In Vivo Wound Healing and In Vitro Anti-Inflammatory Activity Evaluation of Phlomis russeliana Extract Gel Formulations
Abstract
1. Introduction
2. Results
2.1. Antioxidant Activity and Total Phenolic Content
2.2. Antimicrobial Activity
2.3. LOX Enzyme Inhibition Assay
2.4. Bioactivity-Guided Fractionation and Chemical Characterization
2.5. Wound Healing, Analgesic and Anti-Inflammatory Activity by Cell Culture Method
2.5.1. Cell Culture
2.5.2. Analgesic and Anti-Inflammatory Activity
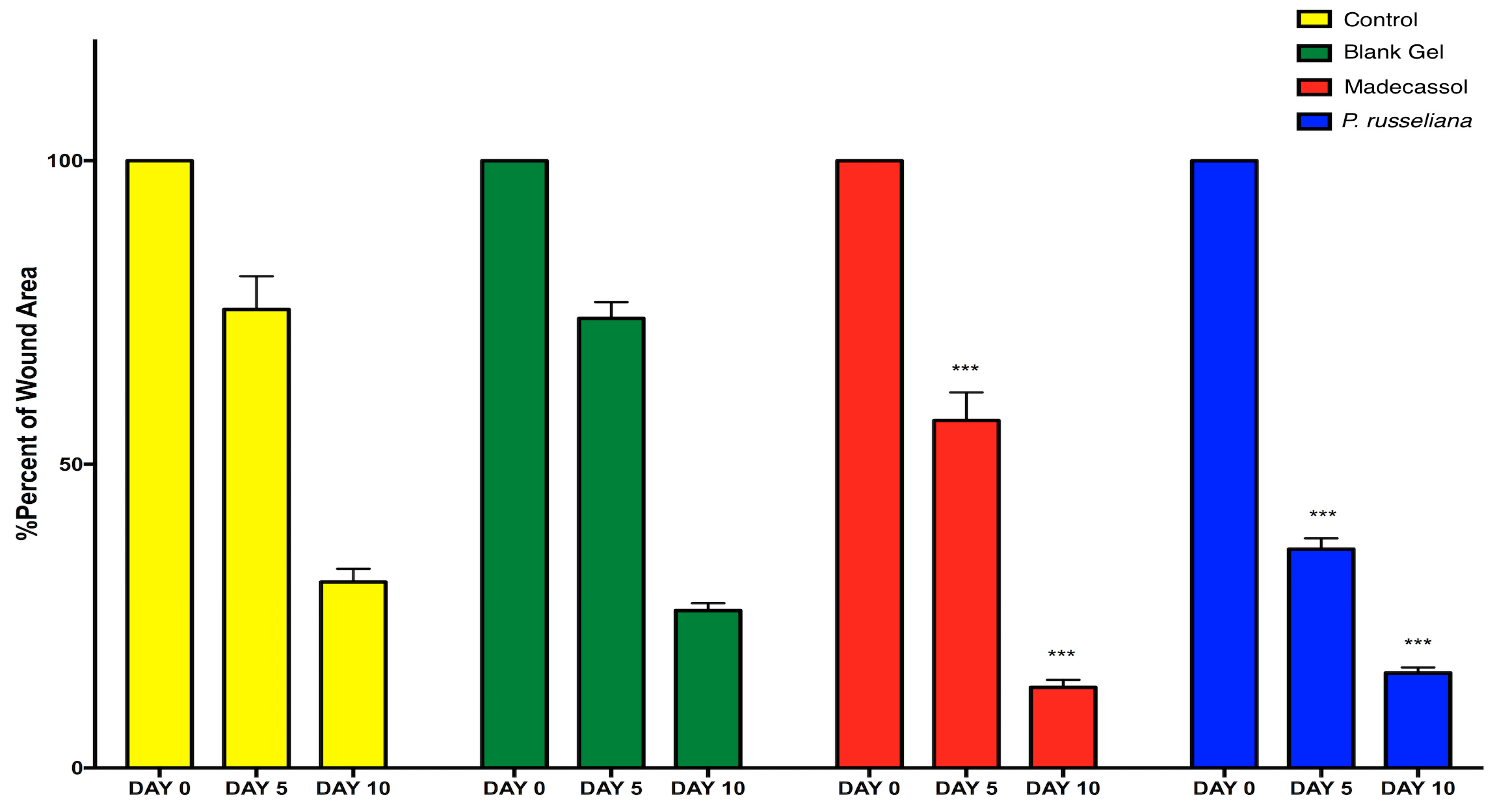
2.6. In Vivo Wound Healing
2.7. Histological Evaluation of Wound Healing
3. Materials and Methods
3.1. Materials
3.2. Plant Material, Extraction, and Bioactivity-Guided Fractionation
3.3. GC-FID and GC/MS Analyses
3.4. In Vitro Biological Assays
3.4.1. Antioxidant Activity and Total Phenolic Content
Radical Scavenging Activity by DPPH Method
ABTS Radical Scavenging Assay
Total Phenolic Content
3.4.2. Antimicrobial Activity
3.4.3. LOX Enzyme Inhibition Assay
3.5. In Vitro Anti-Inflammatory, Analgesic, and Wound Healing Evaluation of P. russeliana MeOH Extract
3.5.1. Cytotoxicity Assay
3.5.2. Anti-Inflammatory Activity
3.5.3. Analgesic Activity
3.6. Preparation of Topical Extract Gel
3.7. In Vivo Experiments
3.7.1. Animals
3.7.2. Wound Model and Experimental Groups
- Untreated (Control) group;
- Blank gel (Vehicle) group;
- P. russeliana extract gel group;
- Madecassol (Bayer, Switzerland, Standard drug) group.
3.7.3. Macroscopic Wound Healing
3.7.4. Histology and Immunohistochemistry
3.7.5. Statistical Analysis
4. Conclusions
Supplementary Materials
Author Contributions
Funding
Acknowledgments
Conflicts of Interest
References
- Akaydin, G.; Şimşek, I.; Arituluk, Z.C.; Yeşilada, E. An ethnobotanical survey in selected towns of the mediterranean subregion (Turkey). Turkish J. Biol. 2013, 37, 230–247. [Google Scholar]
- Amor, I.L.B.; Boubaker, J.; Sgaier, M.B.; Skandrani, I.; Bhouri, W.; Neffati, A.; Kilani, S.; Bouhlel, I.; Ghedira, K.; Chekir-Ghedira, L. Phytochemistry and biological activities of Phlomis species. J. Ethnopharmacol. 2009, 125, 183–202. [Google Scholar] [CrossRef] [PubMed]
- Demirci, B.; Toyota, M.; Demirci, F.; Dadandi, M.Y.; Can Baser, K.H. Anticandidal pimaradiene diterpene from Phlomis essential oils. Comptes Rendus Chim. 2009, 12, 612–621. [Google Scholar] [CrossRef]
- Demirci, F.; Guven, K.; Demirci, B.; Dadandi, M.Y.; Baser, K.H.C. Antibacterial activity of two Phlomis essential oils against food pathogens. Food Control 2008, 19, 1159–1164. [Google Scholar] [CrossRef]
- Kırmızıbekmez, H.; Montoro, P.; Piacente, S.; Pizza, C.; Dönmez, A.; Çalış, İ. Identification by HPLC-PAD-MS and quantification by HPLC-PAD of phenylethanoid glycosides of five Phlomis species. Phytochem. Anal. 2005, 16, 1–6. [Google Scholar] [CrossRef]
- ALpay, M.; Dulger, G.; Sahin, I.E.; Dulger, B. Evaluating antimicrobial and antioxidant capacity of endemic Phlomis russeliana from Turkey and its antiproliferative effect on Human Caco-2 Cell Lines. An. Acad. Bras. Cienc. 2019, 91, e20180404. [Google Scholar] [CrossRef]
- Benbow, M. Wound care: Ensuring a holistic and collaborative assessment. Br. J. Community Nurs. 2011, 16, S6–S16. [Google Scholar] [CrossRef]
- Haque, S.D.; Saha, S.K.; Salma, U.; Nishi, M.K.; Rahaman, M.S. Antibacterial Effect of Aloe vera (Aloe barbadensis) leaf gel against Staphylococcus aureus, Pseudomonas aeruginosa, Escherichia coli and Klebsiella pneumoniae. Mymensingh Med. J. 2019, 28, 490–496. [Google Scholar]
- Amri, B.; Martino, E.; Vitulo, F.; Corana, F.; Kaâb, L.B.-B.; Rui, M.; Rossi, D.; Mori, M.; Rossi, S.; Collina, S. Marrubium vulgare L. Leave Extract: Phytochemical Composition, Antioxidant and Wound Healing Properties. Molecules 2017, 22, 1851. [Google Scholar] [CrossRef]
- Sasidharan, S.; Nilawatyi, R.; Xavier, R.; Latha, L.Y.; Amala, R. Wound Healing Potential of Elaeis guineensis Jacq Leaves in an Infected Albino Rat Model. Molecules 2010, 15, 3186–3199. [Google Scholar] [CrossRef]
- Tanrıverdi, S.T.; Suat, B.; Azizoğlu, E.; Köse, F.A.; Özer, Ö. In-vitro evaluation of dexpanthenol-loaded nanofiber mats for wound healing. Trop. J. Pharm. Res. 2018, 17, 387–394. [Google Scholar] [CrossRef]
- Siafaka, P.I.; Zisi, A.P.; Exindari, M.K.; Karantas, I.D.; Bikiaris, D.N. Porous dressings of modified chitosan with poly(2-hydroxyethyl acrylate) for topical wound delivery of levofloxacin. Carbohydr. Polym. 2016, 143, 90–99. [Google Scholar] [CrossRef] [PubMed]
- Tsala, D.; Nnanga, N.; Ndzana, M.; Mballa, B.; Dimo, T. Evaluation of the antioxidant activity and the healing action of the ethanol extract of Calotropis procera bark against surgical wounds. J. Intercult. Ethnopharmacol. 2015, 4, 64–69. [Google Scholar] [CrossRef] [PubMed]
- Lodhi, S.; Jain, A.P.; Sharma, V.K.; Singhai, A.K. Wound-Healing Effect of Flavonoid-Rich Fraction from Tephrosia purpurea Linn. on Streptozotocin-Induced Diabetic Rats. J. Herbs. Spices Med. Plants 2013, 19, 191–205. [Google Scholar] [CrossRef]
- Tasdemir, D.; Dönmez, A.A.; Çalis, I.; Rüedi, P. Evaluation of biological activity of Turkish plants. Rapid screening for the antimicrobial, antioxidant, and acetylcholinesterase inhibitory potential by TLC bioautographic methods. Pharm. Biol. 2004, 42, 374–383. [Google Scholar] [CrossRef]
- Turker, A.U.; Yildirim, A.B. Evaluation of antibacterial and antitumor activities of some Turkish endemic plants. Trop. J. Pharm. Res. 2013, 12, 1003–1010. [Google Scholar] [CrossRef]
- Guimarães, F.R.; Sales-Campos, H.; Nardini, V.; da Costa, T.A.; Fonseca, M.T.C.; Júnior, V.R.; Sorgi, C.A.; da Silva, J.S.; Chica, J.E.L.; Faccioli, L.H.; et al. The inhibition of 5-Lipoxygenase (5-LO) products leukotriene B4 (LTB 4 ) and cysteinyl leukotrienes (cysLTs) modulates the inflammatory response and improves cutaneous wound healing. Clin. Immunol. 2018, 190, 74–83. [Google Scholar] [CrossRef]
- Brogliato, A.R.; Moor, A.N.; Kesl, S.L.; Guilherme, R.F.; Georgii, J.L.; Peters-Golden, M.; Canetti, C.; Gould, L.J.; Benjamim, C.F. Critical Role of 5-Lipoxygenase and Heme Oxygenase-1 in Wound Healing. J. Investig. Dermatol. 2014, 134, 1436–1445. [Google Scholar] [CrossRef]
- Demetzos, C.; Dimas, K.; Hatziantoniou, S.; Anastasaki, T.; Angelopoulou, D. Cytotoxic and Anti-Inflammatory Activity of Labdane and cis-Clerodane Type Diterpenes. Planta Med. 2001, 67, 614–618. [Google Scholar] [CrossRef]
- Fernández, M.A.; Tornos, M.P.; García, M.D.; de las Heras, B.; Villar, A.M.; Sáenz, M.T. Anti-inflammatory activity of abietic acid, a diterpene isolated from Pimenta racemosa var. grissea. J. Pharm. Pharmacol. 2001, 53, 867–872. [Google Scholar] [CrossRef]
- Demiray, H.; Tabanca, N.; Estep, A.S.; Becnel, J.J.; Demirci, B. Chemical composition of the essential oil and n-hexane extract of Stachys tmolea subsp. Tmolea Boiss., an endemic species of Turkey, and their mosquitocidal activity against dengue vector Aesdes aegypti. Saudi Pharm. J. 2019, 27, 877–881. [Google Scholar] [CrossRef] [PubMed]
- Kıvçak, B.; Akay, S.; Demirci, B.; Başer, K. Pharmaceutical Biology Chemical Composition of Essential Oils from Leaves and Twigs of Pistacia lentiscus, Pistacia lentiscus var. chia, and Pistacia terebinthus from Turkey. Pharm. Biol. 2008, 42, 360–366. [Google Scholar] [CrossRef]
- Gül, S.; Demirci, B.; Başer, K.H.C.; Akpulat, H.A.; Aksu, P. Chemical Composition and In Vitro Cytotoxic, Genotoxic Effects of Essential Oil from Urtica dioica L. Bull. Environ. Contam. Toxicol. 2012, 88, 666–671. [Google Scholar] [CrossRef] [PubMed]
- Silva, R.O.; Sousa, F.B.M.; Damasceno, S.R.B.; Carvalho, N.S.; Silva, V.G.; Oliveira, F.R.M.A.; Sousa, D.P.; Aragão, K.S.; Barbosa, A.L.R.; Freitas, R.M.; et al. Phytol, a diterpene alcohol, inhibits the inflammatory response by reducing cytokine production and oxidative stress. Fundam. Clin. Pharmacol. 2014, 28, 455–464. [Google Scholar] [CrossRef]
- Shi, G.B.; Wang, B.; Wu, Q.; Wang, T.C.; Wang, C.L.; Sun, X.H.; Zong, W.T.; Yan, M.; Zhao, Q.C.; Chen, Y.F.; et al. Evaluation of the wound-healing activity and anti-inflammatory activity of aqueous extracts from Acorus calamus L. Pak. J. Pharm. Sci. 2014, 27, 91–95. [Google Scholar]
- Murthuza, S.; Manjunatha, B.K. In vitro and in vivo evaluation of anti-inflammatory potency of Mesua ferrea, Saraca asoca, Viscum album & Anthocephalus cadamba in murine macrophages raw 264.7 cell lines and Wistar albino rats. Beni-Suef Univ. J. Basic Appl. Sci. 2018, 7, 719–723. [Google Scholar]
- Bechert, K.; Abraham, S.E. Pain Management and Wound Care. J. Am. Col. Certif. Wound Spec. 2009, 1, 65–71. [Google Scholar] [CrossRef]
- Chen, C.S.; Su, W.H.; Cheng, M.H.; Lee, W.L.; Tsou, T.S.; Chang, W.H.; Wang, P.H. Nonsteroidal anti-inflammatory drugs for wounds: Pain relief or excessive scar formation? Mediators Inflamm. 2010, 2010, 1–8. [Google Scholar] [CrossRef]
- Gokce, E.H.; Tuncay Tanrıverdi, S.; Eroglu, I.; Tsapis, N.; Gokce, G.; Tekmen, I.; Fattal, E.; Ozer, O. Wound healing effects of collagen-laminin dermal matrix impregnated with resveratrol loaded hyaluronic acid-DPPC microparticles in diabetic rats. Eur. J. Pharm. Biopharm. 2017, 119, 17–27. [Google Scholar] [CrossRef]
- Okur, M.E.; Karantas, I.D.; Şenyiğit, Z.; Okur, N.Ü.; Siafaka, P.I. Recent trends on wound management; new therapeutic choices based on polymeric carriers. Asian J. Pharm. Sci. 2020. [Google Scholar] [CrossRef]
- Rangaraj, A.; Harding, K.; Leaper, D. Role of collagen in wound management. Wounds UK 2011, 7, 54–63. [Google Scholar]
- Han, G.; Ceilley, R. Chronic Wound Healing: A Review of Current Management and Treatments. Adv. Ther. 2017, 34, 599–610. [Google Scholar] [CrossRef] [PubMed]
- Ayla, Ş.; Günal, M.Y.; Sayin Şakul, A.; Biçeroğlu, Ö.; Özdemir, M.E.; Okur, M.E.; Çiçek Polat, D.; Üstündağ Okur, N.; Bilgiç, B.E. Effects of Prunus spinosa L. fruits on experimental wound healing. Medeni. Med. J. 2017, 32, 152–158. [Google Scholar] [CrossRef]
- Oda, Y.; Kagami, H.; Ueda, M. Accelerating Effects of Basic Fibroblast Growth Factor on Wound Healing of Rat Palatal Mucosa. J. Oral Maxillofac. Surg. 2004, 62, 73–80. [Google Scholar] [CrossRef]
- Blois, M.S. Antioxidant determinations by the use of a stable free radical. Nature 1958, 181, 1199–1200. [Google Scholar] [CrossRef]
- Re, R.; Pellegrini, N.; Proteggente, A.; Pannala, A.; Yang, M.; Rice-Evans, C. Antioxidant activity applying an improved ABTS radical cation decolorization assay. Free Radic. Biol. Med. 1999, 26, 1231–1237. [Google Scholar] [CrossRef]
- Spanos, G.A.; Wrolstad, R.E. Influence of processing and storage on the phenolic composition of Thompson Seedless grape juice. J. Agric. Food Chem. 1990, 38, 1565–1571. [Google Scholar] [CrossRef]
- Karadağ, A.E.; Demirci, B.; Çaşkurlu, A.; Demirci, F.; Okur, M.E.; Orak, D.; Sipahi, H.; Başer, K.H.C. In vitro antibacterial, antioxidant, anti-inflammatory and analgesic evaluation of Rosmarinus officinalis L. flower extract fractions. S. Afr. J. Bot. 2019, 125, 214–220. [Google Scholar] [CrossRef]
- Whitmire, J.M.; Merrell, D.S. Successful Culture Techniques for Helicobacter Species: General Culture Techniques for Helicobacter pylori. Adv. Struct. Saf. Stud. 2012, 921, 17–27. [Google Scholar] [CrossRef]
- Baylac, S.; Racine, P. Inhibition of 5-lipoxygenase by essential oils and other natural fragment extracts. Int. J. Aromather. 2003, 13, 138–142. [Google Scholar] [CrossRef]
- Aydin, A.; Reis, R.; Sipahi, H.; Zeybekoğlu, G.; Çelik, N.; Kırmızıbekmez, H.; Kaklıkkaya, N. Hydroxytyrosol: The Phytochemical Responsible for Bioactivity of Traditionally used Olive Pits. Euroasian J. Hepato-Gastroenterol. 2018, 8, 126–132. [Google Scholar] [CrossRef] [PubMed]
- Kırmızıbekmez, H.; İnan, Y.; Reis, R.; Sipahi, H.; Gören, A.C.; Yeşilada, E. Phenolic compounds from the aerial parts of Clematis viticella L. and their in vitro anti-inflammatory activities. Nat. Prod. Res. 2019, 33, 2541–2544. [Google Scholar] [CrossRef] [PubMed]
- Galeano, M.; Altavilla, D.; Bitto, A.; Minutoli, L.; Calò, M.; Cascio, P.L.; Polito, F.; Giugliano, G.; Squadrito, G.; Mioni, C.; et al. Recombinant human erythropoietin improves angiogenesis and wound healing in experimental burn wounds *. Crit. Care Med. 2006, 34, 1139–1146. [Google Scholar] [CrossRef] [PubMed]
Sample Availability: Samples are available from the authors. |








| Samples | E. coli | S. aureus | S. epidermidis | P. aeruginosa | H. pylori | C. albicans |
|---|---|---|---|---|---|---|
| MeOH extract | >10 | >10 | >10 | 10 | 5 | 10 |
| Amoxicillin | 0.5 | ≤0.125 | 4 | >16 | ≤0.125 | nt |
| Clarithromycin | 0.5 | 0.25 | ≤0.125 | >16 | 0.025 | nt |
| Tetracycline | 16 | 0.25 | >16 | >16 | 0.025 | nt |
| Ketoconazole | nt | nt | nt | nt | nt | 0.25 |
| Samples | IC50 |
|---|---|
| MeOH extract | 23.2 ± 3.9 |
| n-hexane sub-extract | 11.8 ± 1.9 |
| dichloromethane sub-extract | 17.6 ± 2.1 |
| Ethyl acetate sub-extract | 23.9 ± 2.8 |
| Pr-H1 | 43.9 ± 3.9 |
| Pr-H2 | 29.7 ± 2.4 |
| Pr-H3 | 19.3 ± 1.7 |
| Pr-H4 | 23.4 ± 3.1 |
| Pr-H5 | 14.1 ± 2.3 |
| Pr-H6 | 9.9 ± 0.9 |
| Pr-H7 | 11.7 ± 1.8 |
| Pr-H8 | 13.9 ± 3.4 |
| Pr-H9 | 16.5 ± 1.5 |
| Pr-H6.1 | 18.9 ± 2.8 |
| Pr-H6.2 | 17.4 ± 1.6 |
| Pr-H6.3 | 4.1 ± 1.1 |
| Pr-H6.4 | 4.9 ± 1.3 |
| Pr-H6.5 | 13.4 ± 3.1 |
| Pr-H6.6 | 39.1 ± 2.3 |
| NDGA | 3.2 ± 0.9 |
© 2020 by the authors. Licensee MDPI, Basel, Switzerland. This article is an open access article distributed under the terms and conditions of the Creative Commons Attribution (CC BY) license (http://creativecommons.org/licenses/by/4.0/).
Share and Cite
Okur, M.E.; Karadağ, A.E.; Üstündağ Okur, N.; Özhan, Y.; Sipahi, H.; Ayla, Ş.; Daylan, B.; Demirci, B.; Demirci, F. In Vivo Wound Healing and In Vitro Anti-Inflammatory Activity Evaluation of Phlomis russeliana Extract Gel Formulations. Molecules 2020, 25, 2695. https://doi.org/10.3390/molecules25112695
Okur ME, Karadağ AE, Üstündağ Okur N, Özhan Y, Sipahi H, Ayla Ş, Daylan B, Demirci B, Demirci F. In Vivo Wound Healing and In Vitro Anti-Inflammatory Activity Evaluation of Phlomis russeliana Extract Gel Formulations. Molecules. 2020; 25(11):2695. https://doi.org/10.3390/molecules25112695
Chicago/Turabian StyleOkur, Mehmet Evren, Ayşe Esra Karadağ, Neslihan Üstündağ Okur, Yağmur Özhan, Hande Sipahi, Şule Ayla, Benay Daylan, Betül Demirci, and Fatih Demirci. 2020. "In Vivo Wound Healing and In Vitro Anti-Inflammatory Activity Evaluation of Phlomis russeliana Extract Gel Formulations" Molecules 25, no. 11: 2695. https://doi.org/10.3390/molecules25112695
APA StyleOkur, M. E., Karadağ, A. E., Üstündağ Okur, N., Özhan, Y., Sipahi, H., Ayla, Ş., Daylan, B., Demirci, B., & Demirci, F. (2020). In Vivo Wound Healing and In Vitro Anti-Inflammatory Activity Evaluation of Phlomis russeliana Extract Gel Formulations. Molecules, 25(11), 2695. https://doi.org/10.3390/molecules25112695

