Anthelmintic A-Type Procyanidins and Further Characterization of the Phenolic Composition of a Root Extract from Paullinia pinnata
Abstract
1. Introduction
2. Results
2.1. Phytochemical Characterization of the Aqueous Acetone Root Extract
2.1.1. Isolation and Identification of Oligomeric Proanthocyanidins
2.1.2. Identification of Phytochemical Constituents Other than PACs
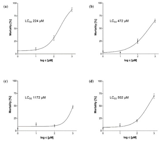
2.2. Anthelmintic Activity of Extract and Isolated A-Type PACs
3. Discussion
4. Materials and Methods
4.1. Plant Materials and Chemicals
4.2. General Analytical Techniques
4.3. Preparation of the Plant Extract
4.4. Fractionation of the Acetone-Water (7:3) Extract
4.4.1. Fractionation on Sephadex® LH20
4.4.2. Fast Centrifugal Partition Chromatography
4.4.3. Medium Pressure Liquid Chromatography (MPLC)
4.4.4. Preparative TLC
4.4.5. Preparative HPLC
4.5. Hydrolysis of Glycosides
4.6. Capillary Zone Electrophoresis (CZE)
4.7. Identification of Isolated Compounds
- Cinnamtannin B1 (1), epicatechin-(2β→O→7, 4β→8)-epicatechin-(4β→8)-epicatechin): off-white amorphous powder. CD (MeOH) λmax [nm] (Δε): 210 (−37.48), 230 (+18.62), 270 (−2.25). ESITOFMS m/z 863.1813 [M − H]− (calcd for C45H35O18, 863.1829). 1H and 13C NMR see Supplementary Materials Table S1.
- Aesculitannin B (2), epicatechin-(2β→O→7, 4β→8)-ent-catechin-(4β→8)-epicatechin): off-white amorphous powder. CD (MeOH) λmax [nm] (Δε): 208 (−34.56), 234 (+37.16), 273 (−1.72). ESITOFMS m/z 863.1860 [M − H]− (calcd for C45H35O18, 863.1829). 1H and 13C NMR see Supplementary Materials Table S1.
- Pavetannin C1 (3), epicatechin-(4β→6)-epicatechin-(2β→O→7, 4β→8)-epicatechin-(4β→8)-epi- catechin. Light brown amorphous powder. CD (MeOH) λmax [nm] (Δε): 208 (−114.87), 234 (+37.16), 278 (−8.85). ESITOFMS m/z 1153.2819 [M + H]+ (calcd for C60H49O24, 1153.2608). 1H and 13C NMR after peracetylation (3a) see Supplementary Materials Table S2.
- Epicatechin-(4β→8)-epicatechin-(2β→O→7, 4β→8)-epicatechin-(4β→8)-epicatechin (4), off-white amorphous powder. CD (MeOH) λmax [nm] (Δε): 205 (−29.70), 234 (+33.51), 274 (−5.05). ESITOFMS m/z 1151.2468 [M − H]− (calcd for C60H47O24, 1151.2463). 1H and 13C NMR see Supplementary Materials Table S2.
- Parameritannin A-1 (5), epicatechin-(2β→O→7, 4β→8)-[epicatechin-(4β→6)]-epicatechin- (4β→8)-epicatechin): off-white amorphous powder. CD (MeOH) λmax [nm] (Δε): 212 (−33.14), 235 (+22.77), 279 (−2.06). ESITOFMS m/z 1151.2605 [M − H]− (calcd for C60H47O24, 1151.2463). 1H and 13C NMR see Supplementary Materials Table S2.
- Epicatechin-(2β→O→7, 4β→6)-epicatechin-(2β→O→7, 4β→8)-epicatechin (6), off-white amorphous powder. ESITOFMS m/z 861.1719 [M − H]− (calcd for C45H33O18, 863.1672). 1H NMR (methanol-d4) δ: 7.43 (dd, J = 9.1, 2.2 Hz, 1H; H-6′ (E)), 7.41 (d, J = 2.2 Hz, 1H; H-2′ (E)), 7.17 (d, J = 2.0 Hz, 1H; H-2′ (H)), 7.09 (d, J = 2.1 Hz, 1H; H-2′ (B)), 7.03 (dd, J = 8.3, 2.1 Hz, 1H; H-6′ (H)), 6.98 (dd, J = 8.5, 2.3 Hz, 1H; H-6′ (B)), 6.88 (d, J = 8.1 Hz, 1H; H-5′ (E), 6.82 (d, J = 8.2 Hz, 1H; H-5′ (H)), 6.78 (d, J = 8.4 Hz, 1H; H-5′ (B)), 6.16 (s, 1H; H-8 (D)), 6.09 (s, 1H; H-6 (G)), 6.06 (d, J = 2.4 Hz, 1H; H-8 (A)), 6.02 (d, J = 2.4 Hz, 1H; H-6 (A)), 4.68 (d, J = 2.9 Hz, 1H; H-4 (A)), 4.53 (d, J = 3.0 Hz, 1H; H-4 (F)), 4.26 (m, 1H; H-3 (I)), 4.10 (d, J = 3.0 Hz, 1H; H-3 (F)), 3.98 (d, J = 3.1 Hz, 1H; H-3 (C)), 2.96 (dd, J = 17.0, 4.6 Hz, 1H; H-4a (F)), 2.82 (dd, J = 17.9, 1.6 Hz, 1H; H-4b (F)).
- Umbelliferone (7), brownish yellow amorphous powder. UV (MeCN, H2O) λmax 220, 324. ESITOFMS m/z 163.0400 [M + H]+ (calcd for C9H7O3, 163.0390). 1H NMR (chloroform-d) δ: 7.63 (d, J = 9.5 Hz, 1H; H-4), 7.36 (d, J = 8.3 Hz, 1H; H-5), 6.80 (d, J = 2.3 Hz, 1H; H-8), 6.78 (dd, J = 8.3, 2.4 Hz, 1H; H-6), 6.26 (d, J = 9.5 Hz, 1H; H-3). Data were identical to those of a reference substance (Carl Roth, Karlsruhe, Germany).
- Scopoletin (8), yellow amorphous powder. UV (MeCN, H2O) λmax 203, 227, 296s, 344. ESITOFMS m/z 193.0490 [M + H]+ (calcd for C10H9O4, 193.0495). 1H NMR (chloroform-d) δ: 7.60 (d, J = 9.2 Hz, 1H; H-4), 6.92 (s, 1H; H-8)), 6.85 (s, 1H; H-5), 6.27 (d, J = 9.5 Hz, 1H; H-3), 6.12 (s, 1H; 7-OH), 3.96 (s, 3H; 6-OCH3). 13C NMR (chloroform-d) δ: 161.51 (C-2), 150.32 (C-7), 149.87 (C-9), 144.06 (C-6), 143.25 (C-4), 113.42 (C-3), 111.60 (C-10), 107.44 (C-5), 103.27 (C-8), 56.43 (6-OCH3).
- Protocatechuic aldehyde (9), light brown amorphous powder. UV (MeCN, H2O) λmax 205, 230, 280, 311. ESITOFMS m/z 139.0378 [M + H]+ (calcd for C7H7O3, 139.0390). 1H NMR (methanol-d4) δ: 9.67 (s, 1H; CHO), 7.30 (dd, J = 8.0, 1.9 Hz, 1H; H-6), 7.29 (d, J = 1.9 Hz, 1H; H-2), 6.89 (d, J = 8.0 Hz, 1H; H-5). 13C NMR (methanol-d4) δ: 193.00 (CHO), 154.54 (C-4), 147.40 (C-3), 130.45 (C-1), 126.63 (C-6), 116.30 (C-5), 115.09 (C-2).
- Cleomiscosin A (10), pale yellow amorphous powder. UV (MeCN, H2O) λmax 206, 235s, 283s, 328. ESITOFMS m/z 387.1072 [M + H]+ (calcd for C20H19O8, 387.1074). 1H NMR (acetone-d6) δ: 7.88 (d, J = 9.5 Hz, 1H; H-4), 7.81 (s, 1H; OH-4′), 7.16 (d, J = 1.9 Hz, 1H; H-2′), 7.01 (dd, J = 8.1, 2.0 Hz, 1H; H-6′), 6.91 (d, J = 8.1 Hz, 1H; H-5′), 6.84 (s, 1H; H-5), 6.27 (d, J = 9.5 Hz, 1H; H-3), 5.10 (d, J = 8.0 Hz, 1H; H-7′), 4.25 (m, 1H; H-8′), 3.89 (overlapped with –OCH3; H-9′a) 3.88 (s, 3H; 3′-OCH3), 3.84 (s, 3H; 6-OCH3), 3.57 (m, 1H; H-9′b). 13C NMR (acetone-d6) δ: 160.93 (C-2), 148.63 (C-3′), 148.38 (C-4′), 146.97 (C-6), 145.22 (C-4), 139.77 (C-9), 138.72 (C-7), 133.29 (C-8), 128.51 (C-1′), 121.93 (C-6′), 115.96 (C-5′), 114.42 (C-3), 112.53 (C-10), 112.29 (C-2′), 101.79 (C-5), 79.60 (C-8′), 77.64 (C-7′), 61.55 (C-9′), 56.60 (3‘-OCH3), 56.46 (6-OCH3).
- Cleomiscosin C (11), pale yellow amorphous powder. UV (MeCN, H2O) λmax 210, 235s, 327. ESITOFMS m/z 417.1189 [M + H]+ (calcd for C21H21O9, 417.1180). 1H NMR (acetone-d6) δ: 7.88 (d, J = 9.6 Hz, 1H; H-4), 7.43 (s, 1H; OH-4′), 6.87 (s, 2H; H-2′/H-6′), 6.85 (s, 1H; H-5), 6.27 (d, J = 9.5 Hz, 1H; H-3), 5.08 (d, J = 8.0 Hz, 1H; H-7‘), 4.37 (s, 1H; OH-9′), 4.28 (ddd, J = 8.0, 3.6, 2.4 Hz, 1H; H-8‘), 3.90 (ddd, J = 12.4, 5.2, 2.4 Hz, 1H; H-9‘a), 3.86 (s, 6H; 3‘/5‘-OCH3), 3.84 (s, 3H, 6-OCH3), 3.58 (m, 1H; H-9‘b). 13C NMR (acetone-d6) δ: 160.96 (C-2), 149.00 (C-3‘/5‘), 147.01 (C-6), 145.25 (C-4), 139.75 (C-9), 138.76 (C-7), 138.62 (C-8) 137.76 (C-4‘), 133.37 (C-8), 114.49 (C-3), 112.50 (C-10), 127.35 (C-1‘), 106.57 (C-2‘/6‘), 101.84 (C-5), 79.59 (C-8‘), 77.96 (C-7‘), 61.62 (C-9‘), 56.88 (3‘/5‘-OCH3), 56.66 (6-OCH3).
- Cleomiscosin B (12), pale yellow amorphous powder. UV (MeCN, H2O) λmax 204, 235s, 280s, 328. ESITOFMS m/z 387.1080 [M + H]+ (calcd for C20H19O8, 387.1074). 1H NMR (acetone-d6) δ: 1H NMR (600 MHz, acetone-d6) δ 7.87 (d, J = 9.6 Hz, 1H; H-4), 7.80 (s, 1H; OH-4′), 7.17 (d, J = 2.0 Hz, 1H; H-2′), 7.02 (dd, J = 8.0, 2.0 Hz, 1H; H-6′), 6.90 (d, J = 8.1 Hz, 1H; H-5′), 6.86 (s, 1H, H-5), 6.23 (d, J = 9.5 Hz, 1H; H-3), 5.10 (d, J = 8.0 Hz, 1H; H-7′), 4.28 (ddd, J = 7.9, 3.7, 2.5 Hz, 1H; H-8′), 3.90 (s, 3H, 6-OCH3) 3.89 (overlapped with -OCH3; H-9′a), 3.88 (s, 3H; 3′-OCH3), 3.57 (m, H-9′b). 13C NMR (acetone-d6) δ: 160.83 (C-2), 148.71 (C-3′), 148.60 (C-4′), 147.09 (C-6), 145.15 (C-4), 138.59 (C-7), 139.91 (C-9), 139.84, 138.76, 137.78, 133.37 (C-8), 128.54 (C-1′), 121.97 (C-6′), 116.00 (C-5′), 114.48 (C-3), 112.45 (C-10), 112.29 (C-2′), 102.03 (C-5), 79.77 (C-8′), 77.28 (C-7′), 61.71 (C-9′), 56.72 (6-OCH3), 56.50 (3′-OCH3).
- Cleomiscosin D (13), pale yellow amorphous powder. UV (MeCN, H2O) λmax 210, 235s, 331. ESITOFMS m/z 417.1193 [M + H]+ (calcd for C21H21O9, 417.1180). 1H NMR (acetone-d6) δ: 1H NMR (acetone-d6) δ: 7.87 (d, J = 9.5 Hz, 1H; H-4), 6.87 (s, 2H; H-2′/H-6′), 6.87 (s, 1H; H-5), 6.24 (d, J = 9.5 Hz, 1H; H-3), 5.08 (d, J = 7.9 Hz, 1H; H-7′), 4.30 (m, 1H; H-8′), 3.89 (s, 3H; 6-OCH3), 3.88 (overlapped with OCH3; H-9′a), 3.86 (s, 6H; 3‘/5‘-OCH3), 3.57 (m, 1H, H-9′b). 13C NMR (acetone-d6) δ: 159.76 (C-2), 151.18, 149.02 (C-3′/C-5′), 146.59 (C-6), 147.10, 146.84, 145.19 (C-4), 139.88 (C-9), 138.58 (C-7), 137.75 (C-4′), 134.01 (C-8), 127.29 (C-1′), 114.45 (C-3), 111.94 (C-10), 108.36, 106.56 (C-2′/C-5′), 102.05 (C-5), 79.88 (C-8′), 77.55 (C-7′), 61.58 (C-9′), 56.87 (3‘/5‘-OCH3), 56.71 (6-OCH3).
- Epicatechin (14), white amorphous powder. UV (MeCN, H2O) λmax 220, 278. ESITOFMS m/z 291.0867 [M + H]+ (calcd for C15H15O6, 291.0863). 1H NMR (methanol-d4) δ 6.97 (d, J = 1.9 Hz, 1H; H-2′), 6.80 (dd, J = 8.2, 2.0 Hz, 1H; H-6′), 6.76 (d, J = 8.1 Hz, 1H; H-5′), 5.94 (d, J = 2.3 Hz, 1H; H-8), 5.91 (d, J = 2.3 Hz, 1H; H-6), 4.82 (s, 1H; H-2), 4.18 (ddd, J = 4.5, 3.0, 1.4 Hz, 1H; H-3), 2.86 (dd, J = 16.7, 4.6 Hz, 1H; H-4b), 2.74 (dd, J = 16.8, 2.9 Hz, 1H; H-4a).
- 3-β-d-Glucopyranosyloxy-4-methyl-2(5H)-furanone (15), white amorphous powder. UV (MeCN, H2O) λmax 224. ESITOFMS m/z 277.0969 [M + H]+ (calcd for C11H16O8, 277.0918). 1H NMR (deuterium oxide) δ: 5.08 (d, J = 7.8 Hz, 1H; H-1′), 4.84 (s, 2H; H-5), 3.91 (dd, J = 12.5, 2.0 Hz, 1H; H-6′b), 3.75 (dd, J = 12.5, 5.2 Hz, 1H; H-6′a), 3.56 (br d, J = 8.7 Hz, 1H; H-3′), 3.54–3.46 (m, 3H: 3.51 H-2′; 3.50 H-5′; 3.49 H-4′), 2.09 (s, 3H; 4-CH3). 13C NMR (deuterium oxide) δ 172.20 (C-2), 144.42 (C-4), 136.95 (C-3), 101.50 (C-1′), 76.39 (C-5′), 75.47 (C-3′), 73.13 (C-2′), 71.36 (C-5), 69.35 (C-4′), 60.54 (C-6′), 9.98 (4-CH3).
- Scopolin (16), yellow amorphous powder. UV (MeCN, H2O) λmax 204, 226, 289, 339. ESITOFMS m/z 355.1065 [M + H]+ (calcd for C16H19O9, 355.1024). 1H NMR (deuterium oxide) δ: 8.00 (d, J = 9.5 Hz, 1H; H-4), 7.31 (s, 1H; H-5), 7.25 (s, 1H; H-8), 6.44 (d, J = 9.5 Hz, 1H; H-3), 5.27 (d, J = 7.2 Hz, 1H; H-1′), 3.97 (m, 1H; H-6′a), 3.95 (s, 3H; 6-OCH3), 3.79 (m, 3H; H-6′b), 3.74–3.64 (m, 3H: 3.68 H-2′; 3.71 H-3′; 3.66 H-5′), 3.57 (d, J = 9.1 Hz, 1H; H-4′). 13C NMR (deuterium oxide) δ: 165.19 (C-2), 149.28 (C-9), 146.45 (C-6), 146.24 (C-4), 114.33 (C-10), 113.75 (C-3), 110.31 (C-5), 104.02 (C-8), 100.39 (C-1′), 76.72 (C-3′), 75.87 (C-5′), 73.10 (C-2′), 69.63 (C-4′), 60.81 (C-6′), 56.72 (6-OCH3).
- Isofraxidin-7-O-α-l-rhamnopyranosyl-(1”→6′)-β-d-glucopyranoside (17), yellow amorphous powder. UV (MeCN, H2O) λmax 226, 291, 337. ESITOFMS m/z 531.1772 [M + H]+ (calcd for C23H31O14, 531.1708). 1H and 13C NMR see Table 1.
- 4-Methoxycatechol-2-O-(5′′-O-vanilloyl-β-apiofuranosyl)-(1′′→2′)-β-glucopyranoside (18), white amorphous powder. UV (MeCN, H2O) λmax 220, 265, 290. ESITOFMS m/z 585.1850 [M + H]+ (calcd for C26H33O15, 585.1814). 1H and 13C NMR see Table 1.
- 6-(3-Methoxy-4-hydroxyphenyl)-hexane-2,4-diol-2-O-hexoside (19), UV (MeCN, H2O) λmax 225, 280. ESITOFMS m/z 403.1993 [M + H]+ (calcd for C19H31O9, 403.1963). 1H and 13C NMR see Table 1.
4.8. Caenorhabditis Elegans Culture and Mortality Assay
4.9. Statistical Analysis
5. Conclusions
Supplementary Materials
Author Contributions
Funding
Acknowledgments
Conflicts of Interest
References
- Agyare, C.; Spiegler, V.; Asase, A.; Scholz, M.; Hempel, G.; Hensel, A. An ethnopharmacological survey of medicinal plants traditionally used for cancer treatment in the Ashanti region, Ghana. J. Ethnopharmacol. 2018, 212, 137–152. [Google Scholar] [CrossRef] [PubMed]
- Annan, K.; Amponsah, I.K.; Jato, J.; Nooni, I.K. Pharmacognostic evaluation and physicochemical analysis of Paullinia pinnata L. (Sapindaceae). J. Pharmacogn. Phytochem. 2013, 2, 203–208. [Google Scholar]
- Busia, K. Ghana Herbal Pharmacopoeia, 1st ed.; The Advent Press: Accra, Ghana, 1992. [Google Scholar]
- Chabra, S.C.; Mahunnah, R.L.A.; Mshiu, E.N. Plants used in traditional medicine in eastern Tanzania. V. Angiosperms (Passifloraceae to Sapindaceae). J. Ethnopharmacol. 1991, 33, 143–157. [Google Scholar] [CrossRef]
- Okpekon, T.; Yolou, S.; Gleye, C.; Roblot, F.; Loiseau, P.; Bories, C.; Grellier, P.; Frappier, F.; Laurens, A.; Hocquemiller, R. Antiparasitic activities of medicinal plants used in Ivory Coast. J. Ethnopharmacol. 2004, 90, 91–97. [Google Scholar] [CrossRef] [PubMed]
- Agyare, C.; Spiegler, V.; Sarkodie, H.; Asase, A.; Liebau, E.; Hensel, A. An ethnopharmacological survey and in vitro confirmation of the ethnopharmacological use of medicinal plants as anthelmintic remedies in the Ashanti region, in the central part of Ghana. J. Ethnopharmacol. 2014, 158, 255–263. [Google Scholar] [CrossRef] [PubMed]
- Tamokou Jde, D.; Chouna, J.R.; Fischer-Fodor, E.; Chereches, G.; Barbos, O.; Damian, G.; Benedec, D.; Duma, M.; Efouet, A.P.N.; Wabo, H.K.; et al. Anticancer and antimicrobial activities of some antioxidant-rich cameroonian medicinal plants. PLoS ONE 2013, 8, e55880. [Google Scholar] [CrossRef]
- Spiegler, V.; Liebau, E.; Peppler, C.; Raue, K.; Werne, S.; Strube, C.; Heckendorn, F.; Agyare, C.; Stark, T.; Hofmann, T.; et al. A hydroalcoholic extract from Paullinia pinnata L. roots exerts anthelmintic activity against free-living and parasitic nematodes. Planta Med. 2016, 82, 1173–1179. [Google Scholar] [CrossRef]
- Melendez, P.A.; Capriles, V.A. Molluscicidal activity of plants from Puerto Rico. Ann. Trop. Med. Parasitol. 2002, 96, 209–218. [Google Scholar] [CrossRef]
- Zamble, A.; Carpentier, M.; Kandoussi, A.; Sahpaz, S.; Petrault, O.; Ouk, T.; Hennuyer, N.; Fruchart, J.C.; Staels, B.; Bordet, R.; et al. Paullinia pinnata extracts rich in polyphenols promote vascular relaxation via endothelium-dependent mechanisms. J. Cardiovasc. Pharmacol. 2006, 47, 599–608. [Google Scholar] [CrossRef]
- Ior, L.D.; Uguru, M.O.; Olotu, P.N.; Ohemu, T.L.; Ukpe, A. Evaluation of analgesic and anti-inflammatory activities and phytochemical screening of the leaves extract of Paullinia pinnata (Sapindaceae). J. Chem. Pharm. Res. 2011, 3, 351–356. [Google Scholar]
- Tseuguem, P.P.; Ngangoum, D.A.M.; Pouadjeu, J.M.; Piegang, B.N.; Sando, Z.; Kolber, B.J.; Tidgewell, K.J.; Nguelefack, T.B. Aqueous and methanol extracts of Paullinia pinnata L. (Sapindaceae) improve inflammation, pain and histological features in CFA-induced mono-arthritis: Evidence from in vivo and in vitro studies. J. Ethnopharmacol. 2019, 236, 183–195. [Google Scholar] [CrossRef] [PubMed]
- Annan, K.; Houghton, P.J. Two novel lupane triterpenoids from Paullinia pinnata L. with fibroblast stimulatory activity. J. Pharm. Pharmacol. 2010, 62, 663–668. [Google Scholar] [CrossRef] [PubMed]
- Jackson, N.; Annan, K.; Mensah, A.Y.; Ekuadzi, E.; Mensah, M.L.; Habtemariam, S. A novel triterpene from the roots of Paullinia pinnata: 6alpha-(3’-methoxy-4’-hydroxybenzoyl)-lup-20(29)-ene-3-one. Nat. Prod. Commun. 2015, 10, 563–564. [Google Scholar] [CrossRef] [PubMed]
- Lasisi, A.A.; Ayinde, B.W.; Adeleye, A.O.; Onocha, P.A.; Oladosu, I.A.; Idowu, P.A. New triterpene isovanniloyl and antibacterial activity of constituents from the roots of Paullinia pinnata L. (Sapindaceae). J. Saudi Chem. Soc. 2015, 19, 117–122. [Google Scholar] [CrossRef]
- Annan, K.; Gbedema, S.; Adu, F. Antibacterial and radical scavenging activity of fatty acids from Paullinia pinnata L. Pharmacogn. Mag. 2009, 5, 119. [Google Scholar]
- Dongo, E.; Hussain, H.; Miemanang, R.S.; Tazoo, D.; Schulz, B.; Krohn, K. Chemical constituents of Klainedoxa gabonenses and Paullinia pinnata. Rec. Nat. Prod. 2009, 3, 165–169. [Google Scholar]
- Broadbent, J.L. Cardiotonic acion of two tannins. Br. J. Pharmacol. Chemother. 1962, 18, 167–174. [Google Scholar] [CrossRef]
- Miemanang, R.S.; Krohn, K.; Hussain, H.; Dongo, E. Paullinoside a and paullinomide a: A new cerebroside and a new ceramide from leaves of Paullinia pinnata. Z. Naturforsch. B 2006, 61, 1123–1127. [Google Scholar] [CrossRef]
- Abourashed, E.A.; Toyang, N.J.; Choinski, J., Jr.; Khan, I.A. Two new flavone glycosides from Paullinia pinnata. J. Nat. Prod. 1999, 62, 1179–1181. [Google Scholar] [CrossRef]
- Lunga, P.K.; Tamokou Jde, D.; Fodouop, S.P.; Kuiate, J.R.; Tchoumboue, J.; Gatsing, D. Antityphoid and radical scavenging properties of the methanol extracts and compounds from the aerial part of Paullinia pinnata. Springerplus 2014, 3, 302. [Google Scholar] [CrossRef]
- Lunga, P.K.; Qin, X.J.; Yang, X.W.; Kuiate, J.R.; Du, Z.Z.; Gatsing, D. Antimicrobial steroidal saponin and oleanane-type triterpenoid saponins from Paullinia pinnata. BMC Complement. Altern. Med. 2014, 14, 369. [Google Scholar] [CrossRef] [PubMed]
- Ferreira, D.; Slade, D. Oligomeric proanthocyanidins: Naturally occurring O-heterocycles. Nat. Prod. Rep. 2002, 19, 517–541. [Google Scholar] [CrossRef] [PubMed]
- Idowu, T.O.; Ogundaini, A.O.; Salau, A.O.; Obuotor, E.M.; Bezabih, M.; Abegaz, B.M. Doubly linked, a-type proanthocyanidin trimer and other constituents of Ixora coccinea leaves and their antioxidant and antibacterial properties. Phytochemistry 2010, 71, 2092–2098. [Google Scholar] [CrossRef] [PubMed]
- Kamiya, K.; Watanabe, C.; Endang, H.; Umar, M.; Satake, T. Studies on the constituents of bark of Parameria laevigata Moldenke. Chem. Pharm. Bull. (Tokyo) 2001, 49, 551–557. [Google Scholar] [CrossRef] [PubMed]
- Kamiya, K.; Ohno, A.; Horii, Y.; Endang, H.; Umar, M.; Satake, T. A-type proanthocyanidins from the bark of Parameria laevigata. Heterocycles 2003, 60, 1697–1708. [Google Scholar]
- Lin, H.C.; Lee, S.S. Proanthocyanidins from the leaves of Machilus philippinensis. J. Nat. Prod. 2010, 73, 1375–1380. [Google Scholar] [CrossRef]
- Gu, L.W.; Kelm, M.A.; Hammerstone, J.F.; Zhang, Z.; Beecher, G.; Holden, J.; Haytowitz, D.; Prior, R.L. Liquid chromatographic/electrospray ionization mass spectrometric studies of proanthocyanidins in foods. J. Mass Spectrom. 2003, 38, 1272–1280. [Google Scholar] [CrossRef]
- Karchesy, J.J.; Foo, L.Y.; Hemingway, R.W.; Barofsky, E.; Barofsky, D.F. Fast atom bombardment mass-spectrometry of condensed tannin sulfonate derivatives. Wood Fiber Sci. 1989, 21, 155–162. [Google Scholar]
- Vasconcelos, J.M.; Silva, A.M.; Cavaleiro, J.A. Chromones and flavanones from Artemisia campestris subsp. Maritima. Phytochemistry 1998, 49, 1421–1424. [Google Scholar] [CrossRef]
- Abdullah, N.H.; Salim, F.; Ahmad, R. Chemical constituents of Malaysian U. cordata var. ferruginea and their in vitro α-glucosidase inhibitory activities. Molecules 2016, 21, 525. [Google Scholar] [CrossRef]
- Kang, H.S.; Choi, J.H.; Cho, W.K.; Park, J.C.; Choi, J.S. A sphingolipid and tyrosinase inhibitors from the fruiting body of Phellinus linteus. Arch. Pharm. Res. 2004, 27, 742–750. [Google Scholar] [CrossRef] [PubMed]
- Chattopadhyay, S.K.; Kumar, S.; Kaur, R.; Tandon, S.; Rane, S. Identification and quantification of two antihepatotoxic coumarinolignoids cleomiscosin A and cleomiscosin B in the seeds of Cleome viscosa using liquid chromatography-tandem mass spectrometry. Biomed. Chromatogr. 2009, 23, 340–356. [Google Scholar] [CrossRef] [PubMed]
- Ray, A.B.; Chattopadhyay, S.K.; Kumar, S.; Konno, C.; Kiso, Y.; Hikino, H. Structures of cleomiscosins, coumarino-lignoids of Cleome viscosa seeds. Tetrahedron 1985, 41, 209–214. [Google Scholar] [CrossRef]
- Sajeli, B.; Sahai, M.; Suessmuth, R.; Asai, T.; Hara, N.; Fujimoto, Y. Hyosgerin, a new optically active coumarinolignan, from the seeds of Hyoscyamus niger. Chem. Pharm. Bull. (Tokyo) 2006, 54, 538–541. [Google Scholar] [CrossRef][Green Version]
- Wang, K.-W.; Li, D.; Wu, B.; Cao, X.-J. New cytotoxic dimeric and trimeric coumarins from Chimonanthus salicifolius. Phytochem. Lett. 2016, 16, 115–120. [Google Scholar] [CrossRef]
- Tanaka, H.; Ishihara, M.; Ichino, K.; Ito, K. Total synthesis of coumarinolignans, aquillochin (cleomiscosin C) and cleomiscosin D. Chem. Pharm. Bull. (Tokyo) 1988, 36, 3833–3837. [Google Scholar] [CrossRef][Green Version]
- Proksa, B.; Uhrin, D.; Narantuyaa, S.; Batsuren, D. Cleomiscosins B and D, new coumarino-lignoids from Salsola laricifolia. Pharmazie 1990, 45, 804–806. [Google Scholar]
- Seo, C.; Jeong, W.; Lee, J.E.; Kwon, J.G.; Kim, J.K.; Hong, S.S. Flavonoids from the aerial parts of Astilbe rubra. Chem. Nat. Compd. 2019, 55, 1153–1155. [Google Scholar] [CrossRef]
- Braekman, J.C.; Daloze, D.; Pasteels, J.M. Cyanogenic and other glucosides in a neo-guinean bug Leptocoris isolata—Possible precursors in its host-plant. Biochem. Syst. Ecol. 1982, 10, 355–364. [Google Scholar] [CrossRef]
- Lunga, P.K.; Qin, X.J.; Yang, X.W.; Kuiate, J.R.; Du, Z.Z.; Gatsing, D. A new antimicrobial and radical-scavenging glycoside from Paullinia pinnata var. cameroonensis. Nat Prod Res 2015, 29, 1688–1694. [Google Scholar] [CrossRef]
- Fliniaux, M.A.; Gillet-Manceau, F.; Marty, D.; Macek, T.; Monti, J.P.; Jacquin-Dubreuil, A. Evaluation of the relation between the endogenous scopoletin and scopolin level of some solanaceous and papaver cell suspensions and their ability to bioconvert scopoletin to scopolin. Plant Sci. 1997, 123, 205–210. [Google Scholar] [CrossRef]
- Spiegler, V.; Sendker, J.; Petereit, F.; Liebau, E.; Hensel, A. Bioassay-guided fractionation of a leaf extract from Combretum mucronatum with anthelmintic activity: Oligomeric procyanidins as the active principle. Molecules 2015, 20, 14810–14832. [Google Scholar] [CrossRef] [PubMed]
- Lu, W.C.; Huang, W.T.; Kumaran, A.; Ho, C.T.; Hwang, L.S. Transformation of proanthocyanidin A2 to its isomers under different physiological pH conditions and common cell culture medium. J. Agric. Food Chem. 2011, 59, 6214–6220. [Google Scholar] [CrossRef] [PubMed]
- Zhu, Q.Y.; Holt, R.R.; Lazarus, S.A.; Ensunsa, J.L.; Hammerstone, J.F.; Schmitz, H.H.; Keen, C.L. Stability of the flavan-3-ols epicatechin and catechin and related dimeric procyanidins derived from cocoa. J. Agric. Food Chem. 2002, 50, 1700–1705. [Google Scholar] [CrossRef] [PubMed]
- Zhu, Q.Y.; Hammerstone, J.F.; Lazarus, S.A.; Schmitz, H.H.; Keen, C.L. Stabilizing effect of ascorbic acid on flavan-3-ols and dimeric procyanidins from cocoa. J. Agric. Food Chem. 2003, 51, 828–833. [Google Scholar] [CrossRef] [PubMed]
- Spiegler, V.; Liebau, E.; Hensel, A. Medicinal plant extracts and plant-derived polyphenols with anthelmintic activity against intestinal nematodes. Nat. Prod. Rep. 2017, 34, 627–643. [Google Scholar] [CrossRef]
- Williams, A.R.; Ramsay, A.; Hansen, T.V.; Ropiak, H.M.; Mejer, H.; Nejsum, P.; Mueller-Harvey, I.; Thamsborg, S.M. Anthelmintic activity of trans-cinnamaldehyde and A- and B-type proanthocyanidins derived from cinnamon (Cinnamomum verum). Sci. Rep. 2015, 5, 14791. [Google Scholar] [CrossRef]
- Feliciano, R.P.; Meudt, J.J.; Shanmuganayagam, D.; Krueger, C.G.; Reed, J.D. Ratio of “A-type” to “B-type” proanthocyanidin interflavan bonds affects extra-intestinal pathogenic Escherichia coli invasion of gut epithelial cells. J. Agric. Food Chem. 2014, 62, 3919–3925. [Google Scholar] [CrossRef]
- Howell, A.B.; Reed, J.D.; Krueger, C.G.; Winterbottom, R.; Cunningham, D.G.; Leahy, M. A-type cranberry proanthocyanidins and uropathogenic bacterial anti-adhesion activity. Phytochemistry 2005, 66, 2281–2291. [Google Scholar] [CrossRef]
- Verstraeten, S.V.; Hammerstone, J.F.; Keen, C.L.; Fraga, C.G.; Oteiza, P.I. Antioxidant and membrane effects of procyanidin dimers and trimers isolated from peanut and cocoa. J. Agric. Food Chem. 2005, 53, 5041–5048. [Google Scholar] [CrossRef]
- Dong, X.Q.; Zou, B.; Zhang, Y.; Ge, Z.Z.; Du, J.; Li, C.M. Preparation of A-type proanthocyanidin dimers from peanut skins and persimmon pulp and comparison of the antioxidant activity of A-type and B-type dimers. Fitoterapia 2013, 91, 128–139. [Google Scholar] [CrossRef] [PubMed]
- Kiuchi, F.; Tsuda, Y.; Kondo, K.; Yoshimura, H.; Nishioka, I.; Nonaka, G. Studies on crude drugs effective on visceral larva migrans. III. The bursting activity of tannins on dog roundworm larva. Chem. Pharm. Bull. (Tokyo) 1988, 36, 1796–1802. [Google Scholar] [CrossRef] [PubMed]
- Birch, A.; Clark-Lewis, J.; Robertson, A. 711. The relative and absolute configurations of catechins and epicatechins. J. Chem. Soc. (Resumed) 1957, 3586–3594. [Google Scholar] [CrossRef]
- Freudenberg, K.; Purrmann, L. Raumisomere catechine IV. Justus Liebigs Ann. Chem. 1924, 437, 274–285. [Google Scholar] [CrossRef]
- Zhu, J.J.; Jiang, J.G. Pharmacological and nutritional effects of natural coumarins and their structure-activity relationships. Mol. Nutr. Food Res. 2018, 62. [Google Scholar] [CrossRef] [PubMed]
- Murray, R. Naturally occurring plant coumarins. In Fortschritte der Chemie Organischer Naturstoffe/Progress in the Chemistry of Organic Natural Products; Springer: Berlin/Heidelberg, Germany, 1978; pp. 199–429. [Google Scholar] [CrossRef]
- Kayser, O.; Kolodziej, H. Antibacterial activity of simple coumarins: Structural requirements for biological activity. Z. Naturforsch. C 1999, 54, 169–174. [Google Scholar] [CrossRef]
- Stringlis, I.A.; de Jonge, R.; Pieterse, C.M.J. The age of coumarins in plant-microbe interactions. Plant Cell Physiol. 2019, 60, 1405–1419. [Google Scholar] [CrossRef]
- Begum, S.A.; Sahai, M.; Ray, A.B. Non-conventional lignans: Coumarinolignans, flavonolignans, and stilbenolignans. In Fortschritte der Chemie Organischer Naturstoffe/Progress in the Chemistry of Organic Natural Products; Springer: Berlin/Heidelberg, Germany, 2010; pp. 1–70. [Google Scholar] [CrossRef]
- Siso-Terraza, P.; Luis-Villarroya, A.; Fourcroy, P.; Briat, J.F.; Abadia, A.; Gaymard, F.; Abadia, J.; Alvarez-Fernandez, A. Accumulation and secretion of coumarinolignans and other coumarins in Arabidopsis thaliana roots in response to iron deficiency at high pH. Front. Plant Sci. 2016, 7, 1711. [Google Scholar] [CrossRef]
- Lorimer, S.D.; Mawson, S.D.; Perry, N.B.; Weavers, R.T. Isolation and synthesis of β-miroside an antifungal furanone glucoside from Prumnopitys ferruginea. Tetrahedron 1995, 51, 7287–7300. [Google Scholar] [CrossRef]
- Wagner, H.; Flitsch, K.; Jurcic, K. Cytotoxizität von Siphonosid und aliphatischen Estern des Siphonodins. Planta Med. 1981, 43, 249–251. [Google Scholar] [CrossRef]
- Nahrstedt, A.; Rockenbach, J.; Wray, V. Phenylpropanoid glycosides, a furanone glucoside and geniposidic acid from members of the Rubiaceae. Phytochemistry 1995, 39, 375–378. [Google Scholar] [CrossRef]
- Comte, G.; Allais, D.P.; Chulia, A.J.; Vercauteren, J.; Bosso, C. Phæniceroside, the first natural bis-furanone propane derivative from Juniperus phænicea L. Tetrahedron Lett. 1996, 37, 2955–2958. [Google Scholar] [CrossRef]
- Herrmann, K. Hydroxyzimtsäuren und Hydroxybenzoesäuren enthaltende Naturstoffe in Pflanzen. In Fortschritte der Chemie Organischer Naturstoffe/Progress in the Chemistry of Organic Natural Products; Springer: Berlin/Heidelberg, Germany, 1978; pp. 73–132. [Google Scholar] [CrossRef]
- Yin, T.; Tu, G.; Zhang, Q.; Wang, B.; Zhao, Y. Three new phenolic glycosides from the caulis of Millettia speciosa. Magn. Reson. Chem. 2008, 46, 387–391. [Google Scholar] [CrossRef] [PubMed]
- Hsiao, P.-Y.; Lee, S.-J.; Chen, I.-S.; Hsu, H.-Y.; Chang, H.-S. Cytotoxic cardenolides and sesquiterpenoids from the fruits of Reevesia formosana. Phytochemistry 2016, 130, 282–290. [Google Scholar] [CrossRef] [PubMed]
- Zhong, X.-N.; Otsuka, H.; Ide, T.; Hirata, E.; Takeda, Y. Hydroquinone diglycoside acyl esters from the leaves of Myrsine seguinii. Phytochemistry 1999, 52, 923–927. [Google Scholar] [CrossRef]
- Jimenez, C.; Riguera, R. Phenylethanoid glycosides in plants—Structure and biological-activity. Nat. Prod. Rep. 1994, 11, 591–606. [Google Scholar] [CrossRef] [PubMed]
- Xue, Z.Z.; Yang, B. Phenylethanoid glycosides: Research advances in their phytochemistry, pharmacological activity and pharmacokinetics. Molecules 2016, 21, 991. [Google Scholar] [CrossRef] [PubMed]
- Ellis, B.E. Production of hydroxyphenylethanol glycosides in suspension-cultures of Syringa vulgaris. Phytochemistry 1983, 22, 1941–1943. [Google Scholar] [CrossRef]
- Kim, M.H.; Nugroho, A.; Choi, J.; Park, J.H.; Park, H.J. Rhododendrin, an analgesic/anti-inflammatory arylbutanoid glycoside, from the leaves of Rhododendron aureum. Arch. Pharm. Res. 2011, 34, 971–978. [Google Scholar] [CrossRef]
- Soberon, J.R.; Sgariglia, M.A.; Sampietro, D.A.; Quiroga, E.N.; Sierra, M.G.; Vattuone, M.A. Purification and identification of antibacterial phenolics from Tripodanthus acutifolius leaves. J. Appl. Microbiol. 2010, 108, 1757–1768. [Google Scholar] [CrossRef]
- Matsuda, H.; Ishikado, A.; Nishida, N.; Ninomiya, K.; Fujiwara, H.; Kobayashi, Y.; Yoshikawa, M. Hepatoprotective, superoxide scavenging, and antioxidative activities of aromatic constituents from the bark of Betula platyphylla var. japonica. Bioorg. Med. Chem. Lett. 1998, 8, 2939–2944. [Google Scholar] [CrossRef]
- Mshvildadze, V.; Legault, J.; Lavoie, S.; Gauthier, C.; Pichette, A. Anticancer diarylheptanoid glycosides from the inner bark of Betula papyrifera. Phytochemistry 2007, 68, 2531–2536. [Google Scholar] [CrossRef] [PubMed]
- Archangelsky, K. Ueber Rhododendrol, Rhododendrin und Andromedotoxin. Arch. Exp. Pathol. Phar. 1901, 46, 313–320. [Google Scholar] [CrossRef]
- Kawaguchi, R.; Kim, K.G.; Kim, H.K. On the composition of Rhododendron fauriei leaves. Yakugaku Zasshi 1942, 62, 4–6. [Google Scholar] [CrossRef]
- Tallent, W. d-Betuligenol from Rhododendron maximum L. J. Org. Chem. 1964, 29, 988–989. [Google Scholar] [CrossRef]
- Sosa, A. Sur un hétéroside nouveau de Betula alba L. Comptes Rendus 1933, 196, 1827–1830. [Google Scholar]
- Santamour Jr, F.S.; Vettel, H.E. The distribution of rhododendrin in birch (Betula) species. Biochem. Syst. Ecol. 1978, 6, 107–108. [Google Scholar] [CrossRef]
- Pan, H.; Lundgren, L.N. Rhododendrol glycosides and phenyl glucoside esters from inner bark of Betula pubescens. Phytochemistry 1994, 36, 79–83. [Google Scholar] [CrossRef]
- Šmite, E.; Lundgren, L.N.; Andersson, R. Arylbutanoid and diarylheptanoid glycosides from inner bark of Betula pendula. Phytochemistry 1993, 32, 365–369. [Google Scholar] [CrossRef]
- Matsuda, H.; Morikawa, T.; Toguchida, I.; Harima, S.; Yoshikawa, M. Medicinal flowers. VI. Absolute stereostructures of two new flavanone glycosides and a phenylbutanoid glycoside from the flowers of Chrysanthemum indicum L.: Their inhibitory activities for rat lens aldose reductase. Chem. Pharm. Bull. (Tokyo) 2002, 50, 972–975. [Google Scholar] [CrossRef]
- Shikishima, Y.; Takaishi, Y.; Honda, G.; Ito, M.; Takeda, Y.; Kodzhimatov, O.K.; Ashurmetov, O. Phenylbutanoids and stilbene derivatives of Rheum maximowiczii. Phytochemistry 2001, 56, 377–381. [Google Scholar] [CrossRef]
- Danne, A.; Petereit, F.; Nahrstedt, A. Flavan-3-ols, prodelphinidins and further polyphenols from cistus salvifolius. Phytochemistry 1994, 37, 533–538. [Google Scholar] [CrossRef]
- Inoue, T.; Ishidate, Y.; Fujita, M.; Kubo, M.; Fukushima, M.; Nagai, M. Studies on constituents of Aceraceae plants. I. Constituents in leaves and stem bark of Acer nikoense Maxim. Yakugaku Zasshi 1978, 98, 41–46. [Google Scholar] [CrossRef] [PubMed]
- Klischies, M.; Zenk, M.H. Stereochemistry of C-methylation in the biosynthesis of rhododendrin in Alnus and Betula. Phytochemistry 1978, 17, 1281–1284. [Google Scholar] [CrossRef]
- Inoue, T.; Kenmochi, N.; Furukawa, N.; Fujita, M. Biosynthesis of acerogenin A, a diarylheptanoid from Acer nikoense. Phytochemistry 1987, 26, 1409–1411. [Google Scholar] [CrossRef]
- Roughley, P.J.; Whiting, D.A. Experiments in biosynthesis of curcumin. J. Chem. Soc. Perkin Trans. 1 1973, 2379–2388. [Google Scholar] [CrossRef]
- Kita, T.; Imai, S.; Sawada, H.; Kumagai, H.; Seto, H. The biosynthetic pathway of curcuminoid in turmeric (Curcuma longa) as revealed by 13C-labeled precursors. Biosci. Biotechnol. Biochem. 2008, 72, 1789–1798. [Google Scholar] [CrossRef]
- Schröder, J. A family of plant-specific polyketide synthases: Facts and predictions. Trends Plant Sci. 1997, 2, 373–378. [Google Scholar] [CrossRef]
- Denniff, P.; Whiting, D.A. Biosynthesis of [6]-gingerol, pungent principle of Zingiber officinale. J. Chem. Soc. Chem. Commun. 1976, 711–712. [Google Scholar] [CrossRef]
- Sekiwa, Y.; Kubota, K.; Kobayashi, A. Isolation of novel glucosides related to gingerdiol from ginger and their antioxidative activities. J. Agric. Food Chem. 2000, 48, 373–377. [Google Scholar] [CrossRef]
- Qu, Y.; Liu, C.; Ren, X.; Zhang, Y. Chemical constituents from tuber of Curcuma longa. Zhongguo Yaoke Daxue Xuebao 2013, 44, 207–209. [Google Scholar]
- Killday, K.B.; Davey, M.H.; Glinski, J.A.; Duan, P.G.; Veluri, R.; Proni, G.; Daugherty, F.J.; Tempesta, M.S. Bioactive a-type proanthocyanidins from cinnamomum cassia. J. Nat. Prod. 2011, 74, 1833–1841. [Google Scholar] [CrossRef] [PubMed]
- Bicker, J.; Petereit, F.; Hensel, A. Proanthocyanidins and a phloroglucinol derivative from Rumex acetosa L. Fitoterapia 2009, 80, 483–495. [Google Scholar] [CrossRef] [PubMed]
- Albersheim, P.; Nevins, D.J.; English, P.D.; Karr, A. A method for the analysis of sugars in plant cell-wall polysaccharides by gas-liquid chromatography. Carbohydr. Res. 1967, 5, 340–345. [Google Scholar] [CrossRef]
- Sano, K.; Sanada, S.; Ida, Y.; Shoji, J. Studies on the constituents of the bark of Kalopanax pictus Nakai. Chem. Pharm. Bull. (Tokyo) 1991, 39, 865–870. [Google Scholar] [CrossRef]
- Noe, C.R.; Freissmuth, J. Capillary zone electrophoresis of aldose enantiomers—Separation after derivatization with s-(-)-1-phenylethylamine. J. Chromatogr. A 1995, 704, 503–512. [Google Scholar] [CrossRef]
- Stiernagle, T. Maintenance of C. elegans; The C. elegans Research Community, Ed.; WormBook: Pasadena, CA, USA, 2006; pp. 1–11. Available online: http://www.wormbook.org (accessed on 2 March 2020). [CrossRef]
- Brenner, S. Genetics of Caenorhabditis elegans. Genetics 1974, 77, 71–94. [Google Scholar]
Sample Availability: Samples of the compounds 1, 3, 4, 5, 14 and 15 are available from the author. |







| 17 | 18 | 19 | ||||||
|---|---|---|---|---|---|---|---|---|
| No. | δCm | δHm (J/Hz) | No. | δCm | δHm (J/Hz) | No. | δCm | δHm (J/Hz) |
| 2 | 163.86, C | 1 | 142.67, C | 1 | 21.00, CH3 | 1.26, d (6.3) | ||
| 3 | 114.88, CH | 6.50, d (9.5) | 2 | 152.42, C | 2 | 76.09, CH | 4.00, m | |
| 4 | 146.03, CH | 7.99, d (9.5) | 3 | 103.02, CH | 6.65, d (2.7) | 3 | 43.39, CH2 | 1.64, m |
| 5 | 105.86, CH | 7.14, s | 4 | 149.19, C | 1.83, m | |||
| 6 | 149.86, C | 5 | 109.38, CH | 6.44, dd (8.6, 2.7) | 4 | 68.30, CH | 3.77, m | |
| 7 | 141.07, C | 6 | 115.99, CH | 6.53, d (8.6) | 5 | 38.67, CH2 | 1.76, m | |
| 8 | 140.40, C | 1′ | 101.82, CH | 4.79, d (7.5) | 1.83, m | |||
| 9 | 142.21, C | 2′ | 78.42, CH | 3.63 * | 6 | 30.67, CH2 | 2.62, m | |
| 10 | 116.68, C | 3′ | 78.09, CH | 3.35, d (7.8) | 2.72, m | |||
| 1′ | 102.95, CH | 5.14, d (7.8) | 4′ | 78.87, CH | 3.59 * | 1′ | 135.32, C | |
| 2′ | 73.56, CH | 3.64 * | 5′ | 71.69, CH | 3.35, d (7.8) | 2′ | 113.10, CH | 6.97, br s |
| 3′ | 75.72, CH | 3.57 * | 6′ | 62.61, CH2 | 3.66 * | 3′ | 147.60, C | |
| 4′ | 70.19, CH | 3.42 * | 3.87 * | 4′ | 142.95, C | |||
| 5′ | 75.31, CH | 3.60 * | 1′′ | 110.55, CH | 5.50, d (1.3) | 5′ | 115.69, CH | 6.88, dd (8.0, 1.3) |
| 6′ | 68.48, CH2 | 3.73 * | 2′′ | 78.70, CH | 4.05, d (1.3) | 6′ | 121.31, CH | 6.80, br d (8.0) |
| 3.92 * | 3′′ | 79.23, C | 1′′ | 101.90, CH | 4.37, dd (8.0, 1.2) | |||
| 1′′ | 101.37, CH | 4.69, d (1.5) | 4′′ | 75.39, CH2 | 3.91, d (9.6) | 2′′ | 73.38, CH | 3.20, ddd (9.3, 8.0, 1.2) |
| 2′′ | 70.21, CH | 3.73 * | 4.31, d (9.7) | 3′′ | 75.98, CH | 3.43, dt (9.1, 1.4) | ||
| 3′′ | 70.11, CH | 3.51 * | 5′′ | 67.96, CH2 | 4.28, d (11.3) | 4′′ | 69.82, CH | 3.36, m |
| 4′′ | 71.72, CH | 3.25 * | 4.39, d (11.3) | 5′′ | 76.01, CH | 3.39, m | ||
| 5′′ | 68.92, CH | 3.26 * | 1′′′ | 122.18, C | 6′′ | 60.90, CH2 | 3.70, m | |
| 6′′ | 16.65, CH3 | 1.00, d (5.6) | 2′′′ | 113.73, CH | 7.47, d (1.9) | 3.90, m | ||
| 3′′′ | 148.71, C | OCH3 (3′) | 56.09 | 3.87, d (1.2) | ||||
| OCH3 (8) | 62.33 | 4.05, s | 4′′′ | 152.98, C | ||||
| OCH3 (6) | 56.53 | 3.92, s | 5′′′ | 115.88, CH | 6.78, d (8.3) | |||
| 6′′′ | 125.27, CH | 7.50, dd (8.3, 1.8) | ||||||
| COOH (1′′′) | 167.75 | |||||||
| OCH3 (6) | 56.26 | 3.74 | ||||||
| OCH3 (3′′′) | 56.45 | 3.87 | ||||||
© 2020 by the author. Licensee MDPI, Basel, Switzerland. This article is an open access article distributed under the terms and conditions of the Creative Commons Attribution (CC BY) license (http://creativecommons.org/licenses/by/4.0/).
Share and Cite
Spiegler, V. Anthelmintic A-Type Procyanidins and Further Characterization of the Phenolic Composition of a Root Extract from Paullinia pinnata. Molecules 2020, 25, 2287. https://doi.org/10.3390/molecules25102287
Spiegler V. Anthelmintic A-Type Procyanidins and Further Characterization of the Phenolic Composition of a Root Extract from Paullinia pinnata. Molecules. 2020; 25(10):2287. https://doi.org/10.3390/molecules25102287
Chicago/Turabian StyleSpiegler, Verena. 2020. "Anthelmintic A-Type Procyanidins and Further Characterization of the Phenolic Composition of a Root Extract from Paullinia pinnata" Molecules 25, no. 10: 2287. https://doi.org/10.3390/molecules25102287
APA StyleSpiegler, V. (2020). Anthelmintic A-Type Procyanidins and Further Characterization of the Phenolic Composition of a Root Extract from Paullinia pinnata. Molecules, 25(10), 2287. https://doi.org/10.3390/molecules25102287

