Metabolic Profile of Scytalidium parasiticum-Ganoderma boninense Co-Cultures Revealed the Alkaloids, Flavonoids and Fatty Acids that Contribute to Anti-Ganoderma Activity
Abstract
1. Introduction
2. Results
2.1. Antifungal Activity against G. boninense
2.2. Multivariate Analysis of the G. boninense–S. parasiticum Co-culture
2.3. PCA Loading Plot
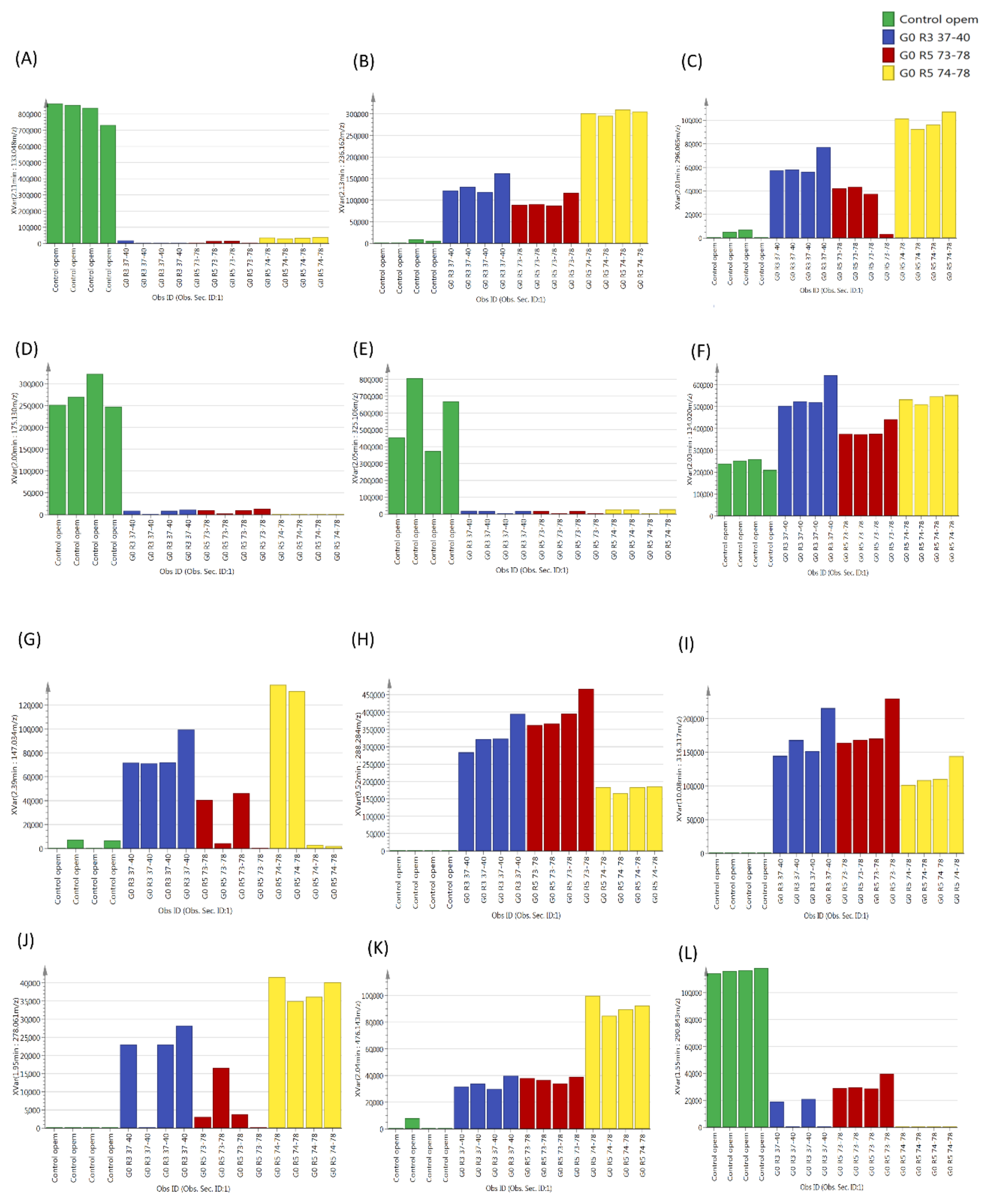
2.4. Variable Influence on Projection (VIP) List
2.5. Hierarchical Clustering Analysis of Metabolites
3. Discussion
3.1. Metabolites Significantly Different in the Treatment Group and Control Group
3.2. Metabolites that Contribute to Antimicrobial Activity
3.3. Metabolites Involved in the Biosynthetic Pathway of the G. boninense–S. parasiticum Interaction
4. Materials and Methods
4.1. Study Design
4.2. Fungal Strains
4.3. Chemicals
4.4. Extraction and Isolation
4.4.1. Preparation of Oil Palm Extract Broth (OPEB)
4.4.2. Experimental Design of Culture Conditions
4.4.3. Extraction of the Compound
4.4.4. Recycling Preparative HPLC Fractionation of the Sample
4.5. Anti-Ganoderma Activity in the Laboratory
4.6. LC-TOF-MS Analysis
4.7. Data Processing and Data Analysis
4.8. Metabolite Identification
4.9. Statistical Analysis
5. Conclusions
Supplementary Materials
Author Contributions
Funding
Acknowledgments
Conflicts of Interest
References
- Abas, R.; Seman, I.A. Economic Impact of Ganoderma Incidence on Malaysian Oil Palm Plantation—A Case Study in Johor. Oil Palm Ind. Econ. J. 2012, 12, 24–30. [Google Scholar]
- Kibria, G.; Haroon, A.K.Y.; Nugegoda, D.; Rose, G. Climate Change and Chemicals: Environmental and Biological Aspects; New India Publishing Agency: New Delhi, India, 2010. [Google Scholar]
- Komárek, M.; Čadková, E.; Chrastný, V.; Bordas, F.; Bollinger, J.-C. Contamination of vineyard soils with fungicides: A review of environmental and toxicological aspects. Environ. Int. 2010, 36, 138–151. [Google Scholar] [CrossRef]
- Goh, Y.K.; Goh, T.K.; Marzuki, N.F.; Tung, H.J.; Goh, Y.K.; Goh, K.J. Scytalidium parasiticum sp. nov., a New Species Parasitizing on Ganoderma boninense Isolated from Oil Palm in Peninsular Malaysia. Mycobiology 2015, 43, 107–117. [Google Scholar] [CrossRef] [PubMed]
- Zuck, K.M.; Shipley, S.; Newman, D.J. Induced Production ofN-Formyl Alkaloids from Aspergillus fumigatusby Co-culture with Streptomyces peucetius. J. Nat. Prod. 2011, 74, 1653–1657. [Google Scholar] [CrossRef] [PubMed]
- Park, H.B.; Kim, Y.-J.; Park, J.-S.; Yang, H.O.; Lee, K.R.; Kwon, H.C. Glionitrin B, a Cancer Invasion Inhibitory Diketopiperazine Produced by Microbial Co-culture. J. Nat. Prod. 2011, 74, 2309–2312. [Google Scholar] [CrossRef]
- Akone, S.H.; Mándi, A.; Kurtán, T.; Hartmann, R.; Lin, W.H.; Daletos, G.; Proksch, P. Inducing secondary metabolite production by the endophytic fungus Chaetomium sp. through fungal–bacterial co-culture and epigenetic modification. Tetrahedron 2016, 72, 6340–6347. [Google Scholar] [CrossRef]
- Bader, J.; Mast-Gerlach, E.; Popović, M.; Bajpai, R.; Stahl, U. Relevance of microbial co-culture fermentations in biotechnology. J. Appl. Microbiol. 2009, 109, 371–387. [Google Scholar] [CrossRef]
- Sidana, J.; Joshi, L.K. Recycle HPLC: A Powerful Tool for the Purification of Natural Products. Chromatogr. Res. Int. 2013, 2013, 1–7. [Google Scholar] [CrossRef]
- Azizan, K.A.; Baharum, S.N.; Noor, N.M. Metabolic Profiling of Lactococcus lactis Under Different Culture Conditions. Molecules 2012, 17, 8022–8036. [Google Scholar] [CrossRef]
- Nakabayashi, R.; Saito, K. Metabolomics for unknown plant metabolites. Anal. Bioanal. Chem. 2013, 405, 5005–5011. [Google Scholar] [CrossRef]
- Kim, E.J.; Kwon, J.; Park, S.H.; Park, C.; Seo, Y.-B.; Shin, H.-K.; Kim, H.K.; Lee, K.-S.; Choi, S.-Y.; Ryu, D.H.; et al. Metabolite Profiling of Angelica gigas from Different Geographical Origins Using1H NMR and UPLC-MS Analyses. J. Agric. Food Chem. 2011, 59, 8806–8815. [Google Scholar] [CrossRef] [PubMed]
- Murch, S.J.; Saxena, P.K. Role of indoleamines in regulation of morphogenesis in vitro cultures of st. John’s wort (Hypericum perforatum L.). Acta Hortic. 2004, 629, 425–432. [Google Scholar]
- Rinehart, K.L.; Kobayashi, J.; Harbour, G.C.; Hughes, R.G.; Mizsak, S.A.; Scahill, T.A. Eudistomins C, E, K, and L, potent antiviral compounds containing a novel oxathiazepine ring from the Caribbean tunicate Eudistoma olivaceum. J. Am. Chem. Soc. 1984, 106, 1524–1526. [Google Scholar] [CrossRef]
- Beck, O.; Faull, K.F. Concentrations of the enantiomers of 5-hydroxymethtryptoline in mammalian urine: Implications for in vivo biosynthesis. Biochem. Pharmacol. 1986, 35, 2636–2639. [Google Scholar] [CrossRef]
- Roggero, C.M.; Giulietti, J.M.; Mulcahy, S.P. Efficient synthesis of eudistomin U and evaluation of its cytotoxicity. Bioorganic Med. Chem. Lett. 2014, 24, 3549–3551. [Google Scholar] [CrossRef] [PubMed]
- Li, C.-S.; An, C.-Y.; Li, X.-M.; Gao, S.-S.; Cui, C.-M.; Sun, H.-F.; Wang, B.-G. Triazole and Dihydroimidazole Alkaloids from the Marine Sediment-Derived Fungus Penicillium paneum SD-44. J. Nat. Prod. 2011, 74, 1331–1334. [Google Scholar] [CrossRef] [PubMed]
- Zabriskie, T.M.; Jackson, M.D. Lysine biosynthesis and metabolism in fungi. Nat. Prod. Rep. 2000, 17, 85–97. [Google Scholar] [CrossRef]
- Xu, H.; Andi, B.; Qian, J.; West, A.H.; Cook, P.F. The α-Aminoadipate Pathway for Lysine Biosynthesis in Fungi. Cell Biophys. 2006, 46, 43–64. [Google Scholar] [CrossRef]
- Zhao, L.; Jiang, J.; Zhu, Z.; Liao, Z.; Yao, X.; Yang, Y.; Cao, Y.; Jiang, Y. Lysine enhances the effect of amphotericin B againstCandida albicans in vitro. Acta Biochim. Biophys. Sin. 2015, 48, 182–193. [Google Scholar] [CrossRef]
- Azevedo, R.A.; Lea, P.J. Lysine metabolism in higher plants. Amino Acids 2001, 20, 261–279. [Google Scholar] [CrossRef]
- Tanimura, A.; Takashima, M.; Sugita, T.; Endoh, R.; Kikukawa, M.; Yamaguchi, S.; Sakuradani, E.; Ogawa, J.; Shima, J. Selection of oleaginous yeasts with high lipid productivity for practical biodiesel production. Bioresour. Technol. 2014, 153, 230–235. [Google Scholar] [CrossRef] [PubMed]
- Rigano, D.; Formisano, C.; Basile, A.; Lavitola, A.; Senatore, F.; Rosselli, S.; Bruno, M. Antibacterial activity of flavonoids and phenylpropanoids from Marrubium globosum ssp. libanoticum. Phytother. Res. 2007, 21, 395–397. [Google Scholar] [CrossRef] [PubMed]
- Jaffri, J.M.; Mohamed, S.; Ahmad, I.N.; Mustapha, N.M.; Manap, Y.A.; Rohimi, N. Effects of catechin-rich oil palm leaf extract on normal and hypertensive rats’ kidney and liver. Food Chem. 2011, 128, 433–441. [Google Scholar] [CrossRef] [PubMed]
- Rinehart, K.L.; Kobayashi, J.; Harbour, G.C.; Gilmore, J.; Mascal, M.; Holt, T.G.; Shield, L.S.; LaFargue, F. Eudistomins A.-Q, beta.-carbolines from the antiviral Caribbean tunicate Eudistoma olivaceum. J. Am. Chem. Soc. 1987, 109, 3378–3387. [Google Scholar] [CrossRef]
- Kalia, V.C. Quorum sensing inhibitors: An overview. Biotechnol. Adv. 2013, 31, 224–245. [Google Scholar] [CrossRef] [PubMed]
- Rateb, M.E.M.; Hallyburton, I.; Houssen, W.E.; Bull, A.T.; Goodfellow, M.; Santhanam, R.; Jaspars, M.; Ebel, R. Induction of diverse secondary metabolites in Aspergillus fumigatus by microbial co-culture. RSC Adv. 2013, 3, 14444–14450. [Google Scholar] [CrossRef]
- Chen, F.; Gao, Y.; Chen, X.; Yu, Z.; Li, X. Quorum Quenching Enzymes and Their Application in Degrading Signal Molecules to Block Quorum Sensing-Dependent Infection. Int. J. Mol. Sci. 2013, 14, 17477–17500. [Google Scholar] [CrossRef]
- Freese, E.; Sheu, C.W.; Galliers, E. Function of Lipophilic Acids as Antimicrobial Food Additives. Nat. Cell Biol. 1973, 241, 321–325. [Google Scholar] [CrossRef]
- McGaw, L.; Jäger, A.; Van Staden, J. Antibacterial effects of fatty acids and related compounds from plants. South Afr. J. Bot. 2002, 68, 417–423. [Google Scholar] [CrossRef]
- Walters, D.; Raynor, L.; Mitchell, A.; Walker, R.; Walker, K. Antifungal Activities of Four Fatty Acids against Plant Pathogenic Fungi. Mycopathologia 2004, 157, 87–90. [Google Scholar] [CrossRef]
- Da Silva, C.R.; Neto, J.B.D.A.; Campos, R.D.S.; Figueiredo, N.S.; Sampaio, L.S.; Magalhães, H.I.F.; Cavalcanti, B.C.; Gaspar, D.M.; De Andrade, G.M.; Lima, I.S.P.; et al. Synergistic Effect of the Flavonoid Catechin, Quercetin, or Epigallocatechin Gallate with Fluconazole Induces Apoptosis in Candida tropicalis Resistant to Fluconazole. Antimicrob. Agents Chemother. 2013, 58, 1468–1478. [Google Scholar] [CrossRef] [PubMed]
- Goh, Y.K.; Marzuki, N.F.; Lim, C.K.; Goh, Y.K.; Goh, K.J. Cytotoxicity and Acute Oral Toxicity of Ascomycetous Mycoparasitic Scytalidium parasiticum. Trans. Sci. Technol. 2016, 3, 483–488. [Google Scholar]
- Kok, S.; Goh, Y.K.; Tung, H.J.; Goh, K.J.; Wong, W.C. In vitro growth of Ganoderma boninense isolates on novel palm extract medium and virulence on oil palm (Elaeis guineensis) seedlings. Malays. J. Microbiol. 2013, 9, 32–42. [Google Scholar] [CrossRef]
- Lim, C.K.; Ahmad, R.; Marzuki, N.F.; Goh, Y.K.; Azizan, K.A.; Goh, Y.K.; Goh, K.J. Optimization of Metabolite Extraction Protocols for Untargeted Metabolite Profiling of Mycoparasitic Scytalidium parasiticum using LC-TOF-MS. Sains Malays. 2018, 47, 3061–3068. [Google Scholar] [CrossRef]
- Ahmad, R.; Baharum, S.N.; Bunawan, H.; Lee, M.; Noor, N.M.; Rohani, E.; Ilias, N.; Zin, N.M. Volatile Profiling of Aromatic Traditional Medicinal Plant, Polygonum minus in Different Tissues and Its Biological Activities. Molecules 2014, 19, 19220–19242. [Google Scholar] [CrossRef] [PubMed]
- Veeramohan, R.; Azizan, K.A.; Aizat, W.M.; Goh, H.-H.; Mansor, S.M.; Yusof, N.S.M.; Baharum, S.N.; Ng, C.L. Metabolomics data of Mitragyna speciosa leaf using LC-ESI-TOF-MS. Data Brief. 2018, 18, 1212–1216. [Google Scholar] [CrossRef]
- Krug, D.; Zurek, G.; Schneider, B.; Garcia, R.; Müller, R. Efficient mining of myxobacterial metabolite profiles enabled by liquid chromatography–electrospray ionisation-time-of-flight mass spectrometry and compound-based principal component analysis. Anal. Chim. Acta 2008, 624, 97–106. [Google Scholar] [CrossRef]
- Van den Berg, R.A.; Hoefsloot, H.C.J.; Westerhuis, J.A.; Smilde, A.K.; Van Der Werf, M.J. Centering, scaling, and transformations: Improving the biological information content of metabolomics data. BMC Genom. 2006, 7, 142. [Google Scholar] [CrossRef]
- Ahmad, R.; Bunawan, H.; Normah, M.N.; Baharum, S.N. Chemical composition in different tissues of Polygonum minus by using GC X GC-TOF MS and direct discrimination by multivariate analysis of fourier transform infrared spectroscopy data. Int. J. Pharmacogn. Phytochem. Res. 2016, 8, 1986–1992. [Google Scholar]
- Xia, J.; Wishart, D.S. Using MetaboAnalyst 3.0 for Comprehensive Metabolomics Data Analysis. Curr. Protoc. Bioinform. 2016, 55, 14.10.1–14.10.91. [Google Scholar] [CrossRef]







| Sample | No. of Recycle | Retention Time (min) | Test Concentration (µg/mL) | Diameter (mm) |
|---|---|---|---|---|
| Hygromycin (Positive control) | - | - | 100 | 17 |
| Distilled water (negative control) | - | - | - | |
| XP with G0 | 3rd | 37–41 | 100 | 20 |
| XP with G0 | 2nd | 37–40 | 100 | 8 |
| XP with G0 | 5th | 73–78 | 100 | 17 |
| XP with G0 | 5th | 74–78 | 200 | 15 |
| XP with G0 | 6th | 72–85 | 800 | - |
| XP with G0 | 1st | 24–28 | 500 | - |
| XP with G3 | 3rd | 49–51 | 300 | - |
| XP with G3 | 4th | 56–61 | 600 | - |
| XP with G3 | 5th | 55–92 | 500 | - |
| XP with G3 | 7th | 105–107 | 50 | - |
| XP with G3 | 8th | 112–120 | 700 | - |
| XP with G5 | 3rd | 50–53 | 400 | - |
| XP with G5 | 6th | 87–89 | 200 | - |
| XP with G5 | 8th | 111–119 | 500 | - |
| XP with G5 | 9th | 124–129 | 700 | - |
| Var ID (Primary). | M3.VIP (2) 2.44693 * | M3.VIP (2) cvSE | Name of Metabolite |
|---|---|---|---|
| 2.11 min: 133.048 m/z | 7.8737 | 1.5332 | Tryptamine |
| 2.13 min: 236.162 m/z | 7.07568 | 2.49579 | Eudistomin I |
| 2.05 min: 325.106 m/z | 6.40082 | 2.65825 | Glucose |
| 9.52 min: 288.284 m/z | 6.35539 | 1.37838 | Oleic acid |
| 2.03 min: 134.020 m/z | 5.28688 | 1.82764 | Aspartic acid |
| 2.00 min: 175.130 m/z | 4.58414 | 0.974071 | Cis-aconitate |
| 2.01 min: 296.065 m/z | 3.82321 | 0.662272 | Penipanoid A |
| 2.04 min: 476.143 m/z | 3.70863 | 2.01345 | Naringenin 7-O-beta-D-glucoside |
| 2.26 min: 182.016 m/z | 3.70402 | 1.55685 | Tyrosine |
| 1.55 min: 290.843 m/z | 3.16889 | 0.535434 | Catechin |
| 1.95 min: 278.061 m/z | 2.60836 | 0.638658 | C10-Homoserine lactone |
| 2.39 min: 147.034 m/z | 2.15276 | 3.25775 | Lysine |
| Peak No | RT | Mass per Charge Ratio m/z Measured Mass | Assigned Identity | Collision Energy | Molecule Formula | MS/MS Fragmentation (Intensity) | Adduct |
|---|---|---|---|---|---|---|---|
| 10 | 1.1 | 110.0108 | Hypotaurine * | 15.5eV | C2H7NO2S | 92.0250, 1143 | (M + H) |
| 15 | 1.3 | 122.9258 | Benzoic acid * | 16.1eV | C7H6O2 | 105.08760, 1290 | (M + H) |
| 16 | 1.3 | 290.8457 | Catechin | 24.5eV | C15H14O6 | 171.5677, 3678 171.5887, 4058 171.6049, 4058 179.1129, 3312 179.1367, 4082 179.1813, 4082 | (M + H) |
| 17 | 1.3 | 275.2777 | 5-Methyl-2-thiouridine | 23.7eV | C10H14N2O5S | 163.1166, 3705 163.1334, 3914 163.1570, 3914 | (M + H) |
| 20 | 1.5 | 202.4605 | Unknown | 20.1eV | 130.6173, 4463 130.6329, 4463 130.6502, 4463 202.1813, 9614 | ||
| 24 | 1.7 | 130.0509 | 1-pyrroline-3-hydroxy-5-carboxylic acid | 16.5eV | C5H7NO3 | (M + H) | |
| 26 | 1.7 | 120.0667 | Threonine * | 16.0eV | C4H9NO3 | 119.0912, 3282 | |
| 27 | 1.7 | 147.0778 | Lysine * | 17.4eV | C6H14N2O2 | 130.0551, 18195 | (M + H) |
| 31 | 1.8 | 236.1492 | Eudistomin I | 21.8eV | C17H17N | 131.0746, 2460 144.1066, 1842 159.0711, 1092 162.1228, 1025 166.1661, 1081 235.9925, 1923 236.1602, 468519 | (M + H) |
| 32 | 1.8 | 134.0458 | Aspartic acid * | 16.7eV | C4H7NO4 | 130.6177, 4202 130.6332, 4202 130.6488, 4202 | (M + H) |
| 34 | 1.8 | 476.1605 | Naringenin 7-O-beta-D-glucoside | 33.8eV | C22H25N3O7S | 189.0968, 4684 189.1137, 4684 423.7170, 3421 442.7981, 3304 442.8188, 3304 442.8545, 3304 442.8990, 3304 | (M + CAN + H) |
| 35 | 1.8 | 296.065 | Penipanoid A | 24.8 | C16H13N3O3 | 134.0476, 7620 146.0429, 7772 176.6487, 4717 212.0545, 9702 232.0834, 7284 260.0760, 31695 278.0874, 15708 | (M + H) |
| 36 | 1.9 | 279.0883 | Microdiplodiasone | 23.9eV | C14H14O6 | 154.1383, 3673 157.9724, 4158 157.9956, 4158 158.0143, 4158 165.1407, 4022 165.1613, 4022 169.1546, 4371 | (M + H) |
| 37 | 1.9 | 278.0867 | C-10 Homoserine lactone | 23.9eV | C15H14N4O4 | 154.1383, 3673 157.9724, 4158 157.9956, 4158 158.0143, 4158 165.1407, 4022 165.1613, 4022 169.1546, 4371 | (M + Na) |
| 41 | 2.23 | 148.037 | Glutamic acid * | 17.5 | C5H9NO4 | 130.0593, 9726 | (M + H) |
| 42 | 2.26 | 182.016 | Tyrosine * | 18.8 | C9H11NO3 | 136.0866, 551563 123.0543, 246978 | (M + H) |
| 58 | 2.9 | 152.0994 | Phenylglycine * | 17.6eV | C8H9NO2 | 151.8762, 2975 | (M + H) |
| 59 | 2.9 | 173.7029 | unknown | 18.7eV | 111.0084, 107 129.0178, 268 173.0086, 87 | (M + H) | |
| 60 | 2.9 | 166.1228 | Phenylalanine * | 18.4 | C9H11NO2 | 120.079, 10000 121.082, 840 122.085, 1025 131.048, 1105 149.057, 350 | (M + H) |
| 132 | 9.5 | 288.2897 | Oleic acid | 24.4eV | C18H34O2 | 244.2584, 4646 270.2787, 36181 271.2816, 6490 275.6056, 8070 276.5666, 4324 288.2896, 622641 | (M + H) |
| 138 | 9.8 | 304.2834 | Palmitoleoyl | 25.2eV | C16H29O | 145.9576, 2858 145.9740, 2858 256.2629, 14828 291.7380, 2785 | (M + Li)+ |
| 141 | 10.0 | 316.3202 | Stearamide | 25.8eV | C18H37NO | 298.3091, 6149 | (M + CH3OH + H) |
| 166 | 11.2 | 158.1532 | Gamma-coniceine | 17.9eV | C8H15N | 138.1894, 2298 142.0622, 2510 145.9096, 2543 145.9323, 2970 145.9569, 2970 145.9714, 2970 | (M + CH3OH + H) |
| 175 | 11.6 | 398.2401 | Tricasonoyl ethanolamide | 29.9eV | C22H37NO2 | 398.2399, 128383 | (M + H) |
| 176 | 11.6 | 376.2576 | Icaceine | 28.8eV | C22H33NO4 | 292.2000, 4970 293.1886, 5565 298.6966, 7171 298.7256, 7171 302.1885, 7183 | (M + H) |
Sample Availability: Samples of the compounds are not available from the authors. | |
Publisher’s Note: MDPI stays neutral with regard to jurisdictional claims in published maps and institutional affiliations. |
© 2020 by the authors. Licensee MDPI, Basel, Switzerland. This article is an open access article distributed under the terms and conditions of the Creative Commons Attribution (CC BY) license (http://creativecommons.org/licenses/by/4.0/).
Share and Cite
Ahmad, R.; Lim, C.K.; Marzuki, N.F.; Goh, Y.-K.; Azizan, K.A.; Goh, Y.K.; Goh, K.J.; Ramzi, A.B.; Baharum, S.N. Metabolic Profile of Scytalidium parasiticum-Ganoderma boninense Co-Cultures Revealed the Alkaloids, Flavonoids and Fatty Acids that Contribute to Anti-Ganoderma Activity. Molecules 2020, 25, 5965. https://doi.org/10.3390/molecules25245965
Ahmad R, Lim CK, Marzuki NF, Goh Y-K, Azizan KA, Goh YK, Goh KJ, Ramzi AB, Baharum SN. Metabolic Profile of Scytalidium parasiticum-Ganoderma boninense Co-Cultures Revealed the Alkaloids, Flavonoids and Fatty Acids that Contribute to Anti-Ganoderma Activity. Molecules. 2020; 25(24):5965. https://doi.org/10.3390/molecules25245965
Chicago/Turabian StyleAhmad, Rafidah, Choon Kiat Lim, Nurul Fadhilah Marzuki, Yit-Kheng Goh, Kamalrul Azlan Azizan, You Keng Goh, Kah Joo Goh, Ahmad Bazli Ramzi, and Syarul Nataqain Baharum. 2020. "Metabolic Profile of Scytalidium parasiticum-Ganoderma boninense Co-Cultures Revealed the Alkaloids, Flavonoids and Fatty Acids that Contribute to Anti-Ganoderma Activity" Molecules 25, no. 24: 5965. https://doi.org/10.3390/molecules25245965
APA StyleAhmad, R., Lim, C. K., Marzuki, N. F., Goh, Y.-K., Azizan, K. A., Goh, Y. K., Goh, K. J., Ramzi, A. B., & Baharum, S. N. (2020). Metabolic Profile of Scytalidium parasiticum-Ganoderma boninense Co-Cultures Revealed the Alkaloids, Flavonoids and Fatty Acids that Contribute to Anti-Ganoderma Activity. Molecules, 25(24), 5965. https://doi.org/10.3390/molecules25245965

