From Target-Oriented to Motif-Oriented: A Case Study on Nannocystin Total Synthesis
Abstract
1. Introduction
2. Macrocyclization via Suzuki Cross-Coupling
3. Macrocyclization via Heck Cross-Coupling
4. Macrocyclization via Stille Cross-Coupling
5. Macrocyclization via Ring-Closing Alkene Metathesis
6. Macrocyclization via Macrolactamization (He’s Approach)
7. Macrocyclization via Macrolactamization (Kalesse’s Approach)
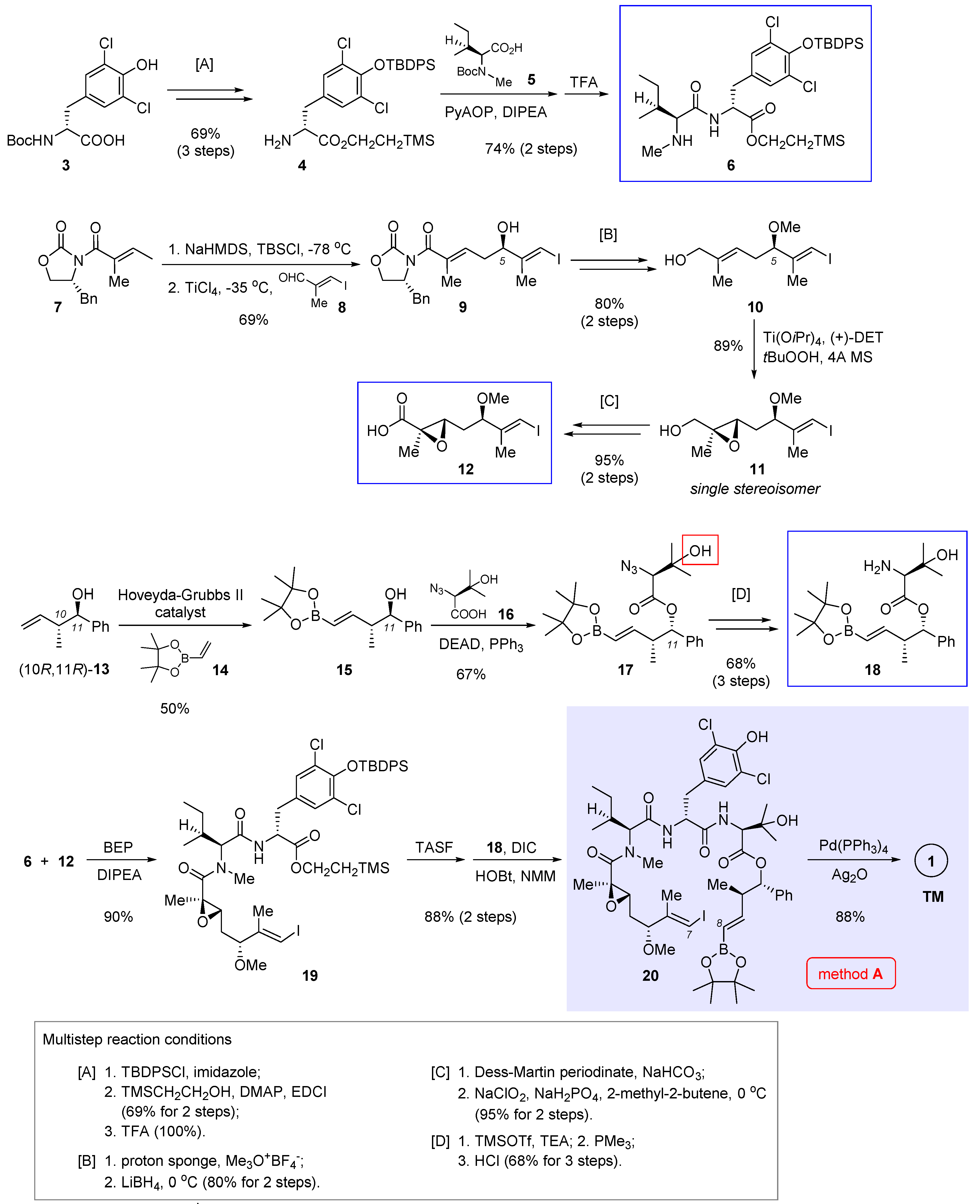
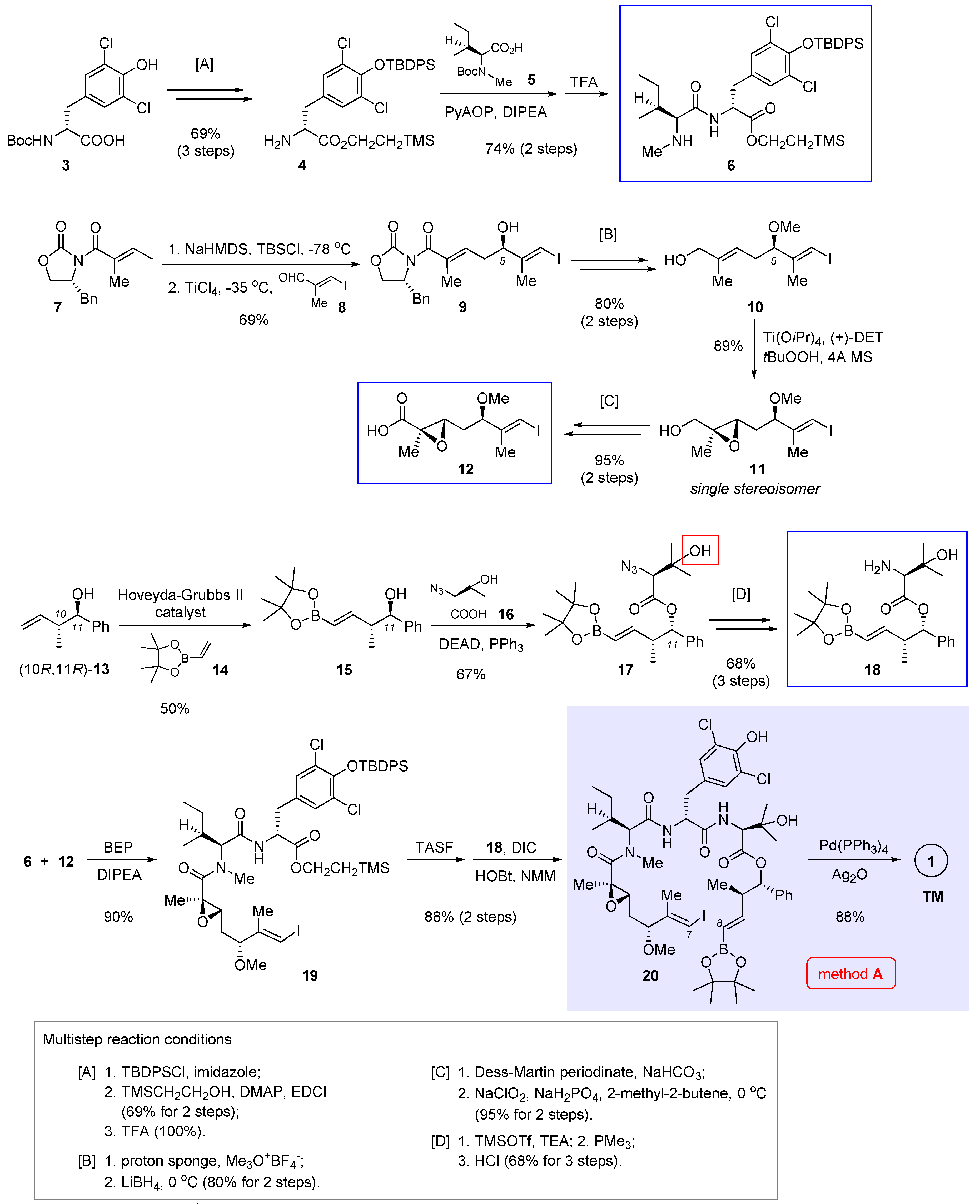
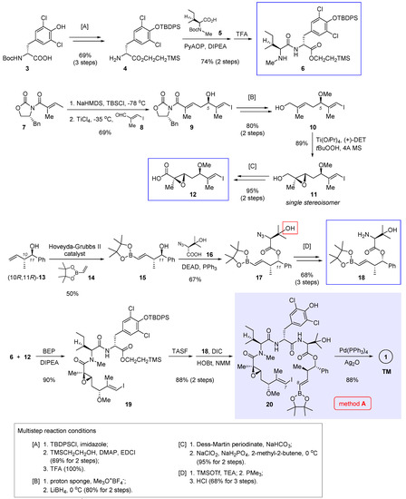
8. Macrocyclization via Ring-Closing Alkyne Metathesis
8.1. Retrosynthetic Analysis
8.2. Forward Synthesis
9. Conclusions
Funding
Conflicts of Interest
References
- Hoffmann, H.; Kogler, H.; Heyse, W.; Matter, H.; Caspers, M.; Schummer, D.; Klemke-Jahn, C.; Bauer, A.; Penarier, G.; Debussche, L.; et al. Discovery, Structure Elucidation, and Biological Characterization of Nannocystin A, a Macrocyclic Myxobacterial Metabolite with Potent Antiproliferative Properties. Angew. Chem. Int. Ed. 2015, 54, 10145–10148. [Google Scholar] [CrossRef] [PubMed]
- Krastel, P.; Roggo, S.; Schirle, M.; Ross, N.T.; Perruccio, F.; Aspesi, P.; Aust, T.; Buntin, K.; Estoppey, D.; Liechty, B.; et al. Nannocystin A: An Elongation Factor 1 Inhibitor from Myxobacteria with Differential Anti-Cancer Properties. Angew. Chem. Int. Ed. 2015, 54, 10149–10154. [Google Scholar] [CrossRef] [PubMed]
- Liao, L.; Zhou, J.; Xu, Z.; Ye, T. Concise Total Synthesis of Nannocystin A. Angew. Chem. Int. Ed. 2016, 55, 13263–13266. [Google Scholar] [CrossRef] [PubMed]
- Huang, J.; Wang, Z. Total Syntheses of Nannocystins A and A0, Two Elongation Factor 1 Inhibitors. Org. Lett. 2016, 18, 4702–4705. [Google Scholar] [CrossRef] [PubMed]
- Yang, Z.; Xu, X.; Yang, C.-H.; Tian, Y.; Chen, X.; Lian, L.; Pan, W.; Su, X.; Zhang, W.; Chen, Y. Total Synthesis of Nannocystin A. Org. Lett. 2016, 18, 5768–5770. [Google Scholar] [CrossRef] [PubMed]
- Zhang, Y.; Liu, R.; Liu, B. Total synthesis of nannocystin Ax. Chem. Commun. 2017, 53, 5549–5552. [Google Scholar] [CrossRef]
- Liu, Q.; Hu, P.; He, Y. Asymmetric Total Synthesis of Nannocystin A. J. Org. Chem. 2017, 82, 9217–9222. [Google Scholar] [CrossRef]
- Poock, C.; Kalesse, M. Total Synthesis of Nannocystin Ax. Org. Lett. 2017, 19, 4536–4539. [Google Scholar] [CrossRef]
- Meng, Z.; Souillart, L.; Monks, B.; Huwyler, N.; Herrmann, J.; Müller, R.; Fürstner, A. A “Motif-Oriented” Total Synthesis of Nannocystin Ax. Preparation and Biological Assessment of Analogues. J. Org. Chem. 2017, 83, 6977–6994. [Google Scholar] [CrossRef]
- Wang, Z. The Chemical Syntheses of Nannocystins. Synthesis 2019, 51, 2252–2260. [Google Scholar] [CrossRef]
- Shirokawa, S.-I.; Kamiyama, M.; Nakamura, T.; Okada, M.; Nakazaki, A.; Hosokawa, S.; Kobayashi, S. Remote Asymmetric Induction with Vinylketene Silyl N,O-Acetal. J. Am. Chem. Soc. 2004, 126, 13604–13605. [Google Scholar] [CrossRef] [PubMed]
- Casiraghi, G.; Battistini, L.; Curti, C.; Rassu, G.; Zanardi, F. The Vinylogous Aldol and Related Addition Reactions: Ten Years of Progress. Chem. Rev. 2011, 111, 3076–3154. [Google Scholar] [CrossRef] [PubMed]
- Kalesse, M.; Cordes, M.; Symkenberg, G.; Lu, H.-H. The vinylogous Mukaiyama aldol reaction (VMAR) in natural product synthesis. Nat. Prod. Rep. 2014, 31, 563–594. [Google Scholar] [CrossRef] [PubMed]
- Hosokawa, S. Remote Asymmetric Induction Reactions using a E,E-Vinylketene Silyl N,O-Acetal and the Wide Range Stereocontrol Strategy for the Synthesis of Polypropionates. Acc. Chem. Res. 2018, 51, 1301–1314. [Google Scholar] [CrossRef]
- Tian, Y.; Xu, X.; Ding, Y.; Hao, X.; Bai, Y.; Tang, Y.; Zhang, X.; Li, Q.; Yang, Z.; Zhang, W.; et al. Synthesis and biological evaluation of nannocystin analogues toward understanding the binding role of the (2R,3S)-Epoxide in nannocystin A. Eur. J. Med. Chem. 2018, 150, 626–632. [Google Scholar] [CrossRef]
- Tian, Y.; Ding, Y.; Xu, X.; Bai, Y.; Tang, Y.; Hao, X.; Zhang, W.; Chen, Y. Total synthesis and biological evaluation of nannocystin analogues modified at the polyketide phenyl moiety. Tetrahedron Lett. 2018, 59, 3206–3209. [Google Scholar] [CrossRef]
- Tian, Y.; Wang, J.; Liu, W.; Yuan, X.; Tang, Y.; Li, J.; Chen, Y.; Zhang, W. Stereodivergent total synthesis of Br-nannocystins underpinning the polyketide (10R,11S) configuration as a key determinant of potency. J. Mol. Struct. 2019, 1181, 568–578. [Google Scholar] [CrossRef]
- Liu, Q.; Yang, X.; Ji, J.; Zhang, S.-L.; He, Y. Novel nannocystin A analogues as anticancer therapeutics: Synthesis, biological evaluations and structure-activity relationship studies. Eur. J. Med. Chem. 2019, 170, 99–111. [Google Scholar] [CrossRef]
- Sierra, M.A.; de la Torre, M.C. Dead Ends and Detours: Direct Ways to Successful Total Synthesis; Wiley-VCH: Weinheim, Germany, 2004. [Google Scholar]
- Liu, R.; Xia, M.; Zhang, Y.; Fu, S.; Liu, B. The journey of total synthesis toward nannocystin Ax. Tetrahedron 2019, 75, 1781–1794. [Google Scholar] [CrossRef]
- Tsukada, H.; Mukaeda, Y.; Hosokawa, S. syn-Selective Kobayashi Aldol Reaction Using Acetals. Org. Lett. 2013, 15, 678–681. [Google Scholar] [CrossRef]
- Sagawa, N.; Sato, H.; Hosokawa, S. Remote Asymmetric Induction Using Acetate-Type Vinylketene Silyl N,O-Acetals. Org. Lett. 2016, 19, 198–201. [Google Scholar] [CrossRef] [PubMed]
- Jiang, X.; Zhang, J.; Ma, S. Iron Catalysis for Room-Temperature Aerobic Oxidation of Alcohols to Carboxylic Acids. J. Am. Chem. Soc. 2016, 138, 8344–8347. [Google Scholar] [CrossRef] [PubMed]
- Chen, M.; Roush, W.R. Enantioconvergent Hydroboration of a Racemic Allene: Enantioselective Synthesis of (E)-δ-Stannyl-anti-homoallylic Alcohols via Aldehyde Crotylboration. J. Am. Chem. Soc. 2011, 133, 5744–5747. [Google Scholar] [CrossRef] [PubMed]
- Ghosez, L. α-Chloroenamines: New Reagents for Organic Synthesis. Angew. Chem. Int. Ed. 1972, 11, 852–853. [Google Scholar] [CrossRef]
- Jain, P.; Antilla, J.C. Chiral Brønsted Acid-Catalyzed Allylboration of Aldehydes. J. Am. Chem. Soc. 2010, 132, 11884–11886. [Google Scholar] [CrossRef]
- Gieseler, M.T.; Kalesse, M. Asymmetric Vinylogous Mukaiyama Aldol Reaction of Aldehyde-Derived Dienolates. Org. Lett. 2011, 13, 2430–2432. [Google Scholar] [CrossRef]
- Schläger, N.; Kirschning, A. Substrate-controlled stereoselectivity in the Yamamoto aldol reaction. Org. Biomol. Chem. 2012, 10, 7721–7729. [Google Scholar] [CrossRef]
- Müller, S.; Liepold, B.; Roth, G.J.; Bestmann, H.J. An Improved One-pot Procedure for the Synthesis of Alkynes from Aldehydes. Synlett 1996, 521–522. [Google Scholar] [CrossRef]
- Farina, V.; Krishnan, B. Large rate accelerations in the Stille reaction with tri-2-furylphosphine and triphenylarsine as palladium ligands: Mechanistic and synthetic implications. J. Am. Chem. Soc. 1991, 113, 9585–9595. [Google Scholar] [CrossRef]
- Simsek, S.; Horzella, M.; Kalesse, M. Oxazaborolidinone-Promoted Vinylogous Mukaiyama Aldol Reactions. Org. Lett. 2007, 9, 5637–5639. [Google Scholar] [CrossRef]
- Kalesse, M.; Brodmann, T.; Lorenz, M.; Schäckel, R.; Simsek, S. Highly Stereoselective Aldol Reactions in the Total Syntheses of Complex Natural Products. Synlett 2009, 174–192. [Google Scholar] [CrossRef]
- Gerstmann, L.; Kalesse, M. Total Synthesis of Aetheramide A. Chem. Eur. J. 2016, 22, 11210–11212. [Google Scholar] [CrossRef] [PubMed]
- Reddy, K.V.; Sunitha, M.; Chakunta, R.G. Stereoselective Synthesis of Southern Fragment of Hantupeptin-A. Acta Chim. Slov. 2016, 63, 344–350. [Google Scholar] [CrossRef][Green Version]
- Itoh, H.; Inoue, M. Comprehensive Structure–Activity Relationship Studies of Macrocyclic Natural Products Enabled by Their Total Syntheses. Chem. Rev. 2019, 119, 10002–10031. [Google Scholar] [CrossRef]
- Radkowski, K.; Sundararaju, B.; Fürstner, A. A Functional-Group-Tolerant Catalytic trans Hydrogenation of Alkynes. Angew. Chem. Int. Ed. 2013, 52, 355–360. [Google Scholar] [CrossRef]
- Sundararaju, B.; Fürstner, A. A trans-Selective Hydroboration of Internal Alkynes. Angew. Chem. Int. Ed. 2013, 52, 14050–14054. [Google Scholar] [CrossRef]
- Rummelt, S.M.; Fürstner, A. Ruthenium-Catalyzed trans-Selective Hydrostannation of Alkynes. Angew. Chem. Int. Ed. 2014, 53, 3626–3630. [Google Scholar] [CrossRef]
- Rummelt, S.M.; Radkowski, K.; Rosca, D.-A.; Fürstner, A. Interligand Interactions Dictate the Regioselectivity of trans-Hydrometalations and Related Reactions Catalyzed by [Cp*RuCl]. Hydrogen Bonding to a Chloride Ligand as a Steering Principle in Catalysis. J. Am. Chem. Soc. 2015, 137, 5506–5519. [Google Scholar] [CrossRef]
- Roşca, D.-A.; Radkowski, K.; Wolf, L.M.; Wagh, M.; Goddard, R.; Thiel, W.; Fürstner, A. Ruthenium-Catalyzed Alkynetrans-Hydrometalation: Mechanistic Insights and Preparative Implications. J. Am. Chem. Soc. 2017, 139, 2443–2455. [Google Scholar] [CrossRef]
- Fürstner, A. trans-Hydrogenation, gem-Hydrogenation, and trans-Hydrometalation of Alkynes: An Interim Report on an Unorthodox Reactivity Paradigm. J. Am. Chem. Soc. 2019, 141, 11–24. [Google Scholar] [CrossRef]
- Frihed, T.G.; Fürstner, A. Progress in the trans-reduction and trans-hydrometalation of internal alkynes. Applications to natural product synthesis. Bull. Chem. Soc. Jpn. 2016, 89, 135–160. [Google Scholar] [CrossRef]
- Fürstner, A. Alkyne Metathesis on the Rise. Angew. Chem. Int. Ed. 2013, 52, 2794–2819. [Google Scholar] [CrossRef] [PubMed]
- Fürstner, A. Chapter 4 Alkyne metathesis in organic synthesis. In Modern Alkyne Chemistry: Catalytic and Atom-Economic Transformations; Trost, B.M., Li, C.-J., Eds.; Wiley-VCH: Weinheim, Germany, 2015; pp. 69–111. [Google Scholar]
- Bindl, M.; Stade, R.; Heilmann, E.K.; Picot, A.; Goddard, R.; Fürstner, A. Molybdenum Nitride Complexes with Ph3SiO Ligands Are Exceedingly Practical and Tolerant Precatalysts for Alkyne Metathesis and Efficient Nitrogen Transfer Agents. J. Am. Chem. Soc. 2009, 131, 9468–9470. [Google Scholar] [CrossRef] [PubMed]
- Heppekausen, J.; Stade, R.; Goddard, R.; Fürstner, A. Practical New Silyloxy-Based Alkyne Metathesis Catalysts with Optimized Activity and Selectivity Profiles. J. Am. Chem. Soc. 2010, 132, 11045–11057. [Google Scholar] [CrossRef] [PubMed]
- Heppekausen, J.; Stade, R.; Kondoh, A.; Seidel, G.; Goddard, R.; Fürstner, A. Optimized Synthesis, Structural Investigations, Ligand Tuning and Synthetic Evaluation of Silyloxy-Based Alkyne Metathesis Catalysts. Chem. Eur. J. 2012, 18, 10281–10299. [Google Scholar] [CrossRef]
- Hillenbrand, J.; Leutzsch, M.; Fürstner, A. Molybdenum Alkylidyne Complexes with Tripodal Silanolate Ligands: The Next Generation of Alkyne Metathesis Catalysts. Angew. Chem. Int. Ed. 2019, 58, 15690–15696. [Google Scholar] [CrossRef]
- Fürstner, A. Teaching Metathesis "Simple" Stereochemistry. Science 2013, 341, 1229713. [Google Scholar] [CrossRef]
- Fürstner, A. Catalysis for Total Synthesis: A Personal Account. Angew. Chem. Int. Ed. 2014, 53, 8587–8598. [Google Scholar] [CrossRef]
- Willwacher, J.; Fürstner, A. Catalysis-Based Total Synthesis of Putative Mandelalide, A. Angew. Chem. Int. Ed. 2014, 53, 4217–4221. [Google Scholar] [CrossRef]
- Ungeheuer, F.; Fürstner, A. Concise Total Synthesis of Ivorenolide B. Chem. Eur. J. 2015, 21, 11387–11392. [Google Scholar] [CrossRef]
- Ahlers, A.; de Haro, T.; Gabor, B.; Fürstner, A. Concise Total Synthesis of Enigmazole A. Angew. Chem. Int. Ed. 2016, 55, 1406–1411. [Google Scholar] [CrossRef] [PubMed]
- Kwon, Y.; Schulthoff, S.; Dao, Q.M.; Wirtz, C.; Fürstner, A. Total Synthesis of Disciformycin A and B: Unusually Exigent Targets of Biological Significance. Chem. Eur. J. 2018, 24, 109–114. [Google Scholar] [CrossRef] [PubMed]
- Mata, G.; Wölfl, B.; Fürstner, A. Synthesis and Molecular Editing of Callyspongiolide, Part 1: The Alkyne Metathesis/trans-Reduction Strategy. Chem. Eur. J. 2019, 25, 246–254. [Google Scholar] [CrossRef] [PubMed]
- Wölfl, B.; Mata, G.; Fürstner, A. Total Synthesis of Callyspongiolide, Part 2: The Ynoate Metathesis/cis-Reduction Strategy. Chem. Eur. J. 2019, 25, 255–259. [Google Scholar] [CrossRef] [PubMed]
- Karier, P.; Ungeheuer, F.; Ahlers, A.; Anderl, F.; Wille, C.; Fürstner, A. Metathesis at an Implausible Site: A Formal Total Synthesis of Rhizoxin, D. Angew. Chem. Int. Ed. 2019, 58, 248–253. [Google Scholar] [CrossRef]
- Meng, Z.; Fürstner, A. Total Synthesis of (−)-Sinulariadiolide. A Transannular Approach. J. Am. Chem. Soc. 2019, 141, 805–809. [Google Scholar] [CrossRef]
- Yang, Y.; Perry, I.B.; Lu, G.; Liu, P.; Buchwald, S.L. Copper-catalyzed asymmetric addition of olefin-derived nucleophiles to ketones. Science 2016, 353, 144–150. [Google Scholar] [CrossRef]
- Huwyler, N.; Radkowski, K.; Rummelt, S.M.; Fürstner, A. Two Enabling Strategies for the Stereoselective Conversion of Internal Alkynes into Trisubstituted Alkenes. Chem. Eur. J. 2017, 23, 12412–12419. [Google Scholar] [CrossRef]
- Preindl, J.; Jouvin, K.; Laurich, D.; Seidel, G.; Fürstner, A. Gold- or Silver-Catalyzed Syntheses of Pyrones and Pyridine Derivatives: Mechanistic and Synthetic Aspects. Chem. Eur. J. 2016, 22, 237–247. [Google Scholar] [CrossRef]












Publisher’s Note: MDPI stays neutral with regard to jurisdictional claims in published maps and institutional affiliations. |
© 2020 by the author. Licensee MDPI, Basel, Switzerland. This article is an open access article distributed under the terms and conditions of the Creative Commons Attribution (CC BY) license (http://creativecommons.org/licenses/by/4.0/).
Share and Cite
Zhang, W. From Target-Oriented to Motif-Oriented: A Case Study on Nannocystin Total Synthesis. Molecules 2020, 25, 5327. https://doi.org/10.3390/molecules25225327
Zhang W. From Target-Oriented to Motif-Oriented: A Case Study on Nannocystin Total Synthesis. Molecules. 2020; 25(22):5327. https://doi.org/10.3390/molecules25225327
Chicago/Turabian StyleZhang, Weicheng. 2020. "From Target-Oriented to Motif-Oriented: A Case Study on Nannocystin Total Synthesis" Molecules 25, no. 22: 5327. https://doi.org/10.3390/molecules25225327
APA StyleZhang, W. (2020). From Target-Oriented to Motif-Oriented: A Case Study on Nannocystin Total Synthesis. Molecules, 25(22), 5327. https://doi.org/10.3390/molecules25225327

