination of α,β-unsaturated aldehydes through methoxyfluorination–elimination. Eur. J. Org. Chem. 2017, 3631–3634. [Google Scholar] [CrossRef]
Publisher’s Note: MDPI stays neutral with regard to jurisdictional claims in published maps and institutional affiliations. |
© 2021 by the authors. Licensee MDPI, Basel, Switzerland. This article is an open access article distributed under the terms and conditions of the Creative Commons Attribution (CC BY) license (https://creativecommons.org/licenses/by/4.0/).











































