Photoinduced Polymerization of Eugenol-Derived Methacrylates
Abstract
1. Introduction
2. Results and Discussion
2.1. Kinetic Monitoring of Photoinduced Polymerization of Eugenol-Derived Methacrylates
2.1.1. Photopolymerization Without Photoinitiator
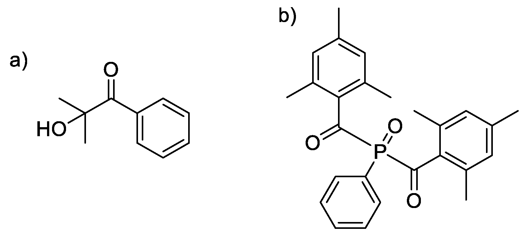
2.1.2. Photopolymerization with Photoinitiator
2.2. Polymers Characterization
3. Materials and Methods
3.1. Materials
3.2. Photoinduced Polymerization of Eugenol Derived Methacrylates
3.2.1. Samples Preparation
3.2.2. Kinetics Monitoring
3.2.3. Conversion Determination
3.3. Characterization Methods
4. Conclusions
Supplementary Materials
Author Contributions
Funding
Acknowledgments
Conflicts of Interest
References
- Gandini, A.; Lacerda, T.M.; Carvalho, A.J.F.; Trovatti, E. Progress of polymers from renewable resources: Furans, vegetable oils, and polysaccharides. Chem. Rev. 2015, 116, 1637–1669. [Google Scholar] [CrossRef] [PubMed]
- Fouassier, J.; Allonas, X.; Burget, D. Photopolymerization reactions under visible lights: Principle, mechanisms and examples of applications. Prog. Org. Coat. 2003, 47, 16–36. [Google Scholar] [CrossRef]
- Crivello, J.V.; Reichmanis, E. Photopolymer materials and processes for advanced technologies. Chem. Mater. 2013, 26, 533–548. [Google Scholar] [CrossRef]
- Childs, A.; Li, H.; Lewittes, D.M.; Dong, B.; Liu, W.; Shu, X.; Sun, C.; Zhang, H.F. Fabricating customized hydrogel contact lens. Sci. Rep. 2016, 6, 34905. [Google Scholar] [CrossRef] [PubMed]
- Stansbuty, J.W. Curing dental resins and composites by photopolymerization. J. Esthet. Restor. Dent. 2000, 12, 300–308. [Google Scholar] [CrossRef] [PubMed]
- Lloret, T.; Navarro-Fuster, V.; Ramírez, M.G.; Ortuño, M.; Neipp, C.; Beléndez, A.; Pascual, I. Holographic lenses in an environment-friendly photopolymer. Polymers 2018, 10, 302. [Google Scholar] [CrossRef]
- Corrigan, N.A.; Yeow, J.; Judzewitsch, P.; Xu, J.; Boyer, C. Seeing the light: Advancing materials chemistry through photopolymerization. Angew. Chem. Int. Ed. 2019, 58, 5170–5189. [Google Scholar] [CrossRef]
- Vitale, A.; Hennessy, M.G.; Matar, O.K.; Cabral, J.T. A unified approach for patterning via frontal photopolymerization. Adv. Mater. 2015, 27, 6118–6124. [Google Scholar] [CrossRef]
- Ligon, S.C.; Liska, R.; Stampfl, J.; Gurr, M.; Mülhaupt, R. Polymers for 3D printing and customized additive manufacturing. Chem. Rev. 2017, 117, 10212–10290. [Google Scholar] [CrossRef]
- Zhang, J.; Xiao, P. 3D printing of photopolymers. Polym. Chem. 2018, 9, 1530–1540. [Google Scholar] [CrossRef]
- Fertier, L.; Koleilat, H.; Stemmelen, M.; Giani, O.; Joly-Duhamel, C.; Lapinte, V.; Robin, J.-J. The use of renewable feedstock in UV-curable materials—A new age for polymers and green chemistry. Prog. Polym. Sci. 2013, 38, 932–962. [Google Scholar] [CrossRef]
- Goldberg, M.Z.; Burke, L.A.; Samokhvalov, A. Selective activation of C=C bond in sustainable phenolic compounds from ligninvia photooxidation: Experiment and density functional theory calculations. Photochem. Photobiol. 2015, 91, 1332–1339. [Google Scholar] [CrossRef]
- Khalil, A.A.; Rahman, U.U.; Khan, M.R.; Sahar, A.; Mehmood, T.; Khan, M. Essential oil eugenol: Sources, extraction techniques and nutraceutical perspectives. RSC Adv. 2017, 7, 32669–32681. [Google Scholar] [CrossRef]
- Sakai, K.; Takeuti, H.; Mun, S.-P.; Imamura, H. Formation of isoeugenol and eugenol during the cleavage of β-aryl ethers in lignin by alcohol-bisulfite treatment. J. Wood Chem. Technol. 1988, 8, 29–41. [Google Scholar] [CrossRef]
- Llevot, A.; Grau, E.; Carlotti, S.; Grelier, S.; Cramail, H. From lignin-derived aromatic compounds to novel biobased polymers. Macromol. Rapid Commun. 2015, 37, 9–28. [Google Scholar] [CrossRef]
- Kong, X.; Liu, X.; Li, J.; Yang, Y. Advances in pharmacological research of eugenol. Curr. Opin. Complement. Altern. Med. 2014, 1, 8–11. [Google Scholar]
- Da Silva, F.F.M.; Monte, F.J.; Lemos, T.L.G.; Nascimento, P.G.G.D.; Costa, A.K.D.M.; De Paiva, L.M.M. Eugenol derivatives: Synthesis, characterization, and evaluation of antibacterial and antioxidant activities. Chem. Central J. 2018, 12, 34. [Google Scholar] [CrossRef]
- Modjinou, T.; Versace, D.-L.; Abbad-Andallousi, S.; Bousserrhine, N.; Dubot, P.; Langlois, V.; Renard, E. Antibacterial and antioxidant bio-based networks derived from eugenol using photo-activated thiol-ene reaction. React. Funct. Polym. 2016, 101, 47–53. [Google Scholar] [CrossRef]
- Munerato, M.C.; Sinigaglia, M.; Reguly, M.L.; De Andrade, H.H.R. Genotoxic effects of eugenol, isoeugenol and safrole in the wing spot test of Drosophila melanogaster. Mutat. Res. Toxicol. Environ. Mutagen. 2005, 582, 87–94. [Google Scholar] [CrossRef]
- Lartigue-Peyrou, F. The use of phenolic compounds as free-radical polymerization inhibitors. In The Roots of Organic Development; Elsevier BV: Amsterdam, The Netherlands, 1996; Volume 8, pp. 489–505. [Google Scholar]
- Fujisawa, S.; Kadoma, Y. Action of eugenol as a retarder against polymerization of methyl methacrylate by benzoyl peroxide. Biomaterials 1997, 18, 701–703. [Google Scholar] [CrossRef]
- Guzmán, D.; Ramis, X.; Fernández-Francos, X.; De La Flor, S.; Serra, A. New bio-based materials obtained by thiol-ene/thiol-epoxy dual curing click procedures from eugenol derivates. Eur. Polym. J. 2017, 93, 530–544. [Google Scholar] [CrossRef]
- Guzmán, D.; Ramis, X.; Fernández-Francos, X.; De La Flor, S.; Serra, A. Preparation of new biobased coatings from a triglycidyl eugenol derivative through thiol-epoxy click reaction. Prog. Org. Coat. 2018, 114, 259–267. [Google Scholar] [CrossRef]
- Modjinou, T.; Versace, D.-L.; Abbad-Andaloussi, S.; Langlois, V.; Renard, E. Enhancement of biological properties of photoinduced biobased networks by post-functionalization with antibacterial molecule. ACS Sustain. Chem. Eng. 2018, 7, 2500–2507. [Google Scholar] [CrossRef]
- Dai, J.; Jiang, Y.; Liu, X.; Wang, J.; Zhu, J. Synthesis of eugenol-based multifunctional monomers via a thiol–ene reaction and preparation of UV curable resins together with soybean oil derivatives. RSC Adv. 2016, 6, 17857–17866. [Google Scholar] [CrossRef]
- Yoshimura, T.; Shimasaki, T.; Teramoto, N.; Shibata, M. Bio-based polymer networks by thiol–ene photopolymerizations of allyl-etherified eugenol derivatives. Eur. Polym. J. 2015, 67, 397–408. [Google Scholar] [CrossRef]
- Miao, J.-T.; Yuan, L.; Guan, Q.; Liang, G.; Gu, A. Water-phase synthesis of a biobased allyl compound for building uv-curable flexible thiol–ene polymer networks with high mechanical strength and transparency. ACS Sustain. Chem. Eng. 2018, 6, 7902–7909. [Google Scholar] [CrossRef]
- Breloy, L.; Ouarabi, C.A.; Brosseau, A.; Dubot, P.; Brezova, V.; Abbad-Andaloussi, S.; Malval, J.-P.; Versace, D.-L. β-Carotene/limonene derivatives/eugenol: Green synthesis of antibacterial coatings under visible-light exposure. ACS Sustain. Chem. Eng. 2019, 7, 19591–19604. [Google Scholar] [CrossRef]
- Molina-Gutiérrez, S.; Manseri, A.; Ladmiral, V.; Bongiovanni, R.; Caillol, S.; Lacroix-Desmazes, P. Eugenol: A promising building block for synthesis of radically polymerizable monomers. Macromol. Chem. Phys. 2019, 220. [Google Scholar] [CrossRef]
- Molina-Gutiérrez, S.; Ladmiral, V.; Bongiovanni, R.M.; Caillol, S.; Lacroix-Desmazes, P. Emulsion polymerization of dihydroeugenol-, eugenol-, and isoeugenol-derived methacrylates. Ind. Eng. Chem. Res. 2019, 58, 21155–21164. [Google Scholar] [CrossRef]
- Lalevée, J.; Fouassier, J.P.; Graff, B.; Zhang, J.; Xiao, P. Chapter 6. How to Design Novel Photoinitiators for Blue Light; The Royal Society of Chemistry (RSC): London, UK, 2018; Volume 48, pp. 179–199. [Google Scholar]
- Detrembleur, C.; Versace, D.-L.; Piette, Y.; Hurtgen, M.; Jérôme, C.; Lalevée, J.; Debuigne, A. Synthetic and mechanistic inputs of photochemistry into the bis-acetylacetonatocobalt-mediated radical polymerization of n-butyl acrylate and vinyl acetate. Polym. Chem. 2012, 3, 1856–1866. [Google Scholar] [CrossRef]
- Ligon, S.C.; Husár, B.; Wutzel, H.; Holman, R.; Liska, R. Strategies to reduce oxygen inhibition in photoinduced polymerization. Chem. Rev. 2013, 114, 557–589. [Google Scholar] [CrossRef]
- Hamamatsu Spotlight Sources Lightningcure Series, March 2019. Available online: https://www.hamamatsu.com/resources/pdf/etd/LC8_TLSZ1008E.pdf (accessed on 19 May 2020).
- Nyquist, R.A.; Fiedler, S.; Streck, R. Infrared study of vinyl acetate, methyl acrylate and methyl methacrylate in various solvents. Vib. Spectrosc. 1994, 6, 285–291. [Google Scholar] [CrossRef]
- Chowdhry, B.Z.; Ryall, J.P.; Dines, T.J.; Mendham, A.P. Infrared and raman spectroscopy of eugenol, isoeugenol, and methyl eugenol: Conformational analysis and vibrational assignments from density functional theory calculations of the anharmonic fundamentals. J. Phys. Chem. A 2015, 119, 11280–11292. [Google Scholar] [CrossRef] [PubMed]
- Wang, H.; Brown, H. Self-initiated photopolymerization and photografting of acrylic monomers. Macromol. Rapid Commun. 2004, 25, 1095–1099. [Google Scholar] [CrossRef]
- Huang, L.; Li, Y.; Yang, J.; Zeng, Z.; Chen, Y. Self-initiated photopolymerization of hyperbranched acrylates. Polymer 2009, 50, 4325–4333. [Google Scholar] [CrossRef]
- Hoijemberg, P.A.; Chemtob, A.; Croutxé-Barghorn, C. Two routes towards photoinitiator-free photopolymerization in miniemulsion: Acrylate self-initiation and photoactive surfactant. Macromol. Chem. Phys. 2011, 212, 2417–2422. [Google Scholar] [CrossRef]
- Furutani, M.; Ide, T.; Kinoshita, S.; Horiguchi, R.; Mori, I.; Sakai, K.; Arimitsu, K. Initiator-free photopolymerization of common acrylate monomers with 254 nm light. Polym. Int. 2018, 68, 79–82. [Google Scholar] [CrossRef]
- Rojo, L.; Vazquez-Lasa, B.; Parra, J.; Bravo, A.L.; Deb, S.; Roman, J.S. From natural products to polymeric derivatives of “eugenol”: A new approach for preparation of dental composites and orthopedic bone cements. Biomacromolecules 2006, 7, 2751–2761. [Google Scholar] [CrossRef]
- Zhang, Y.; Li, Y.; Wang, L.; Gao, Z.; Kessler, M.R. Synthesis and characterization of methacrylated eugenol as a sustainable reactive diluent for a maleinated acrylated epoxidized soybean oil resin. ACS Sustain. Chem. Eng. 2017, 5, 8876–8883. [Google Scholar] [CrossRef]
- Gazzotti, S.; Hakkarainen, M.; Adolfsson, K.H.; Ortenzi, M.A.; Farina, H.; Lesma, G.; Silvani, A. One-pot synthesis of sustainable high-performance thermoset by exploiting eugenol functionalized 1,3-dioxolan-4-one. ACS Sustain. Chem. Eng. 2018, 6, 15201–15211. [Google Scholar] [CrossRef]
- Pynaert, R.; Buguet, J.; Croutxé-Barghorn, C.; Moireau, P.; Allonas, X. Effect of reactive oxygen species on the kinetics of free radical photopolymerization. Polym. Chem. 2013, 4, 2475. [Google Scholar] [CrossRef]
- Schiff, H.I. Kinetics of ozone photochemistry. Pure Appl. Geophys. PAGEOPH 1973, 106, 1464–1467. [Google Scholar] [CrossRef]
- Matsumi, Y.; Kawasaki, M. Photolysis of atmospheric ozone in the ultraviolet region. Chem. Rev. 2003, 103, 4767–4782. [Google Scholar] [CrossRef] [PubMed]
- Frimer, A.A. The reaction of singlet oxygen with olefins: The question of mechanism. Chem. Rev. 1979, 79, 359–387. [Google Scholar] [CrossRef]
- Singleton, D.A.; Hang, C.; Szymanski, M.J.; Meyer, M.P.; Leach, A.G.; Kuwata, K.T.; Chen, J.S.; Greer, A.; Foote, C.S.; Houk, K.N. Mechanism of ene reactions of singlet oxygen. a two-step no-intermediate mechanism. J. Am. Chem. Soc. 2003, 125, 1319–1328. [Google Scholar] [CrossRef] [PubMed]
- Ghogare, A.A.; Greer, A. Using singlet oxygen to synthesize natural products and drugs. Chem. Rev. 2016, 116, 9994–10034. [Google Scholar] [CrossRef]
- Parker, D.H. Laser photochemistry of molecular oxygen. Accounts Chem. Res. 2000, 33, 563–571. [Google Scholar] [CrossRef]
- Kodaira, T.; Hayashi, K.; Ohnishi, T. Photopolymerization of styrene in the presence of oxygen. role of the charge-transfer complex. Polym. J. 1973, 4, 1–9. [Google Scholar] [CrossRef]
- Kodaira, T.; Hashimoto, K.; Sakanaka, Y.; Tanihata, S.; Ikeda, K. The role of the charge-transfer complex in the photocopolymerization of oxygen with styrene and α-methylstyrene. Bull. Chem. Soc. Jpn. 1978, 51, 1487–1489. [Google Scholar] [CrossRef]
- Krüger, K.; Tauer, K.; Yagci, Y.; Moszner, N. Photoinitiated bulk and emulsion polymerization of styrene–evidence for photo-controlled radical polymerization. Macromolecules 2011, 44, 9539–9549. [Google Scholar] [CrossRef]
- Gellerstedt, G.; Pettersson, E.-L.; Weeks, O.B. Light-induced oxidation of lignin. The behaviour of structural units containing a ring-conjugated double bond. Acta Chem. Scand. 1975, 29, 1005–1010. [Google Scholar] [CrossRef]
- Eibel, A.; Fast, D.E.; Gescheidt, G. Choosing the ideal photoinitiator for free radical photopolymerizations: Predictions based on simulations using established data. Polym. Chem. 2018, 9, 5107–5115. [Google Scholar] [CrossRef]
- Silverstein, R.M.; Webster, F.X.; Kiemle, D.J. Spectrometric Identification of Organic Compounds, 7th ed.; John Wiley & Sons: Hoboken, NJ, USA, 2005; ISBN 0-471-39362-2. [Google Scholar]
- Wang, L.-H.; Sung, W.-C. Rapid evaluation and quantitative analysis of eugenol derivatives in essential oils and cosmetic formulations on human skin using attenuated total reflectance–infrared spectroscopy. Spectroscopy 2011, 26, 43–52. [Google Scholar] [CrossRef]
| Sample Availability: Samples of the compounds EDMA, EEMA and EIMA are available from the authors. | 












| Monomer | Condition | Conversion (%) | |||
|---|---|---|---|---|---|
| 220–600 nm | 365 nm | ||||
| Without PI | Darocur 1173 | Darocur 1173 | Irgacure 819 | ||
| EDMA MDB | Air protected | 22 | 100 | 94 | 96 | 
| EEMA MDB | 12 | 66 | 74 | 76 | |
| EIMA MDB | 59 | 100 | 65 | 78 | |
| EEMA ADB | 6 | 7 | 6 | 3 | |
| EIMA PDB | 58 | 56 | 40 | 12 | |
| EDMA MDB | Under air | 35 | 61 | 8 | 8 | 
| EEMA MDB | 66 | 81 | 0 | 7 | |
| EIMA MDB | 86 | 92 | 39 | 40 | |
| EEMA ADB | 49 | 64 | 2 | 9 | |
| EIMA PDB | 68 | 76 | 58 | 30 | |
| Monomer | Polymerization Condition | Gel Content (%) | Tg (°C) | Td5% (°C) | Contact Angle DI Water (°) | Contact Angle Hexadecane (°) | 
|---|---|---|---|---|---|---|
| EDMA | with air | 2 | 8 | 236 | 92 | 24 | 
| no air | 3 | 23 | 269 | 84 | 30 | |
| EEMA | with air | 100 | 35 | 298 | 89 | 33 | 
| no air | 98 | 34 | 294 | 85 | 34 | |
| EIMA | with air | 100 | 56 | 246 | 85 | 24 | 
| no air | 100 | 58 | 258 | 82 | 25 | 
© 2020 by the authors. Licensee MDPI, Basel, Switzerland. This article is an open access article distributed under the terms and conditions of the Creative Commons Attribution (CC BY) license (http://creativecommons.org/licenses/by/4.0/).
Share and Cite
Molina-Gutiérrez, S.; Dalle Vacche, S.; Vitale, A.; Ladmiral, V.; Caillol, S.; Bongiovanni, R.; Lacroix-Desmazes, P. Photoinduced Polymerization of Eugenol-Derived Methacrylates. Molecules 2020, 25, 3444. https://doi.org/10.3390/molecules25153444
Molina-Gutiérrez S, Dalle Vacche S, Vitale A, Ladmiral V, Caillol S, Bongiovanni R, Lacroix-Desmazes P. Photoinduced Polymerization of Eugenol-Derived Methacrylates. Molecules. 2020; 25(15):3444. https://doi.org/10.3390/molecules25153444
Chicago/Turabian StyleMolina-Gutiérrez, Samantha, Sara Dalle Vacche, Alessandra Vitale, Vincent Ladmiral, Sylvain Caillol, Roberta Bongiovanni, and Patrick Lacroix-Desmazes. 2020. "Photoinduced Polymerization of Eugenol-Derived Methacrylates" Molecules 25, no. 15: 3444. https://doi.org/10.3390/molecules25153444
APA StyleMolina-Gutiérrez, S., Dalle Vacche, S., Vitale, A., Ladmiral, V., Caillol, S., Bongiovanni, R., & Lacroix-Desmazes, P. (2020). Photoinduced Polymerization of Eugenol-Derived Methacrylates. Molecules, 25(15), 3444. https://doi.org/10.3390/molecules25153444
 
         
                                                






 
       