Pressure Induced Spin Crossover and Magnetic Properties of Multiferroic Ba3NbFe3Si2O14
Abstract
1. Introduction
2. Results and Analysis
2.1. X-Ray Diffraction
2.2. Raman Spectroscopy
2.3. High-Pressure Low-Temperature Mössbauer Spectroscopy
2.3.1. Magnetic Properties of BNFS at Pressures in the Range 0–40 GPa
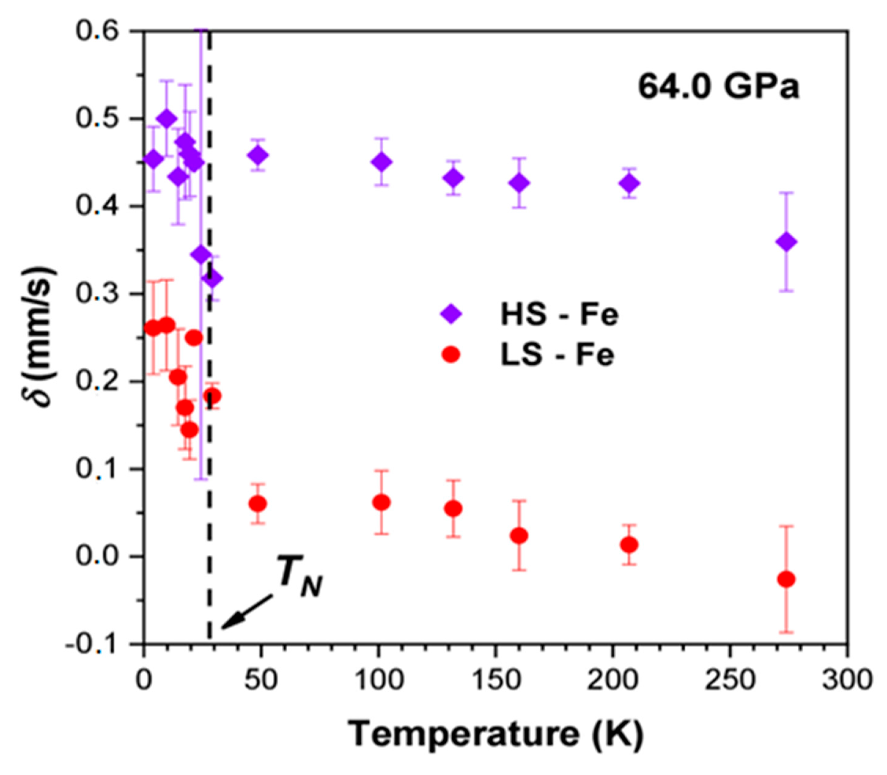
2.3.2. Spin Crossover and Magnetic Properties of BNFS at Pressures above 45 GPa
3. Discussion
4. Materials and Methods
5. Conclusions
Author Contributions
Funding
Acknowledgments
Conflicts of Interest
References
- Mill’, B.V.; Belokoneva, E.L.; Fukuda, T. New compounds with a Ca3Ga2Ge2O14-type structure: A(3)XY(3)Z(2)O(14) (A = Ca, Sr, Ba, Pb; X = Sb, Nb, Ta; Y = Ga, Al, Fe, In; Z = Si, Ge). Russ. J. Inorg. Chem. 1998, 43, 1168–1175. [Google Scholar]
- Mill, B.V.; Pisarevsky, Y.V. Langasite-type materials: From discovery to present state. In Proceedings of the 2000 IEEE/EIA International Frequency Control Symposium and Exhibition (Cat. No.00CH37052), Kansas City, MO, USA, 9 June 2000; pp. 133–144. [Google Scholar]
- Lyubutin, I.S.; Naumov, P.G.; Mill’, B.V.; Frolov, K.V.; Demikhov, E.I. Structural and magnetic properties of the iron-containing langasite family A3MFe3X2O14 (A = Ba, Sr; M = Sb, Nb, Ta; X = Si, Ge) observed by Mössbauer spectroscopy. Phys. Rev. B-Condens. Matter Mater. Phys. 2011, 84, 214425. [Google Scholar] [CrossRef]
- Marty, K.; Bordet, P.; Simonet, V.; Loire, M.; Ballou, R.; Darie, C.; Kljun, J.; Bonville, P.; Isnard, O.; Lejay, P.; et al. Magnetic and dielectric properties in the langasite-type compounds: A3BFe3D2O14 (A = Ba, Sr, Ca; B = Ta, Nb, Sb; D = Ge, Si ). Phys. Rev. B-Condens. Matter Mater. Phys. 2010, 81, 54416. [Google Scholar] [CrossRef]
- Pikin, S.A.; Lyubutin, I.S. Phenomenological model of multiferroic properties in langasite-type crystals with a triangular magnetic lattice. Phys. Rev. B-Condens. Matter Mater. Phys. 2012, 86, 64414. [Google Scholar] [CrossRef]
- Lyubutin, I.S.; Pikin, S.A. Coexistence of spiral magnetic state and weak ferromagnetism in a multiferroic, cross-controlled by external magnetic and electric fields. J. Phys. Condens. Matter 2013, 25, 236001. [Google Scholar] [CrossRef] [PubMed]
- Zhou, H.D.; Lumata, L.L.; Kuhns, P.L.; Reyes, A.P.; Choi, E.S.; Dalal, N.S.; Lu, J.; Jo, Y.J.; Balicas, L.; Brooks, J.S.; et al. Ba3NbFe3Si2O14: A new multiferroic with a 2D triangular Fe3+ motif. Chem. Mater. 2009, 21, 156–159. [Google Scholar] [CrossRef]
- Robert, J.; Simonet, V.; Canals, B.; Ballou, R.; Bordet, P.; Lejay, P.; Stunault, A. Spin-liquid correlations in the Nd-langasite anisotropic kagomé antiferromagnet. Phys. Rev. Lett. 2006, 96, 197205. [Google Scholar] [CrossRef]
- Lyubutin, I.S.; Naumov, P.G.; Mill’, B.V. Magnetic transition and spin rotation in a new multiferroic Ba3TaFe3Si2O14 observed by the Mössbauer spectroscopy. EPL (Europhys. Lett.) 2010, 90, 67005. [Google Scholar] [CrossRef]
- Dudka, A.P.; Balbashov, A.M.; Lyubutin, I.S. Growth and X-ray Diffraction Study and Specific Features of Thermal Expansion of Ba3NbFe3Si2O14 Single Crystal from the Langasite Family. Cryst. Growth Des. 2016, 16, 4943–4949. [Google Scholar] [CrossRef]
- Marty, K.; Simonet, V.; Bordet, P.; Ballou, R.; Lejay, P.; Isnard, O.; Ressouche, E.; Bourdarot, F.; Bonville, P. Magnetic characterization of the non centrosymmetric Ba3NbFe3Si2O14 langasite. J. Magn. Magn. Mater. 2009, 321, 1778–1781. [Google Scholar] [CrossRef]
- Lyubutin, I.S.; Chuev, M.A.; Starchikov, S.S.; Funtov, K.O. Helical spin ordering in the multiferroic Ba3NbFe3Si2O14 of the langasite family probed by Mössbauer spectroscopy. Phys. Rev. B 2018, 98, 134434. [Google Scholar] [CrossRef]
- Pikin, S.A.; Lyubutin, I.S.; Dudka, A.P. Crystalline and spin chiralities in multiferroics with langasite-type structure and Fe1–xCoxSi crystals. Crystallogr. Rep. 2015, 60, 729–736. [Google Scholar] [CrossRef]
- Pikin, S.A.; Lyubutin, I.S. Increase in the electric polarization in a multiferroic induced by the flexoelectric effect. JETP Lett. 2012, 96, 240–244. [Google Scholar] [CrossRef]
- Aoyama, T.; Miyake, A.; Kagayama, T.; Shimizu, K.; Kimura, T. Pressure effects on the magnetoelectric properties of a multiferroic triangular-lattice antiferromagnet CuCrO2. Phys. Rev. B-Condens. Matter Mater. Phys. 2013, 87, 94401. [Google Scholar] [CrossRef]
- Pikin, S.A. On the ferroelectric polarization of multiferroic-semiconductor CuCrO2 at various external pressures. JETP Lett. 2014, 99, 391–395. [Google Scholar] [CrossRef]
- Gavriliuk, A.G.; Lyubutin, I.S.; Starchikov, S.S.; Mironovich, A.A.; Ovchinnikov, S.G.; Trojan, I.A.; Xiao, Y.; Chow, P.; Sinogeikin, S.V.; Struzhkin, V.V. The magnetic P-T phase diagram of langasite Ba3TaFe 3Si2O14 at high hydrostatic pressures up to 38 GPa. Appl. Phys. Lett. 2013, 103, 162402. [Google Scholar] [CrossRef]
- Lyubutin, I.S.; Gavriliuk, A.G. Research on phase transformations in 3d-metal oxides at high and ultrahigh pressure: State of the art. Physics-Uspekhi 2009, 52, 989–1017. [Google Scholar] [CrossRef]
- Lyubutin, I.S.; Starchikov, S.S.; Gavriliuk, A.G.; Troyan, I.A.; Nikiforova, Y.A.; Ivanova, A.G.; Chumakov, A.I.; Rüffer, R. High pressure magnetic, structural, and electronic transitions in multiferroic Ba3NbFe3Si2O14. Appl. Phys. Lett. 2018, 112, 242405. [Google Scholar] [CrossRef]
- Ivanova, A.G.; Troyan, I.A.; Starchikov, S.S.; Gavriliuk, A.G.; Balbashov, A.M.; Lyubutin, I.S. Crystal structures of new high-pressure modifications of Ba3NbFe3Si2O14. In Proceedings of the 56th European High Pressure Research Group Meeting, Aveiro, Portugal, 2–7 September2018; pp. 114–115. [Google Scholar]
- Nikiforova, Y.A.; Gavriliuk, A.G.; Lyubutin, I.S.; Ivanova, A.G.; Troyan, I.A.; Starchikov, S.S.; Aksenov, S.N.; Struzhkin, V.V.; Sul’yanov, S.N.; Glazyrin, K.V. Structural transitions in iron-based Ba3NbFe3Si2O14 langasite at high pressures. EPL (Europhysics Lett.) 2016, 116, 66003. [Google Scholar] [CrossRef]
- Tanabe, Y.; Sugano, S. On the Absorption Spectra of Complex Ions. J. Phys. Soc. Japan 1954, 9, 753–766. [Google Scholar] [CrossRef]
- Lyubutin, I.S.; Gavriliuk, A.G.; Trojan, I.A.; Sadykov, R.A. Magnetic collapse in yttrium iron garnet Y3Fe5O12 at high pressure. J. Exp. Theor. Phys. Lett. 2005, 82, 702–707. [Google Scholar] [CrossRef]
- Mao, H.K.; Xu, J.; Bell, P.M. Calibration of the ruby pressure gauge to 800 kbar under quasi-hydrostatic conditions. J. Geophys. Res. 1986, 91, 4673. [Google Scholar] [CrossRef]
- Liermann, H.P.; Morgenroth, W.; Ehnes, A.; Berghäuser, A.; Winkler, B.; Franz, H.; Weckert, E. The extreme conditions beamline at PETRA III, DESY: Possibilities to conduct time resolved monochromatic diffraction experiments in dynamic and laser heated DAC. J. Phys. Conf. Ser. 2010, 215, 012029. [Google Scholar] [CrossRef]
- Le Bail, A. Whole powder pattern decomposition methods and applications: A retrospection. Powder Diffr. 2005, 20, 316–326. [Google Scholar] [CrossRef]
- Petrícek, V.; Dušek, M.; Palatinus, L. Crystallographic computing system JANA2006: General features. Z. Krist. 2014, 229, 345–352. [Google Scholar] [CrossRef]
- Potapkin, V.; Chumakov, A.I.; Smirnov, G.V.; Celse, J.P.; Rüffer, R.; McCammon, C.; Dubrovinsky, L. The 57 Fe Synchrotron Mössbauer Source at the ESRF. J. Synchrotron Radiat. 2012, 19, 559–569. [Google Scholar] [CrossRef]
- Rüffer, R.; Chumakov, A.I. Nuclear Resonance Beamline at ESRF. Hyperfine Interact. 1996, 97–98, 589–604. [Google Scholar] [CrossRef]
- Prescher, C.; McCammon, C.; Dubrovinsky, L. MossA: A program for analyzing energy-domain Mössbauer spectra from conventional and synchrotron sources. J. Appl. Crystallogr. 2012, 45, 329–331. [Google Scholar] [CrossRef]
Sample Availability: Not available. |














© 2020 by the authors. Licensee MDPI, Basel, Switzerland. This article is an open access article distributed under the terms and conditions of the Creative Commons Attribution (CC BY) license (http://creativecommons.org/licenses/by/4.0/).
Share and Cite
Lyubutin, I.; Starchikov, S.; Troyan, I.; Nikiforova, Y.; Lyubutina, M.; Gavriliuk, A. Pressure Induced Spin Crossover and Magnetic Properties of Multiferroic Ba3NbFe3Si2O14. Molecules 2020, 25, 3808. https://doi.org/10.3390/molecules25173808
Lyubutin I, Starchikov S, Troyan I, Nikiforova Y, Lyubutina M, Gavriliuk A. Pressure Induced Spin Crossover and Magnetic Properties of Multiferroic Ba3NbFe3Si2O14. Molecules. 2020; 25(17):3808. https://doi.org/10.3390/molecules25173808
Chicago/Turabian StyleLyubutin, Igor, Sergey Starchikov, Ivan Troyan, Yulia Nikiforova, Marianna Lyubutina, and Alexander Gavriliuk. 2020. "Pressure Induced Spin Crossover and Magnetic Properties of Multiferroic Ba3NbFe3Si2O14" Molecules 25, no. 17: 3808. https://doi.org/10.3390/molecules25173808
APA StyleLyubutin, I., Starchikov, S., Troyan, I., Nikiforova, Y., Lyubutina, M., & Gavriliuk, A. (2020). Pressure Induced Spin Crossover and Magnetic Properties of Multiferroic Ba3NbFe3Si2O14. Molecules, 25(17), 3808. https://doi.org/10.3390/molecules25173808
