Abstract
We report studies on radical-initiated fragmentations of model 1,5-dideoxyhomoribofuranose derivatives with bromo, chloro, and tosyloxy substituents on C2. The effects of stereochemical inversion at C2 were probed with the corresponding arabino epimers. In all cases, the elimination of bromide, chloride, and tosylate anions occurred when the 3-hydroxyl group was unprotected. The isolation of deuterium-labeled furanone products established heterolytic cleavage followed by the transfer of deuterium from labeled tributylstannane. In contrast, 3-O-methyl derivatives underwent the elimination of bromine or chlorine radicals to give the 2,3-alkene with no incorporation of label in the methyl vinyl ether. More drastic fragmentation occurred with both of the 3-O-methyl-2-tosyloxy epimers to give an aromatized furan derivative with no deuterium label. Contrasting results observed with the present anhydroalditol models relative to our prior studies with analogously substituted nucleoside models have demonstrated that insights from biomimetic chemical reactions can provide illumination of mechanistic pathways employed by ribonucleotide reductases (RNRs) and the MoaA enzyme involved in the biosynthesis of molybdopterin.
1. Introduction
Ribonucleotide reductases (RNRs) effect conversion of nucleoside 5′-(di- or tri)phosphates into their 2′-deoxy counterparts and thereby provide the only de novo access to the monomeric precursors for DNA replication and repair [1]. Depletion of these crucial deoxynucleotide pools by inhibition of RNRs presents an inviting approach for rational drug design [2,3]. Mechanism-based inactivation of RNRs has been observed with 2′-chloro [4] and 2′-azido [5,6,7,8] analogues of pyrimidine nucleoside 5′-(di- or tri)phosphates, and the potent inactivator 2′-deoxy-2′,2′-difluorocytidine (gemcitabine) is a primary drug for the treatment of pancreatic and non-small cell lung cancers [2,3,9,10].
Abstraction of H3′ from the ribosyl moiety of the substrate in A (Figure 1, X = OH) by a thiyl radical (•SCys439) to give B (X = OH) is the postulated initial step of the RNR-catalyzed deoxygenation of ribonucleotides [1]. Enzyme-assisted loss of water from C2′ in B would produce the 3′-keto C2′ radical in C, and further electron and hydrogen-atom transfers via D and E would complete the conversion of substrate into the product 2′-deoxynucleotide in F [11,12].
Figure 1.
Mechanisms proposed for reduction of ribonucleoside diphosphates and inactivation of RDPRs by 2′-chloro analogues [1].
Abstraction of H3′ from a 2′-chloro-2′-deoxynucleotide inactivator was proposed to convert A (X = Cl) to B (X = Cl). Spontaneous loss of chloride in B (X = Cl) followed by hydrogen transfer from the thiol to C2′ in C and electron transfer to the dithiol would produce the identical 3′-keto-2′-deoxynucleotide in D as with the substrate nucleotide [1,4,6]. Changes at the active site caused by the loss of Cl− and H+ from the inactivator (rather than enzyme-assisted removal of H2O from the substrate) were invoked to rationalize its dissociation from D of the enzyme. Successive β-eliminations of B(ase) and pyrophosphate would generate 2-methylene-3(2H)-furanone (G), a Michael acceptor, which could affect covalent alkylating of the RNR and cause mechanism-based inactivation. Incubation of gemcitabine 5′-diphosphate with RDPRs (ribonucleoside diphosphate reductases) caused inactivation of both of the R1 and R2 subunits [13,14,15,16,17].
The initial mechanistic steps are compatible with theoretical modeling studies [18,19], with the biomimetic chemical experiments reported by Giese [20] and Robins [21,22], and with Stubbe’s enzymatic studies with gemcitabine [13,14,15,16,17] and 2′-deoxy-2′-fluoromethylenecytidine [23,24]. However, the detection of ribosyl-based radicals during RNR-catalyzed deoxygenation of substrates remained elusive [25]. Two sets of EPR signals were observed during kinetic studies with the E441Q mutant of E. coli class I RDPR and cytidine 5′-diphosphate [26]. Signals attributed to the initially detected radical were consistent with those from a disulfide radical anion [27], and those from the second were compatible with appearance of a nucleotide-based radical of the semidione type [28]. The latter-type of signals was observed during the inactivation of RNR by gemcitabine nucleotides [16].
Giese [20] and Robins [21,22] designed chemical models to simulate such initiation/elimination cascades that begin with the generation of a C3′ radical during the reduction and mechanism-based inactivation mediated by RDPRs. Lenz and Giese employed photochemical fragmentation of adenosine 3′-selenoesters in aqueous methanol to generate C3′ radicals containing a 3′-hydroxyl group. The addition of an acetate buffer to the photolysis solution enhanced the rate of cleavage of water from C2′ as predicted for base-promoted assistance by an enzymatic carboxylate group [20]. Robins et al. designed 6′-O-nitro-2′-substituted homonucleoside derivatives that produced 6′-oxyl radicals upon treatment with tributylstannane/AIBN. The O6′ radicals were positioned to abstract H3′ with the generation of C3′ radicals containing a 3′-hydroxyl group. Fragmentation of a 2′-O-tosyl derivative occurred by anionic elimination [29], whereas a 2′-chloro analogue fragmented by a radical elimination pathway [30]. Nucleoside derivatives with a 2′-(azido, bromo, chloro, iodo, or methylthio) group also underwent elimination of a radical species upon generation of a radical center at C3′ [31].
Begley recently reported trapping of intermediates in the MoaA-catalyzed biosynthesis of molybdopterin using 2′-deoxyguanosine 5′-triphosphate and its 2′-chloro-2′-deoxy derivative as alternative substrate analogs [32]. A 5′-deoxyadenosyl radical cofactor abstracts H3′ from the GTP substrate (and also from the 2′-chloro ribo analog) with generation of C3′ radicals containing a 3′-hydroxyl group. The homolytic elimination of chlorine from C2′ would give the 2′,3′-enol, and β-eliminations of triphosphate and guanine would produce 2-methylene-3(2H)furanone (G, Figure 1) as described by us in 1996 [30].
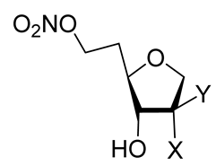
Herein, we report that 1,5-dideoxyhomoribofuranose derivatives containing a 3-hydroxyl group with a bromo, chloro, or tosylate substituent at C2 fragment with loss of bromide, chloride, or tosylate anions upon generation of a radical center at C3. The ionic fragmentations of both ribo and arabino epimers were essentially equivalent. These model reactions provide additional experimental data that allow further illumination of mechanisms employed by ribonucleotide reductases [18,19] and the MoaA enzyme [32] involved in molybdopterin biosynthesis.
2. Results
2.1. Synthesis of 1,4-Anhydrohexitol Models
Methyl 5-deoxy-2,3-O-isopropylidene-β-D-ribo-hexofuranoside (1, Scheme 1) was prepared efficiently in 7 steps (~40% overall yield) from 1,2-O-isopropylidene-α-D-glucose [29]. Benzoylation of 1 and anomeric deoxygenation of 2 (BF3•OEt2/Et3SiH) [33,34] gave a mixture of 4 and 3 (partial loss of the isopropylidene group). Reprotection of 3 gave the 1,4-anhydroalditol [35] 4 (44% overall from 1). Successive debenzoylation of 4, iodination of 5, and deprotection of 6 gave 6-iodo furanitol 7 (53% from 4). Nitrate displacement of iodide from 7 (AgNO3/CH3CN) gave 1,4-anhydro-5-deoxy-6-O-nitro-D-ribo-hexitol (8, 89%). Tin-mediated tosylation [36] of 8 gave a regioisomeric mixture from which the major 2-O-tosyl isomer 9 (48%) was isolated.
Scheme 1.
Reagents and Conditions: (a) BzCl/Et3N/CH2Cl2/0 °C; (b) Et3SiH (3 equiv)/BF3•OEt2/CH2Cl2; (c) TsOH/acetone/2,2-dimethoxypropane; (d) KOH/MeOH; (e) Ph3P/I2/imidazole/toluene/Δ; (f) HCl/H2O/MeOH; (g) AgNO3 (2 equiv)/CH3CN/rt/48 h; (h) Bu2SnO/TsCl (6 equiv)/Et3N/MeOH.
Tin-mediated benzylation of 8 with p-methoxybenzyl (PMB) chloride gave a mixture from which the 3-O-PMB regioisomer 10 (Scheme 2) was isolated. Tosylation of 10 followed by removal of the PMB group from 15 (ceric ammonium nitrate (CAN)) gave an alternative route to 9 (54% from 10). Mitsunobu chlorination of 10 (freshly prepared HCl•pyridine) gave the protected 2-chloro-arabino-hexofuranose 11 (62%). Analogous bromination of 10 with freshly prepared HBr•pyridine gave the 2-bromo product 12 (49%). Debenzylation of 11 and 12 (CAN) gave 13 (78%) and 14 (79%), respectively.
Scheme 2.
Reagents and Conditions: (a) Bu2SnO (1.1 equiv)/PMBCl (2 equiv)/DMF/Δ; (b) Ph3P/DIAD/pyridine•HCl (3 equiv) or pyridine•HBr (1.5 equiv)/THF/rt/22 h; (c) TsCl/pyridine/rt/16 h; (d) Ph3P/DIAD/BzOH/THF/−50 °C; (e) CAN (3 equiv)/MeCN/H2O/rt/22 h; (f) KOH/MeOH; (g) TfCl (1.2 equiv)/DMAP (2.5 equiv)/CH2Cl2/0 ˚C/1 h; (h) LiCl (5 equiv/rt/5 h) or LiBr (5.5 equiv/rt/7 h)/DMF.
The 2-chloro and 2-bromo-D-ribo-hexofuranoses 20 and 22 (Scheme 2) were prepared from 10 by double inversion. Mitsunobu treatment of 10 (BzOH) produced the 2-O-benzoyl-D-arabino-hexofuranose 16a. Debenzoylation of 16a and treatment of 16b with TfCl/DMAP gave the reasonably stable triflate 17b. Displacement of triflate (LiCl or LiBr) and debenzylation (CAN) of the resulting 19 or 21 gave the 2-chloro or 2-bromo-D-ribo-hexofuranose 20 or 22. Tosylation of 16b followed by debenzylation of 17a gave the 2-O-tosyl-arabino product 18.
Tin-mediated methylation of 8 produced 23 and 24 (Scheme 3) and the major 3-O-methyl isomer 23 (38%) was isolated and tosylated to give the ribo tosylate 25. Mitsunobu treatment of 23 (BzOH), debenzoylation of 26, and tosylation of 27 gave arabino tosylate 30. Mitsunobu halogenations of 23 gave the 3-O-methyl-D-arabino 2-chloro 28 and 2-bromo 29 analogues. Triflation of 27 and displacement of triflate from 31 with LiCl or LiBr gave the ribo 2-chloro 32 and 2-bromo 33 compounds.
Scheme 3.
Reagents and Conditions: (a) Bu2SnO/MeI/DMF/Δ; (b). TsCl/pyridine; (c) Ph3P/DIAD/BzCl/THF/50 °C; (d) Ph3P/DIAD/pyridine•HCl or pyridine•HBr (1.5 equiv)/THF/rt/18 h; (e) KOH/MeOH; (f) TfCl/DMAP/CH2Cl2/0 °C; (g) LiCl (5 equiv) or LiBr (3 equiv)/DMF/rt/5 h.
2.2. Radical Generation Studies
Treatment of the 6-O-nitro-2-O-tosyl ribo compound 9 with Bu3SnH/AIBN/toluene/95 °C for 1 h gave an equilibrating mixture of the 3-oxo product 34a [(R)-2-(2-hydroxyethyl)-3(2H)-dihydrofuranone] and its cyclic hemiacetal 35a (66%, ~1:1; 1H and 13C NMR) (Scheme 4). A minor amount (19%) of the 6-hydroxy-2-O-tosyl byproduct resulting from hydrogen transfer to the 6-oxyl radical without elimination of tosylate also was isolated (Table 1, entry 1, footnote d). The 13C NMR spectrum of the mixture had a signal for the carbonyl carbon of 34a at 215.9 ppm and one for the hemiacetal carbon of 35a at 114.9 ppm. Analogous treatment of 9 with Bu3SnD gave the 2-deuterio epimers (2R/S, ~1:1) of 34b/35b (71%, ~1:1; entry 2). The 1H NMR spectrum of 34b/35b corresponded to that of 34a/35a with ~50% reduction of the integrated intensity for the H2/2′ signals and simplification of the H1/1′ signals. The 13C NMR spectrum of 34b/35b showed triplets from splitting with deuterium (1:1:1 intensity) at 36.7 and 38.9 ppm for C2. MS and HRMS spectra showed ~95% incorporation of deuterium. Benzoylation of the 34a/35a mixture provided a stable ketone benzoate 36a, and benzoylation of 34b/35b gave 36b (2-deuterio epimers).
Scheme 4.
Biomimetic studies with 6-O-nitro-1,4-anhydrohexitols.
Table 1.
Products from 6-O-nitro-1,4-anhydrohexitols a.
The role of the proton on the 3-hydroxyl group was probed. Treatment of the 3-O-methyl-6-O-nitro-2-O-tosyl ribo substrate 25 produced 2-(2-hydroxyethyl)-3-methoxyfuran (37, 63%) plus the 6-hydroxy byproduct 38 (22%) (Scheme 5; Table 2, entry 1). Treatment of 25 with Bu3SnD gave 37 and 38 with no incorporation of deuterium (entry 2) and no epimerization at C3 [37]. Tosylate 25 was thermally stable in toluene at 95 °C. Treatment of the arabino 3-O-methyl-2-O-tosyl substrate 30 with Bu3SnH gave 37 (51%) plus byproduct 39 (38%) (entry 7). Treatment of 30 with Bu3SnD produced 37 and 39 without incorporation of deuterium or epimerization at C3 (entry 8).
Scheme 5.
Biomimetic studies with 3-O-methyl-6-O-nitro-1,4-anhydrohexitols. Reagents and Conditions: (a) Bu3SnH(D)/AIBN/toluene/95 °C.
Table 2.
Products from 3-O-methyl-6-O-nitro-1,4-anhydrohexitols a.
Treatment of the 3-O-methyl-2-chloro (32) and 2-bromo (33) ribo substrates with Bu3SnD resulted in formation of vinyl ether 40 with no incorporation of deuterium (entries 3 and 4). The 13C NMR spectrum of 40 had olefinic signals at 90.2 and 157.7 ppm, and the 1H NMR spectrum had olefinic proton signals at 4.60–4.70 ppm. Treatment of the arabino 3-O-methyl-2-chloro (28) and bromo (29) compounds with Bu3SnD also resulted in elimination of a halogen atom to give vinyl ether 40 with no incorporation of deuterium (entries 5 and 6).
Similar treatment of the 2-chloro (20) and 2-bromo (22) ribo analogs produced the same keto/hemiacetal mixture (34a/35a, ~1:1; 81%, entry 3; and 64%, entry 5). Treatment of 20 (and 22) with Bu3SnD gave 34b/35b as 2(R/S)-deuterio epimers (entries 4 and 6). Toluene solutions of 9, 20, and 22 (without Bu3SnH or AIBN) were heated independently at 95 °C for 4 h (also at 110 °C). Unchanged starting materials were recovered almost quantitatively, which confirmed their thermal stability under these conditions and excluded the possibility of initial dissociation of a substituent from C2. Compound 9 also was stable at 95 °C for 2.5 h in DMF.
The arabino 2-(chloro, bromo, and tosyloxy) compounds (13, 14, and 18) were subjected to the conditions used with the ribo epimers to probe the effect of stereochemical inversion at C2. The same equilibrating mixtures of 34a/35a were produced with Bu3SnH (entries 7, 9, and 11) and the epimeric 2-deuterio derivatives 34b/35b were generated with Bu3SnD (entries 8, 10, and 12). Incorporation of deuterium into the ketone/hemiacetal products demonstrated that elimination of tosylate, chloride, and bromide anions occurred with all three of the arabino compounds. Enhanced yields of the tautomeric product mixtures were isolated with the chloro (13, entries 7 and 8) and tosylate (18, entries 11 and 12) substrates. Byproduct formation was not observed with 18, whereas it was formed (~19%) with the ribo substrate 9 (entries 1 and 2, footnote d). Some hydrodebromination also was detected with the arabino 2-bromo epimer 14 (entries 9 and 10, footnote e).
Samples of 9, 13, 14, and 18 were treated with Bu3SnH in deuterated toluene. Fragmentation of tosylate 9 in toluene-d8 (Bu3SnH/AIBN) at 75 °C was 90–95% complete in 2.5 h (TLC and 1H NMR) and produced 34a/35a (80–85%) as sole products with no incorporation of deuterium. Analogous treatment of 9 at 55 °C for 2.5 h resulted in ~50% fragmentation. Treatment of the arabino tosylate 18 and chloride 13 substrates at 75 °C showed that the fragmentation of 18 was slightly faster than that of 13 (Figure 2; 1H NMR spectra were used for substrate/products ratios, see the Experimental Section). Fragmentation of the ribo tosylate 9 to give 34a/35a proceeded at a rate similar to that determined with the arabino chloride 13. Treatment of the arabino bromide 14 at 75 °C produced 34a/35a plus 2-deoxy byproduct mixtures with 1H NMR spectra that were too complex for quantitative analysis.
Figure 2.
Pseudo-first order plots for conversion of 13 (chloro) and 18 (tosylate) into 34a/35a.
3. Discussion
The mechanism proposed [1] for conversion of ribonucleoside 5′-diphosphates (A, X = OH) to 2′-deoxynucleotides (F) by RDPRs (Figure 1, inside the boxes) is supported by biochemical, chemical, and theoretical modeling studies. However, the enzymatic processing of 2′-chloro analogs (A, X = Cl) could cause inactivation by different chemistry. Incubation of a 2′-chloro-2′-deoxynucleoside 5′-diphosphate with RDPR produced 2-methylene-3(2H)furanone (G), a Michael acceptor that could cause time-dependent enzyme inactivation. Stubbe rationalized [1] that spontaneous elimination of a chloride anion (and a proton) at the active site (rather than the enzyme-assisted removal of HOH with substrates) could cause active site changes resulting in dissociation of the 2′-deoxy-3′-oxo intermediate from D (Figure 1). Successive β-eliminations of pyrophosphate from C5′ and the base from C1′ could generate G in solution. However, the identical 3′-keto intermediate in D was postulated in the substrate to product sequence, which makes the presence of chloride and a proton the only difference for the inactivation sequence.
We reasoned that elimination of a chlorine atom from the initial C3′ radical was more likely. The electronegative character of C1′ would make the elimination of chloride (with generation of positive character at C2′) unfavorable, whereas loss of a chlorine atom with generation of a C2′ radical was well precedented [38], and generation of an enol would be energetically advantageous. Elimination of a chlorine atom (rather than chloride) at the active site could have serious consequences. The chlorine radical could attack a sulfhydryl group and the resulting sulfenyl chloride could react with nucleophilic groups in the enzyme or undergo hydrolysis to a sulfenic acid. Chlorine-atom abstraction of hydrogen from an amino acid residue (and resulting radical processes) and other chlorine-radical reactions would be possible, whereas such events would not occur with a ground state chloride anion. Radical-induced disruption of active-site architecture provides a more plausible explanation for dissociation of the 2′-deoxy-3′-oxo intermediate from D.
We have shown [31] that leaving-group radical stability is crucial for substituent elimination from C2′ upon generation of a radical at C3′. Treatment of 2′-(azido, bromo, chloro, iodo, or methylthio)-2′-deoxy-3′-O-phenoxythiocarbonyl nucleosides (Ha, Figure 3) with BuSnH resulted in generation of C3′ radicals Ia that underwent elimination of a radical from C2′ with formation of 2′,3′-unsaturated derivative J. In contrast, treatment of the 2′-(fluoro, mesyloxy, or tosyloxy)-3′-thionocarbonates Hb generated C3′ radicals Ib that abstracted hydrogen from the stannane to give 3′-deoxy-2′-(fluoro, mesyloxy, or tosyloxy) derivatives Kb. Elimination of a radical from C2′ of Ia gave J, whereas homolytic scission to release a high-energy fluorine atom or a mesyloxy or tosyloxy radical is energetically prohibitive—and did not occur. In those cases, abstraction of hydrogen from the stannane by the C3′ radical Ib gave the reduced products Kb.
Figure 3.
Bu3SnH/AIBN/Δ treatment of 3′-thionocarbonates.
Because the radicals I did not contain a 3′-hydroxyl group, we prepared model compounds that were more closely related to the natural substrates for RDPR-catalyzed 2′-deoxygenations. Treatment of the adenine 6′-O-nitro-2′-O-tosyl L and uracil 6′-O-nitro-2′-chloro M analogues with Bu3SnD/AIBN/Δ generated the 6′-oxyl radicals N by attack of a stannyl radical at nitrate oxygen (Figure 4). Intramolecular abstraction of H3′ from N gave the C3′ radicals O or S. Loss of the proton from the 3′-hydroxyl group of O and elimination of the 2′-tosylate (with shift of the unpaired electron from C3′ to C2′ and generation of the O = C3′ double bond) would drive the overall elimination of toluenesulfonic acid from O to produce P. Deuterium transfer from the stannane to C2′ of P followed by elimination of the trans proton/deuteron and adenine from Q would give the observed 2-(2-hydroxyethyl)-3(2H)-furanone (R) containing deuterium at C4 (C2′ from the nucleoside). In contrast, loss of the chlorine atom from S would give enol T, which could undergo 1,4-elimination to U with no incorporation of deuterium (as observed). This demonstrated the distinct differences between TsO–C2′ bond cleavage by a two-electron heterolysis (in O) and cleavage of the chlorine–C2′ bond by a one-electron homolysis (in S) [21,29,30].
Figure 4.
Heterolytic (path a, TsO−) and homolytic (path b, Cl•) eliminations from radicals containing a 3′j32;-hydroxyl group [21,29,30].
Barton’s nitrite ester [39] and Wagner’s δ-substituted aryl ketone [40] photolysis studies showed a strong preference for six-membered transition states for hydrogen abstraction by oxyl radicals. Fraser-Reid employed that [1,5]-hydrogen shift with oxyl radicals generated from carbohydrate nitrate esters and Bu3SnH [41]. Radical-induced loss of –OTs and H+ (Figure 4, path a) is also analogous to an ionic LiEt3BH-promoted rearrangement of 2′-O-tosyladenosine. Removal of the 3′-hydroxyl proton by Et3BH– initiated a [1,2]-hydride shift from C3′ to C2′ with displacement of tosylate from C2′ [42,43]. That rearrangement occurred also with 2′-chloro-2′-deoxyadenosine, but at a lower rate with the poorer leaving group (chloride).
Theoretical modeling [18,44] of RDPR-catalyzed 2′-deoxygenation invoked hydrogen bonding from the 3′-OH to a carboxylate group and from H-donors to 2′-OH. Analogous attraction between the cis 3-OH in 9 and a tosylate oxygen atom was considered for possible assistance of the heterolytic cleavage of the TsO–C2 linkage. However, treatment of the arabino tosylate 18 (no cis 3-OH) gave the same 34b/35b mixture in higher yield (93%) than with 9 (~70%). Byproduct with a hydroxyl group at C6 and tosylate at C2 was isolated (~19%) from treatment of 9, but no such arabino byproduct was observed with 18. These results are more consistent with a greater population of the C2-endo/C3-exo conformation range in 9 (reduction of strain with the 2-tosylate group) that would make a six-membered transition state for intramolecular abstraction of H3 by the 6-oxyl radical less favorable. Enhanced abstraction of deuterium from the stannane by the 6-oxyl radical would then occur to produce more of the byproduct. Greater C2-exo/C3-endo populations in 18 (reduction of strain between the arabino tosylate at C2 and the side chain at C4) would enhance the approach of the 6-oxyl radical for H3 abstraction and elimination of tosylate from the C3 radical to produce 34b/35b in higher yield (93%).
Thus, noteworthy mechanistic changes were observed within our model series. Anionic elimination of tosylate from C2′ of a nucleoside occurred (Figure 4, pathway a), whereas radical elimination of a chlorine atom (pathway b) was preferred. However, treatment of our ribo anhydroalditol tosylate 9, chloro 20, or bromo 22 substrates produced the same 2-deuterio-3-ketone 34b and hemiacetal 35b mixture. The arabino chloro 13 and bromo 14 epimers also gave 34b/35b (plus some hydrodebromination with 14). In every case, the loss of bromide or chloride anions from an intermediate C3 radical resulted in formation of deuterium-labeled materials rather than homolytic loss of a halogen atom to give the unlabeled alkene. The absence of an electronegative nucleobase on C1 (C1 is a –CH2– moiety in the anhydroalditol models) allowed elimination of an anion from C2 when loss of the 3-hydroxyl proton could generate an O = C3 double bond.
Radical elimination occurred with the 2-chloro-3-O-methyl ribo 32 and arabino 28 substrates to give vinyl ether 40. Both 2-bromo-3-O-methyl ribo 33 and arabino 29 epimers also gave 40 (plus hydrodebrominated byproduct). Thus, when loss of the 3-hydroxyl proton and generation of a 3-ketone was prevented, elimination of a halogen atom occurred.
Ramos questioned our choice of toluene as solvent and lack of a basic residue in our prior nucleoside model studies and stated: “we concluded that the nature of the leaving substituent can be controlled; it will be anionic or radical depending on the presence or absence of a basic residue capable of deprotonating the 3′-HO group. In the enzyme, such functionality does exist, and so it can be concluded that the enzyme indeed eliminates anions, and not radicals” [19].
Clearly, the elimination of an anion is possible without a basic residue present in our current anhydroalditol models. Siegbahn [18] calculated a dielectric constant of ε ~ 4 in the region of the enzyme active site, which is approximated much more closely by that of toluene (ε ~ 2.4) than that of the aqueous methanol solutions (ε > 40) used by Lenz and Giese [20]. Thus, the intrinsic electronic status of the anomeric carbon C1′ (inductively negative in nucleosides) or C1 (inductively positive in anhydroalditols) as well as the nature of the leaving substituent (X• or A−) are major factors that control heterolytic elimination of an anion or homolytic elimination of a radical in biomimetic model reactions—and such factors also likely play a key role in enzyme-initiated inactivation processes.
Begley [32] also has invoked our elimination of a chlorine atom [30] upon abstraction of H3′ from 2′-chloro-2′-deoxyguanosine triphosphate by a 5′-deoxyadenosyl radical cofactor in MoaA. His 2′-deoxy-3′-ketone underwent the sequential β-eliminations [30] of triphosphate and guanine to give the same 2-methylene-3(2H)furanone (G, Figure 1) that could cause inactivation of RDPRs. Both of our ribo 32 and arabino 28 2-chloro epimers gave vinyl ether 40, whereas Begley’s arabino epimer remained unchanged during incubation with MoaA. The cis,cis configuration of H3′/Cl/guanine in his arabino isomer might restrict conformational ranges that would favor binding with MoaA, and/or hinder approach of the 5′-deoxyadenosyl cofactor toward H3′. As discussed above, the different product/byproduct ratios in our fragmentations of 9 and 18, and 25 and 30 might result from such conformational effects.
Treatment of the 3-O-methyl-2-O-tosyl ribo 25 or arabino 30 substrates produced the aromatized 2-(2-hydroxyethyl)-3-methoxyfuran (37) plus the respective 6-hydroxy-2-O-tosyl byproducts 38 or 39. Generation of a carbonyl group at C3 is precluded with 25 and 30, but a favorable six-membered transition state involving attraction between the α-proton on C1 and a tosylate oxygen with epimer 25 (Figure 5) might aid the loss of HOTs with generation of a 1,2-double bond. An analogous interaction involving the β-proton on C1 and a tosylate oxygen with arabino epimer 30 also is possible. Abstraction of hydrogen from C4 of the resulting resonance hybrid would produce furan 37. The observed similar yields of 37 plus the respective 2-O-tosyl byproducts 38 and 39 are consistent with parallel processes for the ribo 25 and arabino 30 epimers. Tosylate 25 was stable in toluene at 95 °C, which confirmed that generation of a C3 radical was necessary for the elimination of tosylate and production of 37.
Figure 5.
TsOH elimination and aromatization.
4. Experimental Section
The 1H (400 or 500 MHz) and 13C (100 or 125 MHz) NMR spectra were determined on Bruker Biospin spectrometers (Bruker, Billerica, MA, USA) with solutions in CDCl3 unless otherwise noted. HRMS were obtained in TOF-ESI mode on Bruker Solarix FT-ICR instrument (Bruker, Billerica, MA, USA) unless otherwise noted. TLC was performed with Merck (Darmstadt, Germany) kieselgel 60-F254 sheets and products were detected with 254 nm light or by visualization with Ce(SO4)2/(NH4)6Mo7O24∙4H2O/H2SO4/H2O reagent. Merck kieselgel 60 (230–400 mesh) was used for column chromatography. Reagent grade chemicals were used, and solvents were dried by reflux over and distillation from CaH2 (except for THF/potassium) under argon or by passing the solvents through activated alumina cartridges using a solvent purification system.
Methyl 6-O-Benzoyl-1,5-dideoxy-2,3-O-isopropylidene-β-D-ribo-hexofuranoside (2). To a solution of methyl 1,5-dideoxy-2,3-isopropylidene-β-D-ribo-hexofuranoside [29] (1; 13.0 g, 58.8 mmol) and Et3N (8.9 g, 12.3 mL, 88.2 mol) in CH2Cl2 (50 mL) was added dropwise BzCl (12.4 g, 10.2 mL, 88.2 mmol) at 0 °C. The cooling bath was removed and after 1 h the reaction mixture was quenched by addition of MeOH (2 mL). After additional 30 min the volatiles were evaporated and the residue was column chromatographed (hexanes → hexanes/EtOAc, 6:1) to give 2 as pale yellow oil (17.3 g, 92%): 1H NMR δ 1.32, 1.49 (2 × s, 2 × 3H), 2.01–2.04 (m, 2H), 3.38 (s, 3H), 4.39–4.52 (m, 3H), 4.62–4.65 (m, 2H), 4.98 (s, 1H), 7.42–7.57 (m, 3H), 8.04–8.06 (m, 2H); 13C NMR δ 24.6, 26.2, 33.9, 54.8, 61.6, 83.6, 84.0, 85.2, 109.6, 112.0, 128.1, 129.3, 129.9, 132.6, 166.0; MS FAB m/z 345 (3, [M + Na]+), 291 (100, [M − OMe]+); HRMS ESI m/z calcd for C17H22O6Na [M + Na]+ 345.1314, found 345.1317.
6-O-Benzoyl-1,5-dideoxy-D-ribo-hexofuranose (3) and 6-O-Benzoyl-1,5-dideoxy-2,3-O- isopropylidene-D-ribo-hexofuranose (4). To a stirred solution of 2 (18.0 g, 55.9 mmol) and Et3SiH (19.4 g, 26.7 mL, 167.7 mmol) in CH2Cl2 (10 mL) was added BF3•OEt2 (23.8 g, 21.3 mL, 167.7 mmol). Mildly exothermic reaction ensued after approx. 15 min and the reaction mixture was allowed to stir for an additional 3 h. The reaction flask was placed in an ice slush and a saturated NaHCO3/H2O solution (200 mL) was added slowly with vigorous stirring. CH2Cl2 was added (50 mL), aqueous phase was separated and washed with CH2Cl2 (50 mL). Organic fractions were combined and evaporated to dryness. Column chromatography (hexanes/EtOAc, 6:1 → EtOAc) gave contaminated (~10%) 4 (1.5 g, 9%) and 3 (6.1 g, 43%) as syrup. Compound 3 had: 1H NMR (CD3OD) δ 1.87–1.94 (m, 1H), 2.12–2.19 (m, 1H), 3.70 (dd, J = 2.9, 9.8 Hz, 1H), 3.79 (dd, J = 5.4, 7.3 Hz, 1H), 3.85–3.89 (m, 1H), 4.07 (dd, J = 4.9, 9.8 Hz, 1H), 4.16 (td, J = 2.9, 4.9 Hz, 1H), 4.38–4.50 (m, 2H), 7.45–7.61 (m, 3H), 8.02–8.04 (m, 2H); 13C NMR (CD3OD) δ 32.4, 61.9, 70.8, 72.2, 75.9, 78.9, 128.3, 129.5, 129.9, 133.0, 166.8; MS FAB m/z 275 (100, [M + Na]+); HRMS ESI m/z calcd for C13H16O5Na [M + Na]+ 275.1531, found 275.0902.
Diol 3 (6.1 g, 24.2 mmol) and TsOH hydrate (0.5 g, 2.6 mmol) were dissolved in a mixture of acetone (40 mL) and 2,2-dimethoxypropane (10 mL) and left to stir at room temperature for 30 min. Neutralization with sat. NaHCO3 (100 mL) followed by EtOAc extraction (2 × 50 mL) and evaporation to dryness provided oil that was filtered through silica to give 4 (6.4 g, 91%): 1H NMR δ 1.33, 1.52 (2 × s, 2 × 3H), 1.86–1.92 (m, 2H), 3.86 (dd, J = 4.4, 10.7 Hz, 1H), 3.97 (dd, J = 1.5, 10.7 Hz, 1H), 4.23–4.26 (m, 1H), 4.36–4.49 (m, 2H), 4.52 (dd, J = 1.5, 6.3 Hz, 1H), 4.80–4.83 (m, 1H), 7.42–7.57 (m, 3H), 8.03–8.05 (m, 2H); 13C NMR δ 24.9, 26.5, 29.7, 61.5, 71.6, 80.8, 81.2, 85.0, 112.8, 128.3, 129.5, 130.1, 132.9, 166.4. MS FAB m/z 293 (100, [M + H]+), 315 (15, [M + Na]+); HRMS ESI m/z calcd for C16H20O5Na [M + Na]+ 315.1208, found 315.1209.
1,5-Dideoxy-2,3-O-isopropylidene-D-ribo-hexofuranose (5). To a stirred solution of 4 (14.0 g, 47.9 mmol) in MeOH (50 mL) was added a solution of KOH (2.0 g, 35.7 mol) in MeOH (50 mL). After 1 h the volatiles were evaporated and the residue was column chromatographed (hexanes/EtOAc, 2:1 → EtOAc) to give 5 [45] (8.0 g, 87%): 1H NMR δ 1.33, 1.51 (2 × s, 2 × 3H), 1.63–1.76 (m, 2H), 3.74–3.82 (m, 2H), 3.89 (dd, J = 4.4, 10.4 Hz, 1H), 3.94 (d, J = 10.3 Hz, 1H), 4.19–4.22 (m, 2H), 4.48 (dd, J = 1.5, 5.8 Hz, 1H), 4.81 (t, J = 5.1 Hz, 1H); 13C NMR δ 24.5, 26.2, 32.4, 59.2, 71.1, 80.4, 82.2, 84.6, 112.3. MS FAB m/z 189 (100, [M + H]+); HRMS ESI m/z calcd for C9H17O4 [M + H]+ 189.1127, found 189.1123.
6-Iodo-1,5,6-trideoxy-2,3-O-isopropylidene-D-ribo-hexofuranose (6). To a stirred solution of 5 (9.0 g, 47.9 mmol), Ph3P (15.1 g, 57.6 mmol) and imidazole (7.9 g, 116.2 mmol) in toluene (225 mL) was added iodine (14.6 g, 57.5 mmol) at 70 °C. The suspension was vigorously stirred another 2 h, then allowed to cool to ambient temperature and the solution decanted to another flask. Volatiles were evaporated and the residue was column chromatographed (hexanes → hexanes/EtOAc, 6:1) to give 6 (13.03 g, 85%): 1H NMR δ 1.33, 1.52 (2 × s, 2 × 3H), 1.88–1.97 (m, 2H), 3.14–3.27 (m, 2H), 3.78 (dd, J = 4.4, 10.7 Hz, 1H), 3.95 (dd, J = 1.5, 10.7 Hz, 1H), 4.10 (ddd, J = 1.5, 4.9, 9.2 Hz, 1H), 4.23 (dd, J = 2.0, 6.3 Hz, 1H), 4.78 (m, 1H); 13C NMR δ 1.0, 24.7, 26.2, 34.0, 71.2, 80.4, 83.6, 84.1, 112.3; MS FAB m/z 321 (12, [M + Na]+), 319 (100); HRMS ESI m/z calcd for C9H15IO3Na [M + Na]+ 320.9964, found 320.9970.
6-Iodo-1,5,6-trideoxy-D-ribo-hexofuranose (7). A solution of 6 (14.0 g, 47.0 mmol) in a mixture of MeOH (100 mL), H2O (25 mL) and conc. HCl (25 mL) was stirred at room temperature for 3 h. Volatiles were evaporated and the residue was column chromatographed (hexanes/EtOAc, 2:1 → EtOAc) to give 7 (8.73 g, 72%): 1H NMR δ 2.00–2.07 (m, 1H), 2.16–2.25 (m, 1H), 3.22–3.45 (m, 4H), 3.74–3.77 (m, 2H), 3.84 (br s, 1H), 4.10 (dd, J = 4.9, 10.3 Hz, 1H), 4.27 (br s, 1H); 13C NMR δ 1.7, 37.3, 70.9, 72.8, 75.6, 81.6; MS FAB m/z 258 (10, [M]+), 74 (100); HRMS ESI m/z calcd for C6H11IO3, 257.9753, found 257.9740.
1,5-Dideoxy-6-O-nitro-D-ribo-hexofuranose (8). A suspension of 7 (12.0 g, 46.5 mmol) and AgNO3 (15.8 g, 93.0 mmol) in CH3CN (150 mL) was stirred at room temperature for 2 days. The yellow precipitate was filtered off, washed with EtOAc and the volatiles were evaporated. Column chromatography (hexanes/EtOAc, 1:1 → EtOAc) gave 8 (7.99 g, 89%): 1H NMR δ 1.88–1.96 (m, 1H), 2.08–2.15 (m, 1H), 3.43 (br s, 2H), 3.73–3.83 (m, 3H), 4.12 (dd, J = 4.9, 10.3 Hz, 1H), 4.23–4.26 (m, 1H), 4.56–4.66 (m, 2H); 13C NMR δ 30.2, 70.1, 70.8, 72.6, 75.9, 77.8; MS FAB m/z 216 (100, [M + Na]+); HRMS ESI m/z calcd for C6H11NO6Na [M + Na]+, 216.0484 found 216.0497.
1,5-Dideoxy-6-O-nitro-2-O-tosyl-D-ribo-hexofuranose (9). Method A. A solution of diol 8 (370 mg, 1.92 mmol) and Bu2SnO (477 mg, 1.92 mmol) in anhydrous MeOH (40 mL) was heated in a sealed flask at 75 °C for 1 h. After the flask was cooled to 0 °C, Et3N (1.15 g, 1.6 mL, 11.4 mmol) was added with stirring followed by TsCl (2.17 g, 11.4 mmol) dissolved in a minimum volume of acetone. The volatiles were evaporated, and the residue was suspended in acetone and deposited on silica. Column chromatography (hexanes/EtOAc, 6:1 → 3:1) gave a 5:2 mixture of two isomers (670 mg) from which the main product 9 (320 mg, 48%) was isolated after second column chromatography: 1H NMR δ 1.85–1.92 (m, 1H), 2.09–2.17 (m, 1H), 2.46 (s, 3H), 2.76 (d, J = 7.8 Hz, 1H), 3.75 (dt, J = 3.9, 8.3 Hz, 1H), 3.80 (dd, J = 3.1, 11.2 Hz, 1H), 3.89 (dt, J = 5.4, 7.8 Hz, 1H), 4.06 (dd, J = 4.9, 11.2 Hz, 1H), 4.52–4.62 (m, 2H), 4.93 (dt, J = 3.0, 5.3 Hz, 1H), 7.38, 7.82 (2 × d, J = 8.3 Hz, 2 × 2H); 13C NMR δ 21.6, 30.2, 69.8, 70.1, 74.9, 77.8, 79.4, 127.8, 130.1, 132.8, 145.6; MS FAB m/z 370 (100, [M + Na]+); HRMS ESI m/z calcd for C13H17NO8SNa [M + Na]+ 370.0573, found 370.0587.
Method B. Step a: TsCl (66 mg, 0.35 mmol) was added to a stirred solution of 10 (100 mg, 0.32 mmol) in anhydrous pyridine (1 mL) at ambient temperature. After 16 h, the volatiles were evaporated and residue was partitioned between ice-cold AcOH/H2O (1:99, 30 mL) and CHCl3 (30 mL). The aqueous layer was extracted with CHCl3 and the combined organic phase was washed with ice-cold saturated NaHCO3/H2O (30 mL), brine (30 mL) and dried (Na2SO4). Column chromatography (EtOAc/hexane, 5:95 → 35:65) gave 1,5-dideoxy-3-O-(p-methoxybenzyl)- 6-O-nitro-2-O-tosyl-D-ribo-hexofuranose (15; 82 mg, 55%): 1H NMR δ 1.78–1.81 (m, 1H), 2.00–2.02 (m, 1H), 2.47 (s, 3H), 3.59 (dd, J = 5.0, 8.6 Hz, 1H), 3.83 (s, 3H), 3.86 (dt, J = 2.2, 9.6 Hz, 2H), 4.04 (dd, J = 4.5, 11.2 Hz, 2H), 4.26 (d, J = 11.2 Hz, 1H), 4.47 (m, 2H), 4.58 (d, J = 11.2Hz, 1H), 5.13 (dt, J = 4.7, 7.0 Hz, 1H), 6.88 and 7.21 (2 × d, J = 9.5 Hz, 2 × 2H), 7.34 and 7.84 (2 × d, J = 8.3 Hz, 2 × 2H). In step b, A solution of CAN (176 mg, 0.32 mmol) and 15 (75 mg, 0.16 mmol) in MeCN (1.5 mL) and water (0.15 mL) was stirred at ambient temperature for 22 h. Volatiles were evaporated and the residue was column chromatographed (EtOAc/hexane, 3:97 → 30:70) to give 9 (54 mg, 98%) with data as above.
1,5-Dideoxy-3-O-(p-methoxybenzyl)-6-O-nitro-D-ribo-hexofuranose (10). A suspension of diol 8 (1.20 g, 6.22 mmol) and Bu2SnO (1.70 g, 6.84 mmol) in anhydrous MeOH (10 mL) was heated in a sealed flask at 75 °C for 1 h. After the flask was cooled to ambient temperature, the volatiles were evaporated. DMF (5 mL) and PMBCl (1.95 g, 1.7 mL, 12.44) were added, and the reaction mixture was heated at 90 °C for 18 h. Volatiles were evaporated, and the residue was chromatographed (hexanes/EtOAc, 6:1 → 1:1) to give 1,5-dideoxy-2,3-di-O-(p-methoxybenzyl)-6-O-nitro-D-ribo- hexofuranose (1.55 g; 20% contaminated) followed by 1,5-dideoxy-2-O-(p-methoxybenzyl)-6-O-nitro-D-ribo-hexofuranose (0.47 g, 24%) and 10 (0.60 g; 31%) of sufficient purity for use in subsequent reaction. Sample of 10 was repurified on column chromatography for spectroscopic characterization: 1H NMR δ 1.77–1.85 (m, 1H), 1.93–2.00 (m, 1H), 3.20 (br s, 1H), 3.60 (dd, J = 5.4, 7.3 Hz, 1H), 3.76 (dd, J = 2.9, 10.3 Hz, 1H), 3.81 (s, 3H), 3.85 (dt, J = 3.9, 7.3 Hz, 1H), 4.01 (dd, J = 4.9, 10.3 Hz, 1H), 4.18 (m, 1H), 4.47–4.61 (m, 4H), 6.88–6.92 (m, 2H), 7.24–7.30 (m, 2H); 13C NMR δ 30.5, 55.2, 69.1, 70.0, 72.6, 73.3, 76.1, 82.4, 114.0, 128.8, 129.7, 159.7; MS FAB m/z 336 (100, [M + Na]+); HRMS ESI m/z calcd for C14H19NO7Na [M + Na]+ 336.1059, found 336.1072.
2-Chloro-3-O-(p-methoxybenzyl)-6-O-nitro-1,2,5-trideoxy-D-arabino-hexofuranose (11). To a solution of Ph3P (2.18 g, 8.31 mmol) and DIAD (1.26 g, 1.22 mL, 6.23 mmol) in THF (14 mL) was added a solution of 10 (0.65 g, 2.08 mmol) in THF (6 mL) followed by freshly prepared HCl•pyridine (0.72 g, 6.23 mmol; prepared by slow addition of TMSCl (0.68 g, 0.8 mL, 6.31 mmol) to a solution of pyridine (0.98 g, 1.0 mL, 12.4 mmol) in MeOH (0.32 g, 0.4 mL, 9.9 mmol) and CH2Cl2 (10 mL) at 0 °C. Volatiles were evaporated and the crystalline residue was dried at 80 °C under vacuum overnight). The suspension was stirred overnight at room temperature. Volatiles were evaporated, and the residue was column chromatographed (hexanes/EtOAc, 10:1 → 6:1) to give 11 (0.43 g, 62%): 1H NMR δ 2.05–2.10 (m, 2H), 3.82 (br s, 4H), 3.81–3.86 (m, 1H), 3.90 (br d, J = 3.4 Hz, 1H), 4.02 (d, J = 10.3 Hz, 1H), 4.13 (dd, J = 4.4, 10.7 Hz, 1H), 4.47–4.65 (m, 4H), 6.90–6.93 (m, 2H), 7.25–7.28 (m, 2H); 13C NMR δ 30.9, 55.2, 60.1, 70.0, 72.1, 74.2, 80.9, 89.8, 113.9, 128.8, 129.6, 159.5; HRMS ESI m/z Calcd for C14H18ClNO6Na [M + Na]+ 354.0720, found 354.0706.
2-Chloro-1,2,5-trideoxy-6-O-nitro-D-arabino-hexofuranose (13). A solution of 11 (0.43 g, 1.30 mmol) and CAN (1.42 g, 2.59 mmol) in CH3CN (7 mL) and H2O (0.7 mL) was stirred for 1.5 h. The reaction mixture was concentrated, and the residue was deposited on silica gel and column chromatographed (hexanes/EtOAc, 10:1 → 3:1) to give 13 (0.21 g, 78%): 1H NMR δ 2.10–2.22 (m, 2H), 2.69 (br s, 1H), 3.80–3.84 (m, 1H), 4.02 (br d, J = 10.8 Hz, 1H), 4.14–4.25 (m, 3H), 4.58–4.68 (m, 2H); 13C NMR δ 30.9, 62.3, 70.0, 73.3, 81.7, 83.2; MS FAB m/z 212 (5, [M + H]+), 120 (100); HRMS ESI m/z calcd for C6H11ClNO5 [M + H]+ 212.0326, found 212.0327.
2-Bromo-1,2,5-trideoxy-6-O-nitro-D-arabino-hexofuranose (14). Step a: To a solution of Ph3P (2.85 g, 10.09 mmol) and DIAD (1.65 g, 8.15 mmol) in THF (30 mL) was added a stirred solution of 10 (1.75 g, 5.43 mmol) in THF (10 mL) followed by freshly prepared HBr•pyridine (1.30 g, 8.15 mmol; prepared by slow addition of TMSBr (0.93 g, 0.8 mL, 6.06 mmol) to a solution of pyridine (0.98 g, 1.0 mL, 12.4 mmol) in MeOH (0.32 g, 0.4 mL, 9.9 mmol) and CH2Cl2 (10 mL) at 0 °C. Volatiles were evaporated and the crystalline residue was dried at 80 °C under vacuum overnight). The suspension was stirred at room temperature for 22 h. Volatiles were evaporated, and the residue was column chromatographed (hexanes/EtOAc, 10:1 → 6:1) to give crude 2-bromo-3-O-(p-methoxybenzyl)-6-O-nitro-1,2,5-trideoxy-D-arabino-hexofuranose (12; 1.0 g, 49%) which was directly used in next step. Step b. A solution of crude 12 (1.0 g, 2.66 mmol) and CAN (2.91 g, 5.32 mmol) in a mixture of CH3CN (14 mL) and H2O (1.4 mL) was stirred for 1.5 h. The resulting mixture was concentrated and the residue was deposited on silica and column chromatographed (hexanes/EtOAc, 10:1 → 4:1) to give 14 (0.54 g, 79%): 1H NMR δ 2.14–2.26 (m, 2H), 3.80–3.86 (dt, J = 5.2, 8.8 Hz, 1H), 4.10 (dd, J = 4.0, 10.6 Hz, 1H), 4.16–4.22 (m, 1H), 4.26–4.33 (m, 2H), 4.58–4.72 (m, 2H); 13C NMR δ 31.2, 51.5, 69.9, 73.6, 81.5, 83.5. HRMS ESI/DART m/z calcd for C6H1479BrN2O5 [M + NH4]+ 273.0081, found 273.0084; calcd for C6H1481BrN2O5 [M + NH4]+ 275.0061, found 275.0061.
1,5-Dideoxy-3-O-(p-methoxybenzyl)-6-O-nitro-D-arabino-hexofuranose (16b). Step a: A solution of compound 10 (2.70 g, 8.63 mmol) in THF (8 mL) followed by a solution of DIAD (2.09 g, 2.03 mL, 10.35 mmol) in THF (3 mL) were slowly (12 min) added to a stirred solution of Ph3P (2.71 g, 10.35 mmol) and PhCO2H (1.26 g, 10.35 mmol) in THF (40 mL) at –50 °C under nitrogen atmosphere. The resulting mixture was allowed to warm to ambient temperature within 1 h (it became colorless at –20 °C). Volatiles were evaporated, and the residue was column chromatographed (hexanes → hexanes/EtOAc, 3:1) to give 2-O-benzoyl-1,5-dideoxy-3-O-(p-methoxybenzyl)-6-O-nitro-D-arabino-hexofuranose (16a; 2.87 g, 80%): 1H NMR δ 2.0–2.07 (m, 2H), 3.79 (s, 3H), 3.85 (td, J = 1.0, 4.6 Hz, 1H), 3.90 (td, J = 5.0, 7.6 Hz, 1H), 4.08–4.12 (m, 2H), 4.51–4.59 (m, 3H), 4.75 (d, J = 11.7 Hz, 1H), 5.43 (td, J = 1.4, 2.7 Hz, 1H), 6.86 (d, J = 8.7 Hz, 2H), 7.27 (d, J = 8.7, 2H), 7.47 (t, J = 7.7 Hz, 2H), 7.61 (tt, J = 1.5, 7.5 Hz, 1H), 8.03 (d, J = 7.6 Hz, 2H). Step b: A suspension of KOH (0.40 g, 7.14 mol) in MeOH (20 mL) was added to a stirred solution of 16a (2.82 g, 6.76 mmol) in MeOH (20 mL) at ambient temperature. After 1 h, the solution was neutralized with AcOH to pH 7. The volatiles were evaporated and the residue was column chromatographed (hexanes/EtOAc, 3:1 → 2:1) to give 16b (1.64 g, 77%): 1H NMR δ 1.26 (d, J = 2.9 Hz, 1H), 2.00–2.04 (m, 2H), 3.64 (d, J = 2.9 Hz, 1H), 3.80 (br s, 4H), 3.83 (d, J = 10.3 Hz, 1H), 3.91 (dd, J = 3.9, 10.3 Hz, 1H), 4.27–4.29 (m, 1H), 4.48–4.58 (m, 4H), 6.88–6.91 (m, 2H), 7.24–7.27 (m, 2H); 13C NMR δ 30.9, 55.2, 70.2, 71.8, 74.1, 76.1 80.3, 89.2, 113.9, 128.4, 129.5, 159.4; MS FAB m/z 336 (100, [M + Na]+); HRMS ESI m/z calcd for C14H19NO7Na [M + Na]+ 336.1059, found 336.1047.
1,5-Dideoxy-6-O-nitro-2-O-tosyl-D-arabino-hexofuranose (18). Step a: TsCl (134 mg, 0.70 mmol) was added to a stirred solution of 16b (100 mg, 0.32 mmol) in anhydrous pyridine (1mL) at ambient temperature. After 16 h, the volatiles were evaporated and residue was partitioned between ice-cold AcOH/H2O (1:99, 30 mL) and CHCl3 (30 mL). The organic layer was separated, and the aqueous layer was extracted with CHCl3 (30 mL). Combined organic phase was washed with ice-cold saturated NaHCO3/H2O (30 mL), brine (30 mL) and dried (Na2SO4), concentrated in vacuo and column chromatographed (EtOAc/hexane, 5:95 → 35:65) to give 1,5-dideoxy-3-O-(p-methoxybenzyl)-6-O-nitro-2-O-tosyl-D-arabino-hexofuranose (17a; 128 mg, 86%) as a colorless oil: 1H NMR δ 1.90–1.96 (m, 2H), 2.46 (s, 3H), 3.72–3.78 (m, 1H), 3.82 (s, 3H), 3.84 (dt, J = 1.2, 4.6 Hz, 1H), 3.87 (d, J = 4.0 Hz, 1H), 3.92 (d, J = 11.3 Hz, 1H), 4.33 (d, J = 11.3 Hz, 1H), 4.42–4.49 (m, 3H), 4.93 (dt, J = 1.2, 4.0 Hz, 1H), 6.87 (d, J = 8.7 Hz, 2H), 7.16 (d, J = 8.7 Hz, 2H), 7.38 (d, J = 8.2 Hz, 2H), 7.81 (d, J = 8.2 Hz, 2H); 13C NMR δ 21.6, 30.3, 55.3, 69.8, 71.4, 71.8, 80.2, 83.9, 86.3, 114.0, 127.8, 128.8, 129.5, 130.1, 133.4, 145.4, 159.6. Step b: A solution of CAN (352 mg, 0.64 mmol) and 17a (100 mg, 0.21 mmol) in MeCN (1 mL) and H2O (0.1 mL) was stirred at ambient temperature for 22 h. Volatiles were evaporated and the residue was column chromatographed (EtOAc/hexane, 3:97 → 30:70) to give 18 (73 mg, 98%) as a colorless oil: 1H NMR δ 1.97–2.07 (m, 1H), 2.07–2.17 (m, 1H), 2.47 (s, 3H), 3.69–3.76 (m, 1H), 3.85–3.90 (m, 1H), 3.95 (dd, J = 5.5, 11.3 Hz, 1H), 4.17 (dd, J = 2.5, 6.0 Hz, 1H), 4.51–4.63 (m, 2H), 4.76 (dt, J = 2.5, 5.5 Hz, 1H), 7.38 (d, J = 8.5 Hz, 2H), 7.80 (d, J = 8.5 Hz, 2H); 13C NMR δ 21.6, 30.2, 69.7, 70.3, 80.5, 80.9, 86.5, 127.9, 130.1, 132.8, 145.6. HRMS ESI/DART m/z calcd for C13H21N2O8S [M + NH4]+ 365.1013, found 365.1031.
2-Chloro-1,2,5-trideoxy-3-O-(p-methoxybenzyl)-6-O-nitro-D-ribo-hexofuranose (19). Step a: TfCl (160 mg, 0.95 mmol) was added to a stirred solution of 16b (250 mg, 0.80 mmol) and DMAP (295 mg, 2.4 mmol) in anhydrous CH2Cl2 (2 mL) at 0 °C (ice-bath). After 1 h, the reaction mixture was partitioned between ice-cold AcOH/H2O (1:99, 30 mL) and CH2Cl2 (30 mL). The aqueous layer was extracted with CH2Cl2 (30 mL) and the combined organic phase was washed with ice-cold saturated NaHCO3/H2O (30 mL), brine (30 mL) and dried (Na2SO4) to give 1,5-dideoxy-3-O-(p-methoxybenzyl)-2-O-(trifluoromethanesulfonyl)-6-O-nitro-D-arabino-hexofuraose as a colorless oil (17b; 313 mg, 88%) of sufficient purity to be used in next step. Column chromatography (EtOAc/hexane, 5:95 → 30:70) gave pure sample of 17b: 1H NMR δ 1.93–2.02 (m, 2H), 3.80–3.84 (m, 1H), 3.82 (s, 3H), 3.92 (dt, J = 1.2, 4.6 Hz, 1H), 4.02 (dd, J = 3.5, 12.0 Hz, 1H), 4.18 (br d, J = 12.1 Hz, 1H), 4.47–4.52 (m, 3H), 4.66 (d, J = 11.5 Hz, 1H), 5.32 (d, J = 3.5 Hz, 1H), 6.91 (d, J = 8.8 Hz, 2H), 7.24 (d, J = 8.8 Hz, 2H). Step b: A solution of crude 17b (50 mg, 0.11 mmol; from step a) and dried LiCl (23 mg, 0.54 mmol) in DMF (1 mL) was stirred for 5 h at ambient temperature under N2. Volatiles were evaporated and residue was partitioned between ice-cold saturated NaHCO3/H2O (15 mL) and EtOAc (15 mL). The separated organic phase was washed with brine (30 mL), dried (Na2SO4) and column chromatographed (EtOAc/hexane, 5:95 → 15:85) to give 19 (30 mg, 80.6%) as a colorless oil: 1H NMR δ 1.82–1.91 (m, 1H), 2.01–2.1 (m, 1H), 3.72 (dd, J = 5.2, 8.2 Hz, 1H), 3.82 (s, 3H), 3.99 (dt, J = 4.0, 8.2 Hz, 1H), 4.06 (dd, J = 2.8, 10.7 Hz, 1H), 4.30 (dd, J = 5.07,10.7 Hz, 1H), 4.40 (d, J = 11.2 Hz, 1H), 4.44 (dt, J = 2.2, 5.2 Hz, 2H), 4.48–4.59 (m, 2H), 4.69 (d, 11.3 Hz, 1H), 6.90 (d, J = 8.7 Hz, 2H), 7.30 (d, J = 8.7 Hz, 2H); 13C NMR δ 30.4, 55.2, 57.8, 69.9, 72.1, 74.0, 76.3, 81.5, 114.0, 128.8, 129.8, 159.7. HRMS ESI m/z calcd for C14H1835ClNO6Na [M + Na]+ 354.0715, found 354.0718; calcd for C14H1837ClNO6Na [M + Na]+ 356.0691, found 356.0694.
2-Chloro-1,2,5-trideoxy-6-O-nitro-D-ribo-hexofuranose (20). A solution of CAN (74 mg, 0.13 mmol) and 19 (15 mg, 0.04 mmol) in MeCN (1mL) and H2O (0.1 mL) was stirred at ambient temperature for 22 h. Volatiles were evaporated and the residue was column chromatographed (EtOAc/hexane, 3:97 → 30:70) to give 20 (6.2 mg, 66%) as a colorless oil: 1H NMR δ 1.87–1.98 (m, 1H), 2.11–2.20 (m, 1H), 2.25 (d, J = 8.7 Hz, 1H), 3.82–3.88 (m, 1H), 3.93–4.00 (m, 1H), 4.02 (dd, J = 4.0, 10.7 Hz, 1H), 4.33 (dd, J = 5.4, 10.5 Hz, 1H), 4.44–4.48 (m, J = 4.2, 5.3 Hz, 1H), 4.55–4.67 (m, 2H); 13C NMR δ 30.5, 61.1, 69.8, 72.9, 75.7, 78.3; HRMS ESI/DART m/z calcd for C6H1435ClN2O5 [M + NH4]+ 229.0586, found 229.0588; calcd for C6H1437ClN2O5 [M + NH4]+ 231.0562, found 231.0561.
2-Bromo-1,2,5-trideoxy-3-O-(p-methoxybenzyl)-6-O-nitro-D-ribo-hexofuranose (21). A solution of 17b (30 mg, 0.06 mmol; prepared as described for 19, step a) and dried LiBr (29 mg, 0.33 mmol) in DMF (1 mL) was stirred for 7 h at ambient temperature under N2. Volatiles were evaporated and the resulting residue was partitioned between ice-cold saturated NaHCO3/H2O (15 mL) and EtOAc (15 mL). The separated organic phase was washed with brine (30 mL), dried (Na2SO4) and column chromatographed (EtOAc/hexane, 5:95 → 15:85) to give 21 (18 mg, 71%) as a colorless oil: 1H NMR δ 1.83–1.94 (m, 1H), 2.02–2.12 (m, 1H), 3.6 (dd, J = 5.0, 7.6 Hz, 1H), 3.84 (s, 3H), 4.03 (dt, J = 4.0, 8.0 Hz, 1H), 4.22 (dd, J = 2.8, 10.6 Hz, 1H), 4.44 (d, J = 11.1 Hz, 1H), 4.43–4.51 (m, 2 H), 4.51–4.61 (m, 2H), 4.71 (d, J = 11.1 Hz, 1H) 6.92 (d, J = 8.6 Hz, 2H), 7.33 (d, J = 8.6 Hz, 2H); 13C NMR δ 30.4, 49.7, 55.3, 69.9, 72.1, 74.1, 76.6, 81.2, 114.0, 128.81, 129.8, 159.71. HRMS ESI m/z calcd for C14H1879BrNO6Na [M + Na]+ 398.0210, found 398.0203; calcd for C14H1881BrNO6Na [M + Na]+ 400.0191, found 400.0183.
2-Bromo-1,2,5-trideoxy-6-O-nitro-D-ribo-hexofuranose (22). A solution of CAN (78 mg, 0.14 mmol) and 21 (18 mg, 0.05 mmol) in MeCN (1 mL) and water (0.1 mL) was stirred at ambient temperature for 22 h. Volatiles were evaporated and the residue was column chromatographed (EtOAc/hexane, 3:97 → 30:70) to give 22 (12 mg, 96%) as a colorless oil: 1H NMR δ 1.89–1.98 (m, 1H), 2.11–2.20 (m, 2H), 3.78–3.84 (m, 1H), 3.85–3.92 (m, 1H), 4.13 (dd, J = 4.6 Hz, 1H), 4.43 (dd, J = 5.4 Hz, 1H), 4.48 (dd, J = 5.0 Hz, 1H), 4.55–4.70 (m, 2H); 13C NMR δ 31.6, 53.7, 69.8, 72.9, 75.3, 78.8. HRMS ESI/DART m/z calcd for C6H1479BrN2O5 [M + NH4]+ 273.0081, found 273.0077; calcd for C6H1481BrN2O5 [M + NH4]+ 275.0066, found 275.0058.
1,5-Dideoxy-3-O-methyl-6-O-nitro-D-ribo-hexofuranose (23) and 1,5-Dideoxy-2-O-methyl- 6-O-nitro-D-ribo-hexofuranose (24) and: A suspension of 8 (0.34 g, 1.76 mmol) and Bu2SnO (0.44 g, 1.76 mmol) in anhydrous MeOH (8 mL) was refluxed for 30 min. Volatiles were evaporated after the flask was cooled to ambient temperature. DMF (1 mL) and MeI (1.14 g, 0.5 mL, 8.03 mmol) were added, the flask was sealed and the solution was stirred at 40 °C for 12 h. Volatiles were evaporated and the residue was column chromatographed (hexanes/EtOAc, 4:1 → 1:1) to give 23 (145 mg, 38%) and 24 (134 mg, 35%). Compound 23 had: 1H NMR δ 1.85–1.92 (m, 1H), 2.09–2.16 (m, 1H), 2.79 (d, J = 8.8 Hz, 1H), 3.44 (s, 3H), 3.67 (ddd, J = 3.9, 7.8, 8.8 Hz, 1H), 3.74–3.84 (m, 3H), 4.06 (dd, J = 4.4, 5.4 Hz, 1H), 4.56–4.65 (m, 2H); 13C NMR δ 30.5, 57.7, 70.0, 70.1, 75.4, 78.6, 79.4; MS FAB m/z 230 (100, [M + Na]+); HRMS ESI m/z calcd for C7H13NO6Na [M + Na]+ 230.0641, found 230.0651. Compound 24 had: 1H NMR δ 1.89–1.96 (m, 1H), 2.04–2.11 (m, 1H), 2.70 (d, J = 3.9 Hz, 1H), 3.45 (dd, J = 4.9, 6.8 Hz, 1H), 3.47 (s, 3H), 3.79 (dd, J = 2.9, 9.8 Hz, 1H), 3.86 (ddd, J = 3.9, 6.8, 8.3 Hz, 1H), 3.79 (dd, J = 4.4, 10.2 Hz, 1H), 4.31 (m, 1H), 4.55–4.65 (m, 2H); 13C NMR δ 30.8, 58.3, 68.9, 70.0, 73.2, 75.9, 85.2; MS FAB m/z 208 (100, [M + H]+); HRMS ESI m/z calcd for C7H14NO6 [M + H]+ 208.0821, found 208.0819.
1,5-Dideoxy-2-O-tosyl-3-O-methyl-6-O-nitro-D-ribo-hexofuranose (25). TsCl (101 mg, 0.53 mmol) was added to a stirred solution of 23 (100 mg, 0.48 mmol) in anhydrous pyridine (1 mL) at ambient temperature. After 16 h, the volatiles were evaporated and residue was partitioned between ice-cold AcOH/H2O (1:99, 30 mL) and CHCl3 (30 mL). The organic layer was separated, and the aqueous layer was extracted with CHCl3 (30 mL). Combined organic phase was washed with ice-cold NaHCO3/H2O (30 mL), brine (30 mL), dried (Na2SO4), concentrated in vacuo and column chromatographed (EtOAc/hexane, 5:95 → 35:65) to give 25 (110 mg, 63%) as a colorless oil: 1H NMR δ 1.86–1.96 (m, 1H), 2.05–2.15 (m, 1H), 2.48 (s, 3H), 3.31 (s, 3H), 3.47 (dd, J = 5.0, 8.6 Hz, 1H), 3.85 (dd, J = 4.2, 8.6 Hz, 1H), 3.89 (dd, J = 2.44, 11.5 Hz, 1H), 4.07 (dd, J = 4.44, 11.5 Hz, 1H), 4.51–4.63 (m, 2H), 5.12 (dt, J = 2.2, 4.7 Hz, 1H), 7.39 (d, J = 8.15 Hz, 2H), 7.85 (d, J = 8.15 Hz, 2H); 13C NMR δ 21.6, 30.5, 58.3, 69.8, 70.9, 75.9, 76.7, 83.7, 127.8, 129.9, 133.7, 145.2; HRMS ESI/DART m/z calcd for C14H23N2O8S [M + NH4]+ 379.1170, found 379.1172.
2-O-Benzoyl-1,5-dideoxy-3-O-methyl-6-O-nitro-D-arabino-hexofuranose (26). Compound 23 (0.20 g, 0.97 mmol) in THF (6 mL) was added to a stirred solution of Ph3P (0.31 g, 1.16 mmol) and PhCO2H (0.14 g, 1.16 mmol) in THF (5 mL) at −50 °C. After 5 min. DIAD (0.23 g, 0.22 mL, 1.16 mmol) in THF (2 mL) was added slowly over 12 min. The reaction mixture was allowed to warm to room temperature within 1 h (it became colorless at −20 °C). Volatiles were evaporated, and the residue was column chromatographed (hexanes → hexanes/EtOAc, 10:1) to give 26 (0.23 g, 76%): 1H NMR δ 2.07–2.17 (m, 2H), 3.50 (s, 3H), 3.71 (d, J = 3.4 Hz, 1H), 3.86–3.90 (m, 1H), 4.03–4.07 (m, 2H), 4.57–4.66 (m, 2H), 5.38–5.40 (m, 1H), 7.44–7.62 (m, 3H), 8.02–8.14 (m, 2H); 13C NMR δ 30.8, 58.0, 70.0, 71.7, 77.9, 80.4, 89.6, 128.4, 129.4, 130.1, 133.4, 165.7; MS FAB m/z 334 (15, [M + Na]+), 312 (100, [M + H]+); HRMS ESI m/z calcd for C14H17O7NNa [M + Na]+ 334.0903, found 334.0904.
1,5-Dideoxy-3-O-methyl-6-O-nitro-D-arabino-hexofuranose (27). KOH (1.62 g, 28.9 mmol) in MeOH (80 mL) was added to a stirred solution of 26 (1.82 g, 5.85 mmol) in MeOH (80 mL). The reaction mixture was left to stir at room temperature for 1 h, then was neutralized with 5% HCl/H2O. Volatiles were evaporated, and the residue was column chromatographed (hexanes/EtOAc, 3:1 → 1:1) to give 27 (0.87 g, 72%): 1H NMR (300 MHz) δ 2.07–2.14 (m, 2H), 2.80 (br s, 1H), 3.42 (s, 3H), 3.48 (td, J = 1.1, 3.9 Hz, 1H), 3.79 (ddd, J = 3.9, 6.1, 7.3 Hz, 1H), 3.85 (br d, J = 10.3 Hz, 1H), 3.90 (dd, J = 3.7, 10.3 Hz, 1H), 4.27–4.29 (m, 1H), 4.54–4.67 (m, 2H); 13C NMR δ 30.9, 57.5, 70.2, 73.9, 75.2, 80.2, 91.6; MS FAB m/z 208 (5, [M + H]+), 71 (100); HRMS ESI m/z calcd for C7H14NO6 [M + H]+ 208.0821, found 208.0807.
2-Chloro-3-O-methyl-6-O-nitro-1,2,5-trideoxy-D-arabino-hexofuranose (28). Solution of 23 (0.60 g, 2.90 mmol) in THF (15 mL) was added to a stirred solution of Ph3P (1.52 g, 5.78 mmol) and DIAD (0.89 g, 0.86 mL, 4.38 mmol) in THF (15 mL) followed by addition of freshly prepared HCl•pyridine (0.50 g, 4.33 mmol). The suspension was stirred overnight at room temperature. Volatiles were evaporated, and the residue was chromatographed (hexanes → hexanes/EtOAc, 6:1) to give 28 (0.38 g, 61%): 1H NMR δ 2.14–2.18 (m, 2H), 3.44 (s, 3H), 3.73 (d, J = 3.9 Hz, 1H), 3.78–3.82 (m, 1H), 4.02 (d, J = 10.7 Hz, 1H), 4.10 (dd, J = 4.4, 10.7 Hz, 1H), 4.24–4.27 (m, 1H), 4.56–4.67 (m, 2H); 13C NMR δ 31.3, 58.1, 59.4, 70.0, 74.2, 80.9, 92.8; HRMS ESI/DART m/z calcd for C7H1635ClN2O5 [M + NH4]+ 243.0742, found 243.0752; calcd for C7H1637ClN2O5 [M + NH4]+ 245.0716, found 245.0715.
2-Bromo-3-O-methyl-6-O-nitro-1,2,5-trideoxy-D-arabino-hexofuranose (29). Solution of 23 (0.65 g, 3.13 mmol) in THF (15 mL) was added to a stirred solution of Ph3P (1.64 g, 6.25 mmol) and DIAD (0.95 g, 0.92 mL, 4.69 mmol) in THF (15 mL) followed by addition of freshly prepared HBr•pyridine (0.75 g, 4.69 mmol). The suspension was stirred overnight at room temperature. Volatiles were evaporated, and the residue was column chromatographed (hexanes/EtOAc, 10:1 → 6:1) to give 29 (0.39 g, 46%): 1H NMR δ 2.19–2.27 (m, 2H), 3.49 (s, 3H), 3.82 (dt, J = 4.2, 6.8 Hz, 1H), 3.92 (d, J = 3.8 Hz, 1H), 4.14 (dd, J = 1.86, 11.0 Hz, 1H), 4.21 (dd, J = 4.47, 11.0 Hz, 1H), 4.27–4.31 (m, 1H), 4.58–4.70 (m, 2H); 13C NMR δ 31.5, 48.5, 58.0, 70.0, 74.6, 81.2, 93.0; HRMS ESI/DART m/z calcd for C7H1679BrN2O5 [M + NH4]+ 287.0237, found 287.0252; calcd for C7H1681BrN2O5 [M + NH4]+ 289.0218, found 289.0233.
1,5-Dideoxy-2-O-tosyl-3-O-methyl-6-O-nitro-D-arabino-hexofuranose (30). TsCl (116 mg, 1.057 mmol) was added to a stirred solution of 27 (200 mg, 0.965 mmol) in anhydrous pyridine (1 mL) at ambient temperature. After 16 h, the volatiles were evaporated and residue was partitioned between ice-cold AcOH/H2O (1:99, 30 mL) and CHCl3 (30 mL). The organic layer was separated, and the aqueous layer was extracted with CHCl3 (30 mL). Combined organic phase was washed with ice-cold saturated NaHCO3/H2O (30 mL), brine (30 mL) and dried (Na2SO4), concentrated in vacuo and column chromatographed (EtOAc/hexane, 5:95 → 35:65) to give 30 (240 mg, 69%) as a colorless oil: 1H NMR δ 1.96–2.11 (m, 2H), 2.47 (s, 3H), 3.29 (s, 3H), 3.65 (td, J = 1.2, 4.4 Hz, 1H), 3.69–3.75 (m, 1H), 3.81 (dd, J = 4.1, 11.4 Hz, 1H), 3.92 (d, J = 11.4 Hz, 1H), 4.48–4.60 (m, 2H), 4.86 (td, J = 1.2, 4.1 Hz, 1H), 7.38 (d, J = 8.4 Hz, 2H), 7.81 (d, J = 8.4 Hz, 2H). 13C NMR δ 21.6, 30.5, 58.0, 69.8, 71.3, 80.1, 83.1, 89.4, 127.8, 130.0, 133.4, 145.4; HRMS ESI/DART m/z calcd for C14H23N2O8S [M + NH4]+ 379.1170, found 379.1169.
2-Chloro-1,2,5-trideoxy-3-O-methyl-6-O-nitro-D-ribo-hexofuranose (32). Step a: TfCl (123 μL, 195 mg, 1.16 mmol) was added to a stirred solution of 27 (200 mg, 0.96 mmol) and DMAP (354 mg, 2.9 mmol) in anhydrous CH2Cl2 (2 mL) at 0 °C (ice-bath). After 1 h, the reaction mixture was partitioned between ice-cold AcOH/H2O (1:99, 30 mL) and CH2Cl2 (30 mL). The aqueous layer was extracted with CH2Cl2 (30 mL) and the combined organic phase was washed with ice-cold saturated NaHCO3/H2O (30 mL), brine (30 mL) and dried (Na2SO4) to give 31 as a colorless oil (243 mg, 74%) of sufficient purity to be used in next step. Column chromatography (EtOAc/hexane, 5:95 → 30:70) gave pure sample of 31: 1H NMR δ 2.01–2.09 (m, 1H), 2.09–2.19 (m, 1H), 3.46 (s, 3H), 3.75–3.82 (m, 2H), 3.98 (dd, J = 3.6, 12.1 Hz, 1H), 4.17 (d, J = 12.1 Hz, 1H), 4.53–4.65 (m, 2H), 5.26 (d, J = 3.5 Hz, 1H); Step b. A solution of crude 31 (100 mg, 0.29 mmol; from step a) and dried LiCl (62.5 mg, 1.47 mmol) in DMF (1 mL) was stirred for 5 h at ambient temperature under N2. Volatiles were evaporated and residue was partitioned between ice-cold saturated NaHCO3/H2O (15 mL) and EtOAc (15 mL). The separated organic phase was washed with brine (15 mL), dried (Na2SO4) and column chromatographed (EtOAc/hexane, 5:95 → 15:85) to give 32 (49 mg, 74%) as a colorless oil: 1H NMR δ 1.89–2.02 (m, 1H), 2.06–2.18 (m, 1H), 3.44 (s, 3H), 3.58 (dd, J = 5.1, 8.0 Hz, 1H), 3.95 (td, J = 4.1, 8.3 Hz, 1H), 4.05 (dd, J = 2.7, 10.8 Hz, 1H), 4.32 (dd, J = 4.8, 10.8 Hz, 1H), 4.49 (td, J = 2.8, 5.0 Hz, 1H), 4.53–4.64 (m, 2H); 13C NMR δ 30.7, 57.6, 58.1, 69.9, 73.9, 76.1, 84.7; HRMS ESI/DART m/z calcd for C7H1635ClN2O5 [M + NH4]+ 243.0742, found 243.0747; calcd for C7H1637ClN2O5 [M + NH4]+ 245.0718, found 245.0716.
2-Bromo-1,2,5-trideoxy-3-O-methyl-6-O-nitro-D-ribo-hexofuranose (33). A solution of crude 31 (100 mg, 0.29 mmol; prepared as described for 32, step a) and dried LiBr (77 mg, 0.88 mmol) in DMF (1 mL) was stirred for 5 h at ambient temperature under N2. Volatiles were evaporated and residue was partitioned between ice-cold saturated NaHCO3/H2O (15 mL) and EtOAc (15 mL). The separated organic phase was washed with brine (15 mL), dried (Na2SO4) and column chromatographed (EtOAc/hexane, 5:95 → 15:85) to give 33 (41 mg, 52%) as a colorless oil: 1H NMR δ 1.90–2.0 (m, 1H), 2.06–2.16 (m, 1H), 3.39–3.45 (m, 4H), 3.97 (td, J = 4.2, 8.0 Hz, 1H), 4.20 (dd, J = 3.0, 11 Hz, 1H), 4.45 (dd, J = 4.8, 11.0 Hz, 1H), 4.50 (td, J = 2.9, 5.0 Hz, 1H), 4.53–4.64 (m, 2H); 13C NMR δ 30.7, 49.5, 58.2, 69.9, 74.0, 76.5, 84.4; HRMS ESI/DART m/z calcd for C7H1679BrN2O5 [M + NH4]+ 287.0237, found 287.0239; calcd for C7H1681BrN2O5 [M + NH4]+ 289.0222, found 289.0218.
Biomimetic studies with 6-O-nitro-1,4-anhydrohexitols. Typical Procedure. A solution of 9 (20 mg, 0.06 mmol), Bu3SnH (77 μL, 83 mg, 0.28 mmol), and AIBN (18 mg, 0.12 mmol) in dried toluene (2 mL) was deoxygenated (Ar) for 20 min and then heated at 95 °C for 1 h. Volatiles were evaporated carefully (at 25 °C and diminished pressure ~40 mmHg) and the residue was purified by column chromatography (EtOAc/hexane, 10:90 → 70:30) to give 1,2,5-trideoxy-D-glycero-hexofuranose-3-ulose 34a in equilibrium mixture (~1:1) with cyclic hemiacetal 35a (5 mg, 67%) as a colorless oil: HRMS ESI/DART m/z calcd for C6H11O3 [M + H]+ 131.0703, found 131.0707. Ketone 34a had: 1H NMR δ 1.84–1.93 (m, 1H), 1.95–2.06 (m, 2H), 2.15–2.27 (m, 2H), 3.74–3.85 (m, 2H), 3.88 (dd, J = 4.9, 7.4 Hz, 1H), 4.04–4.16 (m, 2H); 13C NMR δ 32.9, 38.9, 59.8, 68.9, 78.6, 215.9. Hemiacetal 35a had: 1.95–2.06 (m, 1H), 2.15–2.27 (m, 1H), 2.46–2.64 (m, 3H), 3.93–4.03 (m, 2H), 4.04–4.16 (m, 1H) 4.28 (dd, J = 2.27, 5.6 Hz, 1H), 4.37 (dt, J = 4.1, 9.2 Hz, 1H); 13C NMR δ 32.1, 36.7, 64.6, 68.3, 85.7, 114.9.
Also isolated from the reaction mixture was 1,5-dideoxy-2-O-tosyl-D-ribo-hexofuranose (3.3 mg, 19%): 1H NMR δ 1.81–1.94 (m, 2H), 2.46 (s, 3H), 3.74–3.85 (m, 4H), 3.86–3.93 (m, 1H), 4.12 (dd, J = 4.9, 11.2 Hz, 1H), 4.95 (dt, J = 3.0, 5.3 Hz, 1H), 7.38 & 7.82 (2 × d, J = 8.3 Hz, 2 × 2H).
Analogous treatment of 9 (20 mg, 0.06 mmol) with Bu3SnD (77 μL, 83 mg, 0.28 mmol), instead of Bu3SnH gave 2-deuterio epimers (2R/S, ~1:1) of 34b in equilibrium mixture (~1:1) with 35b (5.2 mg, 71%) as a colorless oil: 1H NMR spectrum of 34b/35b corresponded to this of the above 34a/35a with reduction of the integrated intensity for the H2/2′ signal at δ 2.15–2.27 and 2.46–2.64 to approximately half and simplification of the H1/1′ signals at δ 4.04–4.16 (m, 1H) and 4.33–4.40 (m, 1H). 13C NMR spectrum of 34b/35b showed triplets at δ 36.7 and 38.9 (J = 20.1 Hz) for C2 carbons because of splitting to deuterium and two close peaks of equal intensity for each hemiacetal carbons. HRMS ESI/DART m/z calcd for C6H10DO3 [M + H]+ 132.0765, found 132.0768. Isotopic incorporation (MS) was calculated to be 85–95% for [2H] isotopomers of 34b/35b depends on the experiments. The 13C NMR spectrum for the sample of 34b/35b (2R/S, ~1:1, [2H] incorporation ~85%) showed residual peaks at 38.9 ppm and 36.7 for the unlabeled 34a and 35a, respectively and isotopically upfield shifted carbon signals for 34b (two sets of triplets of equal intensity at 38.60 and 38.63 ppm with JC2–D = 20.1 Hz) and 35b two sets of triplets of equal intensity at 36.35 and 3.36 with JC2–D = 20.1 Hz), respectively.
6-O-Benzoyl-1,2,5-trideoxy-D-glycero-hexofuranose-3-ulose (36a). BzCl (23 µL, 28 mg, 0.2 mmol), pyridine (44 µL, 43 mg, 0.54 mmol), and DMAP (4 mg, 0.032 mmol) were added to a stirred solution of 34a/35a (30 mg, 0.23 mmol), in CH2Cl2 (2 mL). Stirring was continued at ambient temperature for 3 h and MeOH (0.3 mL) was added. Volatiles were evaporated and the residue was chromatographed (EtOAc/hexane, 5:95 → 15:85) to give 36a (22 mg, 81%) as an colorless oil: 1H NMR δ 2.06–2.16 (m, 1H), 2.18–2.28 (m, 1H), 2.51 (dd, J = 6.50, 8.26 Hz, 2H), 3.90 (dd, J = 4.71, 7.0 Hz, 1H), 4.05–4.13 (m, 1H), 4.28–4.36 (m, 1H), 4.39–4.46 (m, 1H), 4.47–4.54 (m, 1H), 7.41–7.47(m, 2H), 7.56 (tt, J = 1.5, 7.4 Hz, 1H), 8.0 (d, J = 8.57 Hz, 2H); 13C NMR δ 29.9, 36.8, 60.9, 64.7, 76.8, 128.5, 129.7, 130.2, 133.1, 166.5, 215.5; HRMS TOF/DART m/z calcd for C13H18NO4 [M + NH4]+ 252.1230, found 252.1234.
6-O-Benzoyl-2-deuterio-1,2,5-trideoxy-D-glycero-hexofuranose-3-ulose (36b). Treatment of 34b/35b (30 mg, 0.23 mmol) with BzCl, as described for 36a, gave 36b (12 mg, 67%) as a colorless oil: 1H NMR spectrum of 36b corresponded to this of the above 36a with reduction of the integrated intensity for the H2/2′ signal at δ 2.51 to half and simplification of the H1/1′ signals at 4.05–4.13 and 4.28–4.36. 13C NMR spectrum showed triplet at δ 36.4 (J = 20.1 Hz) for C2 because of splitting to deuterium. HRMS ESI/DART m/z calcd for C13H13DNaO4 [M + Na]+ 258.0847, found 258.0836.
Biomimetic studies with 3-O-methyl-6-O-nitro-1,4-anhydrohexitols. 2-(2-Hydroxyethyl)-3-methoxyfuran (37). A solution of 25 (25 mg, 0.069 mmol), Bu3SnH (92 μL, 100 mg, 0.34 mmol), and AIBN (22.7 mg, 0.14 mmol) in dried toluene (2 mL), was deoxygenated (Ar) for 20 min and then heated at 95 °C for 1.5 h. Volatiles were evaporated and the residue was purified by column chromatography (EtOAc/hexane, 10:90 → 75:25) to give 37 (6.2 mg, 63%) followed by 1,5-dideoxy-2-O-tosyl-3-O-methyl-D-ribo-hexofuranose (38, 4.8 mg, 22%) as a colorless oils. Compound 37 had: 1H NMR δ 2.89 (t, J = 6.0 Hz, 2H), 3.76 (s, 3H), 3.86 (t, J = 6.0 Hz, 2H), 6.31 (d, J = 2.1 Hz, 1H), 7.16 (d, J = 2.1 Hz, 1H); 13C NMR δ 29.3, 59.4, 60.9, 102.9, 136.7, 139.7, 144.3; HRMS ESI/FT-ICR m/z calcd for C7H11O3 [M + H]+ 143.0702, found 143.0701. Compound 38 had: 1H NMR δ 1.74–1.84 (m, 1H), 1.85–1.94 (m, 1H), 2.29 (t, J = 5.9 Hz, 1H), 2.46 (s, 3H), 3.32 (s, 3H), 3.49 (dd, J = 4.9, 8.3 Hz, 1H), 3.72–3.79 (m, 2H), 3.85–3.94 (m, 2H), 4.07 (dd, J = 4.7, 11.3 Hz, 1H), 5.11 (dt, J = 2.4, 4.8 Hz, 1H), 7.36 (d, J = 8.1 Hz, 2H), 7.83 (d, J = 8.1 Hz, 2H); 13C NMR δ 21.6, 35.6, 58.3, 60.6, 70.9, 76.5, 79.1, 83.8, 127.8, 129.9, 133.8, 145.1; HRMS ESI/DART m/z calcd for C14H21O6S [M + H]+ 317.1053, found 317.1055.
Analogous treatment of 25 with Bu3SnD gave 37 (6.0 mg, 61%) and (38, 4.8 mg, 22%) with spectroscopic data as above.
Treatment of 30 (25 mg, 0.069 mmol) with Bu3SnH, as described for 37, gave 37 (5.0 mg, 51%) with data as above and 1,5-dideoxy-2-O-tosyl-3-O-methyl-D-arabino-hexofuranose 39 (8.3 mg, 38%) as a colorless oil: 1H NMR δ 1.86–1.94 (m, 2H), 2.04–2.11 (m, 1H), 2.47 (s, 3H), 3.31 (s, 3H), 3.70 (dt, J = 1.2, 5.0 Hz, 1H), 3.73–3.82 (m, 3H), 3.83 (d, J = 4.3 Hz, 1H), 3.93 (d, J = 11.7 Hz, 1H), 4.88 (dt, J = 1.3, 4.2 Hz, 1H), 7.37 (d, J = 8.4 Hz, 2H), 7.81 (d, J = 8.4 Hz, 2H); 13C NMR δ 21.6, 35.3, 58.0, 60.5, 71.3, 82.7, 83.4, 89.7, 127.8, 130.0, 133.5, 145.3; HRMS ESI/DART m/z calcd for C14H21O6S [M + H]+ 317.1053, found 317.1050.
Analogous treatment of 30 with Bu3SnD gave 37 (4.9 mg, 50%) and 39 (8.2 mg, 38%) with spectroscopic data as above.
1,2,5-Trideoxy-3-O-methyl-D-glycero-hex-2-enofuranose (40). Typical Procedure. A solution of 29 (20 mg, 0.074 mmol), Bu3SnD (99 μL, 108 mg, 0.369 mmol), and AIBN (24 mg, 0.146 mmol) in dried toluene (2 mL), was deoxygenated (Ar) for 20 min and then heated at 95 °C for 2 h. Volatiles were evaporated and the residue was purified by column chromatography (EtOAc/hexane, 10:90 → 70:30) to give 40 [22] (5.0 mg, 47%) as a colorless oil: 1H NMR δ 1.73–1.87 (m, 1H), 1.94–2.09 (m, 1H), 2.58 (t, J = 5.6 Hz, 1H), 3.68 (s, 3H), 3.76–3.82 (m, 2H), 4.60–4.70 (m, 3H), 4.73–4.79 (m, 1H); 13C NMR δ 35.6, 57.6, 60.6, 72.8, 81.2, 90.2, 157.7; HRMS ESI/DART m/z calcd for C7H16NO3 [M + NH4]+ 162.1125, found 162.1131.
Comparison of Reaction Rates of 9, 13 or 18 with Bu3SnH. Independent solutions of 0.057 mmol samples of 9, 13 and 18 in toluene–d8 (2.0 mL) were treated with 5 molar equiv of Bu3SnH and 2 molar equiv of AIBN at 75 °C. Aliquots of the individual reaction mixtures (0.3 mL) were diluted in toluene–d8 (0.2 mL) and directly analyzed by 1H NMR. The 34a/35a (1:1)/starting material ratios were obtained by integrating disappearance of the peak at 4.55 ppm for H2 of 9 or 18 or at 3.96 ppm for H6 of 13 and appearance of the peak at 4.10 ppm for the H4 of 34a. The determinations were conducted under the pseudo-first-order conditions:
where C/Co is the ratio of the concentration of starting material 9, 18, or 13 in the mixture at time t to the initial concentration of starting material. Values of the term [−log(C/Co)] were plotted against [t(min)k(s−1) = k1 (min−1)/3600].
k1t = −2.303 log(C/Co) + a
5. Summary and Conclusions
Remarkable changes between anionic and radical elimination mechanisms occurred with our 1,4-anhydrofuranitols. All 2-(bromo, chloro, and tosylate) epimers that contained a 3-hydroxyl group underwent two-electron elimination of bromide, chloride, or tosylate ions to give the same furanone 34a or deuterated furanone 34b. The inductively donating C1 of the furanitols allows for the elimination of an anion from C2 upon generation of a radical center at C3. Loss of the 3-hydroxyl proton produces a 3-oxo-C2 radical, which abstracts hydrogen from HSnBu3 or deuterium from DSnBu3.
All of the 3-O-methyl-2-bromo- and 2-chloro analogues underwent one-electron elimination of a bromine or chlorine atom to produce 2-(2-hydroxyethyl)-3-methoxy-2,5-dihydrofuran 40. No deuterium incorporation occurred in these cases. The 3-O-methyl-2-O-tosyl epimers underwent more drastic fragmentation upon generation of a C3 radical. Elimination of toluenesulfonic acid from C2/C1 and abstraction of hydrogen from C4 produced the aromatized 2-(2-hydroxyethyl)-3-methoxyfuran 37.
The inductively negative anomeric carbon (C1′) in nucleos(t)ides disfavors elimination of a chloride anion from C2′. Loss of Cl• followed by 1,4-elimination of the 3′-hydroxyl proton and base gives the unlabeled 2-(2-hydroxyethyl)-3(2H)-furanone (path b, Figure 4). The abstraction of deuterium from DSnBu3 by Cl• provides a chain propagation step and so no label is incorporated into the furanone product.
By contrast, dissociation of a prohibitively high-energy tosyloxy radical is precluded so that departure of a tosylate anion from C2′ occurs. Loss of the 3′-hydroxyl proton gives a 3′-oxo-C2′ radical, which abstracts deuterium from DSnBu3 and undergoes elimination of H/D and nucleobase to produce 4-deuterio-2-(2-hydroxyethyl)-3(2H)-furanone (path a, Figure 4).
Our combined results with nucleoside and anhydroalditol models provide data for plausible mechanistic rationalization of the two-electron elimination of hydrogen-bonded water from substrate nucleoside di(or tri)phosphates, and for one-electron dissociation of a chlorine atom from 2′-chloro-2′-deoxynucleoside di(or tri)phosphate inactivators of ribonucleotide reductases and the MoaA enzyme. Such Cl• radicals could react with active site components and contribute to enzyme inactivation.
Theoretical studies [18,19,44] employ major assumptions and calculation simplifications relative to actual biological systems. Mechanistic hypotheses based on reactions executed by modified enzymes [26,46] also involve unnatural “biomimetic” models—whether prepared by chemical synthesis or molecular biology. Combination of theoretical, biochemical, and biomimetic modeling provides more insightful approximations that any one of the individual models. Results of our present studies add clarity to hypotheses postulated for the radical chemistry-based inactivation of RNRs [30] and MoaA [32].
Author Contributions
Conceptualization, M.J.R.; Investigation, M.M.M. and I.N.; Methodology, S.F.W., M.M.M. and I.N.; Supervision, S.F.W. and M.J.R.; Writing—original draft, S.F.W. and M.J.R.; Writing—review & editing, S.F.W. and M.J.R. All authors have read and agreed to the published version of the manuscript.
Funding
The research was partially funded by NIGMS/NCI (SC1CA138176 to SFW).
Conflicts of Interest
The authors declare no conflict of interest.
References and Note
- Stubbe, J.; van der Donk, W.A. Ribonucleotide reductases: Radical enzymes with suicidal tendencies. Chem. Biol. 1995, 2, 793–801. [Google Scholar]
- Shao, J.; Zhou, B.; Chu, B.; Yen, Y. Ribonucleotide reductase inhibitors and future drug design. Curr. Cancer Drug Targets 2006, 6, 409–431. [Google Scholar] [CrossRef]
- Cerqueira, N.M.F.S.A.; Fernandes, P.A.; Ramos, M.J. Ribonucleotide reductase: A critical enzyme for cancer chemotherapy and antiviral agents. Recent Pat. Anticancer Drug Discov. 2007, 2, 11–29. [Google Scholar] [CrossRef]
- Ator, M.A.; Stubbe, J. Mechanism of inactivation of Escherichia coli ribonucleotide reductase by 2′-chloro-2′-deoxyuridine 5′-diphosphate: Evidence for generation of a 2′-deoxy-3′-ketonucleotide via a net 1,2 hydrogen shift. Biochemistry 1985, 24, 7214–7221. [Google Scholar] [CrossRef]
- Sjoberg, B.M.; Graslund, A.; Eckstein, F. A substrate radical intermediate in the reaction between ribonucleotide reductase from Escherichia coli and 2′-azido-2′-deoxynucleoside diphosphates. J. Biol. Chem. 1983, 258, 8060–8067. [Google Scholar]
- Salowe, S.; Bollinger, J.M., Jr.; Ator, M.; Stubbe, J.; McCracken, J.; Peisach, J.; Samano, M.C.; Robins, M.J. Alternative model for mechanism-based inhibition of Escherichia coli ribonucleotide reductase by 2′-azido-2′-deoxyuridine 5′-diphosphate. Biochemistry 1993, 32, 12749–12760. [Google Scholar] [CrossRef]
- van der Donk, W.A.; Stubbe, J.; Gerfen, G.J.; Bellew, B.F.; Griffin, R.G. EPR Investigations of the Inactivation of E. coli Ribonucleotide Reductase with 2′-Azido-2′-deoxyuridine 5′-Diphosphate: Evidence for the Involvement of the Thiyl Radical of C225-R1. J. Am. Chem. Soc. 1995, 117, 8908–8916. [Google Scholar] [CrossRef]
- Fritscher, J.; Artin, E.; Wnuk, S.; Bar, G.; Robblee, J.H.; Kacprzak, S.; Kaupp, M.; Griffin, R.G.; Bennati, M.; Stubbe, J. Structure of the Nitrogen-Centered Radical Formed during Inactivation of E. coli Ribonucleotide Reductase by 2′-Azido-2′-deoxyuridine-5′-diphosphate: Trapping of the 3′-Ketonucleotide. J. Am. Chem. Soc. 2005, 127, 7729–7738. [Google Scholar] [CrossRef]
- Manegold, C. Gemcitabine (Gemzar) in non-small cell lung cancer. Expert Rev. Anticancer Ther. 2004, 4, 345–360. [Google Scholar] [CrossRef]
- Jordheim, L.P.; Durantel, D.; Zoulim, F.; Dumontet, C. Advances in the development of nucleoside and nucleotide analogues for cancer and viral diseases. Nat. Rev. Drug. Discov. 2013, 12, 1474–1776. [Google Scholar] [CrossRef]
- Mao, S.S.; Holler, T.P.; Yu, G.X.; Bollinger, J.M., Jr.; Booker, S.; Johnston, M.I.; Stubbe, J. A model for the role of multiple cysteine residues involved in ribonucleotide reduction: Amazing and still confusing. Biochemistry 1992, 31, 9733–9743. [Google Scholar] [CrossRef]
- Mao, S.S.; Yu, G.X.; Chalfoun, D.; Stubbe, J. Characterization of C439SR1, a mutant of Escherichia coli ribonucleotide diphosphate reductase: Evidence that C439 is a residue essential for nucleotide reduction and C439SR1 is a protein possessing novel thioredoxin-like activity. Biochemistry 1992, 31, 9752–9759. [Google Scholar] [CrossRef]
- Baker, C.H.; Banzon, J.; Bollinger, J.M.; Stubbe, J.; Samano, V.; Robins, M.J.; Lippert, B.; Jarvi, E.; Resvick, R. 2′-Deoxy-2′-methylenecytidine and 2′-deoxy-2′,2′-difluorocytidine 5′-diphosphates: Potent mechanism-based inhibitors of ribonucleotide reductase. J. Med. Chem. 1991, 34, 1879–1884. [Google Scholar] [CrossRef]
- Artin, E.; Wang, J.; Lohman, G.J.S.; Yokoyama, K.; Yu, G.; Griffin, R.G.; Bar, G.; Stubbe, J. Insight into the Mechanism of Inactivation of Ribonucleotide Reductase by Gemcitabine 5′-Diphosphate in the Presence or Absence of Reductant. Biochemistry 2009, 48, 11622–11629. [Google Scholar] [CrossRef]
- Wang, J.; Lohman, G.J.S.; Stubbe, J. Mechanism of Inactivation of Human Ribonucleotide Reductase with p53R2 by Gemcitabine 5′-Diphosphate. Biochemistry 2009, 48, 11612–11621. [Google Scholar] [CrossRef]
- Lohman, G.J.S.; Stubbe, J. Inactivation of Lactobacillus leichmannii Ribonucleotide Reductase by 2′,2′-Difluoro-2′-deoxycytidine 5′-Triphosphate: Covalent Modification. Biochemistry 2010, 49, 1404–1417. [Google Scholar] [CrossRef]
- Lohman, G.J.S.; Gerfen, G.J.; Stubbe, J. Inactivation of Lactobacillus leichmannii Ribonucleotide Reductase by 2′,2′-Difluoro-2′-deoxycytidine 5′-Triphosphate: Adenosylcobalamin Destruction and Formation of a Nucleotide-Based Radical. Biochemistry 2010, 49, 1396–1403. [Google Scholar] [CrossRef]
- Siegbahn, P.E.M. Theoretical Study of the Substrate Mechanism of Ribonucleotide Reductase. J. Am. Chem. Soc. 1998, 120, 8417–8429. [Google Scholar] [CrossRef]
- Fernandes, P.A.; Ramos, M.J. Theoretical Studies on the Mode of Inhibition of Ribonucleotide Reductase by 2′-Substituted Substrate Analogues. Chem. Eur. J. 2003, 9, 5916–5925. [Google Scholar] [CrossRef]
- Lenz, R.; Giese, B. Studies on the Mechanism of Ribonucleotide Reductases. J. Am. Chem. Soc. 1997, 119, 2784–2794. [Google Scholar] [CrossRef]
- Robins, M.J.; Guo, Z.; Samano, M.C.; Wnuk, S.F. Biomimetic Simulation of Free Radical-Initiated Cascade Reactions Postulated To Occur at the Active Site of Ribonucleotide Reductases. J. Am. Chem. Soc. 1999, 121, 1425–1433. [Google Scholar] [CrossRef]
- Robins, M.J.; Ewing, G.J. Biomimetic Modeling of the First Substrate Reaction at the Active Site of Ribonucleotide Reductases. Abstraction of H3′ by a Thiyl Free Radical. J. Am. Chem. Soc. 1999, 121, 5823–5824. [Google Scholar] [CrossRef]
- van der Donk, W.A.; Yu, G.; Silva, D.J.; Stubbe, J.; McCarthy, J.R.; Jarvi, E.T.; Matthews, D.P.; Resvick, R.J.; Wagner, E. Inactivation of Ribonucleotide Reductase by (E)-2′-Fluoromethylene-2′-deoxycytidine 5′-Diphosphate: A Paradigm for Nucleotide Mechanism-Based Inhibitors. Biochemistry 1996, 35, 8381–8391. [Google Scholar] [CrossRef] [PubMed]
- Gerfen, G.J.; van der Donk, W.A.; Yu, G.; McCarthy, J.R.; Jarvi, E.T.; Matthews, D.P.; Farrar, C.; Griffin, R.G.; Stubbe, J. Characterization of a Substrate-Derived Radical Detected during the Inactivation of Ribonucleotide Reductase from Escherichia coli by 2′-Fluoromethylene-2′-deoxycytidine 5′-Diphosphate. J. Am. Chem. Soc. 1998, 120, 3823–3835. [Google Scholar] [CrossRef]
- Wnuk, S.F.; Penjarla, J.A.K.; Dang, T.P.; Mebel, A.M.; Nauser, T.; Schöneich, C. Pulse radiolysis experiments with a 1,4-anhydro-5-deoxy-6-thio-D-ribo-hexofuranitol allowed to detect the ribosyl-based carbon-centered radical(s) and to measure rate constant for the H abstraction(s) which correlates with the internal H atom abstractions from C1, C2, C3 or C4 by the thiyl radical. Collect. Czech. Chem. Commun. 2011, 76, 1223–1238. [Google Scholar]
- Persson, A.L.; Sahlin, M.; Sjoberg, B.-M. Cysteinyl and substrate radical formation in active site mutant E441Q of Escherichia coli class I ribonucleotide reductase. J. Biol. Chem. 1998, 273, 31016–31020. [Google Scholar] [CrossRef][Green Version]
- Lawrence, C.C.; Bennati, M.; Obias, H.V.; Bar, G.; Griffin, R.G.; Stubbe, J. High-field EPR detection of a disulfide radical anion in the reduction of cytidine 5′-diphosphate by the E441Q R1 mutant of Escherichia coli ribonucleotide reductase. Proc. Natl. Acad. Sci. USA 1999, 96, 8979–8984. [Google Scholar] [CrossRef]
- Zipse, H.; Artin, E.; Wnuk, S.; Lohman, G.J.S.; Martino, D.; Griffin, R.G.; Kacprzak, S.; Kaupp, M.; Hoffman, B.; Bennati, M.; et al. Structure of the Nucleotide Radical Formed during Reaction of CDP/TTP with the E441Q-α2β2 of E. coli Ribonucleotide Reductase. J. Am. Chem. Soc. 2009, 131, 200–211. [Google Scholar] [CrossRef]
- Robins, M.J.; Guo, Z.; Wnuk, S.F. Elimination of Chlorine (Radical) or Tosylate (Anion) from C2′ of Nucleoside C3′ Free Radicals as Model Reactions Postulated To Occur at the Active Site of Ribonucleotide Reductases. J. Am. Chem. Soc. 1997, 119, 3637–3638. [Google Scholar] [CrossRef]
- Robins, M.J.; Guo, Z.; Samano, M.C.; Wnuk, S.F. Biomimetic Modeling of the Decomposition of 2′-Chloro-2′-deoxynucleotides by Ribonucleotide Reductases To Give 3(2H)-Furanones Which Can Effect Mechanism-Based Inactivation by Michael-Type Alkylation. J. Am. Chem. Soc. 1996, 118, 11317–11318. [Google Scholar] [CrossRef]
- Robins, M.J.; Wnuk, S.F.; Hernandez-Thirring, A.E.; Samano, M.C. Nucleic Acid-Related Compounds. 91. Biomimetic Reactions Are in Harmony with Loss of 2′-Substituents as Free Radicals (Not Anions) during Mechanism-Based Inactivation of Ribonucleotide Reductases. Differential Interactions of Azide, Halogen, and Alkylthio Groups with Tributylstannane and Triphenylsilane. J. Am. Chem. Soc. 1996, 118, 11341–11348. [Google Scholar]
- Mehta, A.P.; Abdelwahed, S.H.; Xu, H.; Begley, T.P. Molybdopterin Biosynthesis: Trapping of Intermediates for the MoaA-Catalyzed Reaction Using 2′-DeoxyGTP and 2′-ChloroGTP as Substrate Analogues. J. Am. Chem. Soc. 2014, 136, 10609–10614. [Google Scholar] [CrossRef] [PubMed]
- Rolf, D.; Gray, G.R. Reductive cleavage of glycosides. J. Am. Chem. Soc. 1982, 104, 3539–3541. [Google Scholar] [CrossRef]
- Ewing, G.J.; Robins, M.J. An Efficient One-Stage Deprotection/Reduction of 1,2-O-Isopropylidene Furanoses to the Corresponding Tetrahydrofurans. Org. Lett. 1999, 1, 635–636. [Google Scholar] [CrossRef]
- Throughout this manuscript the reported 1-deoxyhomoribose derivatives are named as 1,5-dideoxy-D-ribo-hexofuranose derivatives rather than 1,4-anhydro-5-deoxy-D-ribo-hexitols in order to be consistent with the names and stereochemistry used in the literature (see Refs 21, 29 and 30) and discussion in the text (Figure 4) for their homonucleoside analogues.
- Wagner, D.; Verheyden, J.P.H.; Moffatt, J.G. Preparation and synthetic utility of some organo tin derivatives of nucleosides. J. Org. Chem. 1974, 39, 24–30. [Google Scholar]
- Guo, Z.; Samano, M.C.; Krzykawski, J.W.; Wnuk, S.F.; Ewing, G.J.; Robins, M.J. Biomimetic modeling of the abstraction of H3′ by ribonucleotide reductases. 1,5-hydrogen atom transfer of H3 to aminyl and oxyl, but not thiyl, free radicals in homo-ribofuranose derivatives. Tetrahedron 1999, 55, 5705–5718. [Google Scholar]
- Holy, A. Nucleic acid components and their analogues. CLIII. Preparation of 2’-deoxy-L-ribonucleosides of the pyrimidine series. Collect. Czech. Chem. Commun. 1972, 37, 4072–4087. [Google Scholar] [CrossRef]
- Barton, D.H.R.; Beaton, J.M.; Geller, L.E.; Pechet, M.M. A New Photochemical Reaction1. J. Am. Chem. Soc. 1961, 83, 4076–4083. [Google Scholar] [CrossRef]
- Wagner, P.J.; Lindstrom, M.J.; Sedon, J.H.; Ward, D.R. Photochemistry of delta.-haloketones: Anchimeric assistance in triplet-state gamma.-hydrogen abstraction and beta.-elimination of halogen atoms from the resulting diradicals. J. Am. Chem. Soc. 1981, 103, 3842–3849. [Google Scholar]
- Lopez, J.C.; Alonso, R.; Fraser-Reid, B. Alkoxyl radicals in 1,5-hydrogen shifts for site-specific, stereocontrolled alkylation of carbohydrates. J. Am. Chem. Soc. 1989, 111, 6471–6473. [Google Scholar] [CrossRef]
- Hansske, F.; Robins, M.J. Nucleic acid related compounds. 45. A deoxygenative [1,2]-hydride shift rearrangement converting cyclic cis-diol monotosylates to inverted secondary alcohols. J. Am. Chem. Soc. 1983, 105, 6736–6737. [Google Scholar]
- Robins, M.J.; Nowak, I.; Wnuk, S.F.; Hansske, F.; Madej, D. Deoxygenative [1,2]-Hydride Shift Rearrangements in Nucleoside and Sugar Chemistry: Analogy with the [1,2]-Electron Shift in the Deoxygenation of Ribonucleotides by Ribonucleotide Reductases1. J. Org. Chem. 2007, 72, 8216–8221. [Google Scholar] [CrossRef] [PubMed]
- Zipse, H. The Addition of Water to Ethylene and trans-Butene Radical Cation. Model Systems for the Reaction of Alkene Radical Cations with Nucleophiles. J. Am. Chem. Soc. 1995, 117, 11798–11806. [Google Scholar]
- Cavrini, V.; Garuti, L.; Giovanninetti, G.; Amorosa, M.; Mannini Palenzona, A.; Defaye, J. Homoanalogues of pyrimidine nucleosides. XII. 3,6-anhydro-1,2-bis-desoxy-1-(pyrimidin- and 5-halopyrimidin-1-yl)-D-arabinohexitols; 3,6-anhydro-1-desoxy-1(5-halopyrimidin-1-yl)-D-glucitols. Il Farm. Ed. Sci. 1979, 34, 635–645. [Google Scholar]
- Achrainer, F.; Zipse, H. Transfer Hydrogenation in Open-Shell Nucleotides—A Theoretical Survey. Molecules 2014, 19, 21489–21505. [Google Scholar] [CrossRef]
Sample Availability: Samples of the compounds are not available from the authors. |
© 2020 by the authors. Licensee MDPI, Basel, Switzerland. This article is an open access article distributed under the terms and conditions of the Creative Commons Attribution (CC BY) license (http://creativecommons.org/licenses/by/4.0/).
