Preparation of Low-Diacylglycerol Cocoa Butter Equivalents by Hexane Fractionation of Palm Stearin and Shea Butter
Abstract
1. Introduction
2. Results and Discussion
2.1. Preparation of Low-DAG POP-Rich Fats from Palm Stearin
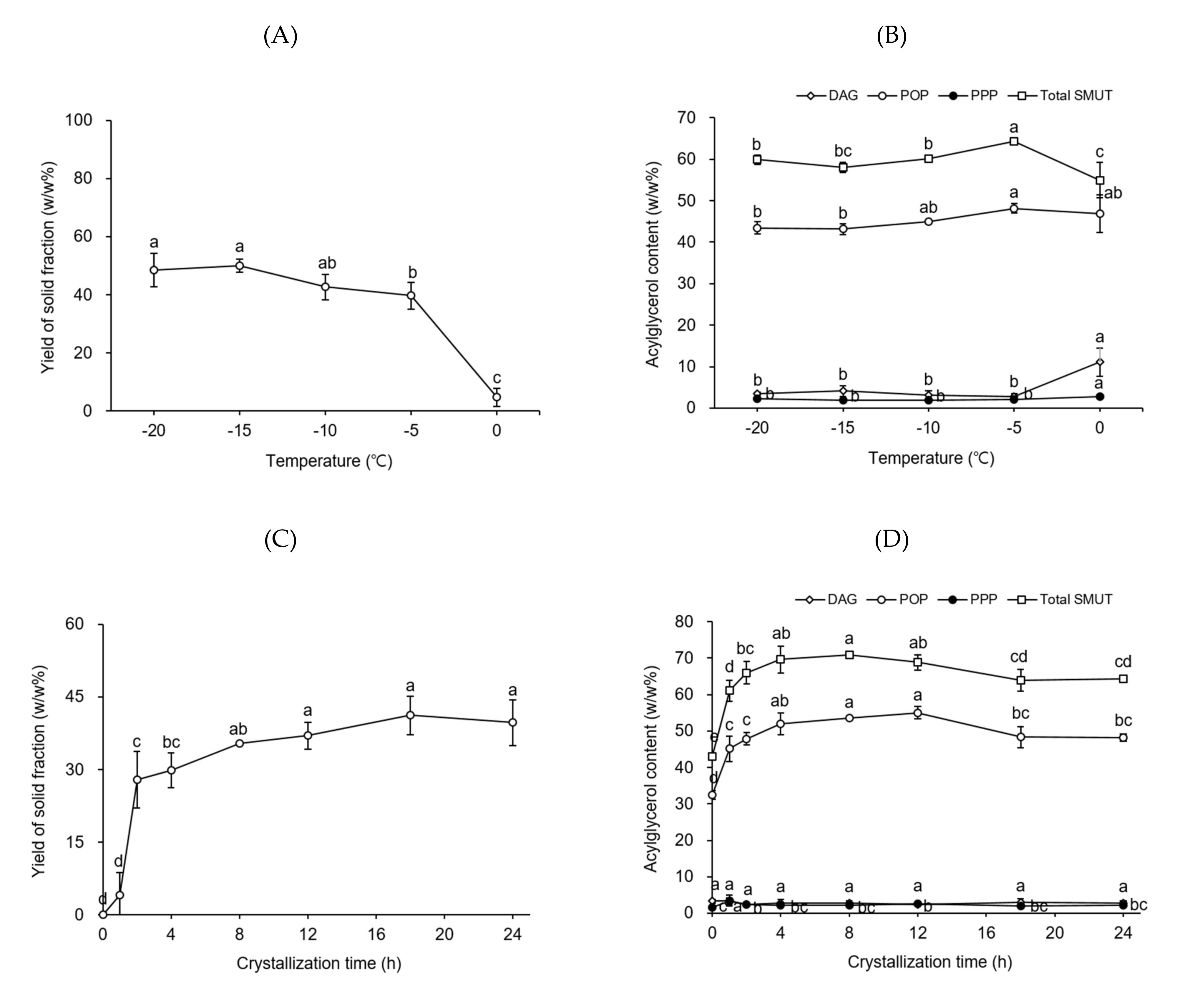
2.1.1. Best Conditions for the First Fractionation Step
2.1.2. Best Conditions for the Second Fractionation Step
2.2. Comparison between the POP-Rich Fats Prepared by Hexane Fractionation and Acetone Fractionation of Palm Stearin
2.3. Preparation of SOS-Rich Fats from Shea Butter
2.4. Preparation of CBEs by Blending PS-LF-SF with Shea Stearin
2.5. Chemical Composition of CBEs
2.6. Melting and Crystallization Properties of Cocoa Butter–CBE Blends
2.7. SFC of Cocoa Butter–CBE Blend
3. Materials and Methods
3.1. Materials
3.2. Fractionation of Palm Stearin
3.3. Fractionation of Shea Butter
3.4. Preparation of CBEs and Cocoa Butter–CBE Blends
3.5. FA Composition
3.6. TAG Composition
3.7. DAG Content
3.8. Melting and Crystallization Temperatures and Enthalpies
3.9. SFC
3.10. Statistical Analysis
4. Conclusions
Author Contributions
Funding
Institutional Review Board Statement
Informed Consent Statement
Data Availability Statement
Acknowledgments
Conflicts of Interest
Sample Availability
References
- Yamada, K.; Ibuki, M.; McBrayer, T. Cocoa Butter, Cocoa Butter Equivalents, and Cocoa Butter Replacers. In Healthful Lipids, 1st ed.; Lai, O.M., Akoh, C.C., Eds.; AOCS Press: Champaign, IL, USA, 2005; pp. 642–664. [Google Scholar]
- Shukla, V.K.S. Cocoa Butter, Cocoa butter Equivalents, and Cocoa Butter Substitutes. In Handbook of Functional Lipids, 1st ed.; Akoh, C.C., Ed.; CRC Press: New York, NY, USA, 2005; pp. 279–307. [Google Scholar]
- Kim, B.H.; Akoh, C.C. Recent Research Trends on the Enzymatic Synthesis of Structured Lipids. J. Food Sci. 2015, 80, C1713–C1724. [Google Scholar] [CrossRef] [PubMed]
- Pirouzian, H.R.; Konar, N.; Palabiyik, I.; Oba, S.; Toker, O.S. Pre-Crystallization Process in Chocolate: Mechanism, Importance and Novel Aspects. Food Chem. 2020, 321, 126718. [Google Scholar] [CrossRef] [PubMed]
- Cebula, D.J.; Smith, K.W. Differential Scanning Calorimetry of Confectionery Fats: Part II–Effects of Blends and Minor Components. J. Am. Chem. Soc. 1992, 69, 992–998. [Google Scholar] [CrossRef]
- Wähnelt, S.; Teusel, D.; Tülsner, M. Influence of Isomeric Diglycerides on Phase Transitions of Cocoa Butter–Investigation by Isothermal DSC. Fat Sci. Technol. 1991, 93, 174–178. [Google Scholar]
- Kang, K.K.; Kim, S.; Kim, I.H.; Lee, C.; Kim, B.H. Selective Enrichment of Symmetric Monounsaturated Triacylglycerols from Palm Stearin by Double Solvent Fractionation. LWT–Food Sci. Technol. 2013, 51, 242–252. [Google Scholar] [CrossRef]
- Kang, K.K.; Jeon, H.J.; Kim, I.H.; Kim, B.H. Cocoa Butter Equivalents Prepared by Blending Fractionated Palm Stearin and Shea Stearin. Food Sci. Biotechnol. 2013, 22, 347–352. [Google Scholar] [CrossRef]
- Timms, R.E. Processing Methods. In Confectionery Fats Handbook: Properties, Production and Application, 1st ed.; Timms, R.E., Ed.; Oily Press: Bridgwater, UK, 2003; pp. 105–142. [Google Scholar]
- Bootello, M.A.; Garcés, R.; Martínez-Force, E.; Salas, J.J. Effect of Solvents on the Fractionation of High Oleic–High Stearic Sunflower Oil. Food Chem. 2015, 172, 710–717. [Google Scholar] [CrossRef] [PubMed]
- Iwanaga, Y.; Kubota, H. Method for Producing Hard Butter Fraction from Shea Fat. U.S. Patent 4104288A, 1 August 1978. [Google Scholar]
- Salas, J.J.; Bootello, M.A.; Martínez-Force, E.; Garcés, R. Production of Stearate-Rich Butters by Solvent Fractionation of High Stearic–High Oleic Sunflower Oil. Food Chem. 2011, 124, 450–458. [Google Scholar] [CrossRef]
- Gibon, V. Fractionation of Lipids for Use in Food. In Modifying Lipids for Use in Food, 1st ed.; Gunstone, F.D., Ed.; Woodhead Publishing Ltd.: Cambridge, UK, 2006; pp. 201–233. [Google Scholar]
- Segman, O.; Wiesman, Z.; Yarmolinsky, L. 17—Methods and Technologies Related to Shea Butter Chemophysical Properties and to the Delivery of Bioactives in Chocolate and Related Products. In Cocoa Butter and Related Compounds, 1st ed.; Garti, N., Widlak, N.R., Eds.; AOCS Press: Champaign, IL, USA, 2012; pp. 417–441. [Google Scholar]
- Aini, I.N.; Miskandar, M.S. Utilization of Palm Oil and Palm Products in Shortenings and Margarines. Eur. J. Lipid Sci. Technol. 2007, 109, 422–432. [Google Scholar] [CrossRef]
- Luddy, F.E.; Barford, R.A.; Herb, S.F.; Magidman, P.; Riemenschneider, R.W. Pancreatic Lipase Hydrolysis of Triglycerides by a Semimicro Technique. J. Am. Chem. Soc. 1964, 41, 693–696. [Google Scholar] [CrossRef]
- Bang, H.J.; Kim, C.T.; Kim, B.H. Liquid and Gas Chromatographic Analyses of Triacylglycerols for Asian Sesame Oil Traceability. Eur. J. Lipid Sci. Technol. 2014, 116, 1354–1362. [Google Scholar] [CrossRef]
- American Oil Chemist’ Society (AOCS). Solid Fat Content (SFC) by Low-Resolution Nuclear Magnetic Resonance–The Direct Method Cd 16b-93; DSC Melting Properties of Fats and Oils Cj 1–94. Official Methods and Recommended Practices of the American Oil Chemists’ Society, 6th ed.; AOCS Press: Champaign, IL, USA, 2017. [Google Scholar]









| Acylglycerol | Cocoa Butter | PS-LF-SF (1) | Shea Stearin (2) | CBEs (3) |
|---|---|---|---|---|
| DAGs | 1.1 ± 0.3 (4) | 2.2 ± 0.5 | 1.3 ± 0.2 | 1.3 ± 0.3 |
| PSP | 2.4 ± 0.1 | 3.5 ± 0.2 | 3.0 ± 0.3 | |
| PPP | 2.3 ± 0.1 | 3.4 ± 0.2 | 2.9 ± 0.3 * | |
| POP | 17.1 ± 0.1 | 48.5 ± 0.8 | 2.9 ± 0.1 | 22.0 ± 0.4 * |
| PLP | 3.1 ± 0.2 | 6.3 ± 0.1 | 2.8 ± 0.2 | 3.9 ± 0.2 * |
| POS | 34.3 ± 0.4 | 9.6 ± 0.4 | 7.6 ± 0.4 | 8.6 ± 0.1 * |
| POO | 2.6 ± 0.6 | 8.2 ± 0.5 | 2.5 ± 0.1 | 4.8 ± 0.4 * |
| POL | 2.1 ± 0.3 | 4.0 ± 0.2 | 2.0 ± 0.2 | 2.8 ± 0.1 * |
| SSS | 2.5 ± 0.1 | 2.5 ± 0.1 | 3.0 ± 0.3 | |
| SOS | 24.5 ± 0.1 | 4.4 ± 0.2 | 57.9 ± 0.5 | 33.1 ± 1.1 * |
| SOO | 3.1 ± 0.5 | 3.2 ± 0.2 | 15.6 ± 0.9 | 8.7 ± 0.3 * |
| OOO | 2.5 ± 0.4 | 3.4 ± 0.1 | 2.7 ± 0.1 | 3.1 ± 0.2 * |
| LOL | 2.3 ± 0.2 | 3.3 ± 0.2 | 2.4 ± 0.3 | 2.8 ± 0.3 |
| Total SMUTs | 75.9 ± 0.4 | 62.6 ± 0.8 | 68.4 ± 0.4 | 63.7 ± 1.0 * |
| Fatty Acid (1) | Cocoa Butter | PS-LF-SF (2) | Shea Stearin (3) | CBEs (4) | ||||||||
|---|---|---|---|---|---|---|---|---|---|---|---|---|
| Total | sn-2 | sn-1,3 | Total | sn-2 | sn-1,3 | Total | sn-2 | sn-1,3 | Total | sn-2 | sn-1,3 | |
| 12.0 | 0.3 ± 0.0 (5) | 0.4 ± 0.1 | 0.2 ± 0.0 | 0.1 ± 0.0 | 0.3 ± 0.0 * | |||||||
| 14:0 | 0.1 ± 0.0 | 0.1 ± 0.0 | 0.9 ± 0.0 | 0.4 ± 0.1 | 1.1 ± 0.0 | 0.1 ± 0.0 | 0.1 ± 0.0 | 0.4 ± 0.0 | 0.3 ± 0.0 * | 0.4 ± 0.0 * | ||
| 16:0 (P) | 26.0 ± 0.1 | 1.7 ± 0.0 | 38.2 ± 0.0 | 52.7 ± 0.0 | 15.2 ± 0.4 | 71.5 ± 0.2 | 26.0 ± 0.1 | 1.7 ± 0.5 | 38.2 ± 0.3 | 23.0 ± 0.0 * | 7.8 ± 0.5 * | 30.7 ± 0.2 * |
| 16:1 | 0.2 ± 0.0 | 0.4 ± 0.0 | 0.2 ± 0.0 | 0.1 ± 0.0 | 0.2 ± 0.1 | 0.1 ± 0.0 | 0.2 ± 0.0 | 0.4 ± 0.0 | 0.2 ± 0.0 | 0.1 ± 0.0 | 0.2 ± 0.0 | |
| 18:0 (S) | 35.9 ± 0.2 | 2.1 ± 0.0 | 52.8 ± 0.0 | 5.1 ± 0.0 | 1.2 ± 0.1 | 7.1 ± 0.1 | 35.9 ± 1.5 | 2.1 ± 2.4 | 52.8 ± 1.3 | 35.1 ± 0.0 * | 6.0 ± 2.4 | 49.6 ± 1.2 * |
| 18:1n-9 (O) | 32.8 ± 0.0 | 86.2 ± 0.1 | 6.1 ± 0.0 | 34.5 ± 0.0 | 71.3 ± 0.3 | 16.1 ± 0.1 | 32.8 ± 1.1 | 86.2 ± 2.8 | 6.1 ± 1.4 | 35.5 ± 0.0 * | 75.4 ± 2.5 * | 15.6 ± 1.3 * |
| 18:1n-7 | 0.4 ± 0.0 | 0.6 ± 0.0 | 0.3 ± 0.0 | 0.6 ± 0.0 | 0.7 ± 0.0 | 0.5 ± 0.0 | 0.4 ± 0.0 | 0.6 ± 0.1 | 0.3 ± 0.1 | 0.4 ± 0.0 | 0.4 ± 0.0 * | 0.3 ± 0.0 |
| 18:2n-6 | 3.0 ± 0.0 | 7.7 ± 0.1 | 0.6 ± 0.0 | 5.2 ± 0.0 | 10.2 ± 0.3 | 2.7 ± 0.1 | 3.0 ± 0.4 | 7.7 ± 1.0 | 0.6 ± 0.5 | 3.9 ± 0.0 * | 8.6 ± 0.3 * | 1.6 ± 0.1 * |
| 20:0 | 1.1 ± 0.0 | 0.3 ± 0.0 | 1.5 ± 0.0 | 0.3 ± 0.0 | 0.1 ± 0.0 | 0.4 ± 0.0 | 1.1 ± 0.1 | 0.3 ± 0.2 | 1.5 ± 0.1 | 1.2 ± 0.0 | 0.3 ± 0.0 | 1.6 ± 0.0 |
| 20:1 | 0.1 ± 0.1 | 0.3 ± 0.1 | 0.1 ± 0.0 | 0.2 ± 0.0 | 0.1 ± 0.0 | 0.1 ± 0.0 | 0.3 ± 0.1 | 0.1 ± 0.0 | 0.2 ± 0.0 | 0.1 ± 0.0 * | ||
| 18:3n-3 | 0.2 ± 0.0 | 0.4 ± 0.0 | 0.1 ± 0.0 | 0.1 ± 0.0 | 0.1 ± 0.0 | 0.1 ± 0.0 | 0.2 ± 0.0 | 0.4 ± 0.2 | 0.1 ± 0.0 | 0.1 ± 0.0 | 0.3 ± 0.1 * | |
| 22:0 | 0.2 ± 0.0 | 0.3 ± 0.0 | 0.1 ± 0.0 | 0.1 ± 0.0 | 0.1 ± 0.0 | 0.2 ± 0.0 | 0.3 ± 0.1 | 0.1 ± 0.1 | 0.1 ± 0.0 | 0.2 ± 0.0 | 0.1 ± 0.0 | |
| P + S + O | 94.7 ± 0.1 | 90.0 ± 0.1 | 97.1 ± 0.0 | 92.3 ± 0.0 | 87.7 ± 0.0 | 94.7 ± 0.0 | 94.7 ± 0.3 | 90.0 ± 1.0 | 97.1 ± 0.5 | 93.6 ± 0.0 * | 89.2 ± 0.3 * | 95.9 ± 0.2 * |
Publisher’s Note: MDPI stays neutral with regard to jurisdictional claims in published maps and institutional affiliations. |
© 2021 by the authors. Licensee MDPI, Basel, Switzerland. This article is an open access article distributed under the terms and conditions of the Creative Commons Attribution (CC BY) license (https://creativecommons.org/licenses/by/4.0/).
Share and Cite
Hwang, J.; Jun, H.; Roh, S.; Lee, S.J.; Mun, J.M.; Kim, S.W.; Chung, M.-Y.; Kim, I.-H.; Kim, B.H. Preparation of Low-Diacylglycerol Cocoa Butter Equivalents by Hexane Fractionation of Palm Stearin and Shea Butter. Molecules 2021, 26, 3231. https://doi.org/10.3390/molecules26113231
Hwang J, Jun H, Roh S, Lee SJ, Mun JM, Kim SW, Chung M-Y, Kim I-H, Kim BH. Preparation of Low-Diacylglycerol Cocoa Butter Equivalents by Hexane Fractionation of Palm Stearin and Shea Butter. Molecules. 2021; 26(11):3231. https://doi.org/10.3390/molecules26113231
Chicago/Turabian StyleHwang, Jihyun, Heeju Jun, Seoye Roh, Seong Jae Lee, Jeong Min Mun, Seung Wook Kim, Min-Yu Chung, In-Hwan Kim, and Byung Hee Kim. 2021. "Preparation of Low-Diacylglycerol Cocoa Butter Equivalents by Hexane Fractionation of Palm Stearin and Shea Butter" Molecules 26, no. 11: 3231. https://doi.org/10.3390/molecules26113231
APA StyleHwang, J., Jun, H., Roh, S., Lee, S. J., Mun, J. M., Kim, S. W., Chung, M.-Y., Kim, I.-H., & Kim, B. H. (2021). Preparation of Low-Diacylglycerol Cocoa Butter Equivalents by Hexane Fractionation of Palm Stearin and Shea Butter. Molecules, 26(11), 3231. https://doi.org/10.3390/molecules26113231
