Chemical Profile and Use of the Peat as an Adsorbent for Extraction of Volatile Compounds from Leaves of Geranium (Pelargonium graveolens L’ Herit)
Abstract
1. Introduction
2. Results and Discussion
3. Materials and Methods
3.1. Plant Material
3.2. Collection, Preparation and Characterization of in Natura Peat and Dry Ash Material
3.3. Isolation of the Volatile Compounds
3.3.1. Hydrodistillation (HD)
3.3.2. Dynamic Headspace with Porapak Q as Adsorbent (HSD-P)
3.3.3. Dynamic Headspace with in Natura Peat as Adsorbent (HSD-T)
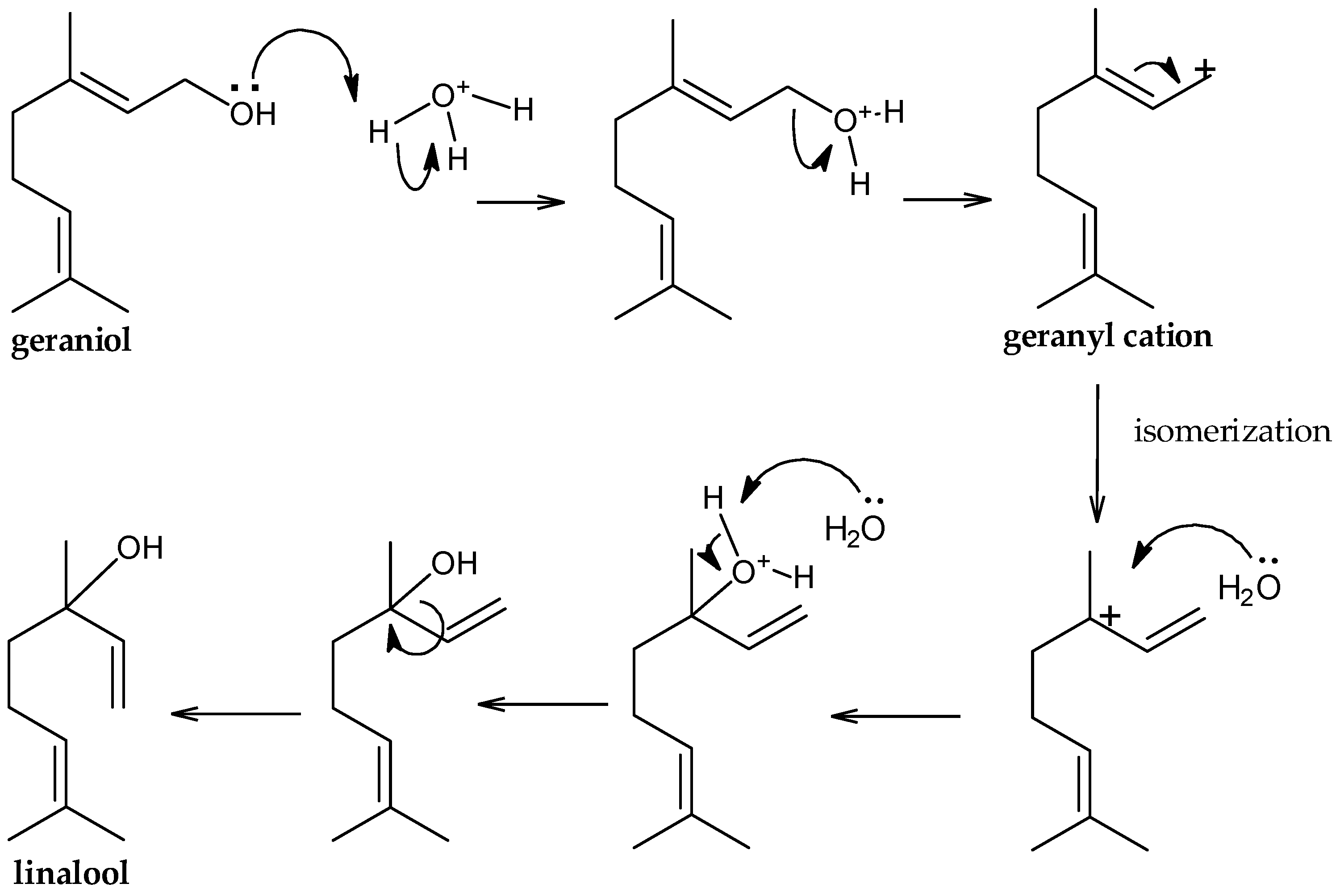
3.4. Conversion of Geraniol to Linalool
3.5. Gas Chromatography–Mass Spectrometry (GC/MS)
3.6. Gas Chromatography–Flame Ionization (GC/FID)
3.7. Identification of Essential Oil Constituents
3.8. Statistical Analysis
4. Conclusions
Author Contributions
Funding
Conflicts of Interest
References
- Lalli, J.Y.; Viljoen, A.M.; Baser, K.H.C.; Demirci, B.; Özek, T. The Essential Oil Composition and Chemotaxonomical Appraisal of South African Pelargoniums (Geraniaceae). J. Essent. Oil Res. 2006, 18, 89–105. [Google Scholar] [CrossRef]
- Gupta, R.; Sastry, K.; Banerjee, S.; Mallavarapu, G.; Kumar, S. Genetic resource enhancement by isolation of diversegenotypes from seed progeny in predominantly sterile rose scentedgeranium Pelargonium graveolens. Genet. Resour. Crop. Evol. 2001, 48, 629–636. [Google Scholar] [CrossRef]
- Gupta, R.; Mallavarapu, G.R.; Banerjee, S.; Kumar, S. Characteristics of an isomenthone-rich somaclonal mutant isolated in a geraniol-rich rose-scented geranium accession of Pelargonium graveolens. Flavour Fragr. J. 2001, 16, 319–324. [Google Scholar] [CrossRef]
- Rao, B. Biomass yield, essential oil yield and essential oil composition of rose-scented geranium (Pelargonium species) as influenced by row spacings and intercropping with cornmint (Mentha arvensis L.f. piperascens Malinv. ex Holmes). Ind. Crops Prod. 2002, 16, 133–144. [Google Scholar] [CrossRef]
- Jain, N.; Aggarwal, K.K.; Syamasundar, K.V.; Srivastava, S.K.; Kumar, S. Essential oil composition of geranium (Pelargonium sp.) from the plains of Northern India. Flavour Fragr. J. 2001, 16, 44–46. [Google Scholar] [CrossRef]
- Singh, P.; Srivastava, B.; Kumar, A.; Kumar, R.; Dubey, N.K.; Gupta, R. Assessment of Pelargonium graveolens oil as plant-based antimicrobial and aflatoxin suppressor in food preservation. J. Sci. Food Agric. 2008, 88, 2421–2425. [Google Scholar] [CrossRef]
- Rubiolo, P.; Sgorbini, B.; Liberto, E.; Cordero, C.; Bicchi, C. Essential oils and volatiles: Sample preparation and analysis. A review. Flavour Fragr. J. 2010, 25, 282–290. [Google Scholar] [CrossRef]
- Agelopoulos, N.G.; Pickett, J.A. Headspace Analysis in Chemical Ecology: Effects of Different Sampling Methods on Ratios of Volatile Compounds Present in Headspace Samples. J. Chem. Ecol. 1998, 24, 1161–1172. [Google Scholar] [CrossRef]
- Tholl, D.; Boland, W.; Hansel, A.; Loreto, F.; Röse, U.S.; Schnitzler, J.-P. Practical approaches to plant volatile analysis. Plant J. 2006, 45, 540–560. [Google Scholar] [CrossRef]
- Kürkçüoglu, M.; Başer, K.H.C. Headspace Volatiles of Three Turkish Plants. J. Essent. Oil Res. 2010, 22, 389–392. [Google Scholar] [CrossRef]
- Bicchi, C.; Cordero, C.; Liberto, E.; Sgorbini, B.; Rubiolo, P. Headspace sampling of the volatile fraction of vegetable matrices. J. Chromatogr. A 2008, 1184, 220–233. [Google Scholar] [CrossRef] [PubMed]
- Kim, N.-S.; Lee, D.-S. Comparison of different extraction methods for the analysis of fragrances from Lavandula species by gas chromatography–mass spectrometry. J. Chromatogr. A 2002, 982, 31–47. [Google Scholar] [CrossRef]
- De Oliveira, A.L.; Lopes, R.B.; Cabral, F.A.; Eberlin, M.N. Volatile compounds from pitanga fruit (Eugenia uniflora L.). Food Chem. 2006, 99, 1–5. [Google Scholar] [CrossRef]
- Gonçalves, G.B.; Silva, C.E.; Dos Santos, J.C.G.; Dos Santos, E.S.; Nascimento, R.R.D.; Da Silva, E.L.; Mendonça, A.D.L.; De Freitas, M.D.R.T.; Sant’Ana, A.E.G. Comparison of the volatile components released by calling males of ceratitis capitata (diptera: Tephritidae) with those extractable from the salivary glands. Fla. Entomol. 2006, 89, 375–379. [Google Scholar] [CrossRef]
- Citó, A.M.; Costa, F.B.; Lopes, J.A.D.; Oliveira, V.M.M.; Chaves, M.H. Identificação de constituintes voláteis de frutos e folhas de Protium heptaphyllum Aubl (March). Rev. Bras. Plantas Med. 2006, 8, 4–7. [Google Scholar]
- Cunha, G.D.C.; Romão, L.; Santos, M.; Araújo, B.; Navickiene, S.; De Pádua, V. Adsorption of trihalomethanes by humin: Batch and fixed bed column studies. Bioresour. Technol. 2010, 101, 3345–3354. [Google Scholar] [CrossRef]
- Costa, A.; Romão, L.; Araújo, B.; Lucas, S.; Maciel, S.; Wisniewski, A.; Alexandre, M. Environmental strategies to remove volatile aromatic fractions (BTEX) from petroleum industry wastewater using biomass. Bioresour. Technol. 2012, 105, 31–39. [Google Scholar] [CrossRef] [PubMed]
- De Carvalho, P.H.V.; De Jesus, A.M.D.; Prata, V.M.; Bezerra, D.S.S.; Romão, L.P.C.; Navickiene, S. Tropical peat as a versatile material for solid-phase extraction of pesticides from medicinal plant Cordia salicifolia. J. Braz. Chem. Soc. 2010, 21, 659–664. [Google Scholar] [CrossRef]
- Batista, A.P.D.S.; Romão, L.P.C.; Arguelho, M.; Garcia, C.A.B.; Alves, J.; Passos, E.; Rosa, A.H. Biosorption of Cr(III) using in natura and chemically treated tropical peats. J. Hazard. Mater. 2009, 163, 517–523. [Google Scholar] [CrossRef]
- Mohan, D.; Pittman, C.U., Jr. Activated carbons and low cost adsorbents for remediation of tri- and hexavalent chromium from water. J. Hazard. Mater. 2006, 137, 762–811. [Google Scholar] [CrossRef]
- Korkeiche. Available online: https://www.biologie-seite.de/Biologie/Korkeiche#cite_ref-Sch.C3.BCtt500_1-0 (accessed on 17 September 2020).
- Romão, L.P.C.; Lead, J.R.; Rocha, J.C.; De Oliveira, L.C.; Rosa, A.H.; Mendonça, A.G.R.; Ribeiro, A.S. Structure and properties of brazilian peat: Analysis by spectroscopy and microscopy. J. Braz. Chem. Soc. 2007, 18, 714–720. [Google Scholar] [CrossRef][Green Version]
- Bozkurt, S.; Lucisano, M.; Moreno, L.; Neretnieks, I. Peat as a potential analogue for the long-term evolution in landfills. Earth Sci. Rev. 2001, 53, 95–147. [Google Scholar] [CrossRef]
- Gomes, P.B.; Mata, V.G.; Li, P. Production of rose geranium oil using supercritical fluid extraction. J. Supercrit. Fluids 2007, 41, 50–60. [Google Scholar] [CrossRef]
- Farag, M.A. Headspace Analysis of Volatile Compounds in Leaves from the Juglandaceae (Walnut) Family. J. Essent. Oil Res. 2008, 20, 323–327. [Google Scholar] [CrossRef]
- Dool, H.V.D.; Kratz, P.D. A generalization of the retention index system including linear temperature programmed gas—liquid partition chromatography. J. Chromatogr. A 1963, 11, 463–471. [Google Scholar] [CrossRef]
- Adams, R.P. Identification of Essential Oil Components by Gas Chromatography/Mass Spectroscopy, 4th ed.; Allured: Carol Stream, IL, USA, 2007; pp. 1–804. [Google Scholar]
Sample Availability: The samples of porapaq K, peat, linalool, n-hexane, nitrogen, ethyl acetate, hydrocarbons and anhydrous sodium sulfate are available from the authors. |





| N° | Compound Groups | RI # | RI-lit ## | Content (%) ** | ||
|---|---|---|---|---|---|---|
| HD | HSD-T | HSD-P | ||||
| - | Monoterpenes hydrocarbons | - | - | 0.00 | 2.72 | 5.92 |
| 1 | α-pinene | 931 | 932 | 0.00 *a | 0.00 a | 4.14 ± 2.00 b |
| 2 | myrcene | 988 | 988 | 0.00 a | 0.00 a | 0.51 ± 0.02 b |
| 4 | limonene | 1028 | 1024 | 0.00 a | 2.72 ± 1.10 b | 0.00 a |
| 5 | (E)-β-ocimene | 1046 | 1044 | 0.00 a | 0.00 a | 1.27 ± 0.33 b |
| - | Oxygenated monoterpenes | - | - | 65.50 | 66.32 | 38.69 |
| 6 | linalool | 1099 | 1095 | 11.19 ± 1.12 b | 0.00 a | 0.68 ± 0.12 a |
| 7 | (Z)-rose oxide | 1109 | 1106 | 0.38 ± 0.05 b | 0.00 a | 2.47 ± 0.04 c |
| 8 | (E)-rose oxide | 1126 | 1122 | 0.00 a | 0.00 a | 0.71 ± 0.07 b |
| 9 | isomenthone | 1164 | 1158 | 1.27 ± 0.13 b | 0.00 a | 3.59 ± 0.52 c |
| 10 | citronellol | 1226 | 1223 | 27.63 ± 0.48 a | 28.06 ± 5.72 a | 16.88 ± 0.02 a |
| 11 | neral | 1238 | 1235 | 0.66 ± 0.06 b | 0.00 a | 0.00 a |
| 12 | geraniol | 1250 | 1249 | 23.07 ± 1.63 b | 38.26 ± 2.05 c | 13.63 ± 1.35 a |
| 13 | geranial | 1267 | 1264 | 1.30 ± 0.22 c | 0.00 a | 0.73 ± 0.03 b |
| - | Sesquiterpenes hydrocarbons | - | - | 9.70 | 15.25 | 37.95 |
| 16 | α-copaene | 1373 | 1374 | 0.00 a | 0.00 a | 1.36 ± 0.19 b |
| 17 | β-borbonene | 1382 | 1387 | 0.40 ± 0.04 b | 0.00 a | 2.76 ± 0.21 c |
| 18 | (E)-caryophyllene | 1418 | 1417 | 1.70 ± 0.25 b | 0.00 a | 4.76 ± 0.38 c |
| 19 | α-guaiene | 1434 | 1437 | 0.00 a | 0.00 a | 1.44 ± 0.02 b |
| 20 | 6,9-guaiadiene | 1439 | 1442 | 4.98 ± 0.62 a | 9.55 ± 3.54 b | 16.98 ± 0.40 c |
| 21 | cis-muurola-3,5-diene | 1448 | 1448 | 0.00 a | 0.00 a | 0.95 ± 0.01 b |
| 22 | α−humulene | 1454 | 1452 | 0.40 ± 0.06 a | 0.00 a | 0.49 ± 0.43 a |
| 24 | γ-muurolene | 1479 | 1478 | 1.16 ± 0.24 a | 4.32 ± 1.64 b | 6.64 ± 0.32 b |
| 25 | germacrene D | 1484 | 1484 | 0.00 a | 0.00 a | 0.10 ± 0.18 a |
| 26 | bicyclogermacrene | 1493 | 1500 | 0.44 ± 0.08 a | 0.00 a | 2.47 ± 0.32 b |
| 27 | δ-amorphene | 1516 | 1511 | 0.62 ± 0.15 a | 1.38 ± 1.27 a | 0.00a |
| - | Esters | - | - | 18.77 | 13.74 | 15.24 |
| 3 | (3Z)-hexenyl acetate | 1005 | 1004 | 0.00 a | 0.00 a | 1.51 ± 0.20 b |
| 14 | citronellyl formate | 1272 | 1271 | 9.41 ± 0.35 b | 1.92 ± 1.77 a | 6.95 ± 0.75 b |
| 15 | geranyl formate | 1297 | 1298 | 3.92 ± 0.15 b | 0.00 a | 4.99 ± 0.29 c |
| 23 | linalool isovalerate | 1468 | 1466 | 0.96 ± 0.03 b | 0.00 a | 0.00 a |
| 28 | geranyl butanoate | 1554 | 1562 | 2.01 ± 0.12 a | 3.30 ± 3.60 a | 0.63 ± 0.55 a |
| 29 | 2-phenyl ethyl tiglate | 1582 | 1584 | 0.50 ± 0.45 a | 0.00 a | 0.23 ± 0.40 a |
| 30 | (E)- citronellyl tiglate | 1662 | 1666 | 0.00 a | 0.31 ± 0.54 a | 0.00 a |
| 31 | geranyl tiglate | 1694 | 1696 | 1.97 ± 0.11 a | 8.21 ± 2.25 b | 0.93 ± 0.03 a |
| Total | 93.97 | 98.03 | 97.80 | |||
Publisher’s Note: MDPI stays neutral with regard to jurisdictional claims in published maps and institutional affiliations. |
© 2020 by the authors. Licensee MDPI, Basel, Switzerland. This article is an open access article distributed under the terms and conditions of the Creative Commons Attribution (CC BY) license (http://creativecommons.org/licenses/by/4.0/).
Share and Cite
Niculau, E.d.S.; Alves, P.B.; Nogueira, P.C.d.L.; Romão, L.P.C.; Cunha, G.d.C.; Blank, A.F.; Silva, A.d.C. Chemical Profile and Use of the Peat as an Adsorbent for Extraction of Volatile Compounds from Leaves of Geranium (Pelargonium graveolens L’ Herit). Molecules 2020, 25, 4923. https://doi.org/10.3390/molecules25214923
Niculau EdS, Alves PB, Nogueira PCdL, Romão LPC, Cunha GdC, Blank AF, Silva AdC. Chemical Profile and Use of the Peat as an Adsorbent for Extraction of Volatile Compounds from Leaves of Geranium (Pelargonium graveolens L’ Herit). Molecules. 2020; 25(21):4923. https://doi.org/10.3390/molecules25214923
Chicago/Turabian StyleNiculau, Edenilson dos Santos, Péricles Barreto Alves, Paulo Cesar de Lima Nogueira, Luciane Pimenta Cruz Romão, Graziele da Costa Cunha, Arie Fitzgerald Blank, and Anderson de Carvalho Silva. 2020. "Chemical Profile and Use of the Peat as an Adsorbent for Extraction of Volatile Compounds from Leaves of Geranium (Pelargonium graveolens L’ Herit)" Molecules 25, no. 21: 4923. https://doi.org/10.3390/molecules25214923
APA StyleNiculau, E. d. S., Alves, P. B., Nogueira, P. C. d. L., Romão, L. P. C., Cunha, G. d. C., Blank, A. F., & Silva, A. d. C. (2020). Chemical Profile and Use of the Peat as an Adsorbent for Extraction of Volatile Compounds from Leaves of Geranium (Pelargonium graveolens L’ Herit). Molecules, 25(21), 4923. https://doi.org/10.3390/molecules25214923

