CASPT2 Potential Energy Curves for NO Dissociation in a Ruthenium Nitrosyl Complex
Abstract
1. Introduction
2. Results and Discussion
2.1. Previous DFT Results of NO Photodissociation
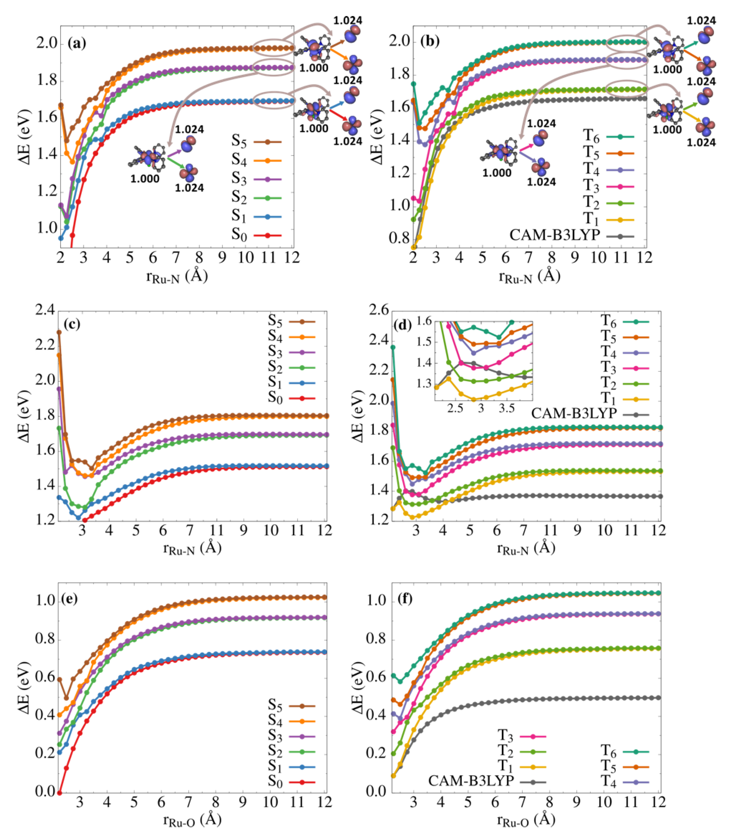
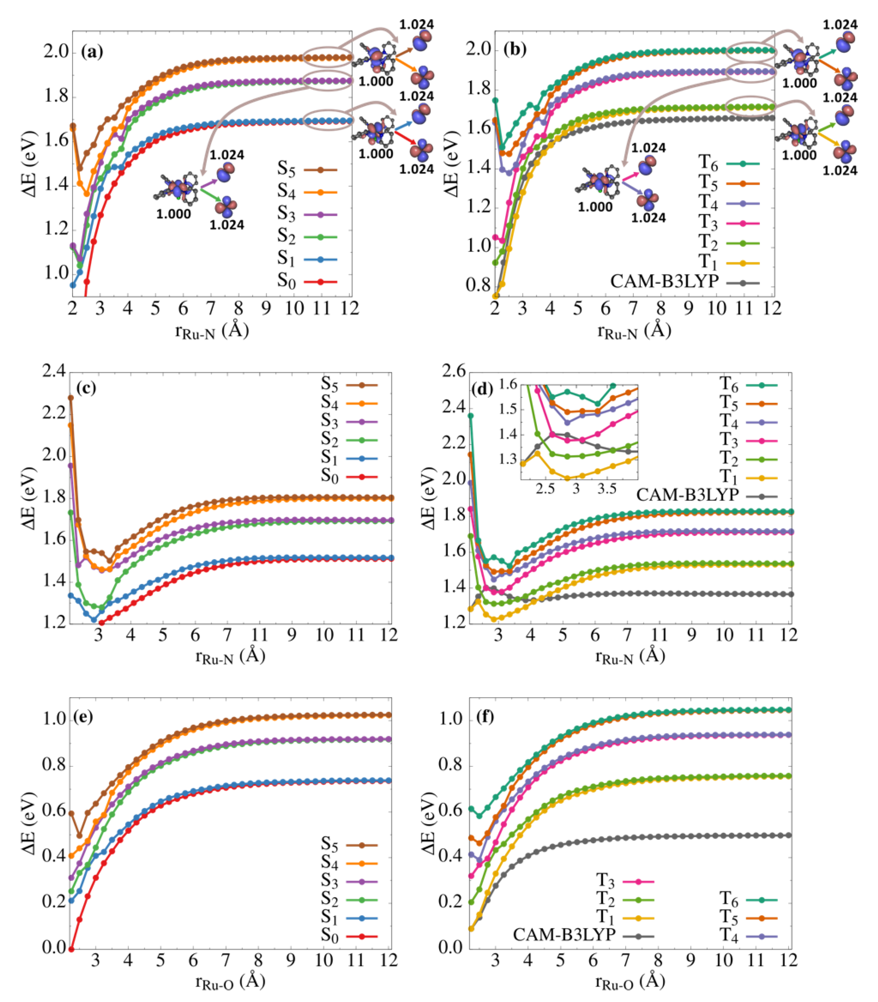
2.2. CASPT2 Results of NO Photodissociation
3. Computational Details
4. Conclusions
Author Contributions
Funding
Acknowledgments
Conflicts of Interest
References
- Woike, T.; Haussühl, S. Infrared-Spectroscopic and Differential Scanning Calorimetric Studies of the Two Light-Induced Metastable States in K2[Ru(NO2)4(OH)(NO)]. Solid State Commun. 1993, 86, 333–337. [Google Scholar] [CrossRef]
- Fomitchev, D.V.; Coppens, P. X-ray Diffraction Analysis of Geometry Changes upon Excitation: The Ground-State and Metastable-State Structures of K2[Ru(NO2)4(OH)(NO)]. Inorg. Chem. 1996, 35, 7021–7026. [Google Scholar] [CrossRef] [PubMed]
- Fomitchev, D.V.; Coppens, P.; Li, T.; Bagley, K.A.; Chen, L.; Richter-Addo, G.B. Photo-induced metastable linkage isomers of ruthenium nitrosyl porphyrins. Chem. Commun. 1999, 2013–2014. [Google Scholar] [CrossRef]
- Da Silva, S.C.; Franco, D.W. Metastable Excited State and Electronic Structure of [Ru(NH3)5NO]3+ and [Ru(NH3)4(OH)NO]2+. Spectrochim. Acta A 1999, 55, 1515–1525. [Google Scholar] [CrossRef]
- Gorelsky, S.I.; Lever, A.B.P. Metastable States of Ruthenium (II) Nitrosyl Complexes and Comparison with [Fe(CN)5NO]2−. Int. J. Quantum Chem. 2000, 80, 636–645. [Google Scholar] [CrossRef]
- Ferlay, S.; Schmalle, H.W.; Francese, G.; Stoeckli-Evans, H.; Imlau, M.; Schaniel, D.; Woike, T. Light-Induced Metastable States in Oxalatenitrosylruthenium(II) and Terpyridinenitrosylruthenium(II) Complexes. Inorg. Chem. 2004, 43, 3500–3506. [Google Scholar] [CrossRef]
- Schaniel, D.; Woike, T.; Boskovic, C.; Güdel, H.-U. Evidence for two light-induced metastable states in Cl3[Ru(NH3)5NO]H2O. Chem. Phys. Lett. 2004, 390, 347–351. [Google Scholar] [CrossRef]
- Zangl, A.; Klüfers, P.; Schaniel, D.; Woike, T. Photoinduced Linkage Isomerism of {RuNO}6 Complexes with Bioligands and Related Chelators. Dalton Trans. 2009, 6, 1034–1045. [Google Scholar] [CrossRef] [PubMed]
- Schaniel, D.; Cormary, B.; Malfant, I.; Valade, L.; Woike, T.; Delley, B.; Krämer, K.W.; Güdel, H.-U. Photogeneration of Two Metastable NO Linkage Isomers with High Populations of up to 76% in trans-[RuCl(py)4(NO)][PF6]2·1/2H2O. Phys. Chem. Chem. Phys. 2007, 9, 3717–3724. [Google Scholar] [CrossRef]
- Cormary, B.; Malfant, I.; Buron-Le Cointe, M.; Toupet, L.; Delley, B.; Schaniel, D.; Mockus, N.; Woike, T.; Fejfarová, K.; Petříček, V.; et al. [Ru(py)4Cl(NO)](PF6)2·0.5H2O: A Model System for Structural Determination and Ab Initio Calculations of Photo-Induced Linkage NO Isomers. Acta Cryst. B 2009, 65, 612–623. [Google Scholar] [CrossRef]
- Cormary, B.; Ladeira, S.; Jacob, K.; Lacroix, P.G.; Woike, T.; Schaniel, D.; Malfant, I. Structural Influence on the Photochromic Response of a Series of Ruthenium Mononitrosyl Complexes. Inorg. Chem. 2012, 51, 7492–7501. [Google Scholar] [CrossRef] [PubMed]
- Khadeeva, L.; Kaszub, W.; Lorenc, M.; Malfant, I.; Buron-Le Cointe, M. Two-Step Photon Absorption Driving the Chemical Reaction in the Model Ruthenium Nitrosyl System [Ru(py)4Cl(NO)](PF6)2·1/2H2O. Inorg. Chem. 2016, 55, 4117–4123. [Google Scholar] [CrossRef]
- Tassé, M.; Mohammed, H.S.; Sabourdy, C.; Mallet-Ladeira, S.; Lacroix, P.G.; Malfant, I. Synthesis, Crystal Structure, Spectroscopic, and Photoreactive Properties of a Ruthenium(II)-Mononitrosyl Complex. Polyhedron 2016, 119, 350–358. [Google Scholar] [CrossRef]
- Mikhailov, A.A.; Wenger, E.; Kostin, G.A.; Schaniel, D. Room-Temperature Photogeneration of Nitrosyl Linkage Isomers in Ruthenium Nitrosyl Complexes. Chem. Eur. J. 2019, 25, 7569–7574. [Google Scholar] [CrossRef] [PubMed]
- Mikhailov, A.; Vuković, V.; Kijatkin, C.; Wenger, E.; Imlau, M.; Woike, T.; Kostin, G.A.; Schaniel, D. Combining Photoinduced Linkage Isomerism and Nonlinear Optical properties in Ruthenium Nitrosyl Complexes. Acta Cryst. 2019, B75, 1152–1163. [Google Scholar] [CrossRef]
- Ford, P.C.; Bourassa, J.; Miranda, K.; Lee, B.; Lorkovic, I.; Boggs, S.; Kudo, S.; Laverman, L. Photochemistry of Metal Nitrosyl Complexes. Delivery of Nitric Oxide to Biological Targets. Coord. Chem. Rev. 1998, 171, 185–202. [Google Scholar] [CrossRef]
- Tfouni, E.; Krieger, M.; McGarvey, B.R.; Franco, D.W. Structure, Chemical and Photochemical Reactivity and Biological Activity of Some Ruthenium Amine Nitrosyl Complexes. Coord. Chem. Rev. 2003, 236, 57–69. [Google Scholar] [CrossRef]
- Szundi, I.; Rose, M.J.; Sen, I.; Eroy-Reveles, A.A.; Mascharak, P.K.; Einarsdóttir, Ó. A New Approach for Studying Fast Biological Reactions Involving Nitric Oxide: Generation of NO Using Photolabile Ruthenium and Manganese NO Donors. Photochem. Photobiol. 2006, 82, 1377–1384. [Google Scholar] [CrossRef]
- Bitterwolf, T.E. Photolysis of [Ru(bipy)2(NO)Cl](PF6)2 in Frozen Ionic Glass Matrices. Evidence for Nitrosyl Linkage Isomerism and NO-Loss in a Physiologically Relevant Nitric Oxide Source. Inorg. Chem. Commun. 2008, 11, 772–773. [Google Scholar] [CrossRef]
- Rose, M.J.; Mascharak, P.K. Photoactive Ruthenium Nitrosyls: Effects of Light and Potential Application as NO Donors. Coord. Chem. Rev. 2008, 252, 2093–2114. [Google Scholar] [CrossRef]
- Rose, M.J.; Fry, N.L.; Marlow, R.; Hink, L.; Mascharak, P.K. Sensitization of Ruthenium Nitrosyls to Visible Light via Direct Coordination of the Dye Resorufin: Trackable NO Donors for Light-Triggered NO Delivery to Cellular Targets. J. Am. Chem. Soc. 2008, 130, 8834–8846. [Google Scholar] [CrossRef] [PubMed]
- Giglmeier, H.; Kerscher, T.; Klüfers, P.; Schaniel, D.; Woike, T. Nitric-Oxide Photorelease and Photoinduced Linkage Isomerism on Solid [Ru(NO)(terpy)(L)]BPh4 (L = glycolate dianion). Dalton Trans. 2009, 9113–9116. [Google Scholar] [CrossRef]
- Ostrowski, A.D.; Ford, P.C. Metal Complexes as Photochemical Nitric Oxide Precursors: Potential Applications in the Treatment of Tumors. Dalton Trans. 2009, 10660–10669. [Google Scholar] [CrossRef]
- Fry, N.L.; Mascharak, P.K. Photoactive Ruthenium Nitrosyls as NO Donors: How to Sensitize Them toward Visible Light. Acc. Chem. Res. 2011, 44, 289–298. [Google Scholar] [CrossRef]
- Akl, J.; Sasaki, I.; Lacroix, P.G.; Malfant, I.; Mallet-Ladeira, S.; Vicendo, P.; Farfán, N.; Santillan, R. Comparative Photo-Release of Nitric Oxide from Isomers of Substituted Terpyridinenitrosyl-Ruthenium(II) Complexes: Experimental and Computational Investigations. Dalton Trans. 2014, 43, 12721–12733. [Google Scholar] [CrossRef]
- deBoer, T.R.; Mascharak, P.K. Recent Progress in Photoinduced NO Delivery with Designed Ruthenium Nitrosyl Complexes. Adv. Inorg. Chem. 2015, 67, 145–170. [Google Scholar]
- Enriquez-Cabrera, A.; Sasaki, I.; Bukhanko, V.; Tassé, M.; Mallet-Ladeira, S.; Lacroix, P.G.; Barba-Barba, R.M.; Ramos-Ortiz, G.; Farfán, N.; Voitenko, Z.; et al. Replacing Two Chlorido Ligands by a Bipyridine Ligand in Ruthenium Nitrosyl Complexes with NO-Release Capabilities: A Comparative Study. Eur. J. Inorg. Chem. 2017, 1446–1456. [Google Scholar] [CrossRef]
- Amabilino, S.; Tassé, M.; Lacroix, P.G.; Mallet-Ladeira, S.; Pimienta, V.; Akl, I.; Sasaki, I.; Malfant, I. Photorelease of Nitric Oxide (NO) on Ruthenium Nitrosyl Complexes with Phenyl Substituted Terpyridines. New J. Chem. 2017, 41, 7371–7383. [Google Scholar] [CrossRef]
- Enriquez-Cabrera, A.; Lacroix, P.G.; Sasaki, I.; Mallet-Ladeira, S.; Farfán, N.; Barba-Barba, R.M.; Ramos-Ortiz, G.; Malfant, I. Comparison of Carbazole and Fluorene Donating Effects on the Two-Photon Absorption and Nitric Oxide Photorelease Capabilities of a Ruthenium-Nitrosyl Complex. Eur. J. Inorg. Chem. 2018, 531–543. [Google Scholar] [CrossRef]
- Roose, M.; Tassé, M.; Lacroix, P.G.; Malfant, I. Nitric Oxide (NO) Photo-Release in a Series of Ruthenium-Nitrosyl Complexes: New Experimental Insights in the Search for a Comprehensive Mechanism. New J. Chem. 2019, 43, 755–767. [Google Scholar] [CrossRef]
- Mai, S.; González, L. Molecular Photochemistry: Recent Developments in Theory. Angew. Chem. Int. Ed. 2020. [Google Scholar] [CrossRef]
- Kutateladze, A.G. Computational Methods in Photochemistry; CRC Press: Boca Raton, FL, USA, 2005. [Google Scholar]
- Olivucci, M. Computational Photochemistry; Elsevier: Amsterdam, The Netherlands, 2005. [Google Scholar]
- Garavelli, M. Computational Organic Photochemistry: Strategy, Achievements and Perspectives. Theor. Chem. Acc. 2006, 116, 87–105. [Google Scholar] [CrossRef]
- Robb, M.A. Theoretical Chemistry for Electronic Excited States; Theoretical and Computational Chemistry Series; The Royal Society of Chemistry: London, UK, 2018. [Google Scholar] [CrossRef]
- Daniel, C.; Gourlaouen, C. Chemical Bonding Alteration Upon Electronic Excitation in Transition Metal Complexes. Coord. Chem. Rev. 2017, 344, 131–149. [Google Scholar] [CrossRef]
- Ciofini, I.; Daul, C.A.; Adamo, C. Phototriggered Linkage Isomerization in Ruthenium-Dimethylsulfoxyde Complexes: Insights from Theory. J. Phys. Chem. A 2003, 107, 11182–11190. [Google Scholar] [CrossRef]
- Göttle, A.J.; Dixon, I.M.; Alary, F.; Heully, J.-L.; Boggio-Pasqua, M. Adiabatic Versus Nonadiabatic Photoisomerization in Photochromic Ruthenium Sulfoxide Complexes: A Mechanistic Picture from Density Functional Theory Calculations. J. Am. Chem. Soc. 2011, 133, 9172–9174. [Google Scholar] [CrossRef]
- Vieuxmaire, O.P.J.; Piau, R.E.; Alary, F.; Heully, J.-L.; Sutra, P.; Igau, A.; Boggio-Pasqua, M. Theoretical Investigation of Pphosphinidene Oxide Polypyridine Ruthenium(II) Complexes: Toward the Design of a New Class of Photochromic Compounds. J. Phys. Chem. A 2013, 117, 12821–12830. [Google Scholar] [CrossRef]
- Göttle, A.J.; Alary, F.; Dixon, I.M.; Heully, J.-L.; Boggio-Pasqua, M. Unravelling the S→O Linkage Photoisomerization Mechanisms in cis- and trans-[Ru(bpy)2(DMSO)2]2+ Using Ddensity Functional Theory. Inorg. Chem. 2014, 53, 6752–6760. [Google Scholar] [CrossRef]
- Li, H.; Zhang, L.; Wang, Y.; Fan, X. Theoretical Studies on the Photoisomerization Mechanism of Osmium(II) Sulfoxide Complexes. RSC Adv. 2015, 5, 58580–58586. [Google Scholar] [CrossRef]
- Li, H.; Zhang, L.; Zheng, I.; Li, X.; Fan, X.; Zhao, Y. Photoisomerization Mechanism of Ruthenium Sulfoxide Complexes: Role of the Metal-Centered Excited State in the Bond Rupture and Bond Construction Processes. Chem. Eur. J. 2016, 22, 14285–14292. [Google Scholar] [CrossRef]
- Sanz García, J.; Alary, F.; Boggio-Pasqua, M.; Dixon, I.M.; Malfant, I.; Heully, J.-L. Establishing the Two-Photon Linkage Isomerization Mechanism in the Nitrosyl Complex trans-[RuCl(NO)(py)4]2+ by DFT and TDDFT. Inorg. Chem. 2015, 54, 8310–8318. [Google Scholar] [CrossRef]
- Sanz García, J.; Talotta, F.; Alary, F.; Dixon, I.M.; Heully, J.-L.; Boggio-Pasqua, M. A Theoretical Study of the N to O Linkage Photoisomerization Efficiency in a Series of Ruthenium Mononitrosyl Complexes. Molecules 2017, 22, 1667. [Google Scholar] [CrossRef] [PubMed]
- Talotta, F.; Heully, J.-L.; Alary, F.; Dixon, I.M.; González, L.; Boggio-Pasqua, M. Linkage Photoisomerization Mechanism in a Photochromic Ruthenium Nitrosyl Complex: New Insights from an MS-CASPT2 Study. J. Chem. Theory Comput. 2017, 13, 6120–6130. [Google Scholar] [CrossRef] [PubMed]
- Ignarro, L.J. Nitric Oxide: Biology and Pathobiology; Academic Press: San Diego, CA, USA, 2000. [Google Scholar]
- Heilman, B.; Mascharak, P.K. Light-Triggered Nitric Oxide Delivery to Malignant Sites and Infection. Phil. Trans. R. Soc. A 2013, 371, 20120368. [Google Scholar] [CrossRef][Green Version]
- Sasaki, I.; Amabilino, S.; Mallet-Ladeira, S.; Tassé, M.; Sournia-Saquet, A.; Lacroix, P.G.; Malfant, I. Further Studies on the Photoreactivities of Ruthenium-Nitrosyl Complexes with Terpyridyl Ligands. New. J. Chem. 2019, 43, 11241–11250. [Google Scholar] [CrossRef]
- Freitag, L.; González, L. Theoretical Spectroscopy and Photodynamics of a Ruthenium Nitrosyl Complex. Inorg. Chem. 2014, 53, 6415–6426. [Google Scholar] [CrossRef]
- Sanz García, J.; Alary, F.; Boggio-Pasqua, M.; Dixon, I.M.; Heully, J.-L. Is Photoisomerization Required for NO Photorelease in Ruthenium Nitrosyl Complexes? J. Mol. Model. 2016, 22, 284. [Google Scholar] [CrossRef]
- de Lima Batista, A.P.; de Oliveira-Filho, A.G.S.; Galembeck, S.E. Photophysical Properties and the NO Photorelease Mechanism of a Ruthenium Nitrosyl Complex Investigated Using the CASSCF-in-DFT Embedding Approach. Phys. Chem. Chem. Phys. 2017, 19, 13860–13867. [Google Scholar] [CrossRef]
- De Candia, A.G.; Marcolongo, J.P.; Etchenique, R.; Slep, L.D. Widely Differing Photochemical Behavior in Related Octahedral {Ru-NO}6 Compounds: Intramolecular Redox Isomerism of the Excited State Controlling the Photodelivery of NO. Inorg. Chem. 2010, 49, 6925–6930. [Google Scholar] [CrossRef]
- Talotta, F.; Boggio-Pasqua, M.; González, L. Early Steps of the Ultrafast Photoisomerization Dynamics of trans-[RuCl(NO)(py)4]2+. Chem. Eur. J. 2020. [Google Scholar] [CrossRef]
- Freitag, L.; Knecht, S.; Keller, S.F.; Delcey, M.G.; Aquilante, F.; Pedersen, T.B.; Lindh, R.; Reiher, M.; González, L. Orbital Entanglement and CASSCF Analysis of the Ru–NO Bond in a Ruthenium Nitrosyl Complex. Phys. Chem. Chem. Phys. 2015, 17, 14383–14392. [Google Scholar] [CrossRef]
- Yanai, T.; Tew, D.P.; Handy, N.C. A New Hybrid Exchange–Correlation Functional using the Coulomb-Attenuating Method (CAM-B3LYP). Chem. Phys. Lett. 2004, 393, 51–57. [Google Scholar] [CrossRef]
- Weigend, F.; Ahlrichs, R. Balanced Basis Sets of Split Valence, Triplet Zeta Valence and Quadruple Zeta Valence Quality for H to Rn: Design and Assessment of Accuracy. Phys. Chem. Chem. Phys. 2005, 7, 3297–3305. [Google Scholar] [CrossRef] [PubMed]
- Andrae, D.; Häußermann, U.; Dolg, M.; Stoll, H.; Preuß, H. Energy-Adjusted Ab Initio Pseudopotentials for the Second and Third Row Transition Elements. Theor. Chim. Acta 1990, 77, 123–141. [Google Scholar] [CrossRef]
- Granovsky, A.A. Extended Multi-Configuration Quasi-Degenerate Perturbation Theory: The New Approach to Multi-State Multi-Reference Perturbation Theory. J. Chem. Phys. 2011, 134, 214113. [Google Scholar] [CrossRef]
- Galván, I.F.; Vacher, M.; Alavi, A.; Angeli, C.; Aquilante, F.; Autschbach, J.; Bao, J.J.; Bokarev, S.I.; Bogdanov, N.A.; Carlson, R.K.; et al. OpenMolcas: From Source Code to Insight. J. Chem. Theory Comput. 2019, 15, 5925–5964. [Google Scholar]
- Roos, B.O.; Malmqvist, P.-Å.; Veryazov, V.; Widmark, P.-O. New Relativistic ANO Basis Sets for Transition Metal Atoms. J. Phys. Chem. A 2005, 109, 6575–6579. [Google Scholar] [CrossRef]
- Roos, B.O.; Lindh, R.; Malmqvist, P.-Å.; Veryazov, V.; Widmark, P.-O. Main Group Atoms and Dimers Studied with a New Relativistic ANO Basis Set. J. Phys. Chem. A 2004, 108, 2851–2858. [Google Scholar] [CrossRef]
- Ghigo, G.; Roos, B.O.; Malmqvist, P.-Å. A Modified Definition of the Zeroth-Order Hamiltonian in Multiconfigurational Perturbation Theory (CASPT2). Chem. Phys. Lett. 2004, 396, 142–149. [Google Scholar] [CrossRef]
- Zobel, J.P.; Nogueira, J.J.; González, L. The IPEA Dilemma in CASPT2. Chem. Sci. 2017, 8, 1482–1499. [Google Scholar] [CrossRef]
- Frisch, M.J.; Trucks, G.W.; Schlegel, H.B.; Scuseria, G.E.; Robb, M.A.; Cheeseman, J.R.; Scalmani, G.; Barone, V.; Petersson, G.A.; Nakatsuji, H.; et al. Gaussian 09, Revision D.01; Gaussian, Inc.: Wallingford, CT, USA, 2009. [Google Scholar]
Sample Availability: Samples of the compounds are not available from the authors. |





© 2020 by the authors. Licensee MDPI, Basel, Switzerland. This article is an open access article distributed under the terms and conditions of the Creative Commons Attribution (CC BY) license (http://creativecommons.org/licenses/by/4.0/).
Share and Cite
Talotta, F.; González, L.; Boggio-Pasqua, M. CASPT2 Potential Energy Curves for NO Dissociation in a Ruthenium Nitrosyl Complex. Molecules 2020, 25, 2613. https://doi.org/10.3390/molecules25112613
Talotta F, González L, Boggio-Pasqua M. CASPT2 Potential Energy Curves for NO Dissociation in a Ruthenium Nitrosyl Complex. Molecules. 2020; 25(11):2613. https://doi.org/10.3390/molecules25112613
Chicago/Turabian StyleTalotta, Francesco, Leticia González, and Martial Boggio-Pasqua. 2020. "CASPT2 Potential Energy Curves for NO Dissociation in a Ruthenium Nitrosyl Complex" Molecules 25, no. 11: 2613. https://doi.org/10.3390/molecules25112613
APA StyleTalotta, F., González, L., & Boggio-Pasqua, M. (2020). CASPT2 Potential Energy Curves for NO Dissociation in a Ruthenium Nitrosyl Complex. Molecules, 25(11), 2613. https://doi.org/10.3390/molecules25112613

