4-Oxatricyclo[5.2.1.02,6]dec-8-ene-3,5-dione Derivatives as NMDA Receptor- and VGCC Blockers with Neuroprotective Potential
Abstract
1. Introduction
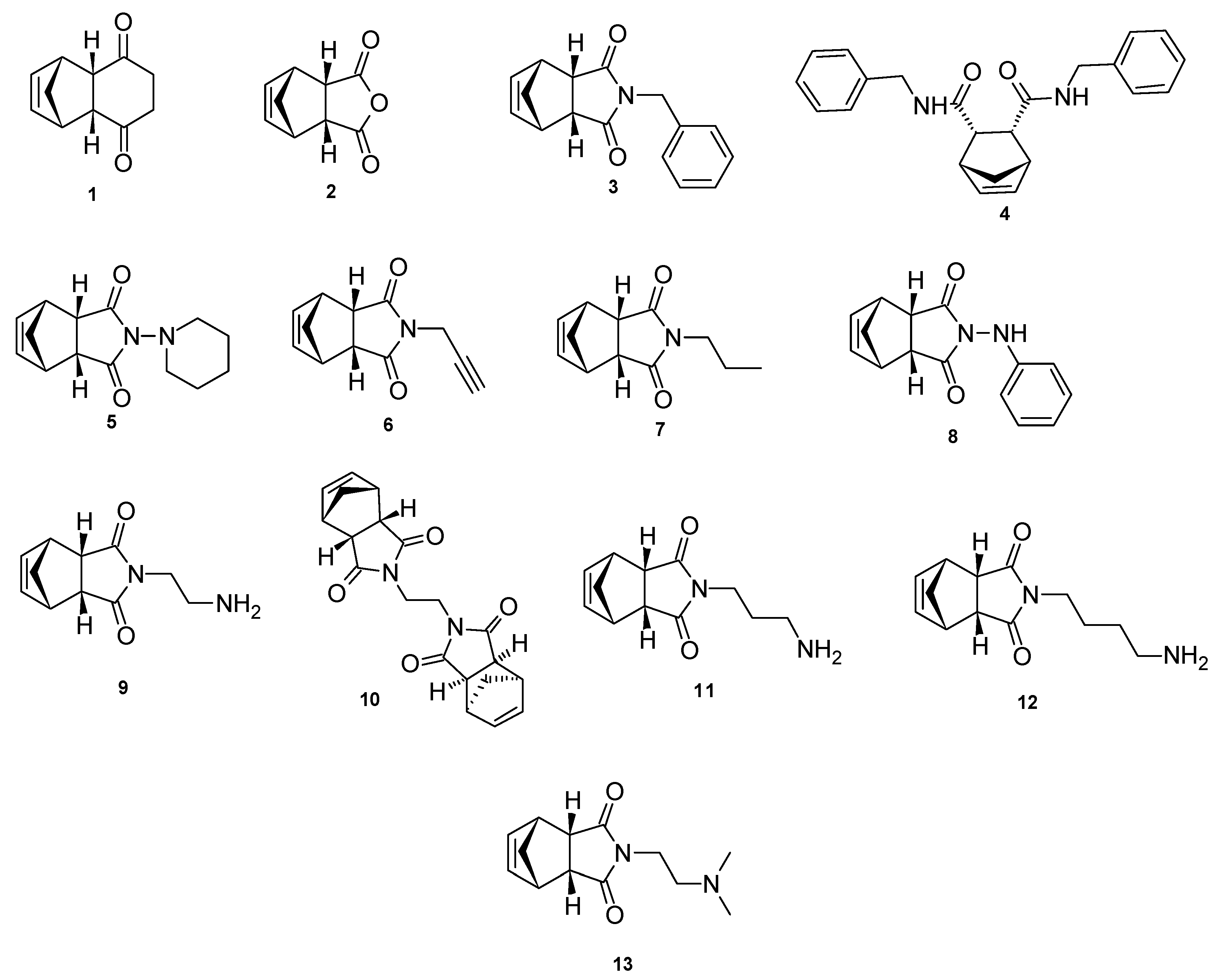
2. Results and Discussion
2.1. Biological Studies
2.1.1. Cytotoxicity Studies
2.1.2. Neuroprotection Studies
2.1.3. NMDA Receptor
NMDA Receptor Mediated Ca2+ Studies
NMDA Receptor Docking Studies
2.1.4. Voltage Gated Ca2+ Studies
2.1.5. In Silico Pharmacokinetic and Drug-Likeness Evaluation
3. Conclusions
4. Material and Method
4.1. Biological Studies
4.1.1. Cell Line and Culture Condition
4.1.2. Cytotoxicity Studies
4.1.3. Neuroprotection Studies
4.1.4. NMDA Receptor Mediated and VGCC Ca2+ Influx Studies
Cell Treatment
Measurement of Intracellular Calcium for NMDA-Mediated Studies
Measurement of Intracellular Calcium for VGCC Studies
Calculation of Percentage Calcium Inhibition in NMDA-Mediated and VGCC Studies
4.1.5. Statistical Analysis
4.2. Molecular Docking Studies
4.3. In Silico Pharmacokinetic and Drug-Likeness Evaluation
Author Contributions
Funding
Acknowledgments
Conflicts of Interest
References
- Mehta, A.; Prabhakar, M.; Kumar, P.; Deshmukh, R.; Sharma, P. Excitotoxicity: Bridge to various triggers in neurodegenerative disorders. Eur. J. Pharmacol. 2013, 698, 6–18. [Google Scholar] [CrossRef] [PubMed]
- Bano, D.; Ankarcrona, M. Beyond the critical point: An overview of excitotoxicity, calcium overload and the downstream consequences. Neurosci. Lett. 2018, 663, 79–85. [Google Scholar] [CrossRef] [PubMed]
- Zhao, H.; Sun, P.; Fan, T.; Yang, X.; Zheng, T.; Sun, C. The effect of glutamate-induced excitotoxicity on DNA methylation in astrocytes in a new in vitro neuron-astrocyte-endothelium co-culture system. Biochem. Biophys. Res. Commun. 2019, 508, 1209–1214. [Google Scholar] [CrossRef] [PubMed]
- Jing, G.; Grammatipoulos, T.; Ferguson, P.; Schelman, W.; Weyhenmeyer, J. Inhibitory effects of angiotensin on NMDA-induced cytotoxicity in primary neuronal cultures. Brain Res. Bull. 2004, 62, 397–403. [Google Scholar] [CrossRef] [PubMed]
- Breyer, A.; Elstner, M.; Gillessen, T.; Weiser, D.; Elstner, E. Glutamate-induced cell death in neuronal HT22 cells is attenuated by extracts from St. John’s wort (Hypericum perforatum L.). Phytomedicine 2007, 14, 250–255. [Google Scholar] [CrossRef]
- Arundine, M.; Tymianski, M. Molecular mechanism of calcium-dependent neurodegeneration in excitotoxicity. Cell Calcium 2003, 34, 325–337. [Google Scholar] [CrossRef]
- Lai, T.; Zhang, S.; Wang, Y. Excitotoxicity and stroke: Identifying novel targets for neuroprotection. Prog. Neurobiol. 2014, 115, 157–188. [Google Scholar] [CrossRef]
- Lin, G.; Sun, Y.; Long, J.; Sui, X.; Yang, J.; Wang, Q.; Wang, S.; He, H.; Luo, Y.; Qiu, Z.; et al. Involvement of the NrF2-Keap1 signalling pathway in protection against thallium-induced oxidative stress and mitochondrial dysfunction in primary hippocampal neurons. Toxicol. Lett. 2020, 319, 66–73. [Google Scholar] [CrossRef]
- Zadori, D.; Klivenyi, P.; Szalardy, L.; Fulop, F.; Toldi, J.; Vecsei, L. Mitochondrial disturbances, excitotoxicity, neuroinflammation and kynurenines: Novel therapeutic strategies for neurodegenerative disorders. J. Neurol. Sci. 2012, 322, 187–191. [Google Scholar] [CrossRef]
- Barygin, O.; Gmiro, V.; Kim, K.; Magazanik, L.; Tikhonov, D. Blockade of NMDA receptor channels by 9-aminoacridine and its derivatives. Neurosci. Lett. 2009, 451, 29–33. [Google Scholar] [CrossRef]
- Zambrano, P.; Suwalsky, M.; Jemiola-Rzeminska, M.; Strzalka, K. Studies on the interaction of NMDA receptor antagonist memantine with cell membranes: A mini-review. Chem. Biol. Interact. 2018, 283, 47–50. [Google Scholar] [CrossRef] [PubMed]
- Smidkova, M.; Hajek, M.; Adla, S.; Slavikova, B.; Chodounska, H.; Matousova, M.; Mertlikova-Kaiserova, H.; Kudova, E. Screening of novel 3α5β-neurosteroids for neuroprotective activity against glutamate- or NMDA induced excitotoxicity. J. Steroid. Biochem. Mol. Biol. 2019, 189, 195–203. [Google Scholar] [CrossRef] [PubMed]
- Temme, L.; Bechthold, E.; Schreiber, J.; Gawaskar, S.; Schepmann, D.; Robaa, D.; Sippl, W.; Seebohm, G.; Wunsch, B. Negative allosteric modulators of the GluN2N NMDA receptor with phenylethlyamine structure embedded in ring-expanded and ring contracted scaffolds. Eur. J. Med. Chem. 2020, 190, 112138. [Google Scholar] [CrossRef]
- Duque, M.; Camps, P.; Profire, L.; Montainer, S.; Vazquez, S.; Sureda, F.; Mallol, J.; Lopez-Querol, M.; Naesens, L.; De Clercq, E.; et al. Synthesis and pharmacological evaluation of 2-oxaadamant-1-yl) amines. Bioorg. Med. Chem. 2009, 17, 3198–3206. [Google Scholar] [CrossRef]
- Geldenhuys, W.; Malan, S.; Murugesan, T.; Van der Schyf, C.; Bloomquist, J. Synthesis and biological evaluation of pentacyclo[5.4.0.02.6.05.9]undecane derivatives as potential therapeutic agents in Parkinson’s disease. Bioorg. Med. Chem. 2004, 12, 1799–1806. [Google Scholar] [CrossRef]
- Mdzinarishvili, A.; Geldenhuys, W.; Abbruscato, T.; Bickel, U.; Klein, J.; Van der Schyf, C. NGP1-01, a lipophilic polycyclic cage amine, is neuroprotective in focal ischemia. Neurosci. Lett. 2005, 383, 49–53. [Google Scholar] [CrossRef] [PubMed]
- Hao, J.; Mdzinarishvili, A.; Abbruscato, T.; Klein, J.; Geldenhuys, W.; Van der Schyf, C.; Bickel, U. Neuroprotection in mice by NGP1-01 after transient focal brain ischemia. Brain Res. 2008, 1196, 113–120. [Google Scholar] [CrossRef]
- Lockman, J.; Geldenhuys, W.; Jones-Higgins, M.; Patrick, J.; Allen, D.; Van der Schyf, C. NGP1-01, a multi-targeted polycyclic cage amine, attenuates brain endothelial cell death in iron overload conditions. Brain Res. 2012, 1489, 133–139. [Google Scholar] [CrossRef]
- Grobler, E.; Grobler, A.; Van der Schyf, C.; Malan, S. Effect of polycyclic cage amines on the transmembrane potential of neuronal cells. Bioorg. Med. Chem. 2006, 14, 1176–1181. [Google Scholar] [CrossRef]
- Van der Schyf, C.; Geldenhuys, W. Polycylic compounds: Ideal drug scaffolds for the design of multiple mechanism drugs? Neurotherapeutic 2009, 6, 175–186. [Google Scholar] [CrossRef]
- Geldenhuys, W.; Terre’Blanche, G.; Van der Schyf, C.; Malan, S. Screening of novel pentacyclo-undecylamines for neuroprotective activity. Eur. J. Pharmacol. 2003, 458, 73–79. [Google Scholar] [CrossRef]
- Youdim, M.; Geldenhuys, W.; Van der Schyf, C. Why should we use multifunctional neuroprotective and neurorestorative drugs for Parkinson’s disease? Parkinsonism Relat. Disord. 2007, 13, S281–S291. [Google Scholar] [CrossRef]
- Geldenhuys, W.; Bezuidenhout, L.; Dluzen, D. Effect of a novel dopamine uptake inhibitor upon extracellular dopamine from superfused murine striatal tissue. Eur. J. Pharmacol. 2009, 619, 38–43. [Google Scholar] [CrossRef] [PubMed]
- Egunlusi, A.; Malan, S.; Joubert, J. Tricycloundecane derivatives as potential N-methyl-d-aspartate (NMDA) receptor and voltage-gated calcium channel modulators. ChemMedChem 2015, 10, 1259–1266. [Google Scholar] [CrossRef]
- Egunlusi, A.; Malan, S.; Joubert, J. Synthesis of 4-oxatricyclo[5.2.1.02,6]dec-8-ene-3,5-dione derivatives as lead scaffolds for neuroprotective agents. Arkivoc 2020. in Press. [Google Scholar] [CrossRef]
- Peng, Z.; Luchtman, D.; Wang, X.; Zhang, Y.; Song, C. Activation of microglia synergistically enhances neurodegeneration caused by MPP+ in human SH-SY5Y cells. Eur. J. Pharmacol. 2019, 850, 64–74. [Google Scholar] [CrossRef]
- Warnock, A.; Tan, L.; Li, C.; Haack, K.; Narayan, S.; Bennett, M. Amlodipine prevents apoptotic cell death by correction of elevated intracellular calcium in a primary neuronal model of batten disease (CLN3 disease). Biochem. Biophys. Res. Commun. 2013, 436, 645–649. [Google Scholar] [CrossRef]
- Liu, J.; Fan, Y.; Kim, D.; Zhong, T.; Yi, P.; Fan, C.; Wang, A.; Yang, X.; Lee, S.; Ren, X.; et al. Neuroprotective effect of catechins derivatives isolated from Anhua dark tea on NMDA-induced excitotoxicity in SH-SY5Y cells. Fitoterapia 2019, 137, 104240. [Google Scholar] [CrossRef]
- Amo, T.; Oji, Y.; Saiki, S.; Hattori, N. Metabolomic analysis revealed mitochondrial dysfunction and aberrant choline metabolism in MPP+-exposed SH-SY5Y cells. Biochem. Biophys. Res. Commun. 2019, 519, 540–546. [Google Scholar] [CrossRef]
- Wang, X.; Xu, J. Salvianic acid: A protects human neuroblastoma SH-SY5Y cells against MPP+-induced cytotoxicity. Neurosci. Res. 2005, 51, 129–138. [Google Scholar] [CrossRef]
- Cui, W.; Zhang, Z.; Li, W.; Hu, S.; Mak, S.; Zhang, H.; Han, R.; Yuan, S.; Li, S.; Sa, F.; et al. The anti-cancer agent SU4312 unexpectedly protects against MPP+-induced neurotoxicity via selective and direct inhibition of neuronal NOS. Br. J. Pharmacol. 2013, 168, 1201–1214. [Google Scholar] [CrossRef] [PubMed]
- Bolshakov, K.; Kim, K.; Potapjeva, N.; Gmiro, V.; Tikhonov, D.; Usherwood, P.; Mellor, I.; Magazanik, L. Design of antagonists for NMDA and AMPA receptors. Neuropharmacology 2005, 49, 144–155. [Google Scholar] [CrossRef] [PubMed]
- Chemical Computing Group Inc. Molecular Operating Environment; Chemical Computing Group Inc.: Montreal, QC, Canada, 2019; Volume 1. [Google Scholar]
- Wong, E.; Kemp, J.; Priestley, T.; Knight, A.; Woodruff, G.; Iversen, L. The anticonvulsant MK-801 is a potent N-methyl-D-aspartate antagonist. Proc. Natl. Acad. Sci. USA 1986, 83, 7104–7108. [Google Scholar] [CrossRef] [PubMed]
- Roth, B.; Gibbons, S.; Arunotayanun, W.; Huang, X.; Setola, V.; Treble, R.; Iversen, L. The ketamine analogue methoxetamine and 3- and 4-methoxy analogues of phencyclidine are high affinity and selective ligands for the glutamate NMDA receptor. PLoS ONE 2013, 8, e59334. [Google Scholar] [CrossRef] [PubMed]
- Rogawski, M.; Wenk, G. The neuropharmacological basis for the use of memantine in the treatment of Alzheimer’s disease. CNS Drug Rev. 2003, 9, 275–308. [Google Scholar] [CrossRef] [PubMed]
- Kornhuber, J.; Quack, G.; Danysz, W.; Jellinger, K.; Danielczyk, W.; Gsell, W.; Riederer, P. Therapeutic brain concentration of the NMDA receptor antagonist amantadine. Neuropharmacology 1995, 34, 713–721. [Google Scholar] [CrossRef]
- Daina, A.; Michielin, O.; Zoete, V. iLOGP: A simple, robust, and efficient description of n-octanol/water partition coefficient for drug design using the GB/SA approach. J. Chem. Inf. Model 2014, 54, 3284–3301. [Google Scholar] [CrossRef] [PubMed]
- Daina, A.; Michielin, O.; Zoete, V. SwissADME: A free web tool to evaluate pharmacokinetics, drug-likenesss and medicinal chemistry friendliness of small molecules. Sci. Rep. 2017, 7, 42717. [Google Scholar] [CrossRef]
- Sabt, A.; Eldehna, W.; Al-Warhi, T.; Alotaibi, O.; Elaasser, M.; Suliman, H.; Abdel-Aziz, H. Discovery of 3,6-disubstituted pyridazines as a novel class of anticancer agents targeting cyclin-dependent kinase 2: Synthesis, biological evaluation and in silico insights. J. Enzym. Inhib. Med. Chem. 2020, 35, 1616–1630. [Google Scholar] [CrossRef]
- Naz, A.; Iqtadar, R.; Siddiqui, F.; Ul-Haq, Z. Degradation kinetics of fluvoxamine in buffer solutions: In silico ADMET profiling and identification of degradation products by LC-MS/ESI. Arab. J. Chem. 2020, 13, 4134–4146. [Google Scholar] [CrossRef]
- Daina, A.; Zoete, V. A boiled-egg to predict gastrointestinal absorption and brain penetration of small molecules. ChemMedChem 2016, 11, 1117–1121. [Google Scholar] [CrossRef] [PubMed]
- Rezki, N.; Al-Sodies, S.; Messali, M.; Bardaweel, S.; Sahu, P.; Al-blewi, F.; Sahu, P.; Aouad, M. Identification of new pyridinium ionic liquids tagged with Schiff bases: Design, synthesis, in silico ADMET predictions and biological evaluations. J. Mol. Liq. 2018, 264, 367–374. [Google Scholar] [CrossRef]
Sample Availability: Samples of the compounds are not available from the authors. |










| Compound | Cell Viability % | Neuroprotection % a | VGCC % Inhibition | NMDA % Inhibition |
|---|---|---|---|---|
| 10 μM | 10 μM | 10 μM | 10 μM | |
| MK-801 | - | - | Inactive | 47.5 ± 2.3 **** |
| Nimodipine | - | - | 34.1 ± 4.8 **** | Inactive |
| NGP1-01 | 86 ± 7.8 | 65.6 ± 6.9 | 34.2 ± 4.0 **** | 38.1 ± 3.7 **** |
| 1 | 96.6 ± 4.2 | 40.8 ± 5.6 **** | 25.4 ± 2.8 **** | 51.0 ± 3.22 **** |
| 2 | 89.0 ± 2.8 * | 30.9 ± 3.1 **** | 23.1 ± 8.3 **** | 23.5 ± 3.5 **** |
| 3 | 84.4 ± 1.8 *** | 53.6 ± 9.3 **** | 37.2 ± 10.0 **** | 43.3 ± 1.7 **** |
| 4 | 108.3 ± 1.4 | 29.1 ± 3.0 **** | 32.2 ± 10.1 **** | 42.9 ± 2.0 **** |
| 5 | 115.0 ± 4.2 | 32.1 ± 8.2 *** | 29.9 ± 3.6 **** | 43.7 ± 0.5 **** |
| 6 | 103.5 ± 2.1 | 27.5 ± 6.0 *** | 30.2 ± 8.9 **** | 43.8 ± 2.2 **** |
| 7 | 114.3 ± 4.9 | 30.5 ± 0.8 **** | 28.0 ± 6.2 **** | 53.9 ± 2.1 **** |
| 8 | 95.5 ± 4.4 | 35.3 ± 5.7 **** | 26.8 ± 2.4 **** | 45.1 ± 4.3 **** |
| 9 | 95.9 ± 1.4 * | 29.9 ± 6.8 *** | 22.2 ± 4.9 **** | 36.8 ± 3.4 **** |
| 10 | 77.3 ± 3.9 ** | 27.2 ± 8.6 *** | 31.4 ± 5.2 **** | 50.4 ± 2.3 **** |
| 11 | 98.1 ± 3.5 | 35.1 ± 1.1 **** | 37.9 ± 9.3 **** | 50.4 ± 2.3 **** |
| 12 | 92.8 ± 5.0 | 28.8 ± 10.4 ** | 15.4 ± 3.5 **** | 50.4 ± 2.3 **** |
| 13 | 99.9 ± 1.8 | 23.0 ± 3.5 *** | 7.5 ± 4.6 ** | 64.3 ± 1.2 **** |
| Compound | Binding Affinity (kca·mol−1) | Experimental Ki (nM) |
|---|---|---|
| MK-801 | −8.87 | 37.234 |
| Phencyclidine | −8.18 | 5935 |
| Memantine | −6.51 | 54036 |
| R-Ketamine | −6.42 | 65935 |
| Amantadine | −5.25 | 10,00037 |
| Compounds | GIA a | BBB b | P-gp c | Drug-likeness | |||||
|---|---|---|---|---|---|---|---|---|---|
| Lipinski | Ghose | Veber | Egan | Muegge | Bio. Score d | ||||
| Amantadine | High | Yes | No | Yes | No e | Yes | Yes | No f | 0.55 |
| Memantine | High | Yes | No | Yes | Yes | Yes | Yes | No f | 0.55 |
| 1 | High | Yes | No | Yes | Yes | Yes | Yes | No e | 0.55 |
| 2 | High | Yes | No | Yes | Yes | Yes | Yes | No e | 0.55 |
| 3 | High | Yes | No | Yes | Yes | Yes | Yes | Yes | 0.55 |
| 4 | High | Yes | Yes | Yes | Yes | Yes | Yes | Yes | 0.55 |
| 5 | High | Yes | No | Yes | Yes | Yes | Yes | Yes | 0.55 |
| 6 | High | No | No | Yes | Yes | Yes | Yes | Yes | 0.55 |
| 7 | High | Yes | No | Yes | Yes | Yes | Yes | Yes | 0.55 |
| 8 | High | Yes | No | Yes | Yes | Yes | Yes | Yes | 0.55 |
| 9 | High | No | No | Yes | No e | Yes | Yes | Yes | 0.55 |
| 10 | High | No | Yes | Yes | Yes | Yes | Yes | Yes | 0.55 |
| 11 | High | Yes | No | Yes | Yes | Yes | Yes | Yes | 0.55 |
| 12 | High | Yes | No | Yes | Yes | Yes | Yes | Yes | 0.55 |
| 13 | High | Yes | No | Yes | Yes | Yes | Yes | Yes | 0.55 |
© 2020 by the authors. Licensee MDPI, Basel, Switzerland. This article is an open access article distributed under the terms and conditions of the Creative Commons Attribution (CC BY) license (http://creativecommons.org/licenses/by/4.0/).
Share and Cite
Egunlusi, A.O.; Malan, S.F.; Omoruyi, S.I.; Ekpo, O.E.; Joubert, J. 4-Oxatricyclo[5.2.1.02,6]dec-8-ene-3,5-dione Derivatives as NMDA Receptor- and VGCC Blockers with Neuroprotective Potential. Molecules 2020, 25, 4552. https://doi.org/10.3390/molecules25194552
Egunlusi AO, Malan SF, Omoruyi SI, Ekpo OE, Joubert J. 4-Oxatricyclo[5.2.1.02,6]dec-8-ene-3,5-dione Derivatives as NMDA Receptor- and VGCC Blockers with Neuroprotective Potential. Molecules. 2020; 25(19):4552. https://doi.org/10.3390/molecules25194552
Chicago/Turabian StyleEgunlusi, Ayodeji O., Sarel F. Malan, Sylvester I. Omoruyi, Okobi E. Ekpo, and Jacques Joubert. 2020. "4-Oxatricyclo[5.2.1.02,6]dec-8-ene-3,5-dione Derivatives as NMDA Receptor- and VGCC Blockers with Neuroprotective Potential" Molecules 25, no. 19: 4552. https://doi.org/10.3390/molecules25194552
APA StyleEgunlusi, A. O., Malan, S. F., Omoruyi, S. I., Ekpo, O. E., & Joubert, J. (2020). 4-Oxatricyclo[5.2.1.02,6]dec-8-ene-3,5-dione Derivatives as NMDA Receptor- and VGCC Blockers with Neuroprotective Potential. Molecules, 25(19), 4552. https://doi.org/10.3390/molecules25194552

