Next Article in Journal
Hepatotoxicity Modeling Using Counter-Propagation Artificial Neural Networks: Handling an Imbalanced Classification Problem
Next Article in Special Issue
Reactive & Efficient: Organic Azides as Cross-Linkers in Material Sciences
Previous Article in Journal
Small Peptide-Doxorubicin Co-Assembly for Synergistic Cancer Therapy
Previous Article in Special Issue
Synthesis of Chromium(II) Complexes with Chelating Bis(alkoxide) Ligand and Their Reactions with Organoazides and Diazoalkanes
 
 
Font Type:
Arial Georgia Verdana
Font Size:
Aa Aa Aa
Line Spacing:
Column Width:
Background:
Article

Synthesis and Spectral Study of a New Family of 2,5-Diaryltriazoles Having Restricted Rotation of the 5-Aryl Substituent

by
Biligma Tsyrenova
and
Valentine Nenajdenko
*
Department of Chemistry, Lomonosov Moscow State University, 119899 Moscow, Russia
*
Author to whom correspondence should be addressed.
Molecules 2020, 25(3), 480; https://doi.org/10.3390/molecules25030480
Submission received: 17 December 2019 / Revised: 14 January 2020 / Accepted: 22 January 2020 / Published: 23 January 2020
(This article belongs to the Special Issue Organic Azides 2019)

Abstract

Efficient synthesis of 2,5-diaryl substituted 4-azido-1,2,3-triazoles by the reaction of sodium azide with dichlorosubstituted diazadienes was demonstrated. The optical properties of the prepared azidotriazoles were studied to reveal a luminescence maximum in the 360–420 nm region. To improve the luminescence quantum yields a family of 4-azido-1,2,3-triazoles bearing ortho-propargyloxy substituents in the 5 position was prepared. Subsequent intramolecular thermal cyclization permits to construct additional triazole fragment and obtain unique benzoxazocine derivatives condensed with two triazole rings. This new family of condensed heterocycles has a flattened heterocyclic system structure to provide more conjugation of the 5-aryl fragment with the triazole core. As a result, a new type of UV/“blue light-emitting” materials with better photophysical properties was obtained.

1. Introduction

1,2,3-Triazoles are an important class of heterocyclic compounds of both theoretical and practical interest [1,2,3,4]. This type of heterocycles has been known for more than 150 years, however, during the few last decades, 1,2,3-triazoles have become an attractive object of research in heterocyclic chemistry due to their highly efficient synthesis through copper(I)-catalyzed acetylene–azide cycloaddition [5,6,7,8,9,10,11,12,13]. A large number of heterocycles containing an embedded triazole core have attracted considerable attention because of their broad range of pronounced biological activity. For example, 1,2,3-triazole derivatives exhibit anti-inflammatory, anesthetic, antimicrobial, anti-arrhythmic, antitumor, and antiviral properties [14,15,16,17]. In addition, 1,2,3-triazole derivatives are used in agrochemistry as insecticides, fungicides and plant growth regulators [18].
Nowadays, there is also significant interest in the development of novel selective approaches to 2-substituted 1,2,3-triazoles. These compounds are particularly attractive since they have excellent fluorophore properties [19,20,21,22,23,24,25]. A great number of fluorophores has been developed over the years, but effective UV/blue-light-emitting molecules are still rare due to their relatively high energy gap, which may cause poor photostability or low quantum efficiency. However, the booming research area, such as OLED display study, in photoactive compounds has generated increasing needs for effective UV/blue-light-emitting molecules. Recently Yan and co-workers [22] reported N-2-aryl-1,2,3-triazoles (Figure 1) as new UV/blue-light-emitting compounds with tunable emission and adjustable Stokes shift through planar intramolecular charge transfer.
1,1-Dichlorodiazadienes are a valuable class of electrophiles. These compounds can be prepared using the reaction of carbon tetrachloride witH-N-substituted hydrazones of aldehydes in the presence of CuCl as a catalyst. [26,27] Recently we demonstrated that these compounds are also interesting diazodyes [28,29]. The reaction of 4,4-dichloro-1,2-diazabuta-1,3-dienes with sodium azide has been found to open straightforward access to extremely rare 1,1-bis-azides (Figure 2). These highly unstable compounds are prone to eliminate a N2 molecule to cyclize into 4-azido-1,2,3-triazoles 1 bearing two aryl (heteroaryl) groups at positions 2 and 5. The reaction was found to be very general for the highly efficient synthesis of various 4-azidotriazoles. It was demonstrated that these heterocycles are highly attractive building blocks for subsequent preparation of 1,2,3-triazole- derived compounds [30].
The prepared azidotriazoles 1 [30] contain the same structural pattern as the diaryltriazoles used as UV/blue-light-emitting compounds [22] (Figure 1). Therefore, we decided to study optical properties of 4-azido-1,2,3-triazoles 1. This study is also devoted to investigation of the synthesis of 4-azido-2,5-diaryl-1,2,3-azidotriazoles prepared from arylhydrazines and ortho-propargyloxy-benzaldehydes. The presence in the structure of these compounds of a triple bond and the azido group opens up the possibility of intramolecular cyclization of these compounds to obtain unique condensed heterocycles containing two triazole rings (Figure 3b). Moreover, such structural modification can significantly affect the photophysical properties of the intramolecular cyclization products. In this case free rotation of the aryl fragment in the 5 position is impossible. The main aim of this work was studying of optical properties of 2-aryl 1,2,3-trizoles 1 and synthesis of their rigidified analogues obtained via intramolecular acetylene–azide cyclization (Figure 3b).

2. Results and Discussion

2.1. Optical Properties of 4-Azidotriazoles 1

First, the photophysical data were obtained for family of 2-phenyl-5-aryl-4-azido-1,2,3-triazoles 1ai [30] having free rotation of the aryl(hetaryl) fragment in the 5 position of the triazole core (Figure 3a, Table 1). Compounds 1b1i exhibited bathochromic shifts in their absorption spectra relative to 1a and showed strong maxima in the 311–346 nm region (Figure 4). The strongest bathochromic shift was observed for 1b containing an electron-withdrawing NO2-group.
The emission spectra of compounds 1ai have two trends: spectra 1a1d and 1g1i exhibited similar emission bands in the 363–372 nm range. On the contrary, the emission spectra of pyridine analogues 1e and 1f demonstrated slightly different character having maxima at 419 nm and Stokes shifts up to 108 nm (Figure 5, Table 1). The reasons of such behavior are not clear at the moment and demand subsequent study, however it is most probably connected with the presence of additional nitrogen in the structure. Unfortunately, small fluorescence quantum yields were observed for all these compounds 1a1i (Table 1).

2.2. Synthesis and Characterization of Condensed Analogues

Next, we decided to prepare some analogues of compounds 1a1i having a flattened structure and restricted rotation of the aryl fragment at the 5vposition of the triazole. We expected to enhance the fluorescence quantum yields by such a structural transformation. ortho-Propagyloxy- benzaldehydes were used as starting materials for this aim. A set of such aldehydes was prepared by alkylation of some salic aldehydes with propargyl bromide (Scheme 1).
The prepared o-propargyloxybenzaldehydes were converted into the corresponding 4,4-dichloro-1,2-diaza-1,3-dienes using the one-pot procedure previously elaborated by our team. This modification of the synthesis of 4,4-dichloro-1,2-diaza-1,3-dienes permits one to avoid isolation of hydrazones (See SI).
All steps of the synthesis were performed in one pot to give the target dienes in respectable yields (up to 77%). It should be pointed out that the method is amenable to the variation of functional groups in the structure of the starting aldehydes. Electronically and sterically different o-propargyloxybenzaldehydes can be used for this aim. Moreover, the corresponding naphthalene derivative was prepared as well (Scheme 2 and Scheme 3) [26]. In a similar manner, a set of dienes 2ho having different aryl substituents at the nitrogen was prepared from the parent o-propargyloxy-benzaldehyde and substituted aryl hydrazines. We tried to perform variation of this part of molecules keeping in mind the influence of both electron and steric factors. For example, the corresponding dienes having methyl-, methoxy- and cyano groups, and different halogens can be prepared in up to 89% yield. Moreover, diene 2m having a bulky 2,6-dimethylphenyl substituent was synthesized too.
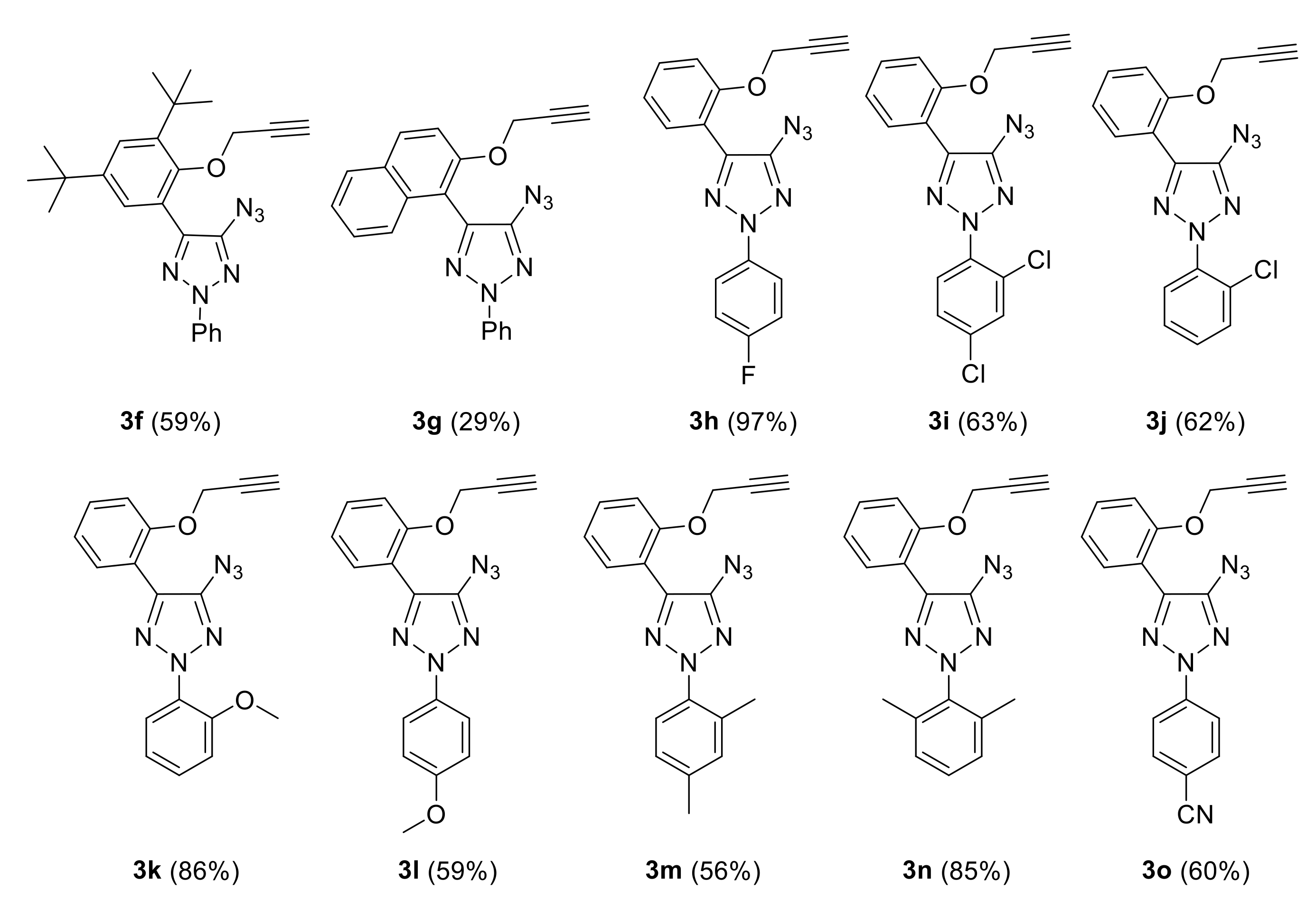
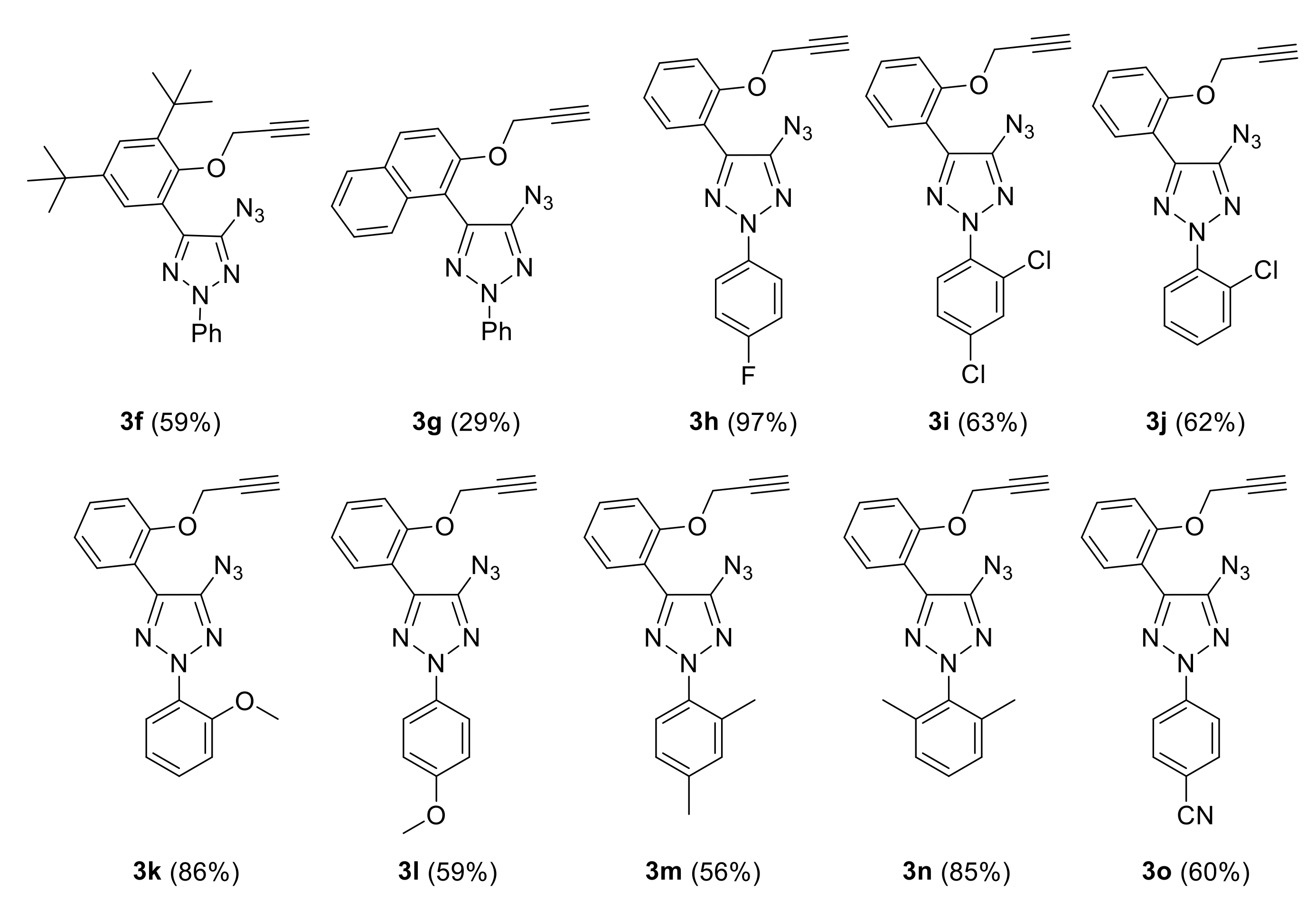
Having in hand a family of precursors for the synthesis of model azidotriazoles, the reaction with excess of sodium azide was studied. It was found that the synthesis is very general to give the target products in up to 97% yield. A set of 15 triazoles 3ao was thus prepared having different substituents in the position 2 and 5 (Scheme 4) [30,32,33].
Next, intramolecular cyclization to form second triazole ring by thermal [2+3] cycloaddition was studied. Prepared compounds 3 have in the structure both an azide group and an acetylene fragment. We observed that spontaneous cyclization takes place slowly, even at room temperature, during storage. Smooth cyclization can be performed by reflux in o-xylene during 12 h in an argon atmosphere. As a result, a family of condensed triazole derivatives 4 having restricted rotation of substituent at the 5 position was prepared. We observed atropoisomerism [34] for some of prepared products. Their NMR spectra contain doubled set of signals (Scheme 5).

2.3. Photophysical Properties of Compounds 4a4o

UV-vis absorption and fluorescence spectroscopic measurements were performed for the synthesized compounds 4 to establish the relationship between the structure and photophysical properties of the prepared flattened derivatives 4ao [35]. All these spectral data were obtained in dichloromethane (c = 10−6 M for all compounds) at room temperature and the results are summarized in Table 2.
All the investigated compounds exhibited similar absorptions in the 250–305 nm range (Figure 6). The absorption spectra for compounds having a phenyl group at the N(2) position demonstrated absorption maxima at 284–288 nm. However, naphthalene derivative 4g has a maximum of absorption shifted to 301 nm. More pronounced influence for absorption spectra was found when varying the substituents at N(2). The presence of an electron-withdrawing cyano group resulted in a bathochromic shift to 305 nm. On the other hand, a hypsochromic shift was observed for ortho-substituted derivatives, for example 4k.
The emission spectra of solutions of 4a4o (Figure 7) were recorded at an excitation wavelength corresponding to the maximum in the absorption spectra. Typical emission maxima obtained upon irradiation of the solutions were located in the blue region. The Stokes shifts were shown in the range from 31 to 112 nm.
Obviously, the spectral characteristics of compounds 4a4o depend on their electronic properties, conjugation of the substituents at the C(5) position and at the N(2) of the triazole. To our delight, much higher quantum yields (ΦF up to 0.616) were observed for all derivatives 4a4o in comparison to triazole derivatives 1ahF up to 0.017) having free rotation of the C(5) substituents. These data confirmed the attractiveness of our idea to synthesize and to study the photophysical properties of flattened intramolecular cyclizatioproducts. Analysis of the emission spectra for compounds 4a4o showed that the substitution at the N(2) position has more influence on fluorescence properties. A presence of a methoxy or cyano group at the aromatic ring para-position at the triazole N(2) leads to enhanced quantum yields (Table 2, Figure 6 and Figure 7), whereas, ortho-substituted derivatives exhibited lower fluorescenc efficiency. In contrast, the quantum yields were below 5% for any substituents at the C(5) of triazole ring (compounds 4af, ΦF up to 0.007–0.044). Due to the extra ring the naphthyl derivative 4g showed moderate photophysical properties (ΦF = 0.079).
The presence of a 4-MeO-group in the aryl at the N(2)-triazole resulted in the most effective conjugation, which resulted in a fluorescence enhancement (comp. 4l, ΦF up to 0.616). Most probably, better internal charge transfer (ICT) from the electron-donor OMe-group to the relatively electronically deficient part of molecule is achieved. On the contrary, the 2-methoxy derivative has the small quantum yield (comp. 4k, ΦF up to 0.013) but it gives the largest Stokes shift (112 nm), that makes it a pretty interesting fluorophore material. Other ortho-substituted at N(2)-triazole derivatives also demonstrated low quantum yields (4i, 4j, 4m and 4n) to confirm the influence of steric hindrance on the photophysical properties. Most probably, lower conjugation of the aryl ring at the N(2)-triazole due to a distorted conformation is a reason for the reduced quantum yields in these cases.

2.4. Solvatochromism of Compound 4l

We also carried out a study of solvatochromic properties for compound 4l which demonstrated the highest quantum yields. The absorption and emission spectra of 4l were taken at a standard concentration in different solvents of various polarities, including dioxane, benzene, EtOAc, THF, dichloromethane, EtOH, DMF, MeCN [36]. The UV-Vis spectrum of 4l in low polarity benzene has a slight bathochromic shift relative to the spectrum in dichloromethane (Figure 8). Increasing solvent polarity resulted in more significant bathochromic shifts of the emission maxima, indicating an ICT behavior, which is better stabilized in polar solvents, for example in THF or EtOH (Figure 9). The intensity of the emission of compound 4l is also highly dependent on the solvent polarity. In particular, the quantum yield of 4l rises with increasing polarity of the solvents (benzene (0.457) < dioxane [0.497] < DMF [0.540] < EtOAc [0.583] < THF [0.591] < CH2Cl2 [0.616] < MeCN [0.618] < EtOH [0.670]) (Table 3). The lowest fluorescence quantum yield was observed in the nonpolar, aprotic solvent benzene because of the charge transfer phenomena [37]. The highest fluorescence quantum yield was observed in a polar, protic solvent, EtOH.

3. Materials and Methods

3.1. Experimental Details

All required fine chemicals were of reagent grade and were used directly without purification unless otherwise noted. 1H- and 13C-NMR spectra were acquired at 400.1 and 100.6 MHz, respectively, on an AVANCE 400 MHz spectrometer (Bruker, Karlsruhe, Germany) in chloroform-d (unless otherwise stated). 1H-NMR coupling constants (J) are reported in Hertz. Data are reported as follows: chemical shift, multiplicity (s - singlet, br s - broad singlet, d - doublet, t - triplet, q - quartet, m - multiplet, dd - doublet of doublets, ddd - doublet of double doublets), coupling constants, integration, and assignment (optionally). HRMS (ESI-MS) spectra were measured on MicroTof (Bruker Daltonics, Bremen, Germany). All IR data was obtained on a Nicolet iS5 One FT-IR spectrometer (Thermo Scientific, Madison, WI USA) using consoles of internal reflection iS3 with a ZnSe ATR element, dip angle 45 °C. All UV data was obtained on a Cary 60 UV-Visible spectrophotometer (Agilent, Santa Clara, CA USA) within 250–800 nm spectral range. The UV-spectra were recorded at 1 cm cuvettes at room temperature, dichloromethane was used as a solvent. Emission spectra were registered with a F2700 spectrofluorometer (Hitachi, Tokyo, Japan) in 1 cm quartz cells. The concentration of the compound in the solutions was 10−5 M and 10−6 M for both measurements. The relative fluorescence quantum yields (ΦF) were measured using quinine sulfate in 0.1 M H2SO4 (Φf = 0.55) and 2-aminopyridine 0.1 M H2SO4 (Φf = 0.60) as a standards [36].
Analytical TLC: aluminium-backed plates precoated (0.25 mm) with Silica Gel 60 F254 (Merck, Darmstadt, Germany) and 0.20 mm ALUGRAM®Xtra SIL G/UV254. (Macherey-Nagel, Düren, Germany). Compounds were visualized by exposure to UV light or by dipping the plates in permanganate (KMnO4) stain followed by heating. Flash and column chromatography were performed using Macherey-Nagel Silica gel 60 (70–230 mesh). All mixed solvent eluents are reported as v/v solutions. Solvents were purified by standard methods. DMSO was distilled over CaH2. Tetrachloromethane was distilled over P2O5.

3.2. General Procedure for the Preparation of (E)-1-(2,2-Dichloro-1-(2-(prop-2-yn-1-yloxy)phenyl)vinyl)-2-Phenyldiazenes

o-Propargyloxy-substituted dichlorodiazabutadienes were synthesized based on previous work [26]. A 20 mL screw neck vial was charged with DMSO (10 mL), the corresponding o-propargyloxy- benzaldehyde [31] (1 mmol, 1 eq.) and hydrazine (1 eq.). After 2 h stirring TMEDA (2.5 eq.), CuCl (0.01 eq.) were added and carbon tetrachloride (10 eq.) was put into the reaction mixture during 5 min under cooling with a water bath. The next reaction was carried out at room temperature during 3 h (until TLC analysis showed complete consumption of corresponding hydrazone). The reaction mixture was then poured into water (200 mL), and extracted with DCM (3 × 20 mL). The combined organic phase was washed with water (3 × 50 mL), brine (1 × 30 mL), dried over anhydrous sodium sulfate and concentrated in vacuo of the rotary evaporator. The residue was purified by column chromatography on silica gel using appropriate mixtures of hexane and DCM (3/1) as eluent.
(E)-1-(2,2-Dichloro-1-(2-(prop-2-yn-1-yloxy)phenyl)vinyl)-2-phenyldiazene (2a). Yield 248 mg (75%), orange-red solid, m.p. 85 °C. IR (ν, cm−1): 1573, 1584, 1604, 3261. 1H-NMR: δ 2.45 (t, 1H, J = 2.4 Hz), 4.63 (d, 2H, J = 2.4 Hz), 7.08–7.15 (m, 3H), 7.42–7.46 (m, 4H), 7.76–7.81 (m, 2H). 13C-NMR: δ 56.1, 75.5, 78.5, 112.7, 121.3, 122.9, 123.2, 128.9, 130.3, 131.3, 131.3, 136.0, 149.9, 153.0, 154.9. ESI-HRMS (m/z): calcd. for (C17H13Cl2N2O) [M + H+] 331.0400, found 331.0400.
(E)-1-(2,2-Dichloro-1-(3-methoxy-2-(prop-2-yn-1-yloxy)phenyl)vinyl)-2-phenyldiazene (2b). Yield 217 mg (60%), orange-red oil. IR (ν, cm–1): 1582, 1603, 3297. 1H-NMR: δ 2.33 (t, 1H, J = 2.5 Hz), 3.91 (s, 3H), 4.60 (s, 2H), 6.73 (dd, 1H, J = 7.7, 1.4 Hz), 7.01 (dd, 1H, J = 8.3, 1.3 Hz), 7.15 (t, 1H, J = 8.0 Hz), 7.42–7.45 (m, 3H), 7.76–7.80 (m, 2H). 13C-NMR: δ 55.7, 60.2, 74.9, 79.3, 113.2, 122.5, 123.2, 124.4, 128.0, 128.9, 131.3, 136.3, 144.7, 149.9, 152.4, 152.9. ESI-HRMS (m/z): calcd. for (C187H15Cl2N2O2) [M + H+] 361.0506, found 361.0505.
(E)-1-(2,2-Dichloro-1-(3-nitro-2-(prop-2-yn-1-yloxy)phenyl)vinyl)-2-phenyldiazene (2c). Yield 196 mg (52%), orange oil. IR (ν, cm–1): 1533, 1574, 1602, 3292. 1H-NMR: δ 2.49 (t, 1H, J = 2.5 Hz), 4.55 (d, 2H, J = 9.5 Hz), 7.32–7.37 (m, 2H), 7.43–7.49 (m, 3H), 7.75–7.79 (m, 2H), 7.98 (dd, 1H, J = 7.0, 2.9 Hz). 13C-NMR: δ 62.6, 76.8, 77.4, 110.5, 123.3, 124.6, 126.3, 129.1, 130.9, 132.0, 133.3, 136.3, 137.6, 144.3, 148.2, 149.5, 152.5. ESI-HRMS (m/z): calcd. for (C17H12Cl2N3O3) [M + H+] 376.0251, found 376.0275.
(E)-1-(2,2-Dichloro-1-(5-nitro-2-(prop-2-yn-1-yloxy)phenyl)vinyl)-2-phenyldiazene (2d). Yield 290 mg (77%), orange-red solid, m.p. 105 °C. IR (ν, cm−1): 1568, 1585, 1612, 3290. 1H-NMR: δ 2.53 (t, 1H, J = 2.4 Hz), 4.74 (d, 2H, J = 2.4 Hz), 7.20 (d, 1H, J = 9.2 Hz), 7.41–7.48 (m, 3H), 7.72–7.77 (m, 2H), 8.06 (d, 1H, J = 2.8 Hz), 8.35 (dd, 1H, J = 9.2, 2.8 Hz). 13C-NMR: δ 56.7, 77.0, 77.5, 112.3, 123.4, 123.9, 126.6, 127.6, 129.2, 131.9, 137.2, 141.9, 148.1, 152.8, 159.7. ESI-HRMS (m/z): calcd. for (C17H12Cl2N3O3) [M + H+] 376.0251, found 376.0260.
(E)-1-(1-(5-Bromo-2-(prop-2-yn-1-yloxy)phenyl)-2,2-dichlorovinyl)-2-phenyldiazene (2e). Yield 271 mg (66%), orange-red solid, m.p. 107 °C. IR (ν, cm−1): 1564, 1582, 1598, 3310. 1H-NMR: δ 2.46 (t, 1H, J = 2.4 Hz), 4.60 (d, 2H, J = 2.4 Hz), 7.01 (d, 1H, J = 8.8 Hz), 7.26 (d, 1H, J = 2.5 Hz), 7.44–7.47 (m, 3H), 7.52 (dd, 1H, J = 8.9, 2.5 Hz), 7.76–7.80 (m, 2H). 13C-NMR: δ 56.2, 75.9, 77.9, 113.4, 114.4, 123.2, 124.9, 128.9, 131.5, 133.0, 133.8, 136.5, 148.6, 152.8, 154.0. ESI-HRMS (m/z): calcd. for (C17H12BrCl2N2O) [M + H+] 408.9505, found 408.9520.
(E)-1-(2,2-Dichloro-1-(3,5-di-tert-butyl-2-(prop-2-yn-1-yloxy)phenyl)vinyl)-2-phenyldiazene (2f). Yield 230 mg (52%), orange-red oil. IR (ν, cm−1): 1562, 1599, 3307. 1H-NMR: δ 1.31 (s, 9H), 1.45 (s, 9H), 2.50 (t, 1H, J=2.5 Hz), 4.19–4.38 (m, 2H), 6.87 (d, 1H, J = 2.5 Hz), 7.41 (d, 1H, J = 2.5 Hz), 7.45–7.47 (m, 3H), 7.79–7.81 (m, 2H). 13C-NMR: δ 30.3, 31.0, 34.2, 34.8, 60.6, 74.6, 78.7, 122.9, 124.5, 125.0, 126.3, 128.6, 131.1, 136.4, 141.4, 145.1, 150.7, 152.6, 154.0. ESI-HRMS (m/z): calcd. for (C25H29Cl2N2O) [M + H+] 443.1652, found 443.1649.
(E)-1-(2,2-Dichloro-1-(2-(prop-2-yn-1-yloxy)naphthalen-1-yl)vinyl)-2-phenyldiazene (2g). Yield 175 mg (46%), orange-red oil. IR (ν, cm−1): 1567, 1587, 1595, 3295. 1H-NMR: δ 2.45 (t, 1H, J = 2.4 Hz), 4.75 (d, 2H, J = 2.4 Hz), 7.36–7.44 (m, 6H), 7.47 (d, 1H, J = 9.1 Hz), 7.70–7.73 (m, 2H), 7.85 (d, 1H, J = 7.7 Hz), 7.96 (d, 1H, J = 9.1 Hz). 13C-NMR: δ 57.0, 75.6, 78.8, 114.6, 117.9, 123.2, 124.1, 124.2, 127.2, 128.2, 128.8, 129.2, 131.0, 131.3, 132.1 136.9, 148.2, 152.7, 153.0. ESI-HRMS (m/z): calcd. for (C21H15Cl2N2O) [M + H+] 381.0556, found 381.0564.
(E)-1-(2,2-Dichloro-1-(2-(prop-2-yn-1-yloxy)phenyl)vinyl)-2-(4-fluorophenyl)diazene (2h). Yield 175 mg (50%), orange-red solid, m.p. 60 °C. IR (ν, cm-1): 1574, 1592, 1603, 3301. 1H-NMR: δ 2.44 (t, 1H, J = 2.4 Hz), 4.63 (d, 2H, J = 2.4 Hz), 7.06–7.13 (m, 5H), 7.41–7.45 (m, 1H), 7.76–7.82 (m, 2H). 13C-NMR: δ 56.1, 75.5, 78.4, 112.7, 115.8, 116.0, 121.3, 122.8, 125.2, 125.3, 130.4, 131.3, 149.5, 149.7, 154.9, 163.3, 165.8. ESI-HRMS (m/z): calcd. for (C17H12Cl2FN2O) [M + H+] 349.0305, found 349.0307.
(E)-1-(2,2-Dichloro-1-(2-(prop-2-yn-1-yloxy)phenyl)vinyl)-2-(2,4-dichlorophenyl)diazene (2i). Yield 244 mg (61%), orange-red solid, m.p. 104 °C. IR (ν, cm−1): 1575, 1599, 3300. 1H-NMR: δ 2.44 (t, 1H, J = 2.4 Hz), 4.62 (d, 2H, J = 2.3 Hz), 7.05–7.15 (m, 3H), 7.27–7.29 (m, 1H), 7.40–7.44 (m, 1H), 7.47 (d, 1H, J = 2.1 Hz), 7.63 (d, 1H, J = 8.7 Hz). 13C-NMR: δ 56.3, 75.5, 78.4, 112.5, 118.5, 121.3, 122.3, 127.6, 130.3, 130.6, 131.2, 136.5, 137.4, 137.9, 147.6, 150.8, 155.1. ESI-HRMS (m/z): calcd. for (C17H11Cl4N2O) [M + H+] 398.9620, found 398.9622.
(E)-1-(2-Chlorophenyl)-2-(2,2-dichloro-1-(2-(prop-2-yn-1-yloxy)phenyl)vinyl)diazene (2j). Yield 201 mg (55%), orange-red oil. IR (ν, cm−1): 1581, 1602, 3297. 1H-NMR: δ 2.44 (t, 1H, J = 2.4 Hz), 4.63 (d, 2H, J = 2.3 Hz), 7.05–7.15 (m, 3H), 7.30–7.38 (m, 2H), 7.39-7.45 (m, 2H), 7.65 (dd, 1H, J = 7.8, 2.0 Hz). 13C-NMR: δ 56.4, 75.5, 78.6, 112.6, 117.7, 121.3, 122.5, 127.1, 130.5, 130.6, 131.2, 131.9, 135.7, 137.3, 149.1, 150.6, 155.2. ESI-HRMS (m/z): calcd. for (C17H12Cl3N2O) [M + H+] 365.0010, found 365.0005.
(E)-1-(2,2-Dichloro-1-(2-(prop-2-yn-1-yloxy)phenyl)vinyl)-2-(2-methoxyphenyl)diazene (2k). Yield 235 mg (65%), orange-red solid, m.p. 102 °C. IR (ν, cm−1): 1570, 1585, 1594, 1607, 3235. 1H-NMR: δ 2.44 (t, 1H, J = 2.4 Hz), 3.73 (s, 3H), 4.61 (d, 2H, J = 2.5 Hz), 6.95–7.00 (m, 2H), 7.07 (td, 1H, J = 7.4, 0.9 Hz), 7.14–7.16 (m, 2H), 7.35–7.42 (m, 2H), 7.62 (dd, 1H, J = 7.9, 1.6 Hz). 13C-NMR: δ 56.6, 57.2, 75.3, 78.7, 113.1, 114.3, 117.3, 120.9, 121.5, 123.1, 130.3, 131.3, 132.7, 135.2, 143.0, 150.3, 155.3, 157.3. ESI-HRMS (m/z): calcd. for (C18H15Cl2N2O2) [M + H+] 361.0505, found 361.0519.
(E)-1-(2,2-Dichloro-1-(2-(prop-2-yn-1-yloxy)phenyl)vinyl)-2-(4-methoxyphenyl)diazene (2l). Yield 101 mg (28%), orange-red solid, m.p. 69 °C. IR (ν, cm−1): 1569, 1581, 1601, 3286. 1H-NMR: δ 2.43 (t, 1H, J = 2.4 Hz), 3.86 (s, 3H), 4.62 (d, 2H, J = 2.4 Hz), 6.92 (dt, 2H, J = 9.8, 2.6 Hz), 7.07 (td, 1H, J = 7.3, 0.9 Hz), 7.10–7.14 (m, 2H), 7.39–7.44 (m, 1H), 7.77 (dt, 2H, J = 9.7, 2.6 Hz). 13C-NMR: δ 55.5, 56.2, 75.4, 78.6, 112.8, 114.0, 121.3, 123.3, 125.2, 130.2, 131.4, 133.9, 147.4, 149.7, 155.0, 162.3. ESI-HRMS (m/z): calcd. for (C18H15Cl2N2O2) [M + H+] 361.0505, found 361.0512.
(E)-1-(2,2-Dichloro-1-(2-(prop-2-yn-1-yloxy)phenyl)vinyl)-2-(2,4-dimethylphenyl)diazene (2m). Yield 320 mg (89%), orange-red oil. IR (ν, cm−1): 1575, 1584, 1606, 3298. 1H-NMR: δ 2.24 (s, 3H), 2.35 (s, 3H), 2.44 (t, 1H, J = 2.4 Hz), 4.62 (d, 2H, J = 2.4 Hz), 7.03–7.13 (m, 5H), 7.39–7.43 (m, 1H), 7.57–7.60 (m, 1H). 13C-NMR: δ 17.0, 21.4, 56.1, 75.5, 78.5, 112.4, 115.4, 121.1, 123.6, 127.1, 130.1, 131.2, 131.7, 134.2, 139.0, 141.9, 148.9, 150.4, 154.9. ESI-HRMS (m/z): calcd. for (C19H17Cl2N2O) [M + H+] 359.0712, found 359.0715.
(E)-1-(2,2-Dichloro-1-(2-(prop-2-yn-1-yloxy)phenyl)vinyl)-2-(2,6-dimethylphenyl)diazene (2n). Yield 320 mg (89%), orange-red oil. IR (ν, cm−1): 1584, 1605, 3300. 1H-NMR: δ 2.29 (s, 6H), 2.47 (t, 1H, J = 2.4 Hz), 4.65 (s, 2H), 7.09–7.18 (m, 6H), 7.42–7.46 (m, 1H). 13C-NMR: δ 19.4, 56.0, 75.6, 78.3, 112.2, 121.2, 123.1, 129.0, 129.1, 130.2, 131.1, 135.5, 150.5, 150.6, 154.7. ESI-HRMS (m/z): calcd. for (C19H17Cl2N2O) [M + H+] 359.0712, found 359.0718.
(E)-4-((2,2-Dichloro-1-(2-(prop-2-yn-1-yloxy)phenyl)vinyl)diazenyl)benzonitrile (2o). Yield 146 mg (41%), orange-red solid, m.p. 154 °C. IR (ν, cm−1): 1578, 1608, 3303. 1H-NMR: δ 2.44 (t, 1H, J = 2.4 Hz), 4.63 (d, 2H, J = 2.3 Hz), 7.07–7.13 (m, 3H), 7.42–7.47 (m, 1H), 7.71–7.73 (m, 2H), 7.82–7.84 (m, 2H). 13C-NMR: δ 55.9, 75.6, 78.2, 112.5, 114.0, 118.4, 121.4, 122.0, 123.6, 130.6, 131.2, 133.0, 139.3, 150.3, 154.7, 154.8. ESI-HRMS (m/z): calcd. for (C18H12Cl2N3O) [M + H+] 356.0352, found 356.0347.

3.3. General Procedure for Preparation of 4-Azido-2-phenyl-5-(2-(prop-2-yn-1-yloxy)phenyl)-2H-1,2,3-triazoles

Attention! All manipulations with any azides demand significant care due to safety reasons!
o-Propargyloxy-substituted 4-azido-2,5-diaryl-1,2,3-triazoles were obtained according to the procedure described in this paper [27]. A 20 mL screw neck vial was charged with DMSO (10 mL) and sodium azide (5 eq.), then corresponding dichlorodiazene (1 mmol, 1 eq.) was added dropwise over 15 min. The resulting mixture was stirred at room temperature for 2 h. Next, reaction mixture was poured into water (100 mL), extracted with DCM (3 × 20 mL). Combined extract was washed with water (3 × 50 mL), brine (1 × 30 mL) and dried over sodium sulfate. Volatiles were removed in vacuum of the rotary evaporator, the residue was purified by column chromatography on silica gel using a mixture of hexane and DCM (3/1). Compounds 3h, 3k, 3l, 3m and 3n were obtained as a mixture of two atropoisomers. Thus, the NMR spectra of these compounds have dual signals.
4-Azido-2-phenyl-5-(2-(prop-2-yn-1-yloxy)phenyl)-2H-1,2,3-triazole (3a). Yield 138 mg (64%), yellow oil. IR (ν, cm-1): 3290, 2131. 1H-NMR: δ 2.55 (t, 1H, J = 2.4 Hz), 4.80 (d, 2H, J = 2.4 Hz), 7.11–7.17 (m, 2H), 7.29–7.36 (m, 1H), 7.42–7.51 (m, 4H), 8.06-8.08 (m, 2H). 13C-NMR: δ 56.1, 75.5, 78.5, 112.7, 121.3, 122.9, 123.2, 128.9, 130.3, 131.3, 131.3, 136.0, 149.9, 153.0, 154.9. ESI-HRMS (m/z): calcd. for (C17H13N6O) [M + H+] 317.1146, found 317.1146.
4-Azido-5-(3-methoxy-2-(prop-2-yn-1-yloxy)phenyl)-2-phenyl-2H-1,2,3-triazole (3b). Yield 43 mg (68%), white solid, m. p. 102 °C. IR (ν, cm−1): 3296, 2125. 1H-NMR: δ 2.42 (t, 1H, J = 2.4 Hz), 3.92 (s, 3H), 4.82 (d, 2H, J = 2.4 Hz), 7.01–7.03 (m, 1H), 7.17–7.21 (m, 2H), 7.35 (t, 1H, J = 7.4 Hz), 7.49 (t, 2H, J = 7.9 Hz), 8.10 (d, 2H, J = 7.8 Hz). 13C-NMR: δ 55.9, 60.6, 74.8, 79.2, 113.3, 118.2, 122.1, 123.6, 124.8, 127.2, 129.2, 135.9, 139.5, 144.3, 144.8, 153.2. ESI-HRMS (m/z): calcd. for (C18H15N6O2) [M + H+] 347.1251, found 347.0787.
4-Azido-5-(3-nitro-2-(prop-2-yn-1-yloxy)phenyl)-2-phenyl-2H-1,2,3-triazole (3c). Yield 114 mg (63%), yellow solid, m. p. 120 °C. IR (ν, cm−1): 3303, 2130. 1H-NMR: δ 2.46 (t, 1H, J = 2.4 Hz), 4.78 (d, 2H, J = 2.5 Hz), 7.36–7.41 (m, 2H), 7.51 (t, 2H, J = 7.9 Hz), 7.91 (d, 2H, J = 8.2 Hz), 8.10 (d, 2H, J = 8.2 Hz). 13C-NMR: δ 63.1, 76.7, 77.5, 118.3, 125.0, 125.8, 126.1, 127.8, 129.4, 133.6, 135.2, 139.2, 144.7, 145.5, 148.8. ESI-HRMS (m/z): calcd. for (C17H12BrN6O) [M + H+] 395.0251, found 395.0250.
4-Azido-5-(5-nitro-2-(prop-2-yn-1-yloxy)phenyl)-2-phenyl-2H-1,2,3-triazole (3d). Yield 114 mg (63%), white-yellow solid, m. p. 160 °C. IR (ν, cm−1): 3286, 2131. 1H-NMR: δ 2.57 (t, 1H, J = 2.4 Hz), 4.78 (d, 2H, J = 2.4 Hz), 7.04 (d, 1H, J = 8.8 Hz), 7.34–7.37 (m, 1H), 7.47–7.54 (m, 3H), 7.72 (d, 1H, J = 2.5 Hz), 8.05–8.07 (m, 2H). 13C-NMR: δ 58.9, 76.1, 77.8, 114.0, 115.1, 118.2, 120.5, 127.4, 129.3, 133.1, 133.6, 134.8, 139.3, 144.4, 154.3. ESI-HRMS (m/z): calcd. for (C17H12BrN6O) [M + H+] 395.0251, found 395.0250.
4-Azido-5-(5-bromo-2-(prop-2-yn-1-yloxy)phenyl)-2-phenyl-2H-1,2,3-triazole (3e). Yield 158 mg (80%), yellow solid, m.p. 218 °C. IR (ν, cm−1): 3292, 2131. 1H-NMR: δ 2.57 (t, 1H, J = 2.4 Hz), 4.78 (d, 2H, J = 2.4 Hz), 7.04 (d, 1H, J = 8.8 Hz), 7.34–7.37 (m, 1H), 7.47–7.54 (m, 3H), 7.72 (d, 1H, J = 2.5 Hz), 8.05–8.07 (m, 2H). 13C-NMR: δ 58.9, 76.1, 77.8, 114.0, 115.1, 118.2, 120.5, 127.4, 129.3, 133.1, 133.6, 134.8, 139.3, 144.4, 154.3. ESI-HRMS (m/z): calcd. for (C17H12BrN6O) [M + H+] 395.0251, found 395.0250.
4-Azido-5-(3,5-di-tert-butyl-2-(prop-2-yn-1-yloxy)phenyl)-2-phenyl-2H-1,2,3-triazole (3f). Yield 231 mg (59%), white-yellow solid, m.p. 114 °C. IR (ν, cm−1): 3310, 2131. 1H-NMR: δ 1.38 (s, 9H), 1.51 (s, 9H), 2.42 (t, 1H, J = 2.4 Hz), 4.28 (dd, 2H, J = 14.9, 2.4 Hz), 7.35–7.39 (m, 2H), 7.49–7.53 (m, 3H), 8.13 (d, 2H, J = 7.7 Hz). 13C-NMR: δ 31.0, 31.4, 34.6, 35.3, 61.2, 74.9, 78.7, 118.2, 118.5, 125.9, 126.6, 127.3, 127.8, 129.2, 137.5, 139.4, 142.7, 144.2, 146.4, 153.8. ESI-HRMS (m/z): calcd. for (C25H29N6O) [M + H+] 429.2397, found 429.2410.
4-Azido-2-phenyl-5-(2-(prop-2-yn-1-yloxy)naphthalen-1-yl)-2H-1,2,3-triazole (3g). Yield 38 mg (35%), yellow oil. IR (ν, cm−1): 2130. 1H-NMR: δ 2.52 (t, 1H, J = 2.5 Hz), 4.84 (d, 2H, J = 2.4 Hz), 7.37–7.55 (m, 6H), 7.66–7.68 (m, 1H), 7.88–7.90 (m, 1H), 8.03 (d, 1H, J = 9.1 Hz), 8.13-8.16 (m, 2H). 13C-NMR: δ 57.2, 76.0, 78.4, 111.8, 114.5, 118.4, 124.4, 127.4, 127.7, 128.2, 129.3, 131.7, 133.4, 139.4, 139.6, 154.1. ESI-HRMS (m/z): calcd. for (C21H15N6O) [M + H+] 367.1302, found 367.1309.
4-Azido-2-(4-fluorophenyl)-5-(2-(prop-2-yn-1-yloxy)phenyl)-2H-1,2,3-triazole (3h). Yield 155 mg (93%), yellow oil. IR (ν, cm−1): 2131. 1H-NMR: δ 2.57 (t, 2H, J = 2.3 Hz), 4.80 (d, 4H, J = 2.4 Hz), 7.11–7.21 (m, 8H), 7.42–7.51 (m, 2H), 7.54–7.58 (m, 2H), 8.01–8.07 (m, 2H). 13C-NMR: δ 56.1, 56.5, 75.7, 75.8, 78.2, 78.2, 112.9, 113.2, 115.9, 115.9, 116.1, 116.2, 117.9, 118.1, 119.7, 119.8, 120.0, 120.1, 121.5, 121.7, 130.7, 130.9, 131.1, 131.4, 135.7, 135.7, 136.3, 144.3, 155.2, 155.3, 160.3, 160.5, 162.7, 163.0. ESI-HRMS (m/z): calcd. for (C17H12FN6O) [M + H+] 335.1052, found 335.1053.
4-Azido-2-(2,4-dichlorophenyl)-5-(2-(prop-2-yn-1-yloxy)phenyl)-2H-1,2,3-triazole (3i). Yield 121 mg (63%), yellow oil. IR (ν, cm−1): 3298, 2131. 1H-NMR: δ 2.55 (t, 1H, J = 2.4 Hz), 4.80 (d, 2H, J = 2.4 Hz), 7.10–7.17 (m, 2H), 7.38–7.46 (m, 2H), 7.56 (dd, 1H, J = 7.6, 1.7 Hz), 7.60 (d, 1H, J = 2.3 Hz), 7.66 (d, 1H, J = 8.6 Hz). 13C-NMR (100 MHz, CDCl3): δ 56.7, 75.8, 78.3, 113.3, 118.0, 121.8, 127.7, 127.8, 129.6, 130.8, 131.0, 131.2, 135.1, 136.3, 136.9, 144.8, 155.3. ESI-HRMS (m/z): calcd. for (C17H11Cl2N6O) [M + H+] 385.0366, found 385.0363.
4-Azido-2-(2-chlorophenyl)-5-(2-(prop-2-yn-1-yloxy)phenyl)-2H-1,2,3-triazole (3j). Yield 109 mg (62%), yellow solid, m.p. 162 °C. IR (ν, cm−1): 3296, 2128. 1H-NMR: δ 2.55 (t, 1H, J = 2.4 Hz), 4.81 (d, 2H, J = 2.4 Hz), 7.10–7.18 (m, 2H), 7.38–7.46 (m, 3H), 7.56–7.59 (m, 2H), 7.69–7.71 (m, 1H). 13C-NMR: δ 56.7, 75.7, 78.4, 113.4, 118.2, 121.8, 127.3, 127.4, 129.1, 130.0, 130.7, 131.1, 131.3, 136.5, 137.7, 144.5, 155.3. ESI-HRMS (m/z): calcd. for (C17H12ClN6O) [M + H+] 351.0756, found 351.0754.
4-Azido-2-(2-methoxyphenyl)-5-(2-(prop-2-yn-1-yloxy)phenyl)-2H-1,2,3-triazole (3k). Yield 149 mg (86%), yellow oil. IR (ν, cm−1): 3292, 2132. 1H-NMR: δ 2.55 (t, 2H, J = 2.4 Hz), 3.90 (s, 6H), 4.79 (d, 4H, J = 2.5 HZ), 7.05–7.20 (m, 8H), 7.39–7.48 (m, 4H), 7.55–7.60 (m, 4H). 13C-NMR: δ 56.2, 56.3, 75.7, 75.7, 78.4, 78.4, 112.7, 112.8, 113.0, 113.3, 118.2, 118.5, 120.5, 120.6, 121.5, 121.7, 126.9, 129.4, 129.5, 130.4, 130.4, 130.6, 130.7, 131.3, 131.6, 135.9, 137.1, 142.7, 143.8, 153.3, 153.4, 155.3, 155.4. ESI-HRMS (m/z): calcd. for (C18H15N6O2) [M + H+] 347.1251, found 347.1257.
4-Azido-2-(4-methoxyphenyl)-5-(2-(prop-2-yn-1-yloxy)phenyl)-2H-1,2,3-triazole (3l). Yield 102 mg (59%), yellow oil. IR (ν, cm−1): 3292, 2131. 1H-NMR: δ 2.55 (t, 1H, J = 2.3 Hz), 2.57 (t, 1H, J = 2.3 Hz), 3.83 (s, 6H), 4.78 (d, 2H, J = 2.4 Hz), 4.79 (d, 2H, J = 2.4 Hz), 6.97–7.01 (m, 4H), 7.10–7.20 (m, 4H), 7.40–7.49 (m, 2H), 7.55–7.60 (m, 2H), 7.96–8.01 (m, 4H). 13C-NMR: δ 55.4, 56.1, 56.5, 75.6, 75.7, 78.2, 78.3, 112.9, 113.2, 114.2, 114.2, 118.1, 118.4, 119.5, 119.7, 121.4, 121.6, 130.4, 130.7, 131.0, 131.3, 133.1, 133.2, 133.7, 134.0, 135.5, 137.0, 142.5, 143.6, 155.2, 155.3, 158.7, 158.9. ESI-HRMS (m/z): calcd. for (C18H15N6O2) [M + H+] 347.1251, found 347.1251.
4-Azido-2-(2,4-dimethylphenyl)-5-(2-(prop-2-yn-1-yloxy)phenyl)-2H-1,2,3-triazole (3m). Yield 162 mg (56%), yellow oil. IR (ν, cm−1): 3292, 2119. 1H-NMR: δ 2.39 (s, H), 2.45–2.47 (m, 6H), 2.53 (t, 1H, J = 2.4 Hz), 2.55 (t, 1H, J = 2.4 Hz), 4.79 (d, 2H, J = 2.4 Hz), 4.80 (d, 2H, J = 2.5 Hz), 7.09–7.21 (m, 8H), 7.40–7.49 (m, 2H), 7.51–7.58 (m, 4H). 13C-NMR: δ 18.9, 19.1, 21.0, 21.0, 56.3, 56.7, 75.6, 75.7, 78.3, 78.4, 113.1, 113.3, 118.3, 118.6, 121.5, 121.7, 124.6, 124.8, 127.2, 130.4, 130.7, 131.2, 131.5, 132.0, 132.2, 132.3, 132.3, 136.7, 137.0, 138.5, 138.9, 142.3, 143.5, 155.3, 155.4. ESI-HRMS (m/z): calcd. for (C19H17N6O) [M + H+] 345.1459, found 345.1458.
4-Azido-2-(2,6-dimethylphenyl)-5-(2-(prop-2-yn-1-yloxy)phenyl)-2H-1,2,3-triazole (3n). Yield 168 mg (58%), yellow oil. IR (ν, cm−1): 3291, 2126. 1H-NMR: δ 2.14 (s, 6H), 2.16 (s, 6H), 2.52 (t, 1H, J = 2.4 Hz), 2.53 (t, 1H, J = 2.4 Hz), 4.78 (dd, 2H, J = 2.5 Hz), 4.79 (dd, 2H, J = 2.5 Hz), 7.09–7.20 (m, 8H), 7.28–7.33 (m, 2H), 7.40–7.49 (m, 2H), 7.56 (t, 1H, J = 1.7 Hz), 7.58 (t, 1H, J = 1.7 Hz). 13C-NMR: δ 17.4, 17.5, 56.4, 56.7, 75.6, 75.7, 78.3, 78.4, 113.2, 113.4, 118.3, 118.5, 121.5, 121.7, 128.2, 128.3, 129.8, 129.9, 130.4, 130.7, 131.1, 131.4, 135.1, 135.9, 136.0, 136.4, 139.1, 139.2, 142.1, 143.4, 155.3, 155.4. ESI-HRMS (m/z): calcd. for (C19H17N6O) [M + H+] 345.1459, found 345.1459.
4-(4-Azido-5-(2-(prop-2-yn-1-yloxy)phenyl)-2H-1,2,3-triazol-2-yl)benzonitrile (3o). Yield 102 mg (60%), grey solid, m. p. 124 °C. IR (ν, cm−1): 3256, 2133. 1H-NMR: δ 2.56 (t, 1H, J = 2.4 Hz), 4.80 (d, 2H, J = 2.4 Hz), 7.11–7.18 (m, 2H), 7.45–7.49 (m, 1H), 7.56 (dd, 1H, J = 7.6, 1.7 Hz), 7.77 (dt, 2H, J = 9.0, 2.0 Hz), 8.17 (dt, 2H, J = 9.0, 2.0 Hz). 13C-NMR: δ 56.6, 75.8, 78.1, 110.3, 113.2, 117.6, 118.3, 118.3, 121.8, 131.1, 131.2, 133.5, 138.0, 141.9, 145.9, 155.4. ESI-HRMS (m/z): calcd. for (C18H12N7O) [M + H+] 342.1098, found 342.1099.

3.4. General Procedure for Preparation of 2-Aryl-2H,8H-benzo[g]bis([1,2,3]triazolo)[5,1-c:4’,5’-e][1,4]-oxazocines 4

To 3 mL of argon-sparged o-xylene the previously synthesized 4-azido-2-phenyl-5-(2-(prop-2-yn-1-yloxy)phenyl)-2H-1,2,3-triazole was added. The reaction mixture was refluxed under Ar for 12 h or more until TLC analysis showed complete consumption of source reagent. The final reaction mixture was evaporate and the residue was purified by column chromatography on silica gel using a mixture of hexane and EtOAc (6/1) as eluent.
2-Phenyl-2H,8H-benzo[g]bis([1,2,3]triazolo)[5,1-c:4’,5’-e][1,4]oxazocine (4a). Yield 222 mg (70%), white solid, m. p. 157 °C. IR (ν, cm−1): no signals of azido group and triple bond. 1H-NMR: δ 5.58 (s, 2H), 7.26–7.30 (m, 2H), 7.40 (t, 1H, J = 7.4 Hz), 7.45–7.54 (m, 3H), 7.63 (s, 1H), 7.71 (dd, 1H, J = 8.1, 1.6 Hz), 8.19–8.21 (m, 2H). 13C NMR (100 MHz, CDCl3): δ 67.0, 118.8, 121.4, 121.6, 125.4, 128.3, 129.3, 129.9, 131.6, 131.8, 134.7, 138.3, 139.1, 141.6, 155.6. ESI-HRMS (m/z): calcd. for (C17H13N6O) [M + H+] 317.1145, found 317.1144.
10-Methoxy-2-phenyl-2H,8H-benzo[g]bis([1,2,3]triazolo)[5,1-c:4’,5’-e][1,4]oxazocine (4b). Yield 291 mg (84%), white-yellow solid, m. p. 170 °C. IR (ν, cm−1): no signals of azido group and triple bond were observed. 1H-NMR: δ 3.95 (s, 3H), 5.65 (s, 2H), 7.02–7.06 (m, 1H), 7.22–7.25 (m, 2H), 7.42 (tt, 1H, J = 7.4, 1.3 Hz), 7.51–7.55 (m, 2H), 7.62 (s, 1H), 8.19–8.23 (m, 2H). 13C-NMR: δ 55.9, 65.4, 113.5, 118.9, 120.8, 123.6, 126.2, 128.2, 129.3, 131.5, 135.5, 138.4, 139.3, 142.2, 143.7, 152.6. ESI-HRMS (m/z): calcd. for (C18H15N6O) [M + H+] 347.1251, found 347.1247.
10-Nitro-2-phenyl-2H,8H-benzo[g]bis([1,2,3]triazolo)[5,1-c:4’,5’-e][1,4]oxazocine (4c). Yield 264 mg (73%), white solid, m. p. 250 °C. IR (ν, cm−1): no signals of azido group and triple bond were observed. 1H-NMR (DMSO-d6): δ 5.83 (s, 2H), 7.55–7.59 (m, 2H), 7.68 (t, 2H, J = 7.9 Hz), 8.03 (s, 1H), 8.17 (d, 2H, J = 7.9 Hz), 8.23 (d, 2H, J = 8.0 Hz). 13C-NMR (DMSO-d6): δ 66.2, 118.9, 123.8, 125.9, 127.6, 129.2, 130.1, 133.3, 134.7, 135.7, 136.6, 138.5, 140.9, 143.5, 148.3. ESI-HRMS (m/z): calcd. for (C17H12N7O3) [M + H+] 362.0996, found 362.0997.
12-Nitro-2-phenyl-2H,8H-benzo[g]bis([1,2,3]triazolo)[5,1-c:4’,5’-e][1,4]oxazocine (4d). Yield 246 mg (68%), white solid, m. p. 237 °C. IR (ν, cm−1): no signals of azido group and triple bond were observed. 1H-NMR: δ 5.58 (s, 2H), 7.34 (d, 1H, J = 9.1 Hz), 7.47–7.51 (m, 1H), 7.58 (t, 2H, J = 7.8 Hz), 7.86 (s, 1H), 8.23–8.25 (m, 2H), 8.29 (dd,1H, J = 9.1, 2.8 Hz), 8.78 (d, 1H, J = 2.8 Hz). 13C-NMR: δ 63.5, 110.6, 119.1, 122.9, 126.4, 127.6, 129.1, 129.6, 133.0, 133.3, 136.7, 138.9, 144.0, 159.8, 160.6, 169.7, 178.8. ESI-HRMS (m/z): calcd. for (C17H12N7O3) [M + H+] 362.0996, found 362.1008.
12-Bromo-2-phenyl-2H,8H-benzo[g]bis([1,2,3]triazolo)[5,1-c:4’,5’-e][1,4]oxazocine (4e). Yield 261 mg (66%), white solid, m. p. 224 °C. IR (ν, cm−1): no signals of azido group and triple bond were observed. 1H-NMR: δ 5.56 (s, 2H), 7.18 (d, 1H, J = 8.7 Hz), 7.45 (tt, 1H, J = 7.4, 1.3 Hz), 7.53–7.60 (m, 3H), 7.68 (s, 1H), 7.89 (d, 1H, J = 2.5 Hz), 8.19–8.22 (m, 2H). 13C-NMR: δ 66.6, 118.2, 118.9, 123.3, 123.4, 128.6, 129.5, 131.9, 132.8, 134.2, 134.6, 137.0, 139.1, 141.5, 154.7. ESI-HRMS (m/z): calcd. for (C17H12BrN6O) [M + H+] 395.0250, found 395.0252.
10,12-Di-tert-butyl-2-phenyl-2H,8H-benzo[g]bis([1,2,3]triazolo)[5,1-c:4’,5’-e][1,4]oxazocine (4f). Yield 335 mg (78%), white-yellow solid, m. p. 217 °C. IR (ν, cm−1): no signals of azido group and triple bond were observed. 1H-NMR: δ 1.37 (s, 9H), 1.47 (s, 9H), 5.39 (s, 2H), 7.44 (t, 1H, J = 7.4 Hz), 7.51–7.57 (m, 3H), 7.77 (s, 1H), 7.86 (d, 1H, J = 2.5 Hz), 8.23–8.25 (m, 2H). 13C-NMR: δ 31.3, 34.7, 35.5, 65.2, 119.0, 121.2, 126.4, 126.9, 128.4, 129.4, 132.6, 134.2, 138.4, 139.1, 140.0, 142.1, 146.8, 153.8. ESI-HRMS (m/z): calcd. for (C25H29N6O) [M + H+] 429.2397, found 429.2402.
14-Phenyl-8H,14H-naphtho[1–g]bis([1,2,3]triazolo)[5,1-c:4’,5’-e][1,4]oxazocine (4g). Yield 184 mg (50%), white-yellow solid, m. p. 143 °C. IR (ν, cm−1): no signals of azido group and triple bond were observed. 1H-NMR: δ 5.69 (s, 2H), 7.43–7.47 (m, 2H), 7.51–7.61 (m, 5H), 7.88 (d, 1H, J = 7.8 Hz), 8.01 (d, 1H, J = 8.7 Hz), 8.28–8.31 (m, 2H), 8.33 (d, 1H, J = 8.5 Hz). 13C-NMR: δ 67.4, 111.3, 117.0, 118.9, 119.5, 125.2, 126.1, 128.0, 128.3, 129.4, 131.3, 131.3, 132.7, 134.9, 137.2, 139.4, 143.2, 153.6. ESI-HRMS (m/z): calcd. for (C21H15N6O) [M + H+] 367.1302, found 367.1309.
2-(4-Fluorophenyl)-2H,8H-benzo[g]bis([1,2,3]triazolo)[5,1-c:4’,5’-e][1,4]oxazocine (4h). Yield 285 mg (85%), white solid, m. p. 168 °C. IR (ν, cm−1): no signals of azido group and triple bond were observed. 1H-NMR: δ 5.59 (s, 2H), 7.18–7.24 (m, 2H), 7.27–7.31 (m, 2H), 7.46–7.51 (m, 1H), 7.64 (s, 1H), 7.68–7.70 (m, 1H), 8.15–8.20 (m, 2H). 13C-NMR: δ 67.1, 116.1, 116.4, 120.6, 120.7, 121.5, 125.5, 129.9, 131.6, 131.9, 134.7, 135.5, 138.4, 141.7, 155.7, 161.0, 163.4. ESI-HRMS (m/z): calcd. for (C17H12FN6O) [M + H+] 335.1051, found 335.1050.
2-(2,4-Dichlorophenyl)-2H,8H-benzo[g]bis([1,2,3]triazolo)[5,1-c:4’,5’-e][1,4]oxazocine (4i). Yield 331 mg (86%), white-yellow solid, m. p. 110 °C. IR (ν, cm−1): no signals of azido group and triple bond were observed. 1H-NMR: δ 5.61 (s, 2H), 7.27–7.32 (m, 2H), 7.43–7.52 (m, 2H), 7.63–7.64 (m, 2H), 7.69 (dd, 1H, J = 7.6, 1.4 Hz), 7.77 (d, 1H, J = 8.6 Hz). 13C-NMR: δ 67.3, 121.5, 121.5, 125.6, 127.8, 128.2, 130.0, 130.0, 131.0, 131.6, 132.0, 134.7, 136.0, 136.0, 138.9, 142.2, 155.7. ESI-HRMS (m/z): calcd. for (C17H11Cl2N6O) [M + H+] 385.0366, found 385.0373.
2-(2-Chlorophenyl)-2H,8H-benzo[g]bis([1,2,3]triazolo)[5,1-c:4’,5’-e][1,4]oxazocine (4j). Yield 242 mg (69%), white solid, m. p. 80 °C. IR (ν, cm−1): no signals of azido group and triple bond were observed. 1H-NMR: δ 5.63 (s, 2H), 7.28–7.33 (m, 2H), 7.45–7.53 (m, 3H), 7.61–7.65 (m, 2H), 7.73 (dd, 1H, J = 7.6, 1.6 Hz), 7.80–7.84 (m, 1H). 13C-NMR: δ 67.2, 121.5, 121.6, 125.6, 127.5, 127.7, 129.5, 130.1, 130.8, 131.2, 131.6, 131.9, 134.7, 137.5, 138.6, 142.0, 155.7. ESI-HRMS (m/z): calcd. for (C17H12ClN6O) [M + H+] 351.0756, found 351.0758.
2-(2-Methoxyphenyl)-2H,8H-benzo[g]bis([1,2,3]triazolo)[5,1-c:4’,5’-e][1,4]oxazocine (4k). Yield 232 mg (67%), white solid, m. p. 65 °C. IR (ν, cm−1): no signals of azido group and triple bond were observed. 1H-NMR: δ 3.89 (s, 3H), 5.58 (s, 2H), 7.08–7.12 (m, 2H), 7.23–7.29 (m, 2H), 7.43–7.50 (m, 2H), 7.62 (s, 1H), 7.68–7.72 (m, 2H). 13C-NMR: δ 56.2, 67.0, 112.6, 120.5, 121.4, 121.8, 125.4, 127.1, 129.0, 130.0, 131.1, 131.5, 131.6, 134.5, 137.9, 141.4, 153.5, 155.6. ESI-HRMS (m/z): calcd. for (C18H15N6O2) [M + H+] 347.1251, found 347.1244.
2-(4-Methoxyphenyl)-2H,8H-benzo[g]bis([1,2,3]triazolo)[5,1-c:4’,5’-e][1,4]oxazocine (4l). Yield 253 mg (73%), white solid, m. p.65 °C. IR (ν, cm−1): no signals of azido group and triple bond were observed. 1H-NMR: δ 3.89 (s, 3H), 5.59 (s, 2H), 7.02–7.06 (m, 2H), 7.28–7.31 (m, 2H), 7.46–7.51 (m, 1H), 7.65 (s, 1H), 7.72 (dd, 1H, J = 8.0, 1.8 Hz), 8.11–8.15 (m, 2H). 13C-NMR: δ 55.6, 67.0, 114.4, 120.4, 121.5, 121.8, 125.5, 130.1, 131.7, 131.7, 133.0, 134.6, 137.8, 141.2, 155.6, 159.6. ESI-HRMS (m/z): calcd. for (C18H15N6O2) [M + H+] 347.1251, found 347.1254.
(2,4-Dimethylphenyl)-2H,8H-benzo[g]bis([1,2,3]triazolo)[5,1-c:4’,5’-e][1,4]oxazocine (4m). Yield 253 mg (77%), white solid, m. p.173 °C. IR (ν, cm−1): no signals of azido group and triple bond were observed. 1H-NMR: δ 2.41 (s, 3H), 2.52 (s, 3H), 5.60 (s, 2H), 7.16–7.29 (m, 2H), 7.26–7.31 (m, 2H), 7.46–7.50 (m, 1H), 7.65 (t, 2H, J = 4.0 Hz), 7.70 (dd, 1H, J = 7.6, 1.6 Hz). 13C-NMR: δ 19.0, 21.1, 67.0, 121.5, 121.9, 125.0, 125.5, 127.3, 130.1, 131.6, 131.6, 132.3, 132.4, 134.6, 136.8, 137.6, 139.4, 141.1, 155.7. ESI-HRMS (m/z): calcd. for (C19H17N6O) [M + H+] 345.1458, found 345.1450.
(2,6-Dimethylphenyl)-2H,8H-benzo[g]bis([1,2,3]triazolo)[5,1-c:4’,5’-e][1,4]oxazocine (4n). Yield 293 mg (85%), white solid, m. p.175 °C. IR (ν, cm−1): no signals of azido group and triple bond were observed. 1H-NMR: δ 2.21 (s, 6H), 5.62 (s, 2H), 7.21 (d, 2H, J = 7.6 Hz), 7.26–7.37 (m, 3H), 7.46–7.50 (m, 1H), 7.66 (s, 1H), 7.72 (dd, 1H, J = 7.7, 1.6 Hz). 13C-NMR: δ 17.6, 67.2, 121.6, 121.8, 125.5, 128.4, 130.0, 130.2, 131.6, 131.7, 134.5, 135.7, 137.4, 138.9, 141.1, 155.8. ESI-HRMS (m/z): calcd. for (C19H17N6O) [M + H+] 345.1458, found 345.1450.
4-(2H,8H-Benzo[g]bis([1,2,3]triazolo)[5,1-c:4’,5’-e][1,4]oxazocin-2-yl)benzonitrile (4o). Yield 178 mg (52%), white solid, m. p. 198 °C. IR (ν, cm−1): no signals of azido group and triple bond were observed. 1H-NMR: δ 5.62 (s, 2H), 7.31–7.35 (m, 2H), 7.52–7.56 (m, 1H), 7.65 (s, 1H), 7.70 (dd, 1H, J = 8.0, 1.6 Hz), 7.84 (dt, 2H, J = 9.0, 2.0 Hz), 8.34 (dt, 2H, J = 9.0, 2.0 Hz). 13C-NMR: δ 67.4, 111.7, 115.5, 118.0, 119.1, 121.4, 121.6, 125.8, 129.8, 131.6, 132.4, 133.6, 134.9, 139.9, 141.7, 142.9, 155.8. ESI-HRMS (m/z): calcd. for (C18H12N7O) [M + H+] 342.1098, found 342.1096.

4. Conclusions

The synthesis and photophysical properties of a series of new differently substituted 2-phenyl-2H,8H-benzo[g]bis([1,2,3]triazolo)[5,1-c:4’,5’-e][1,4]oxazocines were investigated. The corresponding dichlorodiazenes containing propargyloxy groups were used as a key starting materials for this aim. Their reaction with sodium azide leads directly to the corresponding 4-azido-1,2,3-triazoles in up to 97% yield. Subsequent thermal cyclization resulted in efficient synthesis of condensed heterocycles having an additional triazole ring in up to 86% yield. The prepared oxazocine derivatives demonstrated interesting photophysical properties and much higher fluorescence quantum yields in comparison to non-cyclized triazole derivatives.

Supplementary Materials

Copies of all the 1H- and 13C-NMR spectra are available online.

Author Contributions

Conceptualization, V.N.; investigation, B.T.; writing—original draft preparation, B.T.; writing—review and editing, V.N.; visualization, B.T., V.N.; funding acquisition, V.N. All authors have read and agreed to the published version of the manuscript.

Funding

This research was funded by RFBR 18-53-06006 and 16-29-10669.

Acknowledgments

The authors acknowledge partial support in measuring of NMR and UV-Vis/Fluorescence Spectra from M.V. Lomonosov Moscow State University Program of Development. The authors acknowledge Thermo Fisher Scientific Inc., MS Analytica (Moscow, Russia).

Conflicts of Interest

The authors declare no conflict of interest.

References

  1. Belskaya, N.; Subbotina, J.; Lesogorova, S. Synthesis of 2H-1,2,3-Triazoles. Top. Heterocycl. Chem. Ser. 2015, 40, 51–116. [Google Scholar]
  2. Dehaen, W.; Bakulev, V.A. Chemistry of 1,2,3-triazoles. Top. Heterocycl. Chem. Ser. 2015, 40, 384. [Google Scholar] [CrossRef]
  3. Krivolapov, V.P.; Shkurko, O.P. 1,2,3-Triazole and its derivatives. Development of methods for the formation of the triazole ring. Russ. Chem. Rev. 2005, 74, 339–379. [Google Scholar] [CrossRef]
  4. Kalisiak, J.; Sharpless, K.B.; Fokin, V.V. Efficient synthesis of 2-substituted-1,2,3-triazoles. Org. Lett. 2008, 10, 3171–3174. [Google Scholar] [CrossRef] [PubMed]
  5. Schulze, B.; Schubert, U.S. Beyond click chemistry—Supramolecular interactions of 1,2,3-triazoles. Chem. Soc. Rev. 2014, 43, 2522–2571. [Google Scholar] [CrossRef] [PubMed]
  6. Huisgen, R. Centenary Lecture—1,3-Dipolar Cycloadditions. Proc. Chem. Soc. Lond. 1961, 357–396. [Google Scholar] [CrossRef]
  7. Li, S.X.; Feng, L.R.; Guo, X.J.; Zhang, Q. Application of thermal azide–alkyne cycloaddition (TAAC) reaction as a low temperature cross-linking method in polymer gate dielectrics for organic field-effect transistors. J. Mater. Chem. C 2014, 2, 3517. [Google Scholar] [CrossRef]
  8. Zhu, X.M.; Schmidt, R.R. Glycosylthiomethyl Chloride:  A New Species for S-Neoglycoconjugate Synthesis. Synthesis of 1-N-Glycosylthiomethyl-1,2,3-triazoles. J. Org. Chem. 2004, 69, 1081–1085. [Google Scholar] [CrossRef]
  9. Hager, C.; Mietchen, R.; Reinke, H. Organofluorine compounds and fluorinating agents. Part 26: New reversed nucleosides—perfluoroalkyl substituted 1,2,3-triazoles linked to d-galactose and d-altrose. J. Fluor. Chem. 2000, 104, 135. [Google Scholar] [CrossRef]
  10. Delisi, R.; Mingoia, F.; Terenzi, A.; Martorana, A.; Barone, G.; Almerico, A. 1,2,3-Triazole in Heterocyclic Compounds, Endowed with Biological Activity, through 1,3-Dipolar Cycloadditions. Eur. J. Org. Chem. 2014, 2014, 3289–3306. [Google Scholar] [CrossRef]
  11. Kosmrlj, J. Click triazoles. Top. Heterocycl. Chem. Ser. 2012, 28, 236. [Google Scholar] [CrossRef]
  12. Kolb, H.C.; Finn, M.G.; Sharpless, K.B. Click Chemistry: Diverse Chemical Function from a Few Good Reactions. Angew. Chem. 2001, 40, 2004–2021. [Google Scholar] [CrossRef]
  13. Alvares-Builla, J.; Vagquero, J.J.; Burluenga, J. Modern Heterocyclic Chemistry; Wiley VCH: Weinheim, Germany, 2011; Volume 12, pp. 989–1008. [Google Scholar]
  14. Dheer, D.; Singh, V.; Shankar, R. Medicinal attributes of 1,2,3-triazoles: Current developments. Bioorg. Chem. 2017, 71, 30–54. [Google Scholar] [CrossRef] [PubMed]
  15. Kaur, R.; Dwivedi, A.R.; Kumar, B.; Kumar, V. Recent Developments on 1,2,4-Triazole Nucleus in Anticancer Compounds: A Review. Anticancer Agents Med. Chem. 2016, 16, 465–489. [Google Scholar] [CrossRef]
  16. De Carvalho da Silva, F.; do Carmo Cardoso, M.F.; Ferreira, P.G.; Ferreira, V.F. Biological properties of 1H- and 2H-1,2,3-Triazoles. Top. Heterocycl. Chem. Ser. 2015, 40, 117–166. [Google Scholar]
  17. Ma, N.; Wang, Y.; Zhao, B.X.; Ye, W.C.; Jiang, S. The application of click chemistry in the synthesis of agents with anticancer activity. Drug Des. Dev. Ther. 2015, 9, 1585–1599. [Google Scholar] [CrossRef]
  18. Fletcher, R.A.; Gilley, A.; Sankhla, N.; Davis, T.D. Triazoles as Plant Growth Regulators and Stress Protectants. Hortic. Rev. 2010, 24, 55–138. [Google Scholar] [CrossRef]
  19. Liu, Y.; Yan, W.; Chen, Y.; Petersen, J.L.; Shi, X. Efficient Synthesis of N-2-Aryl-1,2,3-Triazole Fluorophores via Post-Triazole Arylation. Org. Lett. 2008, 10, 5389–5392. [Google Scholar] [CrossRef]
  20. Katan, C.; Savel, P.; Wong, B.M.; Roisnel, T.; Dorcet, V.; Jean-Luc Fillaut, J.L.; Jacquemin, D. Absorption and fluorescence signatures of 1,2,3-triazole based regioisomers: Challenging compounds for TD-DFT. Phys. Chem. Chem. Phys. 2014, 16, 9064–9073. [Google Scholar] [CrossRef]
  21. Singh, H.; Sidhu, J.; Khurana, J.M. Synthesis and photophysical properties of novel chloroquinoline based chalcone derivates containing 1,2,3-triazole moiety. J. Lumin. 2015, 158, 340–350. [Google Scholar] [CrossRef]
  22. Yan, W.; Wang, Q.; Lin, Q.; Li, M.; Petersen, J.L.; Shi, X. N-2-Aryl-1,2,3-triazoles: A Novel Class of UV/Blue-Light-Emitting Fluorophores with Tunable Optical Properties. Chem. Eur. J. 2011, 17, 5011–5018. [Google Scholar] [CrossRef] [PubMed]
  23. Gavlik, K.D.; Sukhorukova, E.S.; Shafran, Y.M.; Slepukhin, P.A.; Benassi, E.; Belskaya, N.P. 2-Aryl-5-amino-1,2,3-triazoles: New effective blue-emitting fluorophores. Dyes Pigments 2017, 136, 229–242. [Google Scholar] [CrossRef]
  24. Padalkar, V.S.; Lanke, S.K.; Chemate, S.B.; Sekar, N. N-2-Aryl-1,2,3-Triazoles: A Novel Class of Blue Emitting Fluorophores-Synthesis, Photophysical Properties Study and DFT Computations. J. Lumin. 2015, 25, 985–996. [Google Scholar] [CrossRef]
  25. Zhang, Y.; Ye, X.; Petersen, J.L.; Li, M.; Shi, X. Synthesis and characterization of Bis-N-2-Aryl Triazole as a fluorophore. J. Org. Chem. 2015, 80, 3664–3669. [Google Scholar] [CrossRef] [PubMed]
  26. Nenajdenko, V.G.; Shastin, A.V.; Gorbachev, V.M.; Shorunov, S.V.; Muzalevskiy, V.M.; Lukianova, A.I.; Khrustalev, V.N. Copper-Catalyzed Transformation of Hydrazones into Halogenated Azabutadienes, Versatile Building Blocks for Organic Synthesis. ACS Catal. 2016, 7, 205–209. [Google Scholar] [CrossRef]
  27. Shastin, A.V.; Sergeev, P.G.; Lukianova, A.I.; Muzalevskiy, V.M.; Khrustalev, V.N.; Dorovatovskii, P.V. Dichloro-Substituted 1,2-Diazabuta-1,3-dienes as Highly Reactive Electrophiles in the Reaction with Amines and Diamines: Efficient Synthesis of α-Hydrazo Amidinium Salts. Eur. J. Org. Chem. 2018, 36, 4996–5006. [Google Scholar] [CrossRef]
  28. Shikhaliyev, N.Q.; Ahmadova, N.E.; Gurbanov, A.V.; Maharramov, A.M.; Mammadova, G.Z.; Nenajdenko, V.G.; Zubkov, F.I.; Mahmudov, K.T.; Pombeiro, A.J.L. Noncovalent interactions in the design of bis-azo dyes. Dyes Pigments 2018, 150, 377–381. [Google Scholar] [CrossRef]
  29. Maharramov, A.M.; Shikhaliyev, N.Q.; Suleymanova, G.T.; Gurbanov, A.V.; Babayeva, G.V.; Mammadova, G.Z.; Zubkov, F.I.; Nenajdenko, V.G.; Mahmudov, K.T.; Pombeiro, A.J.L. Pnicogen, halogen and hydrogen bonds in (E)-1-(2,2-dichloro-1-(2-nitrophenyl)vinyl)-2-(para-substituted phenyl)-diazenes. Dyes Pigments 2018, 159, 135–141. [Google Scholar] [CrossRef]
  30. Shastin, A.V.; Tsyrenova, B.D.; Sergeev, P.G.; Roznyatovsky, V.A.; Smolyar, I.V.; Khrustalev, V.N.; Nenajdenko, V.G. Synthesis of a New Family of 1,1-Diazidoethenes: One-Pot Construction of 4-Azido-1,2,3-triazoles via Nitrene Cyclization. Org. Lett. 2018, 20, 7803–7806. [Google Scholar] [CrossRef]
  31. Hans, R.H.; Guantai, E.M.; Lategan, C.; Smith, P.J.; Wan, B.; Franzblau, S.G.; Chibale, K. Synthesis, antimalarial and antitubercular activity of acetylenic chalcones. Bioorg. Med. Chem. Lett. 2010, 20, 942–944. [Google Scholar] [CrossRef]
  32. Bräse, S.; Banert, K. Organic Azides: Syntheses and Applications; John Wiley & Sons: Chichester, UK, 2010. [Google Scholar]
  33. Sokolova, N.V.; Nenajdenko, V.G. Recent advances in the Cu(I)-catalyzed azide–alkyne cycloaddition: Focus on functionally substituted azides and alkynes. RSC Adv. 2013, 3, 16212–16242. [Google Scholar] [CrossRef]
  34. Ōki, M. Recent Advances in Atropisomerism. Top. Stereochem. Ser. 2007, 14, 1–81. [Google Scholar] [CrossRef]
  35. Valeur, B. Molecular Fluorescence. Principles and Applications; Wiley VCH: Weinheim, Germany, 2002. [Google Scholar] [CrossRef]
  36. Melhuish, W.H. Quantum efficiencies of fluorescence of organic substances: Effect of solvent and concentration of the fluorescent solute. J. Phys. Chem. 1961, 65, 229–235. [Google Scholar] [CrossRef]
  37. Muińo, P.L.; Callis, P.R. Solvent Effects on the Fluorescence Quenching of Tryptophan by Amides via Electron Transfer. Experimental and Computational Studies. J. Phys. Chem. 2009, 113, 2572–2577. [Google Scholar] [CrossRef]
Sample Availability: Samples of the compounds are available from the authors.
Figure 1. 2-Substituted 1,2,3-triazoles in medicine and generalized structure of UV/blue-light-emitting N-2-aryl-1,2,3-triazoles.
Figure 1. 2-Substituted 1,2,3-triazoles in medicine and generalized structure of UV/blue-light-emitting N-2-aryl-1,2,3-triazoles.
Molecules 25 00480 g001
Figure 2. The formation of 4-azido-1,2,3-triazoles.
Figure 2. The formation of 4-azido-1,2,3-triazoles.
Molecules 25 00480 g002
Figure 3. Structures of studied heterocycles. (a) 4-azido-1,2,3-triazoles having free rotation of substituent in the position 5. (b) rigidified derivatives having restricted rotation.
Figure 3. Structures of studied heterocycles. (a) 4-azido-1,2,3-triazoles having free rotation of substituent in the position 5. (b) rigidified derivatives having restricted rotation.
Molecules 25 00480 g003
Figure 4. Absorption spectra of 1a–1i in dichloromethane at room temperature.
Figure 4. Absorption spectra of 1a–1i in dichloromethane at room temperature.
Molecules 25 00480 g004
Figure 5. Fluorescence spectra of 1a–1i in dichloromethane at room temperature.
Figure 5. Fluorescence spectra of 1a–1i in dichloromethane at room temperature.
Molecules 25 00480 g005
Scheme 1. Synthesis of ortho-propargyloxybenzaldehydes [31].
Scheme 1. Synthesis of ortho-propargyloxybenzaldehydes [31].
Molecules 25 00480 sch001
Scheme 2. Synthesis of o-propargyloxy-substituted dichlorodiazadienes (showing the possible diversity of the aldehyde moiety).
Scheme 2. Synthesis of o-propargyloxy-substituted dichlorodiazadienes (showing the possible diversity of the aldehyde moiety).
Molecules 25 00480 sch002
Scheme 3. Synthesis of o-propargyloxy-substituted dichlorodiazadienes (showing the possible diversity of the hydrazine moiety).
Scheme 3. Synthesis of o-propargyloxy-substituted dichlorodiazadienes (showing the possible diversity of the hydrazine moiety).
Molecules 25 00480 sch003
Scheme 4. Synthesis of o-propargyloxy-substituted 4-azido-2,5-diaryl-1,2,3-triazoles.
Scheme 4. Synthesis of o-propargyloxy-substituted 4-azido-2,5-diaryl-1,2,3-triazoles.
Molecules 25 00480 sch004aMolecules 25 00480 sch004b
Scheme 5. Intramolecular cyclization of o-propargyloxy substituted 4-azido-2,5-diaryl-1,2,3-triazoles.
Scheme 5. Intramolecular cyclization of o-propargyloxy substituted 4-azido-2,5-diaryl-1,2,3-triazoles.
Molecules 25 00480 sch005
Figure 6. Absorption spectra of 4a4o in dichloromethane at room temperature.
Figure 6. Absorption spectra of 4a4o in dichloromethane at room temperature.
Molecules 25 00480 g006
Figure 7. Fluorescence spectra of 4a4o in dichloromethane at room temperature.
Figure 7. Fluorescence spectra of 4a4o in dichloromethane at room temperature.
Molecules 25 00480 g007
Figure 8. Absorption spectra of 4l in different solvents at room temperature.
Figure 8. Absorption spectra of 4l in different solvents at room temperature.
Molecules 25 00480 g008
Figure 9. Fluorescence spectra of 4l in different solvents at room temperature.
Figure 9. Fluorescence spectra of 4l in different solvents at room temperature.
Molecules 25 00480 g009
Table 1. Photophysical data of compounds 1a–1i.
Table 1. Photophysical data of compounds 1a–1i.
Rλabs, nmλem, nm *lgεΦF **Stokes Shift, nm
1aPh2643473.990.01183
1b4-NO2-C6H43463634.310.00917
1c4-NMe2-C6H43213724.500.01751
1d4-MeO-C6H43213704.230.02049
1e2-Py3114194.340.013108
1f3-Py3114194.530.015108
1g4-Py3153934.400.00378
1h2-quinolyl3253704.530.01745
1i3-thiophenyl3163714.410.01455
* UV-Vis absorption and fluorescence spectra were measured at room temperature in CH2Cl2 (10−5–10−6M). ** Fluorescence quantum yields are measured relative to 0.1M H2SO4 solution of quinine (Φf = 0.55) and 0.1M H2SO4 solution of 2-aminopyridine (Φf = 0.60).
Table 2. Photophysical data of compounds 4a–4o in solution (CH2Cl2).
Table 2. Photophysical data of compounds 4a–4o in solution (CH2Cl2).
R1R2λabs, nmλem, nm *lgεΦF **Stokes Shift, nm
4aHH2883534.490.04465
4b3-MeOH2863424.510.01856
4c3-NO2H2843174.610,00933
4d5-NO2H2873184.440,00731
4e5-BrH2873554.130.03268
4f3,5-di-t-BuH2873294.450.00942
4gNaphthylH3013564.390.07955
4hH4-F2873524.440.04265
4iH2,4-2Cl2743574.180.04083
4jH2-Cl2593544.460.00195
4kH2-MeO2553674.350.013112
4lH4-MeO2993764.540.61677
4mH2,4-2Me2673574.530.00290
4nH2,6-2Me2503174.460.00367
4oH4-CN3053724.510.19867
* UV-Vis and fluorescence spectra are measured at room temperature and concentration 10−6 M. ** Fluorescence quantum yields are measured relative to 0.1 M H2SO4 solution of quinine (Φf = 0.55) and 0.1 M H2SO4 solution of 2-aminopyridine (Φf = 0.60).
Table 3. Quantum yields and Stokes shifts of 4l in different solvents.
Table 3. Quantum yields and Stokes shifts of 4l in different solvents.
Solventλabs, nmλem, nmlgεΦFStokes Shift, nm
Dioxane2963654.540.49769
Benzene2983654.070.45767
EtOAc2943654.560.58371
THF2953774.460.59182
CH2Cl22963714.540.61675
EtOH2963794.360.67083
DMF2973734.290.54076
MeCN2943724.190.61878

Share and Cite

MDPI and ACS Style

Tsyrenova, B.; Nenajdenko, V. Synthesis and Spectral Study of a New Family of 2,5-Diaryltriazoles Having Restricted Rotation of the 5-Aryl Substituent. Molecules 2020, 25, 480. https://doi.org/10.3390/molecules25030480

AMA Style

Tsyrenova B, Nenajdenko V. Synthesis and Spectral Study of a New Family of 2,5-Diaryltriazoles Having Restricted Rotation of the 5-Aryl Substituent. Molecules. 2020; 25(3):480. https://doi.org/10.3390/molecules25030480

Chicago/Turabian Style

Tsyrenova, Biligma, and Valentine Nenajdenko. 2020. "Synthesis and Spectral Study of a New Family of 2,5-Diaryltriazoles Having Restricted Rotation of the 5-Aryl Substituent" Molecules 25, no. 3: 480. https://doi.org/10.3390/molecules25030480

APA Style

Tsyrenova, B., & Nenajdenko, V. (2020). Synthesis and Spectral Study of a New Family of 2,5-Diaryltriazoles Having Restricted Rotation of the 5-Aryl Substituent. Molecules, 25(3), 480. https://doi.org/10.3390/molecules25030480

Article Metrics

Back to TopTop