The GABAB Receptor—Structure, Ligand Binding and Drug Development
Abstract
:1. Introduction
2. Structure of the GABAB Receptor
2.1. The Extracellular Domains
2.2. Transmembrane Domains
3. GABAB Receptor Binding Sites
3.1. Orthosteric Binding Site
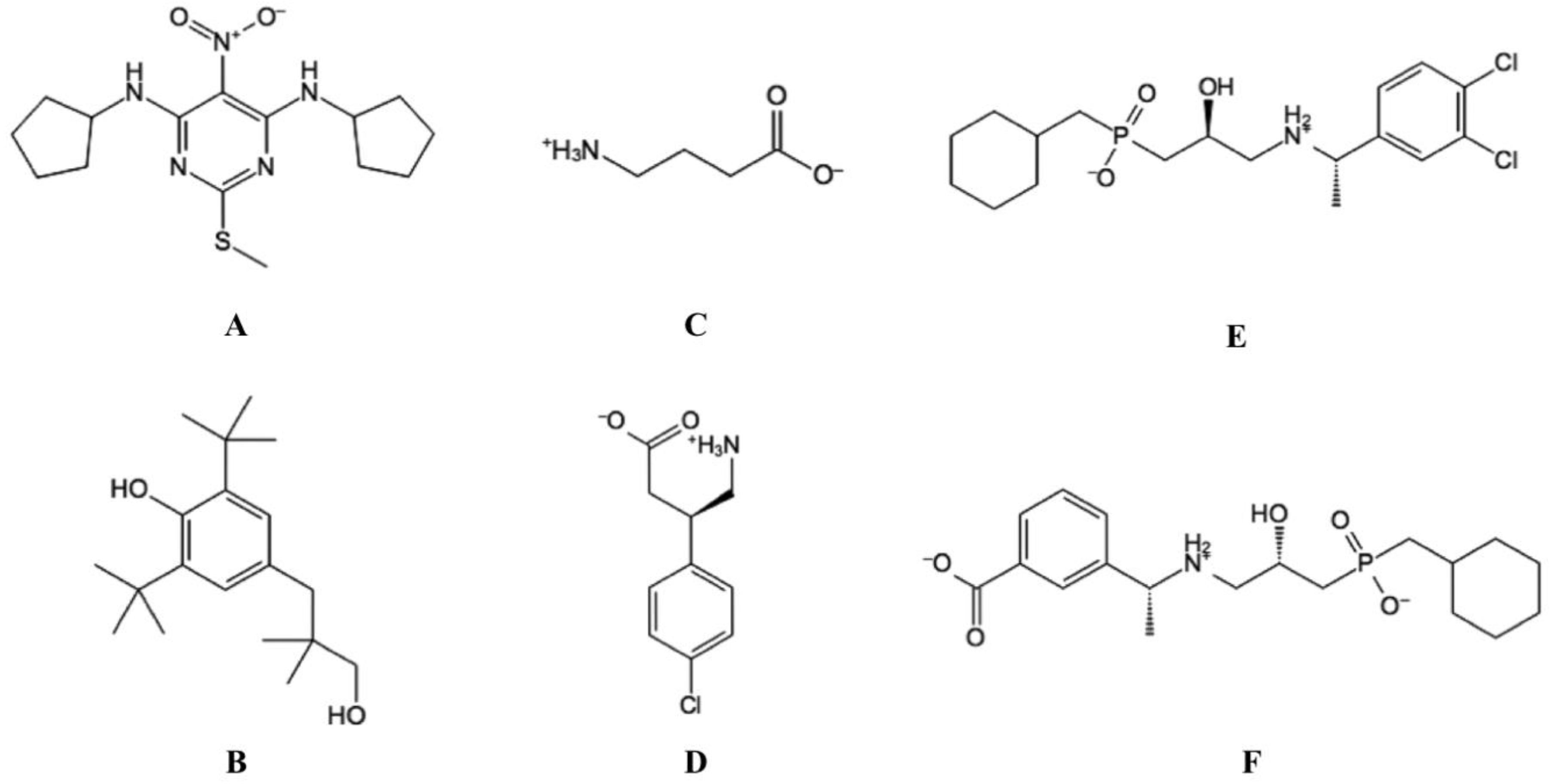
3.2. Allosteric Binding Site
4. GABAB Receptor Signaling
5. GABAB Receptor Pathophysiology
6. The GABAB Receptor in Drug Discovery
6.1. Orthosteric Ligands
6.2. Allosteric Ligands
7. Recent and Future Advancements in GABAB Receptor in Silico Drug Discovery
8. Conclusion
Author Contributions
Funding
Conflicts of Interest
References
- Hill, D.R.; Bowery, N.G. 3H-baclofen and 3H-GABA bind to bicuculline-insensitive GABAB sites in rat brain. Nature 1981, 290, 149–152. [Google Scholar] [CrossRef] [PubMed]
- Bowery, N.G.; Hill, D.R.; Hudson, A.L.; Doble, A.; Middlemiss, D.N.; Shaw, J.; Turnbull, M. (–)Baclofen decreases neurotransmitter release in the mammalian CNS by an action at a novel GABA receptor. Nature 1980, 283, 92–94. [Google Scholar] [CrossRef] [PubMed]
- Bowery, N.G.; Doble, A.; Hill, D.R.; Hudson, A.L.; Shaw, J.S.; Turnbull, M.J. Baclofen: A selective agonist for a novel type of GABA receptor proceedings. Br. J. Pharm. 1979, 67, 444–445. [Google Scholar]
- Kaupmann, K.; Huggel, K.; Heid, J.; Flor, P.J.; Bischoff, S.; Mickel, S.J.; McMaster, G.; Angst, C.; Bittiger, H.; Froestl, W.; et al. Expression cloning of GABAB receptors uncovers similarity to metabotropic glutamate receptors. Nature 1997, 386, 239–246. [Google Scholar] [CrossRef]
- Munk, C.; Isberg, V.; Mordalski, S.; Harpsøe, K.; Rataj, K.; Hauser, A.S.; Kolb, P.; Bojarski, A.J.; Vriend, G.; Gloriam, D.E. GPCRdb: The G protein-coupled receptor database—an introduction: GPCRdb: The GPCR database. Br. J. Pharm. 2016, 173, 2195–2207. [Google Scholar] [CrossRef] [PubMed]
- Mao, C.; Shen, C.; Li, C.; Shen, D.-D.; Xu, C.; Zhang, S.; Zhou, R.; Shen, Q.; Chen, L.-N.; Jiang, Z.; et al. Cryo-EM structures of inactive and active GABAB receptor. Cell Res. 2020. [Google Scholar] [CrossRef] [PubMed]
- Shaye, H.; Ishchenko, A.; Lam, J.H.; Han, G.W.; Xue, L.; Rondard, P.; Pin, J.-P.; Katritch, V.; Gati, C.; Cherezov, V. Structural basis of the activation of a metabotropic GABA receptor. Nature 2020, 1–6. [Google Scholar] [CrossRef]
- Papasergi-Scott, M.M.; Robertson, M.J.; Seven, A.B.; Panova, O.; Mathiesen, J.M.; Skiniotis, G. Structures of metabotropic GABAB receptor. Nature 2020, in press. [Google Scholar] [CrossRef]
- Park, J.; Fu, Z.; Frangaj, A.; Liu, J.; Mosyak, L.; Shen, T.; Slavkovich, V.N.; Ray, K.M.; Taura, J.; Cao, B.; et al. Structure of human GABAB receptor in an inactive state. Nature 2020, 1–6. [Google Scholar] [CrossRef]
- Wierońska, J.M.; Pilc, A. Depression and schizophrenia viewed from the perspective of amino acidergic neurotransmission: Antipodes of psychiatric disorders. Pharm. 2019, 193, 75–82. [Google Scholar] [CrossRef]
- Jiang, X.; Su, L.; Zhang, Q.; He, C.; Zhang, Z.; Yi, P.; Liu, J. GABAB receptor complex as a potential target for tumor therapy. J. Histochem. Cytochem. 2012, 60, 269–279. [Google Scholar] [CrossRef] [PubMed] [Green Version]
- Tyacke, R.J.; Lingford-Hughes, A.; Reed, L.J.; Nutt, D.J. GABAB receptors in addiction and its treatment. In Advances in Pharmacology; Elsevier: London, UK, 2010; Volume 58, pp. 373–396. ISBN 978-0-12-378647-0. [Google Scholar]
- Froestl, W.; Mickel, S.J.; Hall, R.G.; von Sprecher, G.; Strub, D.; Baumann, P.A.; Brugger, F.; Gentsch, C.; Jaekel, J. Phosphinic acid analogs of GABA. 1. New potent and selective GABAB agonists. J. Med. Chem. 1995, 38, 3297–3312. [Google Scholar] [CrossRef]
- Froestl, W.; Mickel, S.J.; von Sprecher, G.; Diel, P.J.; Hall, R.G.; Maier, L.; Strub, D.; Melillo, V.; Baumann, P.A. Phosphinic acid analogs of GABA. 2. Selective, orally active GABAB antagonists. J. Med. Chem. 1995, 38, 3313–3331. [Google Scholar] [CrossRef] [PubMed]
- Froestl, W.; Mickel, S.J.; Schmutz, M.; Bittiger, H. Potent, orally active GABAB receptor antagonist. Pharm. Rev. Commun. 1996, 8, 127–133. [Google Scholar]
- Froestl, W. Chemistry and pharmacology of GABAB receptor ligands. In Advances in Pharmacology; Elsevier: London, UK, 2010; Volume 58, pp. 19–62. ISBN 978-0-12-378647-0. [Google Scholar]
- Herman, R.M.; D’Luzansky, S.C.; Ippolito, R. Intrathecal baclofen suppresses central pain in patients with spinal lesions. A pilot study. Clin. J. Pain 1992, 8, 338–345. [Google Scholar] [CrossRef]
- Pilc, A.; Nowak, G. GABAergic hypotheses of anxiety and depression: Focus on GABAB receptor. Drugs Today 2005, 41, 755–766. [Google Scholar] [CrossRef]
- Deguchi, Y.; Inabe, K.; Tomiyasu, K.; Nozawa, K.; Yamada, S.; Kimura, R. Study on brain interstitial fluid distribution and blood-brain barrier transport of baclofen in rats by microdialysis. Pharm. Res. 1995, 12, 1838–1844. [Google Scholar] [CrossRef]
- Lal, R.; Sukbuntherng, J.; Tai, E.H.L.; Upadhyay, S.; Yao, F.; Warren, M.S.; Luo, W.; Bu, L.; Nguyen, S.; Zamora, J.; et al. Arbaclofen placarbil, a novel R-Baclofen prodrug: Improved absorption, distribution, metabolism, and elimination properties compared with R-Baclofen. J. Pharm. Exp. 2009, 330, 911–921. [Google Scholar] [CrossRef]
- Chun, L.; Zhang, W.; Liu, J. Structure and ligand recognition of class C GPCRs. Acta Pharm. Sin. 2012, 33, 312–323. [Google Scholar] [CrossRef] [Green Version]
- Kniazeff, J.; Galvez, T.; Labesse, G.; Pin, J.-P. No ligand binding in the GB2 subunit of the GABAB receptor is required for activation and allosteric interaction between the subunits. J. Neurosci. 2002, 22, 7352–7361. [Google Scholar] [CrossRef] [Green Version]
- Margeta-Mitrovic, M.; Jan, Y.N.; Jan, L.Y. Function of GB1 and GB2 subunits in G protein coupling of GABAB receptors. Proc. Natl. Acad. Sci. USA 2001, 98, 14649–14654. [Google Scholar] [CrossRef] [PubMed] [Green Version]
- Binet, V.; Brajon, C.; Le Corre, L.; Acher, F.; Pin, J.-P.; Prézeau, L. The heptahelical domain of GABAB2 is activated directly by CGP7930, a positive allosteric modulator of the GABAB receptor. J. Biol. Chem. 2004, 279, 29085–29091. [Google Scholar] [CrossRef] [PubMed] [Green Version]
- Galvez, T. Allosteric interactions between GB1 and GB2 subunits are required for optimal GABAB receptor function. Embo J. 2001, 20, 2152–2159. [Google Scholar] [CrossRef] [PubMed]
- Xue, L.; Sun, Q.; Zhao, H.; Rovira, X.; Gai, S.; He, Q.; Pin, J.-P.; Liu, J.; Rondard, P. Rearrangement of the transmembrane domain interfaces associated with the activation of a GPCR hetero-oligomer. Nat. Commun. 2019, 10, 1–12. [Google Scholar] [CrossRef] [Green Version]
- Calebiro, D.; Rieken, F.; Wagner, J.; Sungkaworn, T.; Zabel, U.; Borzi, A.; Cocucci, E.; Zurn, A.; Lohse, M.J. Single-molecule analysis of fluorescently labeled G-protein-coupled receptors reveals complexes with distinct dynamics and organization. Proc. Natl. Acad. Sci. USA 2013, 110, 743–748. [Google Scholar] [CrossRef] [Green Version]
- Maurel, D.; Comps-Agrar, L.; Brock, C.; Rives, M.-L.; Bourrier, E.; Ayoub, M.A.; Bazin, H.; Tinel, N.; Durroux, T.; Prézeau, L.; et al. Cell-surface protein-protein interaction analysis with time-resolved FRET and snap-tag technologies: Application to GPCR oligomerization. Nat. Methods 2008, 5, 561–567. [Google Scholar] [CrossRef]
- Monnier, C.; Tu, H.; Bourrier, E.; Vol, C.; Lamarque, L.; Trinquet, E.; Pin, J.-P.; Rondard, P. Trans-activation between 7TM domains: Implication in heterodimeric GABAB receptor activation: Trans-activation between 7TM of GABAB receptor. Embo J. 2011, 30, 32–42. [Google Scholar] [CrossRef] [Green Version]
- Biermann, B.; Ivankova-Susankova, K.; Bradaia, A.; Abdel Aziz, S.; Besseyrias, V.; Kapfhammer, J.P.; Missler, M.; Gassmann, M.; Bettler, B. The sushi domains of GABAB receptors function as axonal targeting signals. J. Neurosci. 2010, 30, 1385–1394. [Google Scholar] [CrossRef] [Green Version]
- Benke, D.; Zemoura, K.; Maier, P.J. Modulation of cell surface GABAB receptors by desensitization, trafficking and regulated degradation. World J. Biol. Chem. 2012, 3, 61–72. [Google Scholar] [CrossRef]
- Gassmann, M.; Bettler, B. Regulation of neuronal GABAB receptor functions by subunit composition. Nat. Rev. Neurosci. 2012, 13, 380–394. [Google Scholar] [CrossRef]
- Rice, H.C.; de Malmazet, D.; Schreurs, A.; Frere, S.; Van Molle, I.; Volkov, A.N.; Creemers, E.; Vertkin, I.; Nys, J.; Ranaivoson, F.M.; et al. Secreted amyloid-β precursor protein functions as a GABABR1a ligand to modulate synaptic transmission. Science 2019, 363, 6423. [Google Scholar] [CrossRef] [PubMed]
- Burmakina, S.; Geng, Y.; Chen, Y.; Fan, Q.R. Heterodimeric coiled-coil interactions of human GABAB receptor. Proc. Natl. Acad. Sci. USA 2014, 111, 6958–6963. [Google Scholar] [CrossRef] [PubMed] [Green Version]
- Zheng, S.; Abreu, N.; Levitz, J.; Kruse, A.C. Structural basis for KCTD-mediated rapid desensitization of GABAB signalling. Nature 2019, 567, 127–131. [Google Scholar] [CrossRef] [PubMed]
- Geng, Y.; Bush, M.; Mosyak, L.; Wang, F.; Fan, Q.R. Structural mechanism of ligand activation in human GABAB receptor. Nature 2013, 504, 254–259. [Google Scholar] [CrossRef] [Green Version]
- Geng, Y.; Xiong, D.; Mosyak, L.; Malito, D.L.; Kniazeff, J.; Chen, Y.; Burmakina, S.; Quick, M.; Bush, M.; Javitch, J.A.; et al. Structure and functional interaction of the extracellular domain of human GABAB receptor GBR2. Nat. Neurosci. 2012, 15, 970–978. [Google Scholar] [CrossRef] [Green Version]
- Rondard, P.; Huang, S.; Monnier, C.; Tu, H.; Blanchard, B.; Oueslati, N.; Malhaire, F.; Li, Y.; Trinquet, E.; Labesse, G.; et al. Functioning of the dimeric GABAB receptor extracellular domain revealed by glycan wedge scanning. Embo J. 2008, 27, 1321–1332. [Google Scholar] [CrossRef]
- Liu, J.; Maurel, D.; Etzol, S.; Brabet, I.; Ansanay, H.; Pin, J.-P.; Rondard, P. Molecular determinants involved in the allosteric control of agonist affinity in the GABAB receptor by the GABAB2 subunit. J. Biol. Chem. 2004, 279, 15824–15830. [Google Scholar] [CrossRef] [Green Version]
- Nomura, R.; Suzuki, Y.; Kakizuka, A.; Jingami, H. Direct detection of the interaction between recombinant soluble extracellular regions in the heterodimeric metabotropic γ-aminobutyric acid receptor. J. Biol. Chem. 2008, 283, 4665–4673. [Google Scholar] [CrossRef] [Green Version]
- Grushevskyi, E.O.; Kukaj, T.; Schmauder, R.; Bock, A.; Zabel, U.; Schwabe, T.; Benndorf, K.; Lohse, M.J. Stepwise activation of a class C GPCR begins with millisecond dimer rearrangement. Proc. Natl. Acad. Sci. USA 2019, 116, 10150–10155. [Google Scholar] [CrossRef] [Green Version]
- Olofsson, L.; Felekyan, S.; Doumazane, E.; Scholler, P.; Fabre, L.; Zwier, J.M.; Rondard, P.; Seidel, C.A.M.; Pin, J.-P.; Margeat, E. Fine tuning of sub-millisecond conformational dynamics controls metabotropic glutamate receptors agonist efficacy. Nat. Commun. 2014, 5, 5206. [Google Scholar] [CrossRef]
- Lecat-Guillet, N.; Monnier, C.; Rovira, X.; Kniazeff, J.; Lamarque, L.; Zwier, J.M.; Trinquet, E.; Pin, J.-P.; Rondard, P. FRET-based sensors unravel activation and allosteric modulation of the GABAB receptor. Cell Chem. Biol. 2017, 24, 360–370. [Google Scholar] [CrossRef] [PubMed] [Green Version]
- Koehl, A.; Hu, H.; Feng, D.; Sun, B.; Zhang, Y.; Robertson, M.J.; Chu, M.; Kobilka, T.S.; Laermans, T.; Steyaert, J.; et al. Structural insights into the activation of metabotropic glutamate receptors. Nature 2019, 566, 79–84. [Google Scholar] [CrossRef]
- Evenseth, L.M.; Ocello, R.; Gabrielsen, M.; Masetti, M.; Recanatini, M.; Sylte, I.; Cavalli, A. Exploring conformational dynamics of the extracellular venus flytrap domain of the GABAB receptor: A path-metadynamics study. J. Chem. Inf. Model. 2020, 60, 2294–2303. [Google Scholar] [CrossRef] [PubMed]
- Margeta-Mitrovic, M.; Jan, Y.N.; Jan, L.Y. Ligand-induced signal transduction within heterodimeric GABAB receptor. Proc. Natl. Acad. Sci. USA 2001, 98, 14643–14648. [Google Scholar] [CrossRef] [PubMed] [Green Version]
- Rondard, P.; Goudet, C.; Kniazeff, J.; Pin, J.-P.; Prézeau, L. The complexity of their activation mechanism opens new possibilities for the modulation of mGlu and GABAB class C G protein-coupled receptors. Neuropharmacology 2011, 60, 82–92. [Google Scholar] [CrossRef] [PubMed]
- Duthey, B.; Caudron, S.; Perroy, J.; Bettler, B.; Fagni, L.; Pin, J.-P.; Prézeau, L. A single subunit (GB2) is required for g-protein activation by the heterodimeric GABAB receptor. J. Biol. Chem. 2002, 277, 3236–3241. [Google Scholar] [CrossRef] [PubMed] [Green Version]
- Havlickova, M.; Prezeau, L.; Duthey, B.; Bettler, B.; Pin, J.-P.; Blahos, J. The intracellular loops of the GB2 subunit are crucial for G-protein coupling of the heteromeric γ-aminobutyrate B receptor. Mol. Pharm. 2002, 62, 343–350. [Google Scholar] [CrossRef] [Green Version]
- Møller, T.C.; Moreno-Delgado, D.; Pin, J.-P.; Kniazeff, J. Class C G protein-coupled receptors: Reviving old couples with new partners. Biophys. Rep. 2017, 3, 57–63. [Google Scholar] [CrossRef] [Green Version]
- Galvez, T.; Parmentier, M.-L.; Joly, C.; Malitschek, B.; Kaupmann, K.; Kuhn, R.; Bittiger, H.; Froestl, W.; Bettler, B.; Pin, J.-P. Mutagenesis and modeling of the GABAB receptor extracellular domain support a venus flytrap mechanism for ligand binding. J. Biol. Chem. 1999, 274, 13362–13369. [Google Scholar] [CrossRef] [Green Version]
- Evenseth, L.; Warszycki, D.; Bojarski, A.; Gabrielsen, M.; Sylte, I. In Silico methods for the discovery of orthosteric GABAB receptor compounds. Molecules 2019, 24, 935. [Google Scholar] [CrossRef] [Green Version]
- Lima Neto, J.X.; Bezerra, K.S.; Barbosa, E.D.; Oliveira, J.I.N.; Manzoni, V.; Soares-Rachetti, V.P.; Albuquerque, E.L.; Fulco, U.L. Exploring the binding mechanism of GABAB receptor agonists and antagonists through in silico simulations. J. Chem. Inf. Model. 2020, 2, 1005–1018. [Google Scholar] [CrossRef] [PubMed]
- Galvez, T.; Prézeau, L.; Milioti, G.; Franek, M.; Joly, C.; Froestl, W.; Bettler, B.; Bertrand, H.-O.; Blahos, J.; Pin, J.-P. Mapping the agonist-binding site of GABAB type 1 subunit sheds light on the activation process of GABAB receptors. J. Biol. Chem. 2000, 275, 41166–41174. [Google Scholar] [CrossRef] [PubMed]
- Conn, P.J.; Lindsley, C.W.; Meiler, J.; Niswender, C.M. Opportunities and challenges in the discovery of allosteric modulators of GPCRs for treating CNS disorders. Nat. Rev. Drug Discov. 2014, 13, 692–708. [Google Scholar] [CrossRef] [PubMed] [Green Version]
- Gilchrist, A. (Ed.) GPCR Molecular Pharmacology and Drug Targeting: Shifting Paradigms and New Directions; John Wiley & Sons, Inc.: Hoboken, NJ, USA, 2010; Chapter 2; ISBN 978-0-470-62732-7. [Google Scholar]
- Freyd, T.; Warszycki, D.; Mordalski, S.; Bojarski, A.J.; Sylte, I.; Gabrielsen, M. Ligand-guided homology modelling of the GABAB2 subunit of the GABAB receptor. PLoS ONE 2017, 12, e0173889. [Google Scholar] [CrossRef] [Green Version]
- Chen, L.-H.; Sun, B.; Zhang, Y.; Xu, T.-J.; Xia, Z.-X.; Liu, J.-F.; Nan, F.-J. Discovery of a negative allosteric modulator of GABABB receptors. ACS Med. Chem. Lett. 2014, 5, 742–747. [Google Scholar] [CrossRef] [Green Version]
- Burford, N.T.; Clark, M.J.; Wehrman, T.S.; Gerritz, S.W.; Banks, M.; O’Connell, J.; Traynor, J.R.; Alt, A. Discovery of positive allosteric modulators and silent allosteric modulators of the -opioid receptor. Proc. Natl. Acad. Sci. USA 2013, 110, 10830–10835. [Google Scholar] [CrossRef] [PubMed] [Green Version]
- Pin, J.-P.; Prezeau, L. Allosteric Modulators of GABAB receptors: Mechanism of action and therapeutic perspective. Curr. Neuropharmacol. 2007, 5, 195–201. [Google Scholar] [CrossRef] [Green Version]
- Dupuis, D.S.; Relkovic, D.; Lhuillier, L.; Mosbacher, J.; Kaupmann, K. Point mutations in the transmembrane region of GABAB2 facilitate activation by the positive modulator N,N′-dicyclopentyl-2-methylsulfanyl-5-nitro-pyrimidine-4,6-diamine (GS39783) in the absence of the GABAB1 subunit. Mol. Pharm. 2006, 70, 2027–2036. [Google Scholar] [CrossRef] [PubMed] [Green Version]
- Doré, A.S.; Okrasa, K.; Patel, J.C.; Serrano-Vega, M.; Bennett, K.; Cooke, R.M.; Errey, J.C.; Jazayeri, A.; Khan, S.; Tehan, B.; et al. Structure of class C GPCR metabotropic glutamate receptor 5 transmembrane domain. Nature 2014, 511, 557–562. [Google Scholar] [CrossRef] [PubMed]
- Engers, D.W.; Lindsley, C.W. Allosteric modulation of class C GPCRs: A novel approach for the treatment of CNS disorders. Drug Discov. Today Technol. 2013, 10, 269–276. [Google Scholar] [CrossRef] [Green Version]
- Foster, D.J.; Conn, P.J. Allosteric modulation of GPCRs: New Insights and potential utility for treatment of schizophrenia and other CNS disorders. Neuron 2017, 94, 431–446. [Google Scholar] [CrossRef] [Green Version]
- Frangaj, A.; Fan, Q.R. Structural biology of GABAB receptor. Neuropharmacology 2017, 136, 68–79. [Google Scholar] [CrossRef]
- Wootten, D.; Christopoulos, A.; Marti-Solano, M.; Babu, M.M.; Sexton, P.M. Mechanisms of signalling and biased agonism in G protein-coupled receptors. Nat. Rev. Mol. Cell Biol. 2018, 19, 638–653. [Google Scholar] [CrossRef]
- Emery, A.C.; DiRaddo, J.O.; Miller, E.; Hathaway, H.A.; Pshenichkin, S.; Takoudjou, G.R.; Grajkowska, E.; Yasuda, R.P.; Wolfe, B.B.; Wroblewski, J.T. Ligand bias at metabotropic glutamate 1a receptors: Molecular determinants that distinguish-arrestin-mediated from G protein-mediated signaling. Mol. Pharm. 2012, 82, 291–301. [Google Scholar] [CrossRef] [Green Version]
- Sengmany, K.; Gregory, K.J. Metabotropic glutamate receptor subtype 5: Molecular pharmacology, allosteric modulation and stimulus bias: Molecular pharmacology of mGlu5. Br. J. Pharm. 2016, 173, 3001–3017. [Google Scholar] [CrossRef] [Green Version]
- Sturchler, E.; Li, X.; de Lourdes Ladino, M.; Kaczanowska, K.; Cameron, M.; Griffin, P.R.; Finn, M.G.; Markou, A.; McDonald, P. GABAB receptor allosteric modulators exhibit pathway-dependent and species-selective activity. Pharm. Res. Perspect. 2017, 5, e00288. [Google Scholar] [CrossRef]
- Kobayashi, M.; Takei, H.; Yamamoto, K.; Hatanaka, H.; Koshikawa, N. Kinetics of GABAB autoreceptor-mediated suppression of GABA release in rat insular cortex. J. Neurophysiol. 2012, 107, 1431–1442. [Google Scholar] [CrossRef] [Green Version]
- Skeberdis, V.A.; Chevaleyre, V.; Lau, C.G.; Goldberg, J.H.; Pettit, D.L.; Suadicani, S.O.; Lin, Y.; Bennett, M.V.L.; Yuste, R.; Castillo, P.E.; et al. Protein kinase A regulates calcium permeability of NMDA receptors. Nat. Neurosci. 2006, 9, 501–510. [Google Scholar] [CrossRef]
- Bettler, B.; Kaupmann, K.; Mosbacher, J.; Gassmann, M. Molecular structure and physiological functions of GABAB receptors. Physiol. Rev. 2004, 84, 835–867. [Google Scholar] [CrossRef] [Green Version]
- Misgeld, U.; Bijak, M.; Jarolimek, W. A physiological role for GABAB receptors and the effects of baclofen in the mammalian central nervous system. Prog. Neurobiol. 1995, 46, 423–462. [Google Scholar] [CrossRef]
- Tu, H.; Rondard, P.; Xu, C.; Bertaso, F.; Cao, F.; Zhang, X.; Pin, J.-P.; Liu, J. Dominant role of GABAB2 and Gβγ for GABAB receptor-mediated-ERK1/2/CREB pathway in cerebellar neurons. Cell. Signal. 2007, 19, 1996–2002. [Google Scholar] [CrossRef] [Green Version]
- Im, B.-H.; Rhim, H. GABAB receptor-mediated ERK1/2 phosphorylation via a direct interaction with CaV1.3 channels. Neurosci. Lett. 2012, 513, 89–94. [Google Scholar] [CrossRef] [PubMed]
- Terunuma, M. Diversity of structure and function of GABAB receptors: A complexity of GABAB-mediated signaling. Proc. Jpn. Acad. Ser. B 2018, 94, 390–411. [Google Scholar] [CrossRef] [Green Version]
- Fatemi, S.H.; Folsom, T.D.; Thuras, P.D. GABAA and GABAB receptor dysregulation in superior frontal cortex of subjects with schizophrenia and bipolar disorder. Synapse 2017, 71, e21973. [Google Scholar] [CrossRef] [PubMed]
- Heaney, C.F.; Kinney, J.W. Role of GABAB receptors in learning and memory and neurological disorders. Neurosci. Biobehav. Rev. 2016, 63, 1–28. [Google Scholar] [CrossRef] [PubMed]
- Varani, A.P.; Aso, E.; Moutinho, L.M.; Maldonado, R.; Balerio, G.N. Attenuation by baclofen of nicotine rewarding properties and nicotine withdrawal manifestations. Psychopharmacol 2014, 231, 3031–3040. [Google Scholar] [CrossRef] [Green Version]
- Lancaster, E.; Lai, M.; Peng, X.; Hughes, E.; Constantinescu, R.; Raizer, J.; Friedman, D.; Skeen, M.B.; Grisold, W.; Kimura, A.; et al. Antibodies to the GABAB receptor in limbic encephalitis with seizures: Case series and characterisation of the antigen. Lancet Neurol. 2010, 9, 67–76. [Google Scholar] [CrossRef] [Green Version]
- Lin, J.; Li, C.; Li, A.; Liu, X.; Wang, R.; Chen, C.; Zhou, D.; Hong, Z. Encephalitis with antibodies against the GABAB receptor: High mortality and risk factors. Front. Neurol. 2019, 10, 1030. [Google Scholar] [CrossRef] [Green Version]
- Roberts, S.S.; Mendonça-Torres, M.C.; Jensen, K.; Francis, G.L.; Vasko, V. GABA receptor expression in benign and malignant thyroid tumors. Pathol. Oncol. Res. 2009, 15, 645–650. [Google Scholar] [CrossRef]
- Mugnaini, C.; Corelli, F. The allosteric modulation of the GABAB receptor: A medicinal chemistry perspective. In GABAB Receptor; Humana: Totowa, NJ, USA, 2016; p. 385. ISBN 978-3-319-46044-4. [Google Scholar]
- Augier, E.; Dulman, R.S.; Damadzic, R.; Pilling, A.; Hamilton, J.P.; Heilig, M. The GABAB positive allosteric modulator ADX71441 attenuates alcohol self-administration and relapse to alcohol seeking in rats. Neuropsychopharmacology 2017, 42, 1789–1799. [Google Scholar] [CrossRef] [Green Version]
- Varani, A.P.; Pedrón, V.T.; Aon, A.J.; Höcht, C.; Acosta, G.B.; Bettler, B.; Balerio, G.N. Nicotine-induced molecular alterations are modulated by GABA Breceptor activity: GABAB receptors and nicotine. Addict. Biol. 2018, 23, 230–246. [Google Scholar] [CrossRef] [Green Version]
- Cryan, J.F.; Kaupmann, K. Don’t worry ‘B’ happy: A role for GABAB receptors in anxiety and depression. Trends Pharm. Sci. 2005, 26, 36–43. [Google Scholar] [CrossRef] [PubMed]
- File, S.E.; Andrews, N. Handling history of rats modifies behavioural effects of drugs in the elevated plus-maze test of anxiety. Eur. J. Pharm. 1993, 235, 109–112. [Google Scholar]
- Pizzo, R.; O’Leary, O.F.; Cryan, J.F. Elucidation of the neural circuits activated by a GABAB receptor positive modulator: Relevance to anxiety. Neuropharmacology 2017, 136, 129–145. [Google Scholar] [CrossRef] [PubMed]
- Lloyd, K.G.; Thuret, F.; Pilc, A. Upregulation of gamma-aminobutyric acid GABAB binding sites in rat frontal cortex: A common action of repeated administration of different classes of antidepressants and electroshock. J. Pharm. Exp. 1985, 235, 191–199. [Google Scholar]
- Lloyd, K.G.; Pilc, A. Chronic antidepressants and GABA synapses. Neuropharmacology 1984, 23, 841–842. [Google Scholar] [CrossRef]
- Cryan, J.F.; Slattery, D.A. GABAB Receptors and depression: Current status. In Advances in Pharmacology; Elsevier: London, UK, 2010; Volume 58, pp. 427–451. ISBN 978-0-12-378647-0. [Google Scholar]
- Ghose, S.; Winter, M.K.; McCarson, K.E.; Tamminga, C.A.; Enna, S.J. The GABAB receptor as a target for antidepressant drug action: GABAB receptor expression and depression. Br. J. Pharm. 2011, 162, 1–17. [Google Scholar] [CrossRef]
- Lissemore, J.I.; Bhandari, A.; Mulsant, B.H.; Lenze, E.J.; Reynolds, C.F.; Karp, J.F.; Rajji, T.K.; Noda, Y.; Zomorrodi, R.; Sibille, E.; et al. Reduced GABAergic cortical inhibition in aging and depression. Neuropsychopharmacology 2018, 43, 2277–2284. [Google Scholar] [CrossRef]
- Krnjević, K.; Schwartz, S. The action of γ-Aminobutyric acid on cortical neurones. Exp. Brain Res. 1967, 3, 320–336. [Google Scholar] [CrossRef]
- Awapara, J.; Landua, A.J.; Fuerst, R.; Seale, B. Free gamma-aminobutyric acid in brain. J. Biol. Chem. 1950, 187, 35–39. [Google Scholar]
- Brown, K.M.; Roy, K.K.; Hockerman, G.H.; Doerksen, R.J.; Colby, D.A. Activation of the γ-aminobutyric acid type B (GABAB) receptor by agonists and positive allosteric modulators: Miniperspective. J. Med. Chem. 2015, 58, 6336–6347. [Google Scholar] [CrossRef]
- Enna, S. GABAB receptor agonists and antagonists: Pharmacological properties and therapeutic possibilities. Expert Opin. Investig. Drugs 1997, 6, 1319–1325. [Google Scholar] [CrossRef] [PubMed] [Green Version]
- Carter, L.P.; Koek, W.; France, C.P. Behavioral analyses of GHB: Receptor mechanisms. Pharm. 2009, 121, 100–114. [Google Scholar] [CrossRef] [PubMed] [Green Version]
- Van Hout, M.C. A narrative review of the naturally occurring inhibitory neurotransmitter gamma-aminobutyric acid (GABA) called phenibut in dietary supplements. Perform. Enhanc. Health 2018, 6, 33–35. [Google Scholar] [CrossRef]
- Blackburn, T.P.; Bowery, N. (Eds.) GABAB Receptor Pharmacology: A Tribute to Norman Bowery; Elsevier: London, UK, 2010; Volume 58, ISBN 978-0-12-378647-0. [Google Scholar]
- Han, C.; Salyer, A.E.; Kim, E.H.; Jiang, X.; Jarrard, R.E.; Powers, M.S.; Kirchhoff, A.M.; Salvador, T.K.; Chester, J.A.; Hockerman, G.H.; et al. Evaluation of difluoromethyl ketones as agonists of the γ-aminobutyric acid type B (GABAB Receptor). J. Med. Chem. 2013, 56, 2456–2465. [Google Scholar] [CrossRef]
- Sowaileh, M.F.; Salyer, A.E.; Roy, K.K.; John, J.P.; Woods, J.R.; Doerksen, R.J.; Hockerman, G.H.; Colby, D.A. Agonists of the γ-aminobutyric acid type B (GABAB) receptor derived from β-hydroxy and β-amino difluoromethyl ketones. Bioorg. Med. Chem. Lett. 2018, 28, 2697–2700. [Google Scholar] [CrossRef] [PubMed]
- Urwyler, S.; Mosbacher, J.; Lingenhoehl, K.; Heid, J.; Hofstetter, K.; Froestl, W.; Bettler, B.; Kaupmann, K. Positive allosteric modulation of native and recombinant gamma-aminobutyric acid(B) receptors by 2,6-Di-tert-butyl-4-(3-hydroxy-2,2-dimethyl-propyl)-phenol (CGP7930) and its aldehyde analog CGP13501. Mol. Pharm. 2001, 60, 963–971. [Google Scholar] [CrossRef] [Green Version]
- Urwyler, S.; Gjoni, T.; Koljatic, J.; Dupuis, D. Mechanisms of allosteric modulation at GABA receptors by CGP7930 and GS39783: Effects on affinities and efficacies of orthosteric ligands with distinct intrinsic properties. Neuropharmacology 2005, 48, 343–353. [Google Scholar] [CrossRef] [PubMed]
- Addex and Indivior to Accelerate Additional Gabab Pam compounds for Addiction as Indivior Elects to Stop Development of ADX71441. 2019. Available online: https://www.addextherapeutics.com/en/news-and-events/press-releases/addex-and-indivior-accelerate-additional-gabab-pam-compounds-addiction-indivior-elects-stop-development-adx71441/ (accessed on 25 May 2020).
- Schoepp, D.D.; Jane, D.E.; Monn, J.A. Pharmacological agents acting at subtypes of metabotropic glutamate receptors. Neuropharmacology 1999, 38, 1431–1476. [Google Scholar] [CrossRef]
- Smith, J.S.; Lefkowitz, R.J.; Rajagopal, S. Biased signalling: From simple switches to allosteric microprocessors. Nat. Rev. Drug Discov. 2018, 17, 243–260. [Google Scholar] [CrossRef]
- Palczewski, K.; Kumasaka, T.; Hori, T.; Behnke, C.A.; Motoshima, H.; Fox, B.A.; Le Trong, I.; Teller, D.C.; Okada, T.; Stenkamp, R.E.; et al. Crystal structure of rhodopsin: A G protein-coupled receptor. Science 2000, 289, 739–745. [Google Scholar] [CrossRef] [Green Version]
- Shen, P.S. The 2017 Nobel Prize in Chemistry: Cryo-EM comes of age. Anal. Bioanal. Chem. 2018, 410, 2053–2057. [Google Scholar] [CrossRef] [PubMed]
- Sliwoski, G.; Kothiwale, S.; Meiler, J.; Lowe, E.W. Computational methods in drug discovery. Pharm. Rev. 2014, 66, 334–395. [Google Scholar] [CrossRef] [PubMed] [Green Version]
- Martínez-Campos, Z.; Pastor, N.; Pineda-Urbina, K.; Gómez-Sandoval, Z.; Fernández-Zertuche, M.; Razo-Hernández, R.S. In silico structure-based design of GABAB receptor agonists using a combination of docking and QSAR. Chem. Biol. Drug Des. 2019, 94, 1782–1798. [Google Scholar] [CrossRef]
- Naumenko, A.M.; Shapoval, L.M.; Nyporko, A.Y.; Voiteshenko, M.I.; Tsymbalyuk, A.V.; Sagach, V.F.; Davydovska, T.L. Computer simulation of molecular interaction between baclofen and the GABAB receptor. Neurophysiology 2017, 49, 2–7. [Google Scholar] [CrossRef]
- Ibrahim, P.; Clark, T. Metadynamics simulations of ligand binding to GPCRs. Curr. Opin. Struct. Biol. 2019, 55, 129–137. [Google Scholar] [CrossRef]
- De Vivo, M.; Masetti, M.; Bottegoni, G.; Cavalli, A. Role of molecular dynamics and related methods in drug discovery. J. Med. Chem. 2016, 59, 4035–4061. [Google Scholar] [CrossRef]
- Saleh, N.; Ibrahim, P.; Saladino, G.; Gervasio, F.L.; Clark, T. An efficient metadynamics-based protocol to model the binding affinity and the transition state ensemble of G-Protein-coupled receptor ligands. J. Chem. Inf. Model. 2017, 57, 1210–1217. [Google Scholar] [CrossRef] [PubMed] [Green Version]





© 2020 by the authors. Licensee MDPI, Basel, Switzerland. This article is an open access article distributed under the terms and conditions of the Creative Commons Attribution (CC BY) license (http://creativecommons.org/licenses/by/4.0/).
Share and Cite
Evenseth, L.S.M.; Gabrielsen, M.; Sylte, I. The GABAB Receptor—Structure, Ligand Binding and Drug Development. Molecules 2020, 25, 3093. https://doi.org/10.3390/molecules25133093
Evenseth LSM, Gabrielsen M, Sylte I. The GABAB Receptor—Structure, Ligand Binding and Drug Development. Molecules. 2020; 25(13):3093. https://doi.org/10.3390/molecules25133093
Chicago/Turabian StyleEvenseth, Linn Samira Mari, Mari Gabrielsen, and Ingebrigt Sylte. 2020. "The GABAB Receptor—Structure, Ligand Binding and Drug Development" Molecules 25, no. 13: 3093. https://doi.org/10.3390/molecules25133093
APA StyleEvenseth, L. S. M., Gabrielsen, M., & Sylte, I. (2020). The GABAB Receptor—Structure, Ligand Binding and Drug Development. Molecules, 25(13), 3093. https://doi.org/10.3390/molecules25133093

