Determination of Cadmium (II) in Aqueous Solutions by In Situ MID-FTIR-PLS Analysis Using a Polymer Inclusion Membrane-Based Sensor: First Considerations
Abstract
1. Introduction
2. Results and Discussion
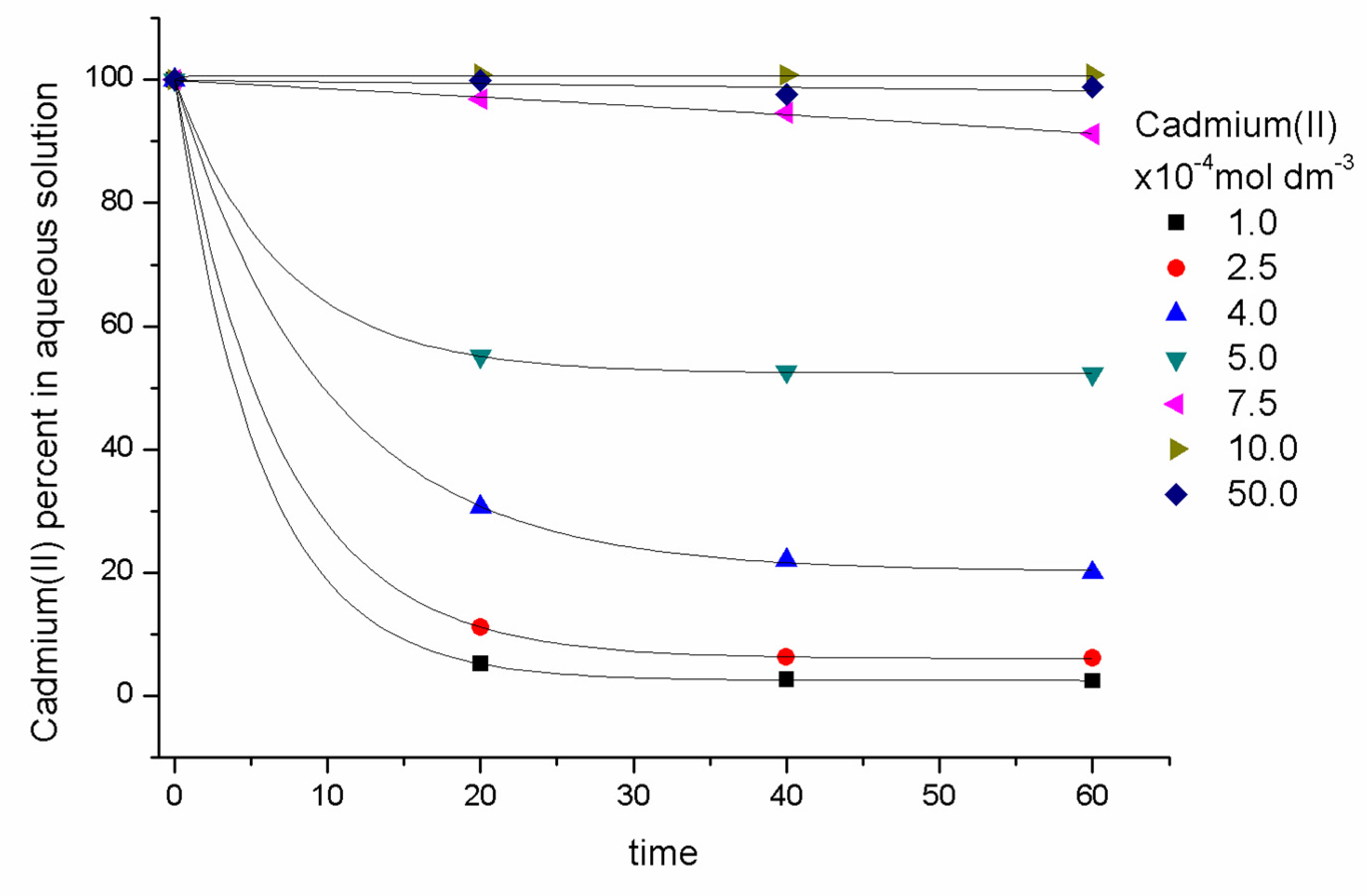
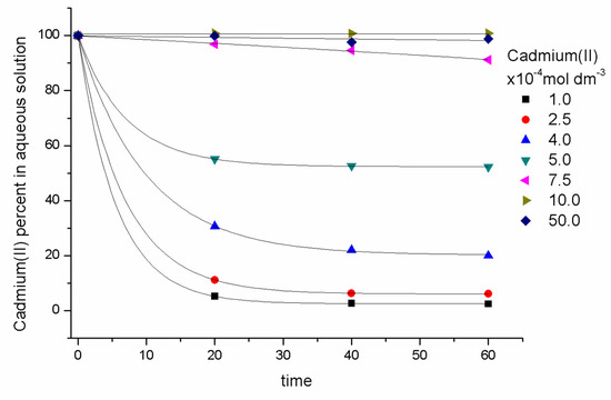
2.1. Establishment of Liquid-Solid Extraction Conditions
2.2. Adsorption Isotherm
2.3. Enrichment Factor
2.4. Stoichiometry of the Extracted Complex
2.5. Multivariate Regression Analysis
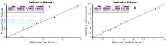
2.5.1. PLS modeling of VIS and FTIR data
2.5.2. Figures of Merit of the MID-FTIR-PLS PIM-Based Sensor
2.5.3. Application of the MID-FTIR-PLS PIM-Based Sensor
3. Materials and Methods
4. Conclusions
Author Contributions
Funding
Acknowledgments
Conflicts of Interest
Abbreviations
| CTA | cellulose triacetate |
| CV-AAS | Cold vapor atomic absorption spectroscopy |
| CV | cross-validation |
| E | Enrichment factor |
| F-AAS | Flame atomic absorption spectroscopy |
| F-IR | Far infrared spectroscopy |
| FTIR | Fourier-transform infrared spectroscopy |
| GF-AAS | Electrothermal or graphite furnace atomic absorption spectroscopy |
| HG-AAS | Hydride generation atomic absorption spectroscopy |
| ICP-MS | Inductively coupled plasma mass spectrometry |
| ICP-OES | Inductively coupled plasma optical emission spectroscopy |
| IR | infrared spectroscopy |
| Kelex 100 | 8-hydroxyquinoline derivative |
| LD | limit of detection |
| LQ | limit of quantitation |
| MEDUSA | Make Equilibrium Diagrams Using Sophisticated Algorithms software |
| MES | 4-morpholino ethanesulfonic acid |
| MID-IR | Mid infrared spectroscopy |
| NAS | Net analyte signal |
| NIR-IR | Near infrared spectroscopy |
| NPOE | 2-nitrophenyl octyl ether |
| PIM | polymer inclusion membrane |
| PLS | partial least squares |
| RMSEC | root mean square error of calibration |
| RMSECV | root mean square error of cross-validation |
| RSD | Relative standard deviation |
| TRIS | Tris(hydroxymethyl)aminomethane |
| VIS | visible spectroscopy |
References
- Namieśnik, J. Modern Trends in Monitoring and Analysis of Environmental Pollutants. Pol. J. Environ. Stud. 2001, 10, 127–140. [Google Scholar]
- Capitán-Vallvey, L.F.; Palma, A.J. Recent developments in handheld and portable optosensing—A review. Anal. Chim. Acta 2011, 696, 27–46. [Google Scholar] [CrossRef]
- Vandenabeele, P.; Castro, K.; Hargreaves, M.; Moens, L.; Madariaga, J.M.; Edwards, H.G.M. Comparative study of mobile Raman instrumentation for art analysis. Anal. Chim. Acta 2007, 588, 108–116. [Google Scholar] [CrossRef]
- Malinen, J.; Känsäkoski, M.; Rikola, R.; Eddison, C.G. LED-based NIR spectrometer module for hand-held and process analyser applications. Sens. Actuator B-Chem. 1998, 51, 220–226. [Google Scholar] [CrossRef]
- Osticioli, I.; Ciofini, D.; Mencaglia, A.A.; Siano, S. Automated characterization of varnishes photo-degradation using portable T-controlled Raman spectroscopy. Spectrochim. Acta A 2017, 172, 182–188. [Google Scholar] [CrossRef]
- López-López, M.; García-Ruiz, C. Infrared and Raman spectroscopy techniques applied to identification of explosives. TrAC 2014, 54, 36–44. [Google Scholar] [CrossRef]
- Ayvaz, H.; Rodriguez-Saona, L.E. Application of handheld and portable spectrometers for screening acrylamide content in commercial potato chips. Food Chem. 2015, 174, 154–162. [Google Scholar] [CrossRef] [PubMed]
- Ayvaz, H.; Sierra-Cadavid, A.; Aykas, D.P.; Mulqueeney, B.; Sullivan, S.; Rodriguez-Saona, L.E. Monitoring multicomponent quality traits in tomato juice using portable mid-infrared (MIR) spectroscopy and multivariate analysis. Food Control. 2016, 66, 79–86. [Google Scholar] [CrossRef]
- Tsujikawa, K.; Miyaguchi, H.; Kanamori, T.; Iwata, Y.T.; Yoshida, T.; Inoue, H. Development of an on-site screening system for amphetamine-type stimulant tablets with a portable attenuated total reflection Fourier transform infrared spectrometer. Anal. Chim. Acta 2008, 608, 95–103. [Google Scholar] [CrossRef]
- Saviello, D.; Toniolo, L.; Goidanich, S.; Casadio, F. Non-invasive identification of plastic materials in museum collections with portable FTIR reflectance spectroscopy: Reference database and practical applications. Microchem J. 2016, 124, 868–877. [Google Scholar] [CrossRef]
- Gredilla, A.; Fdez-Ortiz de Vallejuelo, S.; Elejoste, N.; de Diego, A.; Madariaga, J.M. Non-destructive Spectroscopy combined with chemometrics as a tool for Green Chemical Analysis of environmental samples: A review. TrAC 2016, 76, 30–39. [Google Scholar] [CrossRef]
- López-López, J.A.; Mendiguchía, C.; Pinto, J.J.; Moreno, C. Liquid membranes for quantification and speciation of trace metals in natural waters. TrAC 2010, 29, 645–653. [Google Scholar] [CrossRef]
- Carasek, E.; Merib, J. Membrane -based microextraction techniques in analytical chemistry: A review. Anal. Chim. Acta 2015, 880, 8–25. [Google Scholar] [CrossRef] [PubMed]
- Almeida, A.M.I.G.S.; Cattrall, R.W.; Kolev, S.D. Recent trends in extraction and transport of metal ions using polymer inclusion membranes (PIMs). J. Membrane Sci. 2012, 415, 9–23. [Google Scholar] [CrossRef]
- Fontàs, C.; Queralt, I.; Hidalgo, M. Novel and selective procedure for Cr (VI) determination by X-ray fluorescence analysis after membrane concentration. Spectrochim. Acta B 2006, 61, 407–413. [Google Scholar] [CrossRef]
- Tharakeswar, Y.; Kalyan, Y.; Gangadhar, B.; Kumar, K.S.; Naidu, G.R. Optical Chemical Sensor for Screening Cadmium (II) in Natural Waters. J. Sensor Technol. 2012, 2, 68–74. [Google Scholar] [CrossRef]
- Ngarisan, N.I.; Zanariah, C.W.; Ngah, C.W.; Ahmad, M.; Kuswandi, B. Optimization of polymer inclusion membranes (PIMs) preparation for immobilization of Chrome Azurol S for optical sensing of aluminum (III). Sens. Actuator B-Chem. 2014, 203, 465–470. [Google Scholar] [CrossRef]
- Mohd Suah, F.B.; Ahmad, M.; Heng, L.Y. Highly sensitive fluorescence optode for aluminium(III) based on non-plasticized polymer inclusion membrane. Sens. Actuators B-Chem. 2014, 201, 490–495. [Google Scholar] [CrossRef]
- Mohd Suah, F.B.; Ahmad, M.; Heng, L.Y. A novel polymer inclusion membrane based optode for sensitive determination of Al3+. Spectrochim Acta A 2015, 144, 81–87. [Google Scholar] [CrossRef]
- Denna, M.C.F.J.; Camitan, R.A.B.; Yabut, D.A.O.; Rivera, B.A.; dlC Coo, L. Determination of Cu (II) in environmental water samples using polymer inclusion membrane-TAC optode in a continuous flow system. Sens. Actuators B-Chem. 2018, 260, 445–451. [Google Scholar] [CrossRef]
- Silva, N.F.D.; Magalhães, J.M.C.S.; Barroso, M.F.; Oliva-Teles, T.; Freire, C.; Delerue-Matos, C. In situ formation of gold nanoparticles in polymer inclusion membrane: Application as platform in a label-free potentiometric immunosensor for Salmonella typhimurium detection. Talanta 2019, 194, 134–142. [Google Scholar] [CrossRef] [PubMed]
- Vera, R.; Insa, S.; Fontàs, C.; Anticó, E. A new extraction phase based on a polymer inclusion membrane for the detection of chlorpyrifos, diazinon and cyprodinil in natural water samples. Talanta 2018, 185, 291–298. [Google Scholar] [CrossRef] [PubMed]
- Reza Yaftian, M.; Almeida, M.I.G.S.; Cattrall, R.W.; Kolev, S.D. Flow injection spectrophotometric determination of V(V) involving on-line separation using a poly(vinylidene fluoride-cohexafluoropropylene)-based polymer inclusion membrane. Talanta 2018, 181, 385–391. [Google Scholar] [CrossRef]
- Ohshima, T.; Kagaya, S.; Gemmei-Ide, M.; Cattrall, R.W.; Kolev, S.D. The use of a polymer inclusion membrane as a sorbent for online preconcentration in the flow injection determination of thiocyanate impurity in ammonium sulfate fertilizer. Talanta 2014, 129, 560–564. [Google Scholar] [CrossRef]
- Almeida, M.I.G.S.; Cattrall, R.W.; Kolev, S.D. Polymer inclusion membranes (PIMs) in chemical analysis—A review. Anal. Chim. Acta 2017, 987, 1–14. [Google Scholar] [CrossRef]
- Bellon Maurel, V.; McBratney, A. Near-Infrared (NIR) and Mid-Infrared (MIR) Spectroscopic Techniques for Assessing the Amount of Carbon Stock in Soils—Critical Review and Research Perspectives. Soil Biol. Biochem. 2011, 43, 1398–1410. [Google Scholar] [CrossRef]
- Türker, S.; Huck, C. A Review of Mid-Infrared and Near-Infrared Imaging: Principles, Concepts and Applications in Plant Tissue Analysis. Molecules 2017, 22, 168. [Google Scholar] [CrossRef]
- Ibañez, G.; Escandar, G. Luminescence Sensors Applied to Water Analysis of Organic Pollutants—An Update. Sensors 2011, 11, 11081–11102. [Google Scholar] [CrossRef] [PubMed]
- Liu, Z.; Cai, W.; Shao, X. A weighted multiscale regression for multivariate calibration of near infrared spectra. Analyst 2009, 134, 261–266. [Google Scholar] [CrossRef] [PubMed]
- Shao, X.; Bian, X.; Liu, J.; Zhang, M.; Cai, W. Multivariate calibration methods in near infrared spectroscopic analysis. Anal. Methods 2010, 2, 1662–1666. [Google Scholar] [CrossRef]
- Xu, H.; Cai, W.; Shao, X. Weighted partial least squares regression by variable grouping strategy for multivariate calibration of near infrared spectra. Anal. Methods 2010, 2, 289–294. [Google Scholar] [CrossRef]
- Shao, X.; Zhang, M.; Cai, W. Multivariate calibration of near-infrared spectra by using influential variables. Anal. Methods 2012, 4, 467–473. [Google Scholar] [CrossRef]
- Li, X.; Cai, W.; Shao, X. Correcting Multivariate Calibration Model for near Infrared Spectral Analysis without Using Standard Samples. J. Near Infrared Spectrosc. 2015, 23, 285–291. [Google Scholar] [CrossRef]
- Pérez, R.L.; Escandar, G.M. Experimental and chemometric strategies for the development of Green Analytical Chemistry (GAC) spectroscopic methods for the determination of organic pollutants in natural waters. Sustain. Chem. Pharm. 2016, 4, 1–12. [Google Scholar] [CrossRef]
- Zhang, Y.; Hao, Y.; Caia, W.; Shao, X. Simultaneous determination of phenol and p-nitrophenol in wastewater using near-infrared diffuse reflectance spectroscopy with adsorption preconcentration. Anal. Methods 2011, 3, 703–708. [Google Scholar] [CrossRef]
- Sheng, N.; Cai, W.; Shao, X. An approach by using near-infrared diffuse reflectance spectroscopy and resin adsorption for the determination of copper, cobalt and nickel ions in dilute solution. Talanta 2009, 79, 339–343. [Google Scholar] [CrossRef]
- Li, J.; Zhang, Y.; Cai, W.; Shao, X. Simultaneous determination of mercury, lead and cadmium ions in water using near-infrared spectroscopy with preconcentration by thiol-functionalized magnesium phyllosilicate clay. Talanta 2011, 84, 679–683. [Google Scholar] [CrossRef]
- Chen, G.; Mei, Y.; Tao, W.; Zhang, C.; Tang, H.; Iqbal, J.; Du, Y. Micro near infrared spectroscopy (MicroNIRS) based on on-line enrichment: Determination of trace copper in water using glycidyl methacrylate-based monolithic material. Anal. Chim. Acta 2010, 670, 39–43. https://doi.org/10.1016/j.aca.2010.04.064. Anal. Chim. Acta 2011, 698, 84. [Google Scholar] [CrossRef]
- Moros, J.; Garrigues, S.; Guardia, M.d.l. Vibrational spectroscopy provides a green tool for multi-component analysis. TrAC 2010, 29, 578–591. [Google Scholar] [CrossRef]
- Shi, T.; Chen, Y.; Liu, Y.; Wu, G. Visible and near-infrared reflectance spectroscopy—An alternative for monitoring soil contamination by heavy metals. J. Hazard. Mater. 2014, 265, 166–176. [Google Scholar] [CrossRef]
- Wang, J.; Cui, L.; Gao, W.; Shi, T.; Chen, Y.; Gao, Y. Prediction of low heavy metal concentrations in agricultural soils using visible and near-infrared reflectance spectroscopy. Geoderma 2014, 216, 1–9. [Google Scholar] [CrossRef]
- Aguilar, J.C.; Sánchez-Castellanos, M.; Rodríguez de San Miguel, E.; de Gyves, J. Cd (II) and Pb (II) extraction and transport modeling in SLM and PIM systems using Kelex 100 as carrier. J. Membrane Sci. 2001, 190, 107–118. [Google Scholar] [CrossRef]
- Rydberg, J.; Choppin, G.R.; Musikas, C.; Sekine, T. Solvent Extraction Equilibria. In Solvent Extraction and Practice; Rydberg, J., Cox, M., Musikas, C., Choppin, G.R., Eds.; CRC Press: Boca Raton, FL, USA, 2004. [Google Scholar]
- Puigdomenech, I. Make Equilibrium Diagrams Using Sophisticated Algorithms (MEDUSA) software, Royal Institute of Technology (KTH), Stockholm. 2015. Available online: https://www.kth.se/che/medusa/downloads-1.386254 (accessed on 20 June 2020).
- Worch, E. Adsorption Technology in Water Treatment. Fundamentals, Processes, and Modeling; De Gruyter: Dresden, Germany, 2012. [Google Scholar] [CrossRef]
- Foo, K.Y.; Hameed, B.H. Insights into the modeling of adsorption isotherm systems. Chem. Eng. J. 2010, 156, 2–10. [Google Scholar] [CrossRef]
- Zheng, H.; Liu, D.; Zheng, Y.; Liang, S.; Liu, Z. Sorption isotherm and kinetic modeling of aniline on Cr-bentonite. J. Hazard. Mater. 2009, 167, 141–147. [Google Scholar] [CrossRef] [PubMed]
- Fan, T.; Liu, Y.; Feng, B.; Zeng, G.; Yang, C.; Zhou, M.; Tan, Z.; Wang, X. Biosorption of cadmium (II), zinc (II) and lead(II) by Penicillium simplicissimum: Isotherms, kinetics and thermodynamics. J. Hazard Mater. 2008, 160, 655–661. [Google Scholar] [CrossRef] [PubMed]
- Chakravarty, P.; Sarma, N.S.; Sarma, H.P. Biosorption of cadmium (II) from aqueous solution using heartwood powder of Areca catechu. Chem. Eng. J. 2010, 162, 949–955. [Google Scholar] [CrossRef]
- Singh, R.; Chadetrik, R.; Kumar, R.; Bishnoi, K.; Bhatia, D.; Kumar, A.; Bishnoi, N.R.; Singh, N. Biosorption optimization of lead (II), cadmium (II) and copper (II) using response surface methodology and applicability in isotherms and thermodynamics modeling. J. Hazard. Mater. 2010, 174, 623–634. [Google Scholar] [CrossRef]
- Malik, L.A.; Bashir, A.; Qureashi, A.; Pandith, A.H. Detection and removal of heavy metal ions: A review. Environ. Chem. Lett. 2019, 17, 1495–1521. [Google Scholar] [CrossRef]
- Granado-Castro 1, M.D.; Galindo-Riaño, M.D.; García-Vargas, M. Separation and preconcentration of cadmium ions in natural water using a liquid membrane system with 2-acetylpyridine benzoylhydrazone as carrier by flame atomic absorption spectrometry. Spectrochim. Acta B 2004, 59, 577–583. [Google Scholar] [CrossRef]
- Peng, J.-f.; Liu, R.; Liu, J.-f.; He, b.; Hu, X.-l.; Jiang, G.-b. Ultrasensitive determination of cadmium in seawater by hollow fiber supported liquid membrane extraction coupled with graphite furnace atomic absorption spectrometry. Spectrochim. Acta B 2007, 62, 499–503. [Google Scholar] [CrossRef]
- Shar, G.A.; Soomro, G.A. 8-Hydroxyquinoline as a complexing reagent for the determination of Cd (II) in micellar medium. J. Chem. Soc. Pakistan 2005, 27, 471–475. [Google Scholar]
- Marchon, B.; Bokobza, L.; Coté, G. Vibrational study of 8-quinolinol and 7-(4-ethyl-1-methyloctyl)-8-quinolinol (Kelex 100), two representative members of an important chelating agent family. Spectrochim. Acta A 1986, 42, 537–542. [Google Scholar] [CrossRef]
- Olivieri, A.C.; Faber, N.M.; Ferré, J.; Boqué, R.; Kalivas, J.H.; Mark, H. Uncertainty estimation and figures of merit for multivariate calibration (IUPAC Technical Report). Pure Appl. Chem. 2006, 78, 633–661. [Google Scholar] [CrossRef]
- de Carvalho Rocha, W.F.; Nogueira, R.; Vaz, B.G. Validation of model of multivariate calibration: An application to the determination of biodiesel blend levels in diesel by near-infrared spectroscopy. J. Chemometr. 2012, 26, 456–461. [Google Scholar] [CrossRef]
- Braga, J.W.B.; Trevizan, L.C.; Nunes, L.C.; Rufini, I.A.; Santos, D.; Krug, F.J., Jr. Comparison of univariate and multivariate calibration for the determination of micronutrients in pellets of plant materials by laser induced breakdown spectrometry. Spectrochim. Acta B 2010, 65, 66–74. [Google Scholar] [CrossRef]
- Rosborg, I.; Nihlgård, B.; Gerhardsson, L.; Gernersson, M.-L.; Ohlin, R.; Olsson, T. Concentrations of Inorganic Elements in Bottled Waters on the Swedish Market. Environ. Geochem. Health. 2005, 27, 217–227. [Google Scholar] [CrossRef] [PubMed]
- Güler, C.; Alpaslan, M. Mineral content of 70 bottled water brands sold on the Turkish market: Assessment of their compliance with current regulations. J. Food Compos. Anal. 2009, 22, 728–737. [Google Scholar] [CrossRef]
- Zhan, L.; Ren, X.; Jiang, D.; Lu, A.; Yuan, J. Photolumininescence and UV-Vis absorption spectra characteristics of metal complexes of 8-hydroxyquinoline. Guang pu xue guang pu fen 1997, 17, 12–15. [Google Scholar]
- Stary, J. Critical Evaluation of Equilibrium Constants Involving 8-hydroxyquinoline and Its Metal Chelates. Critical Evaluation of Equilibrium Constants in Solution: Part. B: Equilibrium Constants of Liquid–Liquid Distribution Systems; Pergamon: Oxford, England, 1979. [Google Scholar] [CrossRef]
- Skrabal, P.M. Spectroscopy-An Interdisciplinary Integral Description of Spectroscopy from UV to NMR; Vdf Hochschulverlag AG an der ETH Zürich: Zurich, Switerland, 2012. [Google Scholar]
- Stary, J.; Freiser, H. 8-Hydroxyquinolines. In Chelating Extractants; Stary, J., Freiser, H., Eds.; Pergamon Press: Oxford, UK, 1978. [Google Scholar]
Sample Availability: Samples of the compounds are not available from the authors. |







| Parameter | Ce = 1.11 × 10−6 to 9.33 × 10−7 | Ce = 1.63 × 10−6 to 5.16 × 10−5 |
|---|---|---|
| KL [cm3 mmol−1] | 17.028 | 2.133 |
| qmax [mmol g−1] | 0.034 | 0.092 |
| R2 | 0.8421 | 0.9959 |
| RL | 0.005–0.008 | 0.01–0.03 |
| CV-R2 | 0.7539 | 0.9834 |
| Model sum of squares | 2.37 × 10−9 | 1.71 × 10−7 |
| Error sum of squares | 7.36 × 10−10 | 2.56 × 10−10 |
| Model mean square | 2.37 × 10−9 | 1.71 × 10−7 |
| Error mean square | 9.20 × 10−11 | 6.41 × 10−11 |
| F-value | 25.81 | 2665.23 |
| p-value | 9.53 × 10−4 | 8.42 × 10−7 |
| Parameters | VIS Calibration | VIS Validation | MID-FTIR Calibration | MID-FTIR Validation |
|---|---|---|---|---|
| RMSEC | 0.1022 | 0.0653 | ||
| RMSECV | 0.1677 | 0.1344 | ||
| Slope | 0.9882 | 0.9132 | 0.9951 | 0.9962 |
| Intercept | 0.0208 | 0.1695 | 0.0076 | 0.0033 |
| R2 | 0.9882 | 0.9750 | 0.9951 | 0.9823 |
| Figure of Merit | Value |
|---|---|
| 0.0653 | |
| 0.1344 | |
| R2 | 0.9951 |
| CV-R2 | 0.9823 |
| 0.9951 | |
| 0.0076 | |
| (0.45–3.27) × 10−4 mol dm−3 | |
| 0.0164 mol−1 dm3 | |
| 7.26 mol dm−3 | |
| 0.14 mol−1 dm3 | |
| Mean selectivity | 0.0403 |
| 0.45 × 10−4 mol dm−3 | |
| 1.37 × 10−4 mol dm−3 |
| Sample | Reference Value (F-AAS) × 104 mol dm−3 | Determined Value (MID-FTIR) × 104 mol dm−3 |
|---|---|---|
| Tap | 3.10 ± 0.10 | 3.25 ± 0.25 |
| 1.00 ± 0.10 | 1.35 ± 0.22 | |
| 0.56 ± 0.10 | 0.52 ± 0.35 | |
| Bottle | 0.87 ± 0.10 | 1.08 ± 0.20 |
| 0.51 ± 0.10 | 0.52 ± 0.30 | |
| Pier | 2.75 ± 0.10 | 3.08 ± 0.25 |
| 0.96 ± 0.10 | 1.07 ± 0.20 | |
| 0.56 ± 0.10 | 0.47 ± 0.30 |
© 2020 by the authors. Licensee MDPI, Basel, Switzerland. This article is an open access article distributed under the terms and conditions of the Creative Commons Attribution (CC BY) license (http://creativecommons.org/licenses/by/4.0/).
Share and Cite
González-Albarrán, R.; de Gyves, J.; Rodríguez de San Miguel, E. Determination of Cadmium (II) in Aqueous Solutions by In Situ MID-FTIR-PLS Analysis Using a Polymer Inclusion Membrane-Based Sensor: First Considerations. Molecules 2020, 25, 3436. https://doi.org/10.3390/molecules25153436
González-Albarrán R, de Gyves J, Rodríguez de San Miguel E. Determination of Cadmium (II) in Aqueous Solutions by In Situ MID-FTIR-PLS Analysis Using a Polymer Inclusion Membrane-Based Sensor: First Considerations. Molecules. 2020; 25(15):3436. https://doi.org/10.3390/molecules25153436
Chicago/Turabian StyleGonzález-Albarrán, René, Josefina de Gyves, and Eduardo Rodríguez de San Miguel. 2020. "Determination of Cadmium (II) in Aqueous Solutions by In Situ MID-FTIR-PLS Analysis Using a Polymer Inclusion Membrane-Based Sensor: First Considerations" Molecules 25, no. 15: 3436. https://doi.org/10.3390/molecules25153436
APA StyleGonzález-Albarrán, R., de Gyves, J., & Rodríguez de San Miguel, E. (2020). Determination of Cadmium (II) in Aqueous Solutions by In Situ MID-FTIR-PLS Analysis Using a Polymer Inclusion Membrane-Based Sensor: First Considerations. Molecules, 25(15), 3436. https://doi.org/10.3390/molecules25153436

