Success or Failure of Chiral Crystallization of Similar Heterocyclic Compounds
Abstract
1. Introduction
2. Experimental
2.1. Synthesis and Crystallization of CA1
2.2. Synthesis and Crystallization of CA4
2.3. Analytical Methods
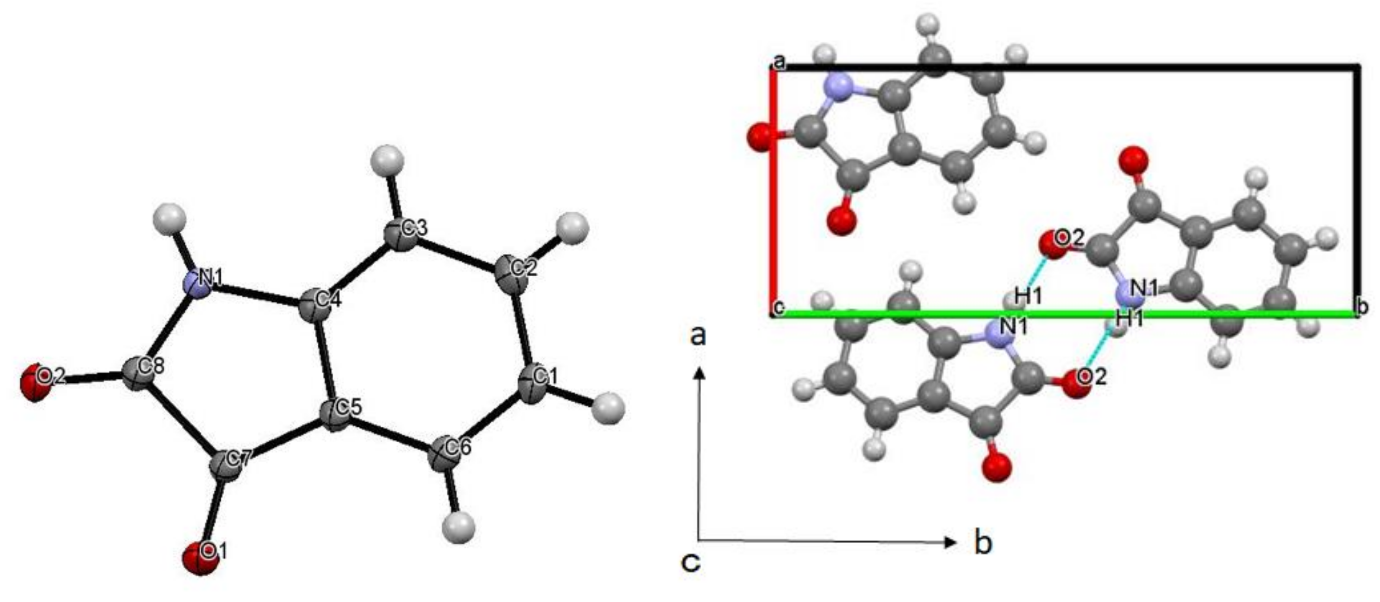
2.4. X-ray Crystallography
2.5. DFT Computation
3. Results and Discussion
4. Conclusions
Supplementary Materials
Author Contributions
Funding
Acknowledgments
Conflicts of Interest
References
- Jung, J.-C.; Park, O.-S. Synthetic Approaches and Biological Activities of 4-hydroxycoumarin Derivatives. Molecules 2009, 14, 4790–4803. [Google Scholar] [CrossRef]
- Shapiro, S.; Sherwin, B. Thromboembolization. II. The use of dicumarol (3,3′-methylenebis (4-hydroxycoumarin) in embolization. Report of five cases. N. Y. State J. Med. 1943, 43, 45–52. [Google Scholar]
- Butsch, W.L.; Stewart, J.D. Administration of dicoumarin compound for prophylaxis of postoperative thrombosis and embolism. Arch. Surg. 1942, 45, 551–553. [Google Scholar] [CrossRef]
- Hintz, K.K.; Ren, J. Tetramethylpyrazine elicits disparate responses in cardiac contraction and intracellular Ca (2+) transients in isolated adult rat ventricular myocytes. Vascul. Pharmacol. 2003, 40, 213–217. [Google Scholar] [CrossRef]
- Manolov, I.; Maichle-Moessmer, C.; Danchev, N. Synthesis, structure, toxicological and pharmacological investigations of 4-hydroxycoumarin derivatives. Eur. J. Med. Chem. 2006, 41, 882–890. [Google Scholar] [CrossRef]
- Kang, I.J.; Wang, L.W.; Hsu, T.A.; Yueh, A.; Lee, C.C.; Lee, Y.C. Isatin-beta-thiosemicarbazones as potent herpes simplex virus inhibitors. Bioorg. Med. Chem. Lett. 2011, 21, 1948–1952. [Google Scholar] [CrossRef]
- Paira, P.; Hazra, A.; Kumar, S.; Paira, R.; Sahu, K.B.; Naskar, S.; Saha, P.; Mondal, S.; Maity, A.; Banerjee, S.; et al. Efficient synthesis of 3, 3-diheteroaromatic oxindole analogues and their in vitro evaluation for spermicidal potential. Bioorg. Med. Chem. Lett. 2009, 19, 4786–4789. [Google Scholar] [CrossRef]
- Quraishi, M.A.; Ahamad, I.; Singh, A.K.; Shukla, S.K. N-(Piperidinomethyl)-3-[(pyridylidene)amino] isatin: A new and effective acid corrosion inhibitor for mild Steel. Mater. Chem. Phys. 2008, 23, 1035–1039. [Google Scholar] [CrossRef]
- Figueiredo, G.S.; Zardo, R.S.; Silva, B.V.; Violante, F.A.; Pinto, A.C.; Fernandes, P.D. Convolutamydine A and synthetic analogues have antinociceptive properties in mice. Pharmacol. Biochem. B 2013, 3, 431–439. [Google Scholar] [CrossRef]
- Nagihan, B.; Kocyigit-Kaymakcioglu, B.; Salih, G.; Aricioglu, F. Synthesis and anticonvulsant activity of some 2-pyrazolines derived from chalcones. Arab. J. Chem. 2013, accepted. [Google Scholar] [CrossRef]
- Andreani, A.; Burnelli, S.; Granaiola, M.; Leoni, A.; Locatelli, A.; Morigi, R.; Rambaldi, M.; Varoli, L.; Cremonini, M.A.; Plaucci, G.; et al. New isatin derivatives with antioxidant activity. Eur. J. Med. Chem. 2010, 45, 1374–1378. [Google Scholar] [CrossRef]
- Kumar, K.; Carrere-Kremer, S.; Kremer, L.; Guerardel, Y.; Biot, C.; Kumar, V. 1H-1, 2, 3-triazole-tethered isatin-ferrocene and isatin-ferrocenylchalcone conjugates: Synthesis and in vitro antitubercular evaluation. Organometallics 2013, 32, 110–116. [Google Scholar] [CrossRef]
- Gonzalez, A.; Quirante, J.; Nieto, J.; Almeida, M.R.; Saraiva, M.J.; Planas, A.; Arsequell, G.; Valencia, G. Isatin derivatives, a novel class of transthyretin fibrillogenesis inhibitors. Bioorg. Med. Chem. Lett. 1999, 19, 5270–5273. [Google Scholar] [CrossRef]
- Manley-King, C.I.; Bergh, J.J.; Petzer, J.P. Inhibition of monoamine oxidase by selected C5- and C6-substituted isatin analogues. Bioorg. Med. Chem. 2011, 19, 261–274. [Google Scholar] [CrossRef]
- Prakash, C.R.; Raja, S. Design, synthesis and antiepileptic properties of novel 1-(substituted benzylidene)-3-(1-(morpholino/piperidino methyl)-2,3-dioxoindolin-5-yl)urea derivatives. Eur. J. Med. Chem. 2011, 46, 6057–6065. [Google Scholar] [CrossRef]
- Cristóbal, V.; Gérard, C.; Pedro, C. Crystallization of Chiral Molecules. In Handbook of Crystal Growth; Elsevier B.V.: Amsterdam, The Netherlands, 2015; Chapter 22; pp. 951–1002. [Google Scholar]
- Agranat, I.; Caner, H.; Caldwell, J. Putting chirality to work: The strategy of chiral switches. Nat. Rev. Drug Discov. 2002, 1, 753–768. [Google Scholar] [CrossRef]
- Caner, H.; Groner, E.; LevY, L.; Agranat, I. Trends in the development of chiral drugs. Drug Discov. Today 2004, 9, 105–110. [Google Scholar] [CrossRef]
- Mullard, A. 2011 FDA drug approvals. Nat. Rev. Drug Discov. 2012, 11, 91–94. [Google Scholar] [CrossRef]
- Yagi, S.; Akitsu, T.; Haraguchi, T. Crystal structure of (E)-3-[(2, 6-dimethylphenyl)-diazenyl]-7-methyl-1H-indazole. Acta Cryst. E 2018, 74, 1421–1423. [Google Scholar] [CrossRef]
- Yamazaki, S.; Nishiyama, K.; Yagi, S.; Haraguchi, T.; Akitsu, T. Crystal structure of 3, 6-dihydroxy-4, 5-dimethyl-benzene-1,2-dicarbaldehyde. Acta Cryst. E 2018, 74, 1424–1426. [Google Scholar] [CrossRef]
- Onami, Y.; Siddaraju, B.P.; Anilkumar, H.G.; Yathirajan, H.S.; Haraguchi, T.; Akitsu, T. (Z)-1-Benzoyl-5-benzylidene-2-hydroxy-4-oxo-4,5-dihydro-1H-pyrrole-3-carbonitrile. IUCrData 2019, 4, x190220. [Google Scholar] [CrossRef]
- Sheldrick, G.M. A short history of SHELX. Acta Crystallogr. Sect. A 2008, 64, 112–122. [Google Scholar] [CrossRef] [PubMed]
- Sheldrick, G.M. Crystal structure refinement with SHELXL. Acta Crystallogr. Sect. C 2015, 71, 3–8. [Google Scholar] [CrossRef] [PubMed]
- Crystal Structure 4.3: Crystal Structure Analysis Package; Rigaku Corporation: Tokyo, Japan, 2000.
- Frisch, M.J.; Trucks, G.W.; Schlegel, H.B.; Scuseria, G.E.; Robb, M.A.; Cheeseman, J.R.; Scalmani, G.; Barone, V.; Mennucci, B.; Petersson, G.A.; et al. Gaussian 09, RevisionD.01; Gaussian, Inc.: Wallingford, CT, USA, 2009. [Google Scholar]
- Ueki, H.; Soloshonok, V.A. New Sterically Driven Mode for Generation of Helical Chirality. Org. Lett. 2009, 11, 1797–1800. [Google Scholar] [CrossRef]





| CA1 CCDC 2043410 | CA4 CCDC 2043411 | |
|---|---|---|
| Empirical formula | C9H6O3·H2O | C8H5NO2 |
| Formula weight | 180.16 | 147.13 |
| Crystal system | Orthorhombic | Monoclinic |
| Space group | P212121 (# 19) | P21/c (# 14) |
| Z | 4 | 4 |
| a(Å) | 6.762(13) | 6.1473(3) |
| b(Å) | 9.943(19) | 14.5760(6) |
| c(Å) | 12.207(2) | 7.0495(3) |
| β(˚) | 93.744(7) | |
| V(Å3) | 820.71(3) | 630.31(4) |
| ρcalc(g/cm3) | 1.458 | 1.550 |
| μ(mm−1) | 0.116 | 0.114 |
| F(0 0 0) | 376 | 304.00 |
| Goodness of fit | 1.089 | 1.070 |
| R1[I > 2σ(I)] | 0.0304 | 0.0422 |
| wR2 | 0.0808 | 0.1153 |
Publisher’s Note: MDPI stays neutral with regard to jurisdictional claims in published maps and institutional affiliations. |
© 2020 by the authors. Licensee MDPI, Basel, Switzerland. This article is an open access article distributed under the terms and conditions of the Creative Commons Attribution (CC BY) license (http://creativecommons.org/licenses/by/4.0/).
Share and Cite
Chunkang, C.M.; Ikome, I.E.; Nfor, E.N.; Mitani, Y.; Katsuumi, N.; Haraguchi, T.; Akitsu, T. Success or Failure of Chiral Crystallization of Similar Heterocyclic Compounds. Molecules 2020, 25, 5691. https://doi.org/10.3390/molecules25235691
Chunkang CM, Ikome IE, Nfor EN, Mitani Y, Katsuumi N, Haraguchi T, Akitsu T. Success or Failure of Chiral Crystallization of Similar Heterocyclic Compounds. Molecules. 2020; 25(23):5691. https://doi.org/10.3390/molecules25235691
Chicago/Turabian StyleChunkang, Cyprian M., Iris E. Ikome, Emmanuel N. Nfor, Yuta Mitani, Natsuki Katsuumi, Tomoyuki Haraguchi, and Takashiro Akitsu. 2020. "Success or Failure of Chiral Crystallization of Similar Heterocyclic Compounds" Molecules 25, no. 23: 5691. https://doi.org/10.3390/molecules25235691
APA StyleChunkang, C. M., Ikome, I. E., Nfor, E. N., Mitani, Y., Katsuumi, N., Haraguchi, T., & Akitsu, T. (2020). Success or Failure of Chiral Crystallization of Similar Heterocyclic Compounds. Molecules, 25(23), 5691. https://doi.org/10.3390/molecules25235691

