Discovery of Oxazol-2-amine Derivatives as Potent Novel FLT3 Inhibitors
Abstract
1. Introduction
2. Results
2.1. 7c Has Anti-Leukemic Activity in AML Cells Both In Vitro and In Vivo
2.2. 7c Inhibited the FLT3 Kinase Activity in AML Cells
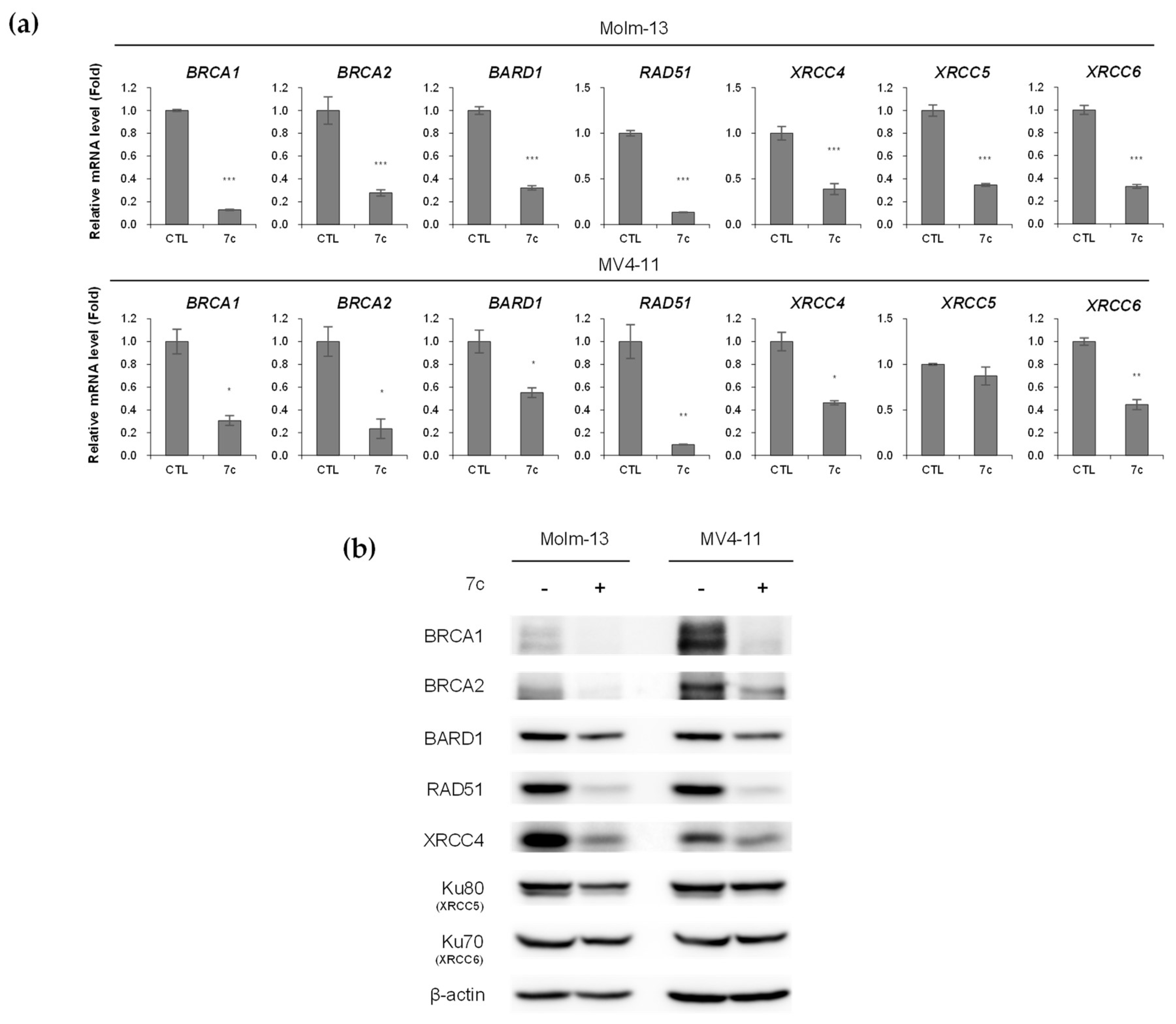
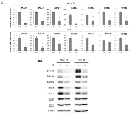
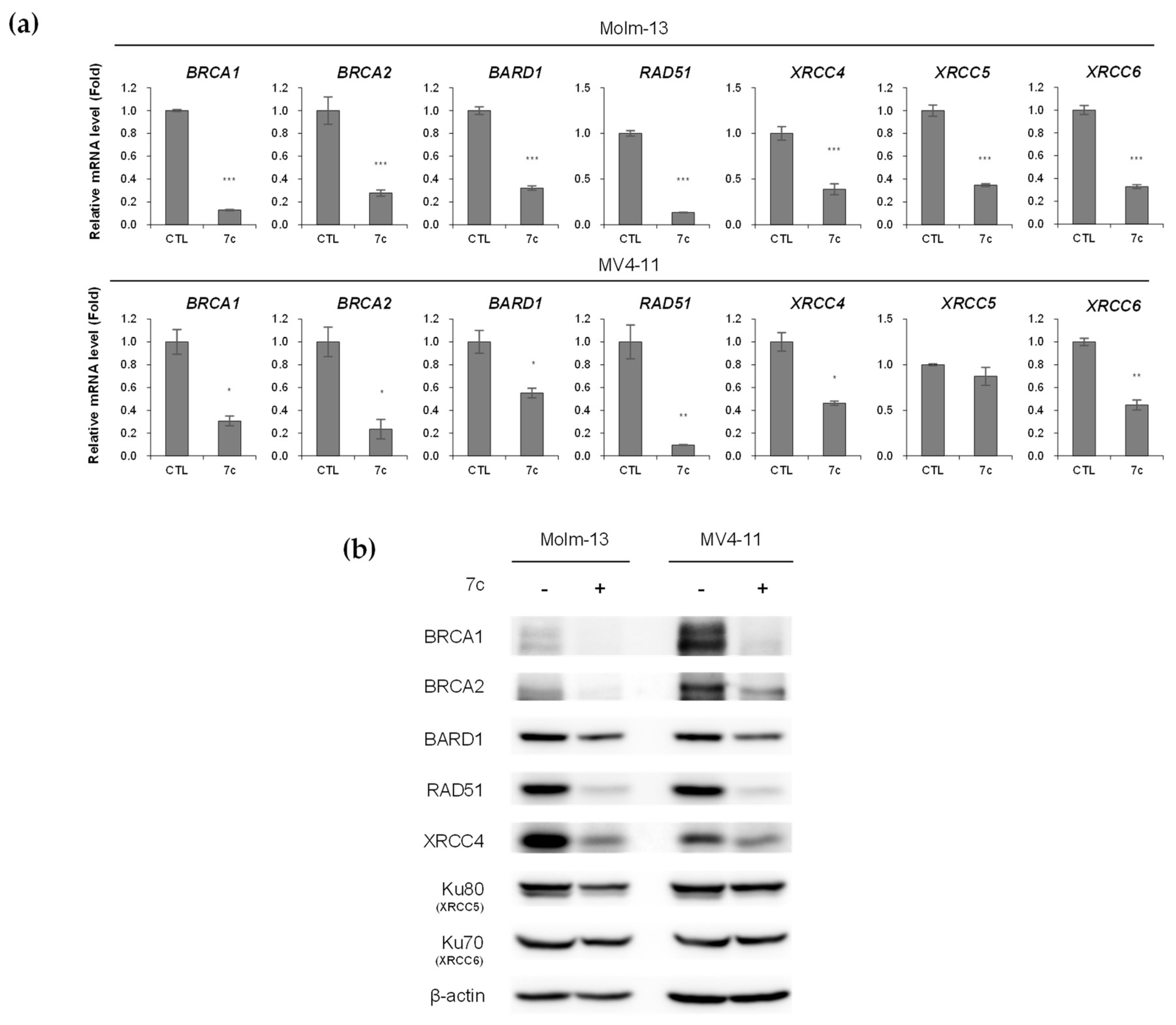
2.3. 7c Suppressed DNA Damage Repair
2.4. Combination Therapy of 7c with a PARP Inhibitor Showed Synthetic Lethality
3. Discussion
4. Materials and Methods
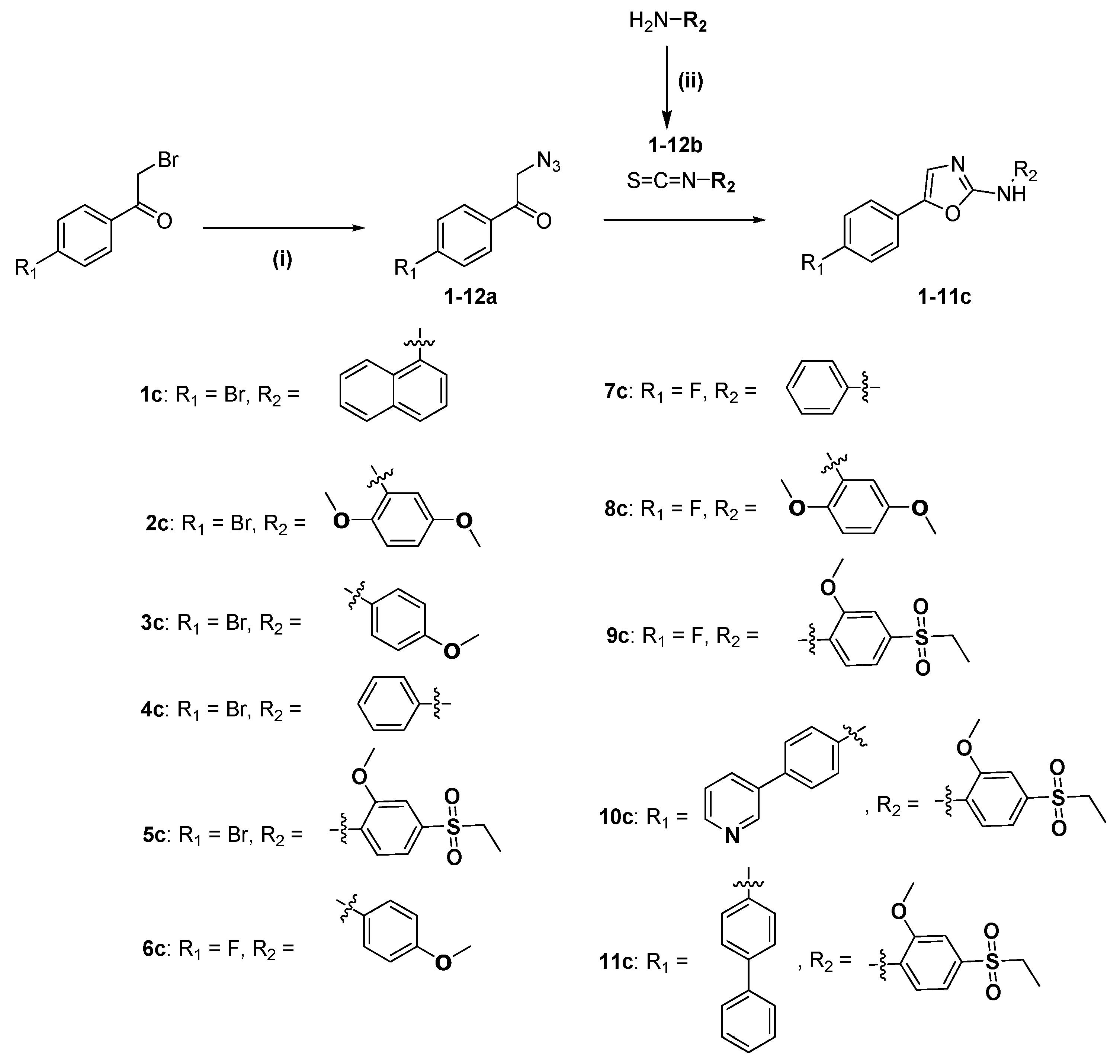
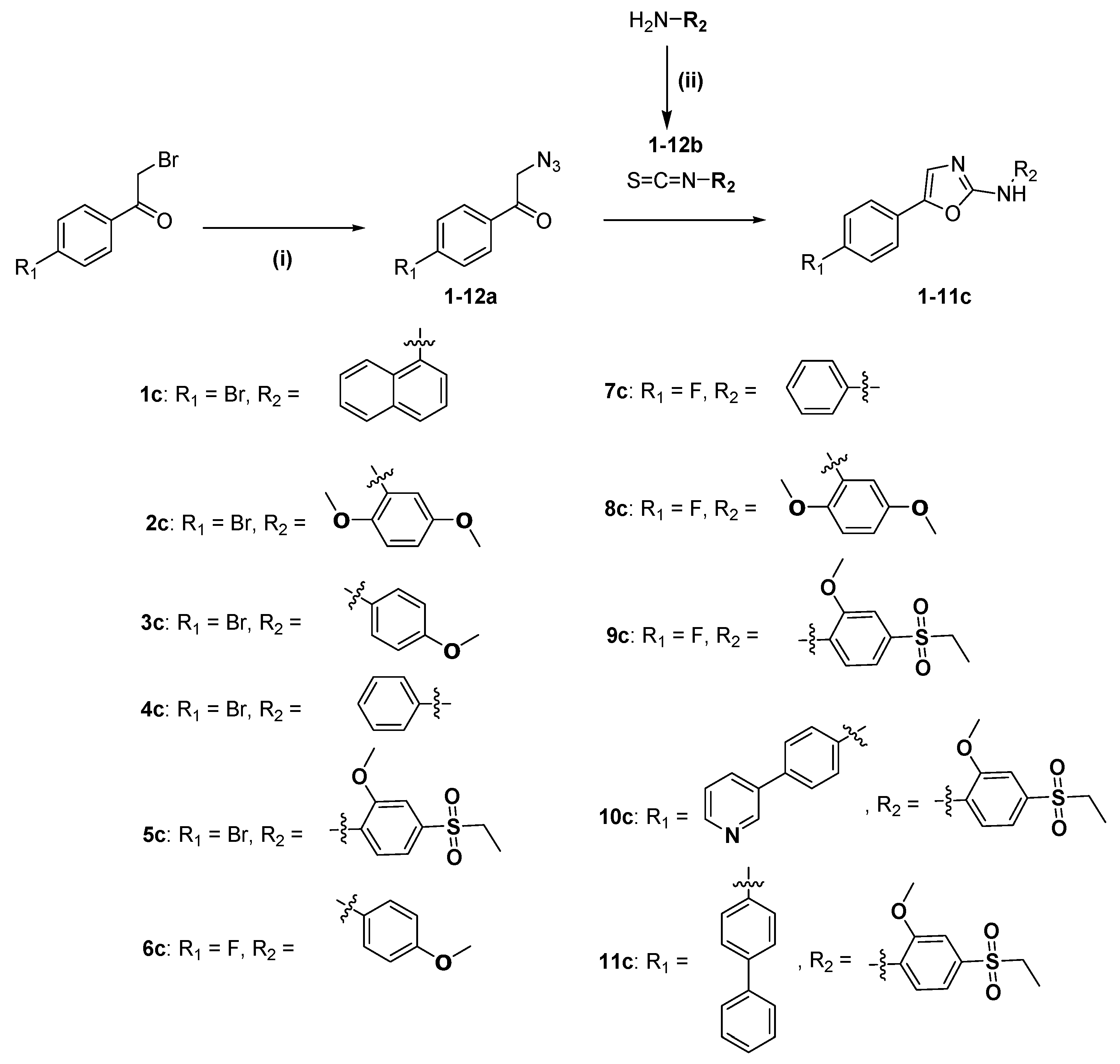
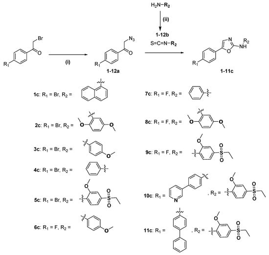
4.1. Chemistry
4.2. General Synthesis Procedure
4.3. Cell Culture
4.4. Tumor Xenograft Mouse Model
4.5. Cell ViabIlity Assay
4.6. Western Blotting
4.7. Quantitative Real-Time Polymerase Chain Reaction (qRT-PCR)
4.8. In Vitro Kinase Assay
4.9. Molecular Docking Study
4.10. Combination Index (CI)
4.11. Statistical Analysis
Supplementary Materials
Author Contributions
Funding
Conflicts of Interest
References
- De Kouchkovsky, I.; Abdul-Hay, M. Acute myeloid leukemia: A comprehensive review and 2016 update. Blood Cancer J. 2016, 6, e441. [Google Scholar] [CrossRef] [PubMed]
- Döhner, H.; Estey, E.H.; Amadori, S.; Appelbaum, F.R.; Büchner, T.; Burnett, A.K.; Dombret, H.; Fenaux, P.; Grimwade, D.; Larson, R.A.; et al. Diagnosis and management of acute myeloid leukemia in adults: Recommendations from an international expert panel, on behalf of the European LeukemiaNet. Blood 2010, 115, 453–474. [Google Scholar] [CrossRef] [PubMed]
- Yang, X.; Wang, J. Precision therapy for acute myeloid leukemia. J. Hematol. Oncol. 2018, 11, 1–11. [Google Scholar] [CrossRef] [PubMed]
- Zhou, F.; Ge, Z.; Chen, B. Quizartinib (AC220): A promising option for acute myeloid leukemia. Drug Des. Dev. Ther. 2019, 13, 1117–1125. [Google Scholar] [CrossRef] [PubMed]
- Döhner, H.; Weisdorf, D.J.; Bloomfield, C.D. Acute Myeloid Leukemia. New Engl. J. Med. 2015, 373, 1136–1152. [Google Scholar] [CrossRef] [PubMed]
- Small, D. FLT3 Mutations: Biology and Treatment. Hematology 2006, 2006, 178–184. [Google Scholar] [CrossRef] [PubMed]
- Daver, N.; Schlenk, R.F.; Russell, N.H.; Levis, M.J. Targeting FLT3 mutations in AML: Review of current knowledge and evidence. Leukemia 2019, 33, 299–312. [Google Scholar] [CrossRef]
- Larrosa-Garcia, M.; Baer, M.R. FLT3 Inhibitors in Acute Myeloid Leukemia: Current Status and Future Directions. Mol. Cancer Ther. 2017, 16, 991–1001. [Google Scholar] [CrossRef] [PubMed]
- Sallmyr, A.; Fan, J.; Datta, K.; Kim, K.T.; Grosu, D.; Shapiro, P.; Small, D.; Rassool, F. Internal tandem duplication of FLT3 (FLT3/ITD) induces increased ROS production, DNA damage, and misrepair: Implications for poor prognosis in AML. Blood 2008, 111, 3173–3182. [Google Scholar] [CrossRef] [PubMed]
- Maifrede, S.; Nieborowska-Skorska, M.; Sullivan-Reed, K.; Dasgupta, Y.; Podszywalow-Bartnicka, P.; Le, B.V.; Solecka, M.; Lian, Z.; Belyaeva, E.A.; Nersesyan, A.; et al. Tyrosine kinase inhibitor–induced defects in DNA repair sensitize FLT3(ITD)-positive leukemia cells to PARP1 inhibitors. Blood 2018, 132, 67–77. [Google Scholar] [CrossRef]
- Ryu, H.; Choi, H.K.; Kim, H.J.; Kim, A.-Y.; Song, J.-Y.; Hwang, S.-G.; Kim, J.-S.; Kim, D.-U.; Kim, E.-H.; Kim, J.; et al. Antitumor Activity of a Novel Tyrosine Kinase Inhibitor AIU2001 Due to Abrogation of the DNA Damage Repair in Non-Small Cell Lung Cancer Cells. Int. J. Mol. Sci. 2019, 20, 4728. [Google Scholar] [CrossRef]
- Bulatov, E.; Sayarova, R.; Mingaleeva, R.; Miftakhova, R.; Gomzikova, M.; Ignatyev, Y.; Petukhov, A.; Davidovich, P.; Rizvanov, A.; Barlev, N.A. Isatin-Schiff base-copper (II) complex induces cell death in p53-positive tumors. Cell Death Discov. 2018, 4, 1–9. [Google Scholar] [CrossRef]
- Hassa, P.O.; Hottiger, M.O. The diverse biological roles of mammalian PARPS, a small but powerful family of poly-ADP-ribose polymerases. Front. Biosci. 2008, 13, 3046–3082. [Google Scholar] [CrossRef]
- Haince, J.-F.; McDonald, D.; Rodrigue, A.; Déry, U.; Masson, J.-Y.; Hendzel, M.J.; Poirier, G.G. PARP1-dependent Kinetics of Recruitment of MRE11 and NBS1 Proteins to Multiple DNA Damage Sites. J. Biol. Chem. 2007, 283, 1197–1208. [Google Scholar] [CrossRef]
- Zorn, J.A.; Wang, Q.; Fujimura, E.; Barros, T.; Kuriyan, J. Crystal Structure of the FLT3 Kinase Domain Bound to the Inhibitor Quizartinib (AC220). PLoS ONE 2015, 10, e0121177. [Google Scholar] [CrossRef]
- Chan, A.; Orme, R.P.; Fricker, R.A.; Roach, P. Remote and local control of stimuli responsive materials for therapeutic applications. Adv. Drug Deliv. Rev. 2013, 65, 497–514. [Google Scholar] [CrossRef]
- Sallmyr, A.; Fan, J.; Rassool, F.V. Genomic instability in myeloid malignancies: Increased reactive oxygen species (ROS), DNA double strand breaks (DSBs) and error-prone repair. Cancer Lett. 2008, 270, 1–9. [Google Scholar] [CrossRef]
- Mi, T.; Wang, Z.; Bunting, K.D. The Cooperative Relationship between STAT5 and Reactive Oxygen Species in Leukemia: Mechanism and Therapeutic Potential. Cancers 2018, 10, 359. [Google Scholar] [CrossRef]
- Rebechi, M.T.; Pratz, K.W. Genomic instability is a principle pathologic feature of FLT3 ITD kinase activity in acute myeloid leukemia leading to clonal evolution and disease progression. Leuk. Lymphoma 2017, 58, 2040–2050. [Google Scholar] [CrossRef]
- Dellomo, A.J.; Baer, M.R.; Rassool, F.V. Partnering with PARP inhibitors in acute myeloid leukemia with FLT3-ITD. Cancer Lett. 2019, 454, 171–178. [Google Scholar] [CrossRef]
- Yang, X.; Wedajo, W.; Yamada, Y.; Dahlroth, S.-L.; Neo, J.J.-L.; Dick, T.; Chui, W.-K. 1,3,5-triazaspiro[5.5]undeca-2,4-dienes as selective Mycobacterium tuberculosis dihydrofolate reductase inhibitors with potent whole cell activity. Eur. J. Med. Chem. 2018, 144, 262–276. [Google Scholar] [CrossRef]
- Kai, H.; Morioka, Y.; Tomida, M.; Takahashi, T.; Hattori, M.; Hanasaki, K.; Koike, K.; Chiba, H.; Shinohara, S.; Kanemasa, T.; et al. 2-Arylimino-5,6-dihydro-4H-1,3-thiazines as a new class of cannabinoid receptor agonists. Part 2: Orally bioavailable compounds. Bioorganic Med. Chem. Lett. 2007, 17, 3925–3929. [Google Scholar] [CrossRef] [PubMed]
- Suh, J.H.; Yum, E.K.; Cho, Y.S. Synthesis and Biological Evaluation of N-Aryl-5-aryloxazol-2-amine Derivatives as 5-Lipoxygenase Inhibitors. Chem. Pharm. Bull. 2015, 63, 573–578. [Google Scholar] [CrossRef] [PubMed]






| Compound Identity | Structure | In Vitro Kinase Inhibition (%) | Cell Growth Inhibition (%) | |||||
|---|---|---|---|---|---|---|---|---|
| R1 | R2 | FLT3 | FLT3 (D835Y) | FLT3 (ITD) | MV4-11 | Molm-13 | HL-60 | |
| 1c | Br | ![]() | 23 ± 4 | 47 ± 1 | 63 ± 1 | 0 | 0 | 0 |
| 2c | Br | ![]() | 64 ± 9 | 74 ± 0 | 82 ± 2 | 24 ± 5 | 34 ± 3 | 0 |
| 3c | Br | ![]() | 0 | 0 | 15 ± 2 | 0 | 0 | 0 |
| 4c | Br | ![]() | 28 ± 2 | 15 ± 4 | 57 ± 1 | 26 ± 2 | 0 | 0 |
| 5c | Br | ![]() | 87 ± 0 | 92 ± 1 | 89 ± 1 | 38 ± 4 | 11 ± 4 | 0 |
| 6c | F | ![]() | 41 ± 6 | 27 ± 3 | 66 ± 1 | 21 ± 5 | 0 | 0 |
| 7c | F | ![]() | 38 ± 6 | 43 ± 5 | 70 ± 1 | 52 ± 1 | 65 ± 2 | 0 |
| 8c | F | ![]() | 0 | 0 | 0 | 0 | 0 | 0 |
| 9c | F | ![]() | 0 | 0 | 0 | 0 | 0 | 0 |
| 10c | ![]() | ![]() | 92 ± 0 | 94 ± 2 | 92 ± 1 | 0 | 0 | 0 |
| 11c | ![]() | ![]() | 88 ± 1 | 91 ± 3 | 85 ± 1 | 0 | 0 | 0 |
| Compound Identity | Structure | IC50 (nM) (In Vitro Kinase) | IC50 of Cell Growth (nM) | |||||
|---|---|---|---|---|---|---|---|---|
| R1 | R2 | FLT3 | FLT3 (D835Y) | FLT3 (ITD) | MV4-11 | Molm-13 | HL-60 | |
| 7c | F | ![]() | 207.2 ± 3.4 | 215.3 ± 4.1 | 32.5 ± 2.5 | 95.51 ± 1.16 | 61.9 ± 2.45 | >10,000 |
Sample Availability: Samples of the compounds are not available from the authors. | |
Publisher’s Note: MDPI stays neutral with regard to jurisdictional claims in published maps and institutional affiliations. |
© 2020 by the authors. Licensee MDPI, Basel, Switzerland. This article is an open access article distributed under the terms and conditions of the Creative Commons Attribution (CC BY) license (http://creativecommons.org/licenses/by/4.0/).
Share and Cite
Kim, H.J.; Ryu, H.; Song, J.-Y.; Hwang, S.-G.; Jalde, S.S.; Choi, H.-K.; Ahn, J. Discovery of Oxazol-2-amine Derivatives as Potent Novel FLT3 Inhibitors. Molecules 2020, 25, 5154. https://doi.org/10.3390/molecules25215154
Kim HJ, Ryu H, Song J-Y, Hwang S-G, Jalde SS, Choi H-K, Ahn J. Discovery of Oxazol-2-amine Derivatives as Potent Novel FLT3 Inhibitors. Molecules. 2020; 25(21):5154. https://doi.org/10.3390/molecules25215154
Chicago/Turabian StyleKim, Hyo Jeong, Hwani Ryu, Jie-Young Song, Sang-Gu Hwang, Shivakumar S. Jalde, Hyun-Kyung Choi, and Jiyeon Ahn. 2020. "Discovery of Oxazol-2-amine Derivatives as Potent Novel FLT3 Inhibitors" Molecules 25, no. 21: 5154. https://doi.org/10.3390/molecules25215154
APA StyleKim, H. J., Ryu, H., Song, J.-Y., Hwang, S.-G., Jalde, S. S., Choi, H.-K., & Ahn, J. (2020). Discovery of Oxazol-2-amine Derivatives as Potent Novel FLT3 Inhibitors. Molecules, 25(21), 5154. https://doi.org/10.3390/molecules25215154















