The Sorption Performance of Cetyl Trimethyl Ammonium Bromide-Capped La0.9Sr0.1FeO3 Perovskite for Organic Pollutants from Industrial Processes
Abstract
1. Introduction
2. Results and Discussions
2.1. Characterization of CTAB-capped La0.9Sr0.1FeO3 Perovskite
2.2. Application of CTAB-capped La0.9Sr0.1FeO3 Perovskite as a Sorbent for CR Dye
2.2.1. Effect of pH on the Adsorption Performance
2.2.2. Kinetic Study
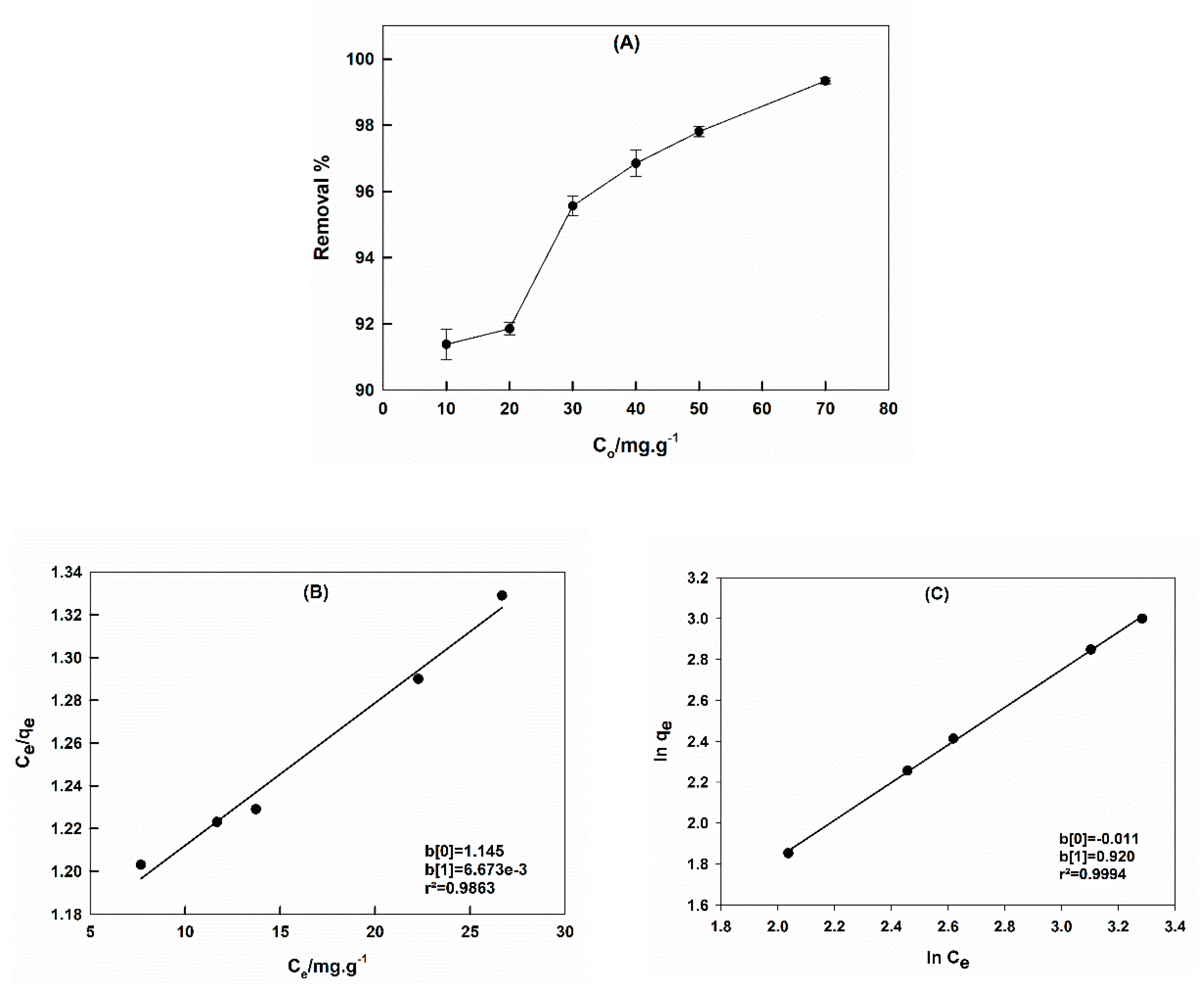
2.2.3. The Effect of the Initial Dye Concentration
2.2.4. The Adsorption Mechanism
2.2.5. Temperature Effect
2.2.6. The Sorption Performance by Repeated Use and its Regeneration
3. Materials and Method
3.1. Materials
3.2. Microwave-assisted Citrate Combustion Synthesis of La0.9Sr0.1FeO3 Perovskite
3.3. Adsorption Test
3.4. Characterization Instruments
4. Conclusions
Supplementary Materials
Author Contributions
Funding
Conflicts of Interest
References
- Knepper, T.P.; Berna, J.L. Chapter 1 Surfactants: Properties, production, and environmental Aspects. Compr. Anal. Chem. 2003, 40, 1–49. [Google Scholar]
- Heinz, H.; Pramanik, C.; Heinz, O.; Ding, Y.; Mishra, R.K.; Marchon, D.; Flatt, R.J.; Estrela-Lopis, I.; Llop, J.; Moya, S.; et al. Nanoparticle decoration with surfactants: Molecular interactions, assembly, and applications. Surf. Sci. Rep. 2017, 72, 1–58. [Google Scholar] [CrossRef]
- Emran, K.M.; Ali, S.M.; Al-Oufi, A.L.L. Synthesis and characterization of nano-conducting copolymer composites: Efficient sorbents for organic pollutants. Molecules 2017, 22, 772. [Google Scholar] [CrossRef] [PubMed]
- Bakshi, M.S. How Surfactants Control Crystal Growth of Nanomaterials. Cryst. Growth. Des. 2016, 162, 1104–1133. [Google Scholar] [CrossRef]
- Kim, D.K.; Zhang, Y.; Voit, W.; Rao, K.V.; Muhammed, M. Synthesis and characterization of surfactant-coated superparamagnetic monodispersed iron oxide nanoparticles. J. Magn. Magn. Mater. 2001, 225, 30–36. [Google Scholar] [CrossRef]
- Elfeky, S.A.; Mahmoud, S.E.; Youssef, A.F. Applications of CTAB modified magnetic nanoparticles for removal of chromium (VI) from contaminated water. J. Adv. Res. 2017, 8, 435–443. [Google Scholar] [CrossRef] [PubMed]
- Li, N.; Fu, F.; Lu, J.; Ding, Z.; Tang, B.; Pang, J. Facile preparation of magnetic mesoporous MnFe2O4@SiO2−CTAB composites for Cr(VI) adsorption and reduction. Environ. Pollut. 2017, 220, 1376–1385. [Google Scholar] [CrossRef]
- Zhao, B.; Xiao, W.; Shang, Y.; Zhu, H.; Han, R. Adsorption of light green anionic dye using cationic surfactant-modified peanut husk in batch mode. Arab. J. Chem. 2017, 10, S3595–S3602. [Google Scholar] [CrossRef]
- Malik, M.A.; Hashim, M.A.; Nabi, F.; AL-Thabaiti, S.A.; Khan, Z. Anti-corrosion ability of surfactants: A review. Int. J. Electrochem. Sci. 2011, 6, 1927–1948. [Google Scholar]
- Sliem, M.H.; Afifi, M.; Radwan, A.B.; Fayyad, E.M.; Shibl, M.F.; Heakal, F.E.T.; Abdullah, A.M. AEO7 Surfactant as an Eco-Friendly Corrosion Inhibitor for Carbon Steel in HCl solution. Sci Rep. 2019, 9, 2319. [Google Scholar] [CrossRef]
- Migahed, M.A.; Al-Sabagh, A.M. Beneficial role of surfactants as corrosion inhibitors in petroleum industry. Chem. Eng. Commun. 2009, 196, 1054–1075. [Google Scholar] [CrossRef]
- Zahid, A.; Lashin, A.; Rana, U.A.; Al-Arifi, N.; Ullah, I.; Dionysiou, D.D.; Qureshi, R.; Waseem, A.; Kraatz, H.B.; Shah, A. Development of surfactant based electrochemical sensor for the trace level detection of mercury. Electrochim. Acta. 2016, 190, 1007–1014. [Google Scholar] [CrossRef]
- Manjunatha, J.G. Surfactant modified carbon nanotube paste electrode for the sensitive determination of mitoxantrone anticancer drug. J. Electrochem. Sci. Eng. 2017, 7, 39–49. [Google Scholar] [CrossRef]
- Zhu, L.; Cao, Y.; Cao, G. Electrochemical sensor based on magnetic molecularly imprinted nanoparticles at surfactant modified magnetic electrode for determination of bisphenol A. Biosens. Bioelectron. 2014, 54, 258–261. [Google Scholar] [CrossRef] [PubMed]
- Khan, A.F.; Brownson, D.A.C.; Foster, C.W.; Smith, G.C.; Banks, C.E. Surfactant exfoliated 2D hexagonal Boron Nitride (2D-hBN) explored as a potential electrochemical sensor for dopamine: Surfactants significantly influence sensor capabilities. Analyst 2017, 142, 1756–1764. [Google Scholar] [CrossRef]
- Almora-Barrios, N.; Vilé, G.; Garcia-Ratés, M.; Pérez-Ramírez, J.; López, N. Electrochemical Effects at Surfactant–Platinum Nanoparticle Interfaces Boost Catalytic Performance. ChemCatChem 2017, 9, 604–609. [Google Scholar] [CrossRef]
- Wang, Z.; Liu, P.; Han, J.; Cheng, C.; Ning, S.; Hirata, A.; Fujita, T.; Cen, M. Engineering the internal surfaces of three-dimensional nanoporous catalysts by surfactant-modified dealloying. Nat. Commun. 2017, 8, 1066. [Google Scholar] [CrossRef]
- Ma, C.; Chen, Y.; Chen, J. Surfactant-assisted preparation of FeCu catalyst for Fischer-Tropsch synthesis. J. Braz. Chem. Soc. 2015, 26, 1520–1526. [Google Scholar] [CrossRef]
- Hu, N.; Rusling, J.F. Surfactant-Intercalated Clay Films for Electrochemical Catalysis. Reduction of Trichloroacetic Acid. Anal. Chem. 1991, 63, 2163–2168. [Google Scholar] [CrossRef]
- Rusling, J.F. Controlling Electrochemical Catalysis with Surfactant Microstructures. Acc. Chem. Res. 1991, 24, 75–81. [Google Scholar] [CrossRef]
- Assirey, E.A. Perovskite synthesis, properties and their related biochemical and industrial application. Saudi Pharm. J. 2019, 27, 817–829. [Google Scholar] [CrossRef]
- Kulkarni, S.A.; Mhaisalkar, S.G.; Mathews, N.; Boix, P.P. Perovskite Nanoparticles: Synthesis, Properties, and Novel Applications in Photovoltaics and LEDs. Small Methods 2019, 3, 1800231. [Google Scholar] [CrossRef]
- Atta, N.F.; Galal, A.; Ali, S.M. The effect of the lanthanide ion-type in LnFeO3 on the Catalytic activity for the Hydrogen evolution in acidic medium. Int. J. Electrochem. Sci. 2014, 9, 2132–2148. [Google Scholar]
- Ali, S.M.; Abdel Al-Rahman, Y.M.; Galal, A. Catalytic activity toward oxygen evolution of LaFeO3 prepared by the microwave assisted citrate method. J. Electrochem. Soc. 2012, 159, F600–F605. [Google Scholar] [CrossRef]
- Ali, S.M.; Abdel Al-Rahman, Y.M. Catalytic activity of LaBO3 for OER in HClO4 medium: An approach to the molecular orbital theory. J. Electrochem. Soc. 2016, 163, H81–H88. [Google Scholar] [CrossRef]
- Ali, S.M.; Al-Oufi, B. A Synergistic Sorption Capacity of La0.9Sr0.1FeO3 Perovskite for Organic Dyes by Cellulose Modification. Cellulose 2020, 27, 429–440. [Google Scholar] [CrossRef]
- Luu, M.D.; Dao, N.N.; Nguyen, D.V.; Pham, N.C.; Vu, T.N.; Doan, T.D. A new perovskite-type NdFeO3 adsorbent: Synthesis, characterization, and As(V) adsorption. Adv. Nat. Sci. Nanosci. Nanotechnol. 2016, 7, 025015–025027. [Google Scholar] [CrossRef]
- Tavakkoli, H.; Yazdanbakhsh, M. Fabrication of two perovskite-type oxide nanoparticles as the new adsorbents in efficient removal of a pesticide from aqueous solutions: Kinetic, thermodynamic, and adsorption studies. Microporous Mesoporous Mater. 2013, 176, 86–94. [Google Scholar] [CrossRef]
- Carmen, Z.; Daniel, S. Textile Organic Dyes Characteristics, Polluting Effects and Separation/Elimination Procedures from Industrial Effluents–A Critical Overview. In Organic Pollutants Ten Years after Stockholm Convention, Environmental and Analytical Update; InTech: Rijeka, Croatia, 2012. [Google Scholar]
- Srilakshmi, C. Microwave Synthesis of Perovskite Based High Surface Area SrTiO3 Nanoparticles: Application for Adsorption of Congo Red Dye in Water. Nano. Lett. 2018, 2, 10–15. [Google Scholar]
- Bhagya, N.P.; Prashanth, P.A.; Raveendra, R.S.; Sathyanarayani, S.; Ananda, S.; Nagabhushana, B.M.; Nagabhushana, H. Adsorption of hazardous cationic dye onto the combustion derived SrTiO3 nanoparticles: Kinetic and isotherm studies. J. Asian Ceram. Soc. 2016, 4, 68–74. [Google Scholar] [CrossRef]
- Farhadi, S.; Mahmoudi, F.; Amini, M.M.; Dusek, M.; Jarosova, M. Synthesis and characterization of a series of novel perovskite-type LaMnO3/Keggin-type polyoxometalate hybrid nanomaterials for fast and selective removal of cationic dyes from aqueous solutions. Dalt. Trans. 2017, 46, 3252–3264. [Google Scholar] [CrossRef] [PubMed]
- Tavakkoli, H.; Beiknejad, D.; Tabari, T. Fabrication of perovskite-type oxide La0.5Ca0.5CoO3−δ nanoparticles and its Dye removal performance. Desalin. Water Treat. 2014, 4, 116–125. [Google Scholar]
- Yazdanbakhsh, M.; Tavakkoli, H.; Hosseini, S.M. Characterization and evaluation catalytic efficiency of La0.5Ca0.5NiO3 nanopowders in removal of reactive blue 5 from aqueous solution. Desalination 2011, 281, 388–395. [Google Scholar] [CrossRef]
- Shadeera, R.; Nagapadma, M.; Ramakoteswara, R. Removal of Harmful Textile Dye Congo Red from Aqueous Solution Using Chitosan and Chitosan Beads Modified with CTAB. J. Eng. Res. Appl. 2015, 5, 75–82. [Google Scholar]
- Chatterjee, S.; Lee, D.S.; Lee, M.W.; Woo, S.H. Enhanced adsorption of congo red from aqueous solutions by chitosan hydrogel beads impregnated with cetyl trimethyl ammonium bromide. Bioresour. Technol. 2009, 100, 2803–2809. [Google Scholar] [CrossRef]
- Foroughi-Dahr, M.; Abolghasemi, H.; Esmaieli, M.; Nazari, G.; Rasem, B. Experimental study on the adsorptive behavior of Congo red in cationic surfactant-modified tea waste. Process Saf. Environ. Prot. 2015, 95, 226–236. [Google Scholar] [CrossRef]
- Xia, C.; Jing, Y.; Jia, Y.; Yue, D.; Ma, J.; Yin, X. Adsorption properties of congo red from aqueous solution on modified hectorite: Kinetic and thermodynamic studies. Desalination 2011, 265, 81–87. [Google Scholar] [CrossRef]
- Zenasni, M.A.; Meroufel, B.; Merlin, A.; George, B. Adsorption of Congo Red from Aqueous Solution Using CTAB-Kaolin from Bechar Algeria. J. Surf. Eng. Mater. Adv. Technol. 2014, 4, 332–341. [Google Scholar] [CrossRef]
- Youssef, A.M.; Al-Awadhi, M.M. Adsorption of Acid Dyes onto Bentonite and Surfactant-modified Bentonite. J. Anal. Bioanal. Tech. 2013, 4, 1–7. [Google Scholar] [CrossRef]
- Su, J.; He, S.; Zhao, Z.; Liu, X.; Li, H. Efficient preparation of cetyltrimethylammonium bromide-graphene oxide composite and its adsorption of Congo red from aqueous solutions. Colloids Surfaces A Physicochem. Eng. Asp. 2018, 554, 227–236. [Google Scholar] [CrossRef]
- Muniz, F.T.L.; Miranda, M.A.R.; Santos, C.M.D.; Sasaki, J.M. The Scherrer equation and the dynamical theory of X-ray diffraction. Acta Crystallogr. Sect. A Found. Adv. A 2016, 72, 385–390. [Google Scholar] [CrossRef] [PubMed]
- Su, G.; Yang, C.; Zhu, J.J. Fabrication of gold nanorods with tunable longitudinal surface plasmon resonance peaks by reductive dopamine. Langmuir 2015, 31, 817–823. [Google Scholar] [CrossRef] [PubMed]
- Bielska, M.; Sobczyńska, A.; Prochaska, K. Dye-surfactant interaction in aqueous solutions. Dye Pigments 2009, 80, 201–205. [Google Scholar] [CrossRef]
- Ahmed, M.A.; Ali, S.M.; El-Dek, S.I.; Galal, A. Magnetite-hematite nanoparticles prepared by green methods for heavy metal ions removal from water. Mater. Sci. Eng. B Solid-State Mater. Adv. Technol. 2013, 178, 741–755. [Google Scholar] [CrossRef]
- Ali, S.M.; Emran, K.M.; Al-Oufi, A.L.L. Adsorption of organic pollutants by nano-conducting polymers composites: Effect of the supporting nano-oxide type. J. Mol. Liq. 2017, 233, 89–99. [Google Scholar] [CrossRef]
- Ali, S.M.; Galal, A.; Atta, N.F.; Shammakh, Y. Toxic heavy metal ions removal from wastewater by nano-magnetite: Case study nile river water. Egypt J. Chem. 2017, 60, 601–612. [Google Scholar] [CrossRef][Green Version]
- Ali, S.M. Fabrication of a nanocomposite from an agricultural waste and its application as a biosorbent for organic pollutants. Int. J. Environ. Sci. Technol. 2018, 15, 1169–1178. [Google Scholar] [CrossRef]
- Hubbe, M.A.; Azizian, S.; Douven, S. Implications of apparent pseudo-second-order adsorption kinetics onto cellulosic materials: A review. BioResources 2019, 14, 7582–7626. [Google Scholar]
Sample Availability: Samples of the compounds, pure and CTAB-capped La0.9Sr0.1FeO3 perovskites are available from the authors. |











| Sorbent | qm (mg·g−1) | Optimum pH Conditions | Equilibrium Time/min. | Reference |
|---|---|---|---|---|
| CTAB-chitosan beads | 94.4 | Acidic | 240 | [35] |
| CTAB-chitosan hydrogel beads | 433.1 | Acidic | 240 | [36] |
| CTAB-Tea waste | 106.4 | Independent | 30 | [37] |
| CTAB-Hectorite | 182.0 | Independent | 120 | [38] |
| CTAB-Kaolin | 24.5 | Alkaline | 10 | [39] |
| Bentonite-CTAB | 210.0 | Independent | 90 | [40] |
| graphene oxide-CTAB | 2767.0 | Acidic | 60 | [41] |
| CTAB-La0.9Sr0.1FeO3 | 151.5 | Independent | Less than 5 | This work |
© 2020 by the authors. Licensee MDPI, Basel, Switzerland. This article is an open access article distributed under the terms and conditions of the Creative Commons Attribution (CC BY) license (http://creativecommons.org/licenses/by/4.0/).
Share and Cite
Ali, S.M.; Eskandrani, A.A. The Sorption Performance of Cetyl Trimethyl Ammonium Bromide-Capped La0.9Sr0.1FeO3 Perovskite for Organic Pollutants from Industrial Processes. Molecules 2020, 25, 1640. https://doi.org/10.3390/molecules25071640
Ali SM, Eskandrani AA. The Sorption Performance of Cetyl Trimethyl Ammonium Bromide-Capped La0.9Sr0.1FeO3 Perovskite for Organic Pollutants from Industrial Processes. Molecules. 2020; 25(7):1640. https://doi.org/10.3390/molecules25071640
Chicago/Turabian StyleAli, Shimaa M., and Areej A. Eskandrani. 2020. "The Sorption Performance of Cetyl Trimethyl Ammonium Bromide-Capped La0.9Sr0.1FeO3 Perovskite for Organic Pollutants from Industrial Processes" Molecules 25, no. 7: 1640. https://doi.org/10.3390/molecules25071640
APA StyleAli, S. M., & Eskandrani, A. A. (2020). The Sorption Performance of Cetyl Trimethyl Ammonium Bromide-Capped La0.9Sr0.1FeO3 Perovskite for Organic Pollutants from Industrial Processes. Molecules, 25(7), 1640. https://doi.org/10.3390/molecules25071640
