Green and Efficient Ultrasonic-Assisted Extraction of Bioactive Components from Salvia miltiorrhiza by Natural Deep Eutectic Solvents
Abstract
1. Introduction
2. Results
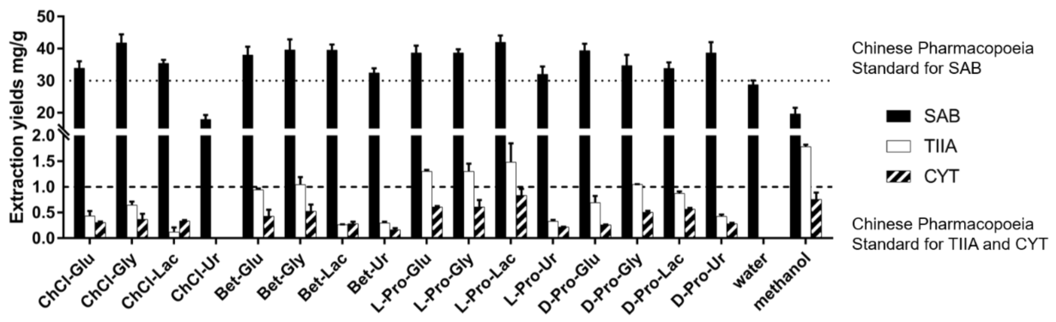
2.1. Screening of NaDESs for the UAE Effect on SM
2.2. Optimization of the Extraction Factors
2.3. Extraction Effect of NaDES for SM from Different Geographic Origins
2.4. DPPH Radical Scavenging Activities of NaDES Extracts
3. Discussion
4. Materials and Methods
4.1. Materials and Reagents
4.2. Preparation of NaDESs
4.3. Extraction Procedure
4.4. Characterization and Quantification of Extracted Components
4.5. DPPH Radical Scavenging Assay
Supplementary Materials
Author Contributions
Funding
Conflicts of Interest
Abbreviations
| SM | Salvia miltiorrhiza |
| NaDES | natural deep eutectic solvent |
| SAB | salvianolic acid B |
| TIIA | tanshinone IIA |
| CYT | cryptotanshinone |
| UAE | ultrasonic assisted extraction |
References
- Paiva, A.; Craveiro, R.; Aroso, I.; Martins, M.; Reis, R.L.; Duarte, A.R.C. Natural deep eutectic solvents—Solvents for the 21st century. ACS Sustain. Chem. Eng. 2014, 2, 1063–1071. [Google Scholar] [CrossRef]
- Choi, Y.H.; van Spronsen, J.; Dai, Y.; Verberne, M.; Hollmann, F.; Arends, I.W.C.E.; Witkamp, G.-J.; Verpoorte, R. Are Natural Deep Eutectic Solvents the Missing Link in Understanding Cellular Metabolism and Physiology? Plant Physiol. 2011, 156, 1701–1705. [Google Scholar] [CrossRef]
- Radošević, K.; Ćurko, N.; Gaurina Srček, V.; Cvjetko Bubalo, M.; Tomašević, M.; Kovačević Ganić, K.; Radojčić Redovniković, I. Natural deep eutectic solvents as beneficial extractants for enhancement of plant extracts bioactivity. LWT Food Sci. Technol. 2016, 73, 45–51. [Google Scholar] [CrossRef]
- Chemat, F.; Vian, M.A.; Cravotto, G. Green extraction of natural products: Concept and principles. Int. J. Mol. Sci. 2012, 13, 8615–8627. [Google Scholar] [CrossRef] [PubMed]
- Zeng, Y.J.; Xu, P.; Yang, H.R.; Zong, M.H.; Lou, W.Y. Purification of anthocyanins from saskatoon berries and their microencapsulation in deep eutectic solvents. LWT Food Sci. Technol. 2018, 95, 316–325. [Google Scholar] [CrossRef]
- Dai, Y.; van Spronsen, J.; Witkamp, G.J.; Verpoorte, R.; Choi, Y.H. Natural deep eutectic solvents as new potential media for green technology. Anal. Chim. Acta 2013, 766, 61–68. [Google Scholar] [CrossRef]
- Dai, Y.; Verpoorte, R.; Choi, Y.H. Natural deep eutectic solvents providing enhanced stability of natural colorants from safflower (Carthamus tinctorius). Food Chem. 2014, 159, 116–121. [Google Scholar] [CrossRef] [PubMed]
- De Faria, E.L.P.; do Carmo, R.S.; Cláudio, A.F.M.; Freire, C.S.R.; Freire, M.G.; Silvestre, A.J.D. Deep eutectic solvents as efficient media for the extraction and recovery of cynaropicrin from cynara cardunculus L. Leaves. Int. J. Mol. Sci. 2017, 18, 2276. [Google Scholar] [CrossRef] [PubMed]
- Gómez, A.V.; Tadini, C.C.; Biswas, A.; Buttrum, M.; Kim, S.; Boddu, V.M.; Cheng, H.N. Microwave-assisted extraction of soluble sugars from banana puree with natural deep eutectic solvents (NADES). LWT Food Sci. Technol. 2019, 107, 79–88. [Google Scholar] [CrossRef]
- Duan, L.; Dou, L.L.; Guo, L.; Li, P.; Liu, E.H. Comprehensive Evaluation of Deep Eutectic Solvents in Extraction of Bioactive Natural Products. ACS Sustain. Chem. Eng. 2016, 4, 2405–2411. [Google Scholar] [CrossRef]
- Dai, Y.; Witkamp, G.J.; Verpoorte, R.; Choi, Y.H. Natural deep eutectic solvents as a new extraction media for phenolic metabolites in carthamus tinctorius L. Anal. Chem. 2013, 85, 6272–6278. [Google Scholar] [CrossRef] [PubMed]
- Cao, J.; Chen, L.; Li, M.; Cao, F.; Zhao, L.; Su, E. Two-phase systems developed with hydrophilic and hydrophobic deep eutectic solvents for simultaneously extracting various bioactive compounds with different polarities. Green Chem. 2018, 20, 1879–1886. [Google Scholar] [CrossRef]
- Li, C.; Yang, J.; Tong, X.; Zhao, C.; He, Y.; Wan, H. Precursor ion scan enhanced rapid identification of the chemical constituents of Danhong injection by liquid chromatography–tandem mass spectrometry: An integrated strategy. J. Chromatogr. A 2019, 1602, 378–385. [Google Scholar] [CrossRef] [PubMed]
- Wu, Y.-B.; Ni, Z.-Y.; Shi, Q.-W.; Dong, M.; Kiyota, H.; Gu, Y.-C.; Cong, B. Constituents from Salvia Species and Their Biological Activities. Chem. Rev. 2012, 112, 5967–6026. [Google Scholar] [CrossRef]
- Wu, W.Y.; Wang, Y.P. Pharmacological actions and therapeutic applications of Salvia miltiorrhiza depside salt and its active components. Acta Pharmacol. Sin. 2012, 33, 1119–1130. [Google Scholar] [CrossRef]
- Zhang, Y.; Xie, Y.; Liao, X.; Jia, Q.; Chai, Y. A Chinese patent medicine Salvia miltiorrhiza depside salts for infusion combined with conventional treatment for patients with angina pectoris: A systematic review and meta-analysis of randomized controlled trials. Phytomedicine 2017, 25, 100–117. [Google Scholar] [CrossRef]
- Jia, Q.; Zhu, R.; Tian, Y.; Chen, B.; Li, R.; Li, L.; Wang, L.; Che, Y.; Zhao, D.; Mo, F.; et al. Salvia miltiorrhiza in diabetes: A review of its pharmacology, phytochemistry, and safety. Phytomedicine 2019, 58, 1–17. [Google Scholar] [CrossRef]
- Chen, Y.; Zhang, N.; Ma, J.; Zhu, Y.; Wang, M.; Wang, X.; Zhang, P. A Platelet/CMC coupled with offline UPLC-QTOF-MS/MS for screening antiplatelet activity components from aqueous extract of Danshen. J. Pharm. Biomed. Anal. 2016, 117, 178–183. [Google Scholar] [CrossRef]
- Fan, Y.; Luo, Q.; Wei, J.; Lin, R.; Lin, L.; Li, Y.; Chen, Z.; Lin, W.; Chen, Q. Mechanism of salvianolic acid B neuroprotection against ischemia/reperfusion induced cerebral injury. Brain Res. 2018, 1679, 125–133. [Google Scholar] [CrossRef]
- Zhang, X.; Zhou, Y.; Gu, Y.E. Tanshinone IIA induces apoptosis of ovarian cancer cells in vitro and in vivo through attenuation of PI3K/AKT/JNK signaling pathways. Oncol. Lett. 2019, 17, 1896–1902. [Google Scholar] [CrossRef]
- Shi, M.J.; Dong, B.S.; Yang, W.N.; Su, S.B.; Zhang, H. Preventive and therapeutic role of Tanshinone IIA in hepatology. Biomed. Pharmacother. 2019, 112, 108676. [Google Scholar] [CrossRef] [PubMed]
- Gao, S.; Liu, Z.; Li, H.; Little, P.J.; Liu, P.; Xu, S. Cardiovascular actions and therapeutic potential of tanshinone IIA. Atherosclerosis 2012, 220, 3–10. [Google Scholar] [CrossRef] [PubMed]
- Chen, J.; Liu, M.; Wang, Q.; Du, H.; Zhang, L. Deep eutectic Solvent-Based Microwave-Assisted method for extraction of hydrophilic and hydrophobic components from radix salviae miltiorrhizae. Molecules 2016, 21, 1383. [Google Scholar] [CrossRef] [PubMed]
- Panić, M.; Gunjević, V.; Cravotto, G.; Radojčić Redovniković, I. Enabling technologies for the extraction of grape-pomace anthocyanins using natural deep eutectic solvents in up-to-half-litre batches extraction of grape-pomace anthocyanins using NADES. Food Chem. 2019, 300, 125185. [Google Scholar] [CrossRef]
- Dai, Y.; van Spronsen, J.; Witkamp, G.-J.; Verpoorte, R.; Choi, Y.H. Ionic liquids and deep eutectic solvents in natural products research: Mixtures of solids as extraction solvents. J. Nat. Prod. 2013, 76, 2162–2173. [Google Scholar] [CrossRef]
- Huang, Y.; Feng, F.; Jiang, J.; Qiao, Y.; Wu, T.; Voglmeir, J.; Chen, Z.G. Green and efficient extraction of rutin from tartary buckwheat hull by using natural deep eutectic solvents. Food Chem. 2017, 221, 1400–1405. [Google Scholar] [CrossRef]
- Zhuang, B.; Dou, L.L.; Li, P.; Liu, E.H. Deep eutectic solvents as green media for extraction of flavonoid glycosides and aglycones from Platycladi Cacumen. J. Pharm. Biomed. Anal. 2017, 134, 214–219. [Google Scholar] [CrossRef]
- Lu, J.; Li, C.; Chai, Y.F.; Yang, D.Y.; Sun, C.R. The antioxidant effect of imine resveratrol analogues. Bioorg. Med. Chem. Lett. 2012, 22, 5744–5747. [Google Scholar] [CrossRef]
- Li, C.; Xu, X.; Tao, Z.; Wang, X.J.; Pan, Y. Resveratrol dimers, nutritional components in grape wine, are selective ROS scavengers and weak Nrf2 activators. Food Chem. 2015, 173, 218–223. [Google Scholar] [CrossRef]
Sample Availability: Not available. |






| No. | Abbreviation | Type of HBA | Type of HBD | HBA/HBD (Water) Ratio | Appearance at Room Temperature |
|---|---|---|---|---|---|
| 1 | ChCl-Glu | Choline Chloride | D-Glucose | 1:1:(2) | Transparent liquid |
| 2 | ChCl-Gly | Glycerol | 1:2 | Transparent liquid | |
| 3 | ChCl-Lac | Lactic Acid | 1:1 | Transparent liquid | |
| 4 | ChCl-Ur | Urea | 1:2 | Transparent liquid | |
| 5 | Bet-Glu | Betaine | D-Glucose | 1:1:(1) | Transparent liquid |
| 6 | Bet-Gly | Glycerol | 1:2 | Transparent liquid | |
| 7 | Bet-Lac | Lactic Acid | 1:1:(1) | Transparent liquid | |
| 8 | Bet-Ur | Urea | 1:1:(2) | Transparent liquid | |
| 9 | D-Pro-Glu | D-Proline | D-Glucose | 1:1:(5) | Transparent liquid |
| 10 | D-Pro-Gly | Glycerol | 2:5 | Viscous liquid | |
| 11 | D-Pro-Lac | Lactic Acid | 1:1 | Viscous liquid | |
| 12 | D-Pro-Ur | Urea | 1:1:(3) | Viscous liquid | |
| 13 | L-Pro-Glu | L-Proline | D-Glucose | 1:1:(5) | Transparent liquid |
| 14 | L-Pro-Gly | Glycerol | 2:5 | Viscous liquid | |
| 15 | L-Pro-Lac | Lactic Acid | 1:1 | Viscous liquid | |
| 16 | L-Pro-Ur | Urea | 1:1:(3) | Viscous liquid | |
| 17 | L-Pro-Ca | Citric Acid | 1:1:(2) | Viscous liquid | |
| 18 | L-Pro-Maa | Malic Acid | 1:1:(1) | Viscous liquid | |
| 19 | L-Pro-Mal | Malonate | 1:1:(2) | Viscous liquid | |
| 20 | L-Pro-Suc | Succinic Acid | 1:1:(5) | Viscous liquid | |
| 21 | L-Pro-Tar | Tartaric Acid | 1:1:(5) | Transparent liquid | |
| 22 | L-Pro-Aa | Ascorbic Acid | 1:1:(5) | Transparent liquid |
© 2019 by the authors. Licensee MDPI, Basel, Switzerland. This article is an open access article distributed under the terms and conditions of the Creative Commons Attribution (CC BY) license (http://creativecommons.org/licenses/by/4.0/).
Share and Cite
He, X.; Yang, J.; Huang, Y.; Zhang, Y.; Wan, H.; Li, C. Green and Efficient Ultrasonic-Assisted Extraction of Bioactive Components from Salvia miltiorrhiza by Natural Deep Eutectic Solvents. Molecules 2020, 25, 140. https://doi.org/10.3390/molecules25010140
He X, Yang J, Huang Y, Zhang Y, Wan H, Li C. Green and Efficient Ultrasonic-Assisted Extraction of Bioactive Components from Salvia miltiorrhiza by Natural Deep Eutectic Solvents. Molecules. 2020; 25(1):140. https://doi.org/10.3390/molecules25010140
Chicago/Turabian StyleHe, Xinping, Jiehong Yang, Yan Huang, Yin Zhang, Haitong Wan, and Chang Li. 2020. "Green and Efficient Ultrasonic-Assisted Extraction of Bioactive Components from Salvia miltiorrhiza by Natural Deep Eutectic Solvents" Molecules 25, no. 1: 140. https://doi.org/10.3390/molecules25010140
APA StyleHe, X., Yang, J., Huang, Y., Zhang, Y., Wan, H., & Li, C. (2020). Green and Efficient Ultrasonic-Assisted Extraction of Bioactive Components from Salvia miltiorrhiza by Natural Deep Eutectic Solvents. Molecules, 25(1), 140. https://doi.org/10.3390/molecules25010140

