Abstract
Novel thiazolidine-2,4-dione carboxamide and amino acid derivatives were synthesized in excellent yield using OxymaPure/N,N′-diisopropylcarbodimide coupling methodology and were characterized by chromatographic and spectrometric methods, and elemental analysis. The antimicrobial and antifungal activity of these derivatives was evaluated against two Gram-positive bacteria (Staphylococcus aureus and Bacillus subtilis), two-Gram negative bacteria (Escherichia coli and Pseudomonas aeruginosa), and one fungal isolate (Candida albicans). Interestingly, several samples demonstrated weak to moderate antibacterial activity against Gram-negative bacteria, as well as antifungal activity. However, only one compound namely, 2-(5-(3-methoxybenzylidene)-2,4-dioxothiazolidin-3-yl)acetic acid, showed antibacterial activity against Gram-positive bacteria, particularly S. aureus.
1. Introduction
The underlying goal for research into medicinal chemistry is to discover new products with greater biological activity, achieving a low number of by-products during the synthesis and low toxicity of both the intermediates and the final products. Accordingly, considerable attention has been devoted to thiazolidinedione derivatives (TZDs), both from a synthetic point of view and biological applications [1,2,3,4,5,6]. In this regard, TZDs have been used as the following: antibacterial and antifungal agents [7,8,9,10,11,12]; anti-inflammatory drugs [13,14,15,16]; aldose reductase inhibitors [17,18]; and anticancer [19,20,21,22,23,24,25], antiplasmodial inhibitors [26], and antidiabetic agents [27,28,29,30,31,32]. Consequently, TZDs have become a pharmacologically important group of heterocyclic compounds and the object of great interest as precursors of novel drugs.
A survey of the literature reveals that the inclusion of the substituted aromatic ring at the ortho position, as well as substituents at the meta position, is required to enhance the biological activity of compounds [33,34]. Regarding the thiazolidinedione ring, substitution at the third position confers antimicrobial properties, especially when chloro, bromo, hydroxyl, and nitro groups are attached to the aromatic moiety [34]. Here we prepared a new series of thiazolidine-2,4-dione carboxamide and amino acid derivatives and characterized their antibacterial activity against Gram-positive, Gram-negative bacteria and fungal as well.
2. Results and Discussion
2.1. Chemistry
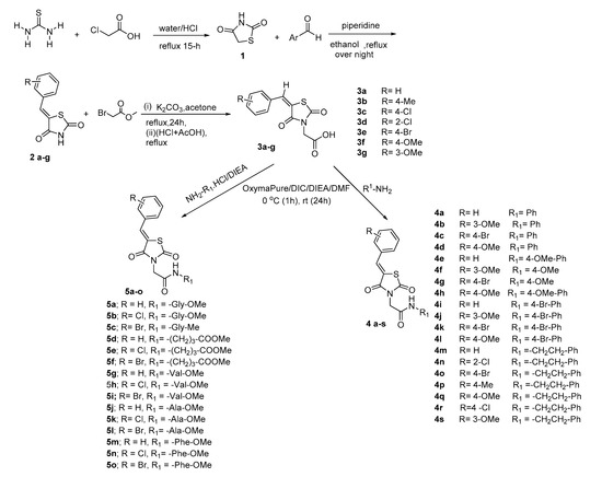
2-(5-Arylidene-2,4-dioxothiazolidine-3-yl)acetic acids 3a–g were synthesized as outlined in Scheme 1, where TZD 1 was prepared following the reported strategy [35] with minor modifications. TZD solution was treated with various appropriate aldehydes via refluxing in ethanol for 24 h in the presence of piperidine as a catalyst to afford compounds 2a–g. Furthermore, reaction of 2a–g with ethyl 2-bromoacetate in acetone in the presence of potassium carbonate as a base, followed by acidic hydrolysis using acetic acid-HCl, furnished target acid derivatives 3a–g. Some spectral data are reported in [7,13,15] and other spectra are given in the Supplementary Materials.
Scheme 1.
Synthesis of 2,4-dioxothiazolidine-carboxamide and amino acid derivatives derivatives.
The acid derivatives 3a–g were reacted with different amines in DMF and in the presence of ethyl (hydroxyimino)cyanoacetate [OxymaPure] and N,N′-diisopropylcarbodiimide (DIC) as a coupling cocktail [36,37] to give the carboxamide derivatives 4a–s in >90% yield (Scheme 1). All the prepared derivatives were characterized by FT-IR, 1H, 13C-NMR techniques and elemental analysis.
It could be envisaged a synthetic scheme based first on the alkylation of the NH of the thiazolidine, followed by the amidation, and finally the condensation with the aldehyde as previously described for different thiazolidine based derivatives [38]. However, the strategy chosen herein facilitates excellent yields for all reactions due presumably to the solubility of all the intermediates in the corresponding solvents.
The 1H-NMR spectrum of 4b as a prototype for the 4a–s series (Figure 1) showed two singlet peaks at δ 3.80 and 4.49 integrated for the hydrogens of the methoxy group and the methylene group Ha, respectively. In addition, multiple peaks at δ 7.07–7.53 represented nine aromatic protons, while the better to numbering it in the figure CH=C=S (Hb) and NH proton appeared at δ 7.95 and 10.38 ppm, respectively.
Figure 1.
Structure of compound 4b.
The 13C-NMR spectrum of 4b showed that two peaks at δ 44.5 and 55.8 belonged to the methylene group (CH2-CO-N-) and (OCH3), respectively, twelve aromatic carbon peaks at δ 116.0, 117.2, 119.6, 121.8, 122.4, 124.2, 129.3, 131.0, 134.2, 134.6, 138.8, and 160.1. In addition, while three peaks appear at δ 164.2, 165.7 and 167.5, were attributed to (CO).
Reaction of 3a–g was performed with amino acid esters hydrochloride using OxymaPure/DIC as a coupling agent in the presence of 1 equiv. DIEA as a base to afford 5a–o as shown in Scheme 1.
All the derivatives prepared were characterized by FT-IR, 1H-NMR, 13C-NMR techniques and elemental analysis.
The 1H-NMR spectrum of 5g (Figure 2) as a prototype for the 5a–o series showed a singlet peak at δ 0.84 ppm, which integrated six protons for 2CH3 (valine residue), and one broad singlet peak at δ 2.00, which integrated one proton for CH(CH3)2 (valine residue), singlet at δ 3.61 represents 3H for OCH3 and two singlet peaks appeared at δ 4.18 and 4.34, related to NHCHCO (valine residue) and NCH2CO, Ha), respectively. Multiple peaks belonging to five aromatic protons appeared at δ 7.51–7.60, while the CH=C-S (Hb) and NH protons appeared at δ 7.92 and 8.64 ppm, respectively.
Figure 2.
Structure of compound 5g.
The 13C-NMR spectrum of 5g displayed six peaks at δ 121.4, 129.8, 130.6, 131.2, 133.3, and 133.8 related to the aromatic carbons, in addition to four peaks at δ 165.6, 165.8, 167.4, 172.1 corresponding to four (CO), and also six peaks at δ 18.5, 19.3, 30.6, 43.6, 52.2 and 58.0, attributed to three carbons, (CH(CH3)2), (NCH2CO), (COOCH3), and (CH CO), respectively.
2.2. Biology
Using the well diffusion technique, we examined the in vitro antibacterial activity of the synthesized compounds against two Gram-positive bacteria, namely Staphylococcus aureus (ATCC 29213) and Bacillus subtilis (ATCC 10400), two Gram-negative bacteria, namely Escherichia coli (ATCC 25922) and Pseudomonas aeruginosa ATCC 27853, and one fungal strain of Candida albicans (ATCC 10231).
Antimicrobial activity was determined by measuring the inhibition zone around each well in mm (Table 1). Inhibition zones above 8 mm indicated that the micro-organism was susceptible to the specific chemical compound used. Data were compared to the positive control standard antibiotic discs of an Impenem (10 µg), Sulfamethzole trioxamethoprim for the bacterial isolates, and Fluconazole for the Candida isolate. Tests were repeated three times and the average of the inhibition zone was recorded in Table 1.
Table 1.
Antimicrobial activity (zones of inhibition, mm) compared with several standard antimicrobial drugs.
Table 1 showed that the tested micro-organisms had variable sensitivity and susceptibility to the chemical compounds. Indeed, the antimicrobial assay revealed that most of compounds tested had no or negligible activity against S. aureus and B. subtilis with the exception of some acid derivatives (3a, 3b, and 3g). This observation could be explained by the difference in the cell wall structure of Gram-positive and Gram-negative bacteria or it may be due to the charges and the kinetics of the chemical compounds, which can damaged the bacterial cell wall via electrostatic interactions, as previously reported by Azevedo et al. [39].
Regarding the series 3a–g, the presence of methoxy and chloro groups and their positions has a great impact on the biological activity. Whereas the methoxy group at the meta position (compound 3g) enhanced the activity more than the same group at the para position (compound 3f) also chloro at the ortho position (compound 3d) showed more activity than the same group at the para position as in 3c. The latter showed only minor activity against Gram-negative bacteria (Ps. aeruginosa), achieving an inhibition zone of 10 mm. The unsubstituted derivative 3a and the derivative with chloro at the ortho position 3d showed moderate activity against C. albicans as shown in Table 1.
The two series of 2,4-dioxothiazolidine carboxamides 4a–s and 2,4-dioxothiazolidine amino acid ester derivatives 5a–o showed no activity against Gram-positive bacteria. While some derivatives showed weak activity against Gram-negative bacteria (E. coli), compounds 4s from the series 4a–s showed weak activity, while compounds 5g, 5h, 5i, 5n and 5o from series 5a–o showed moderate activity. Most of the compounds from series 4a–s, especially derivatives with the ethyl morpholine moiety 4m–s showed activities against Gram-negative bacteria (Ps. aeruginosa), with inhibition zones ranging from 10–14 mm (Table 1). The presence and position of the bromo in the carboxamide series 4a–s had a remarkable effect on the antifungal activity, as shown in 4c, 4k, and 4i (Table 1). On the other hand, the antifungal activity increased as the number of the bromo atom increased in the molecules as shown in 4k vs. 4c (15 mm vs. 12 mm, respectively). In contrast, increasing the methoxy group as in 4h had no effect on activity against C. albicans as shown in Table 1. However, the presence of bromo beside the methoxy group 4g showed good antifungal activity (14 mm).
For the 5a–o series, utilizing glycinate, alaninate, butanoate, and phenylalaninate without any substitution on the benzene ring 5a, 5j, and 5d did not lead to microbial activity, except 5m, which showed activity against C. albicans (12 mm). However, valinate and its derivatives 5g–i did show inhibitory activity. Glycinate derivatives 5a–c showed no activity against Gram-positive or Gram-negative bacteria. However, they exerted antifungal activity when halogen present in the molecule 5b and 5c (15 mm and 13 mm, respectively). The alaninate derivatives with halogen substituent 5k–l demonstrated activity against C. albicans, and the derivative with chloro 5k (18 mm) was more active than the other derivatives. In addition, 5k showed activity (7 mm and 13 mm) against two-Gram negative bacteria (E. coli and Ps. aeruginosa, respectively).
Butanoate derivatives 5d–f showed no antimicrobial activity, except the derivative with a chlorine atom 5e, which showed minor activity against Ps. aeruginosa (12 mm). All valinate derivatives 5g–i recorded activity against gram-negative bacteria and antifungal activity, except 5i with a bromine substitution, which did not exert antifungal activity.
Compound 5o showed antimicrobial activity against E. coli, Ps. Aeruginosa and C.albicans, respectively (10 mm, 12 mm, and 16 mm). These promising new compounds lend themselves to minor structural modifications to enhance their activity or may find applications in other pharmaceutical fields.
3. Materials and Methods
3.1. Materials and Methods
All the starting materials, chemicals, reagents and solvents were purchased from commercial known reputable sources and were used without further purification. TLC (silica gel 60-F254 protected aluminum sheets) was used to monitor the reactions. All melting points were performed in open capillary tubes using a Gallenkamp melting point apparatus (Sigma-Aldrich Chemie GmbH, Taufkirchen, Germany) and are uncorrected. FTIR spectra were recorded on a Shimadzu 8201 PC FTIR spectrophotometer (Shimadzu, Ltd., Chiyoda-ku, Tokyo, Japan). Elemental analyses were performed on a Perkin-Elmer 2400 elemental analyzer (PerkinElmer, Inc., Waltham, MA, USA), and the values found were within ±0.3% of the theoretical values.1H- and 13C-NMR spectra were recorded on a Varian-Agilent-NMR 600 MHz spectrometer (Varian, Inc., Palo Altro, CA, USA).
UPLC-MS conditions were as follows: instrument: Waters Acquity UPLC system (Waters Corp., Milford, MA, USA) and a triple quadrupole (TQD) mass spectrometer equipped with a Z-electrospray interface. Parameters of the electrospray ionization source were as follows: capillary voltage: 3.0 kV; cone voltage: 28 V; desolvation gas: nitrogen with flow 800 L/h; cone gas: nitrogen with flow 70 L/h; source temperature: 120 °C; and desolvation temperature: 300 °C. Analysis was done in full scan mode with positive ionization in the mass range of 50–850 Da. The sample solutions were directly infused to the ion source at a flow rate of 10 µL/min. Data acquisition and processing were done using Waters MassLynx software.
3.2. General Procedure for the Synthesis of 2,4-Dioxothiazolidine Acid Derivatives
2,4-Dioxothiazolidine acid derivatives were prepared in three steps following the reported method [35,40]. A solution of previously prepared TZD 1 was treated with various appropriate aldehydes via refluxing in ethanol for 24 h in the presence of piperidine as a catalyst. The reaction mixture was poured into water, followed by acidification with acetic acid to afford compounds 2a–g. Then a mixture of 2a–g (1 mmol) and ethyl 2-bromoacetate (2 mmol) was refluxed for 24 h in acetone in the presence of potassium carbonate (2 mmol) to furnish the target product as a white solid after evaporation of the solvent. The crude product was used directly in the next step for the preparation of the free carboxylic acid derivatives 3a–g, where the solid product was refluxed with glacial acetic acid and HCl at a ratio of 4:1 for 2 h to afford the pure (2,4-dioxothiazolidine-3-yl)-acetic acid derivatives 3a–g after evaporation of the solvents and crystallization with ethanol. The spectral data for 3a, 3f, and 3g are in good agreement with previously reported ones [7,13,15] and other spectra in the Supplementary Materials.
3.2.1. 2-(5-(4-Methylbenzylidene)-2,4-dioxothiazolidin-3-yl)acetic Acid (3b)
The product was obtained as light-yellow crystals in 96% yield, mp: 226–228 °C. IR (KBr, cm−1): 2950 (CH-aliphatic); 1733, 1685, 1600 (CO); 1H-NMR (DMSO-d6, δ ppm): 2.34 (3H, s, CH), 4.36 (2H, s, CH2COOH); 7.33 (2H, d, J = 6.6 Hz, H3′ & H5′); 7.51 (2H, d, J = 7.2 Hz, H2′ & H6′), 7.92 (1H, s, CH=C). 13C-NMR (DMSO-d6, δ ppm): 21.6 (CH3); 42.7 (CH2-COOH); 119.8, 130.5, 130.7, 134.4, 141.7; 165.5, 167.4, 168.4 (CO). Anal. Calc. for C13H11NO4S (277.3): C, 56.31; H, 4.00; N, 5.05; Found C, 56.44; H, 4.12; N, 5.26. LC/MS (ESI): 278.32 [M + H]+.
3.2.2. 2-(5-(4-Chlorobenzylidene)-2,4-dioxothiazolidin-3-yl)acetic Acid (3c)
The product was obtained as light-yellow crystals in yield 92%, mp: 250–252 °C. IR (KBr, cm−1): 3008 (CH-aromatic); 1738, 1690 & 1607 (CO); 1H-NMR (DMSO-d6, δ ppm): 4.42 (2H, s, CH2-COOH); 7.59–8.00 (4H, m, aromatic protons), 8.03 (1H, s, CH=C); 13C-NMR (DMSO-d6, δ ppm): 42.2 (CH2-COOH); 121.3, 129.3, 131.5, 131.7, 132.4, 35.3; 164.8, 166.5, 167.8 (CO). Anal. Cal. For C12H8ClNO4S (297.7): C, 48.40; H, 2.70; N, 4.70; Found C, 48.61; H, 2.83; N, 4.81. LC/MS (ESI): 298.72 [M + H]+.
3.2.3. 2-(5-(2-Chlorobenzylidene)-2,4-dioxothiazolidin-3-yl)acetic Acid (3d)
The product was obtained as white crystals in 90% yield, mp: 243–245 °C. IR (KBr, cm−1): 3064 (CH-aromatic); (2940) CH-aliphatic; 1490 (C=C); 1722, 1691, 1608 (CO); 1H-NMR (DMSO-d6, δ ppm): 3.78 (3H, s, OCH3); 4.43 (2H, s, CH2COOH); 7.55–7.69 (4H, m, aromatic protons); 8.09 (1H, s, CH=C); 13C-NMR (DMSO-d6, δ ppm): 42.0 (CH2COOH); 124.1, 128.0, 128.8, 130.8, 130.6, 132.0; 134.4 (CH=C); 164.3, 166.3, 167.6 (CO). Anal. Cal. for C12H8ClNO4S (297.7): C, 48.41; H, 2.71; N, 4.70; Found: C, 48.65; H, 2.84; N, 4.95.
3.2.4. 2-(5-(4-Bromobenzylidene)-2,4-dioxothiazolidin-3-yl)acetic Acid (3e)
The product was obtained as yellowish white crystals in 94% yield, mp: 260–262 °C. IR (KBr, cm−1): 2948 (CH-aliphatic); 1696, 1606 (CO); 1H-NMR (DMSO-d6, δ ppm): 4.37 (2H, s, CH2COOH); 7.56, (2H, d, J = 6.6 Hz, H2′ & H6′); 7.73 (2H, d, J = 6 Hz, H3′ & H5′); 7.95 (1H, s, CH=C); 13C-NMR (DMSO-d6, δ ppm): 42.8 (CH2-COOH); 121.9, 124.9, 132.4, 132.8, 133.1; 165.3, 167.08, 168.4 (CO). Anal. Calc. for C12H8BrNO4S (342.16): C, 42.12; H, 2.36; N, 4.09; Found C, 42.45; H, 2.59; N, 4.25.
3.3. General Procedure for the Synthesis of 2,4-Dioxothiazolidine Carboxamide Derivatives 4a–s
A mixture of an acid 3a–g (1 mmol), and OxymaPure (1 mmol) was dissolved in 5 mL DMF at 0 °C, followed by dropwise addition of DIC (1.1 mmol) at 0 °C. The reaction mixture was preactivated for 5 min and then 1 mmol of an amine (aniline, p-OMe aniline, p-Br aniline and 4-(2-aminoethyl) morpholine) was added dropwise at the same temperature. After that, the mixture was stirred at 0 °C for 1 h and then left overnight under stirring at rt. The progress of the reaction was followed by TLC (ethyl acetate-hexane; 4:6 or MeOH-CHCl3; 1:9). Excess water was added, and the mixture was extracted with ethyl acetate three times (3 × 20 mL), followed by washing with 1 N HCl (2 × 10 mL), a saturated solution of Na2CO3 (2 × 10 mL), and a saturated solution of NaCl (10 mL). It was then dried over anhydrous MgSO4 for 20 min (when there was precipitation after pouring into water, the final product was isolated by normal filtration and 3 washings with water).
3.3.1. 2-(5-Benzylidene-2,4-dioxothiazolidine-3-yl)-N-phenylacetamide (4a)
The product was obtained as a white powder from ethanol in 97% yield, mp: 256–258 °C. IR (KBr, cm−1): 3278 (N-H); 1748, 1694 & 1662 (C=O); 1H-NMR (DMSO-d6, δ ppm): 4.50 (2H, s, CH2CO); 7.06–7.64 (10H, m, 2-Ph); 7.98 (1H, s, CH=C); 10.38 (s, 1H, NH); 13C-NMR (DMSO-d6, δ ppm): 44.5 (CH2CONH), 119.6, 121.4, 124.2, 129.3, 129.9, 130.6, 131.3, 133.3, 134.1, 138.8; 164.2, 165.7, 167.6 (CO). Anal.Calc for C18H14N2O3S (338.38): C, 63.89; H, 4.17; N, 8.28; Found: C, 64.02; H, 4.31; N, 8.42. LC/MS (ESI): 339.61 [M + H]+.
3.3.2. 2-(5-(3-Methoxybenzylidene)-2,4-dioxothiazolidine-3-yl)-N-phenylacetamide (4b)
The product was obtained as a white powder from ethanol in 96% yield, mp: 227–229 °C. IR (KBr, cm−1): 3271 (NH); 1745, 1667 (CO); 1H-NMR (DMSO-d6, δ ppm): 3.80 (3H, s, OCH3); 4.50 (2H, s, CH2); 7.07–7.53 (9H, m, aromatic protons); 7.95 (1H, s, CH=C); 10.38 (1 H, s, NH); 13C-NMR (DMSO-d6, δ ppm): 44.5 (CH2CONH); 55.8 (OCH3); 116.0, 117.2, 119.6, 121.8, 122.4, 124.2, 129.3, 131.0, 134.0, 134.6, 138.8, 160.1; 164.2, 165.7, 167.5 (CO). Anal. Calc for C19H16N2O4S (368.41): C, 61.94; H, 4.38; N, 7.60; Found: C, 61.82; H, 4.44; N, 7.82. LC/MS (ESI): 369.54 [M + H]+.
3.3.3. 2-(5-(4-Bromobenzylidene)-2,4-dioxothiazolidine-3-yl)-N-phenylacetamide (4c)
The product was obtained as a white powder from ethanol in 96% yield, mp: 273–275 °C. IR (KBr, cm−1): 3296 (NH); 1748, 1694, 1668 (CO); 1605 (C=C aromatic); 1H-NMR (DMSO-d6, δ ppm): 4.51 (2H, s, CH2-CO); 7.05 (1H, s, H4″); 7.29 (2H, d, J = 3.6 Hz, H3″ & H5″); 7.55 (4H, t, J = 7.2 Hz, H2′, H6′, H3′ & H5′); 7.71 (2H, s, H2″ & H6″); 7.93 (1H, s, CH=C); 10.4 (1H, s, NH); 13C-NMR (DMSO-d6, δ ppm): 44.5 (CH2CONH); 119.6, 122.2, 124.2, 124.8, 129.3, 132.4, 132.5, 132.8, 138.8; 164.1, 165.6, 167.3 (3CO). Anal. Calc for C18H13BrN2O3S (417.28): C, 51. 81; H, 3.14; N, 6.71; Found: C, 51.98; H, 3.33; N, 6.91. LC/MS (ESI): 418.41 [M + H]+.
3.3.4. 2-(5-(4-Methoxybenzylidene)-2,4-dioxothiazolidine-3-yl)-N-phenylacetamide (4d)
The product was obtained as a white powder from ethanol in 98% yield, mp: 249–251 °C. IR (KBr, cm−1): 3297 (NH); 1742, 1679 and 1594 (CO); 1H-NMR (DMSO-d6, δ ppm): 3.81 (3H, s, OCH3); 4.49 (2H, s, CH2); 7.08 (3H, dd, J = 6.6 Hz,3.6 Hz H4″, H3′ & H5′); 7.30 (2H, d, J = 4.2 Hz, H3″ & H5″); 7.53 (2H, s, H2″ & H6″); 7.60 (2H, s, H2′ & H6′); 7.92 (1H, s, CH=C); 10.38 (1H, s, NH); 13C-NMR (DMSO-d6, δ ppm): 44.4 (CH2CO NH); 56.0 (OCH3); 115.5, 118.1, 119.6, 124.1, 125.7, 129.3, 132.8, 134.0, 138.8, 161.7; 164.3, 165.9, 167.7 (CO). Anal. Calc for C19H16N2O4S (368.41): C, 61.94; H, 4.38; N, 7.60; Found: C, 61.77; H, 4.29; N, 7.81. LC/MS (ESI): 369.30 [M + H]+.
3.3.5. 2-(5-Benzylidene-2,4-dioxothiazolidine-3-yl)-N-(4-methoxyphenyl)acetamide (4e)
The product was obtained as a white powder from ethanol in 97% yield, mp: 258–260 °C. IR (KBr, cm−1): 3280 (NH), 1745, 1694, 1658 (CO); 1H-NMR (DMSO-d6, δ ppm): 3.70 (3H, s, OCH3); 4.46 (2H, s, CH2CO); 6.87 (2H, d, J = 7.2 Hz, H3″ & H5″); 7.44 (2H, s, H2″ & H6″); 7.52 (3H, dd, J = 7.8, 6 Hz, H3′, H5′ & H4′); 7.64 (2H, s, H2′ & H6′); 7.97 (1H, s, CH=C); 10.24 (H, s, NH); 13C-NMR (DMSO-d6, δ ppm): 44.4 (CH2CONH); 55.6 (OCH3); 114.4, 121.2, 121.5, 129.9, 130.6, 131.3, 131.9, 133.3, 134.0, 155.9; 163.7, 165.8, 167.6 (3CO). Anal. Calc for C19H16N2O4S (368.41): C, 61.94; H, 4.38; N, 7.60; Found: C, 62.12; H, 4.55; N, 7.87. LC/MS (ESI): 369.41[M + H]+.
3.3.6. 2-(5-(3-Methoxybenzylidene)-2,4-dioxothiazolidine-3-yl)-N-(4-methoxyphenyl)acetamide (4f)
The product was obtained as a white powder from ethanol in 97% yield, mp: 225–227 °C. IR (KBr, cm−1): 3339 (NH), 1749, 1694 & 1612 (CO); 1H-NMR (DMSO-d6, δ ppm): 3.70 (3H, s, OCH3); 3.80 (3H, s, OCH3); 4.46 (2H, s, CH2CO); 6.87 (2H, s, H3″ & H5″); 7.08 (1H, s, H2′); 7.20 (2H, s, H6′ & H4′), 7.44 (3H, t, J = 8.4 Hz, 12 Hz, H2″, H5′, H6″); 7.95 (1H, d, J = 1.2 Hz, CH=C); 10.23 (1H, s, NH); 13C-NMR (DMSO-d6, δ ppm): 44.3 (CH2CONH); 55.6, 55.7 (2OCH3); 114.4, 115.9, 117.1, 121.1, 121.8, 122.4, 130.9, 131.9, 133.9, 134.6, 155.9, 160.1; 163.6, 165.7, 167.5 (CO).Anal. Calc for C20H18N2OS (398.43): C, 60.29; H, 4.55; N, 7.03; Found: C, 60.55; H, 4.67; N, 7.27. LC/MS (ESI): 399.21 [M + H]+.
3.3.7. 2-(5-(4-Bromobenzylidene)-2,4-dioxothiazolidine-3-yl)-N-(4-methoxyphenyl)acetamide (4g)
The product was obtained as a white powder from ethanol in 96% yield, mp: 270–272 °C. IR (KBr, cm−1): 3280 (NH), 1746, 1693, 1662 (CO); 1H-NMR (DMSO-d6, δ ppm): 3.69 (3H, s, OCH3); 4.46 (2H, s, CH2CO); 6.86 (2H, s, H3″ & H5″); 7.43 (2H, s, H2″ & H6″), 7.57 (2H, s, H2′ & H6′), 7.72 (2H, s, H3′ & H5′); 7.93 (1H, s, CH=C); 10.24 (1H, s, NH); 13C-NMR (DMSO-d6, δ ppm); 44.4 (CH2CONH); 55.6 (OCH3); 114.4, 121.2, 122.3, 124.8, 131.9, 132.4, 132.5, 132.8, 132.8, 155.9; 163.6, 165.6, 167.3 (CO). Anal. Calc for C19H15BrN2O4S (447.3): C, 51.02; H, 3.38; N, 6.26; Found: C, 51.39; H, 3.54; N, 6.43. LC/MS (ESI): 448.32 [M + H]+.
3.3.8. 2-(5-(4-Methoxybenzylidene)-2,4-dioxothiazolidine-3-yl)-N-(4-methoxyphenyl)acetamide (4h)
The product was obtained as an off-white powder from ethanol in 98% yield, mp: 257–259 °C. IR (KBr, cm−1): 3270 (NH), 1740, 1687, 1668 (CO); 1H-NMR (DMSO-d6, δ ppm): 3.69 (3H, s, OCH3); 3.81 (3H, s, OCH3); 4.45 (2H, s, CH2); 6.87 (2H, s, H3′ & H5′); 7.09 (2H, s, H2′ & H6′); 7.44 (2H, s, H3′ & H5′); 7.60 (2H, s, H2′ & H6′); 7.91 (1H, s, CH=C); 10.23 (1H, s, NH); 13C-NMR (DMSO-d6, δ ppm); 44.3 (CH2CONH); 55.6, 56.0 (2OCH3); 114.4, 115.5, 118.1, 121.1, 125.8, 132.0, 132.8, 134.0, 155.9, 161.7; 163.8, 165.9, 167.7 (CO). Anal. Calc for C20H18N2O5S (398.43): C, 60.29; H, 4.55; N, 7.03. Found: C, 60.54; H, 4.66; N, 7.29. LC/MS (ESI): 399.62 [M + H]+.
3.3.9. 2-(5-Benzylidene-2,4-dioxothiazolidine-3-yl)-N-(4-bromophenyl)acetamide (4i)
The product was obtained as a white powder from ethyl acetate-ethanol (2:1) in 95% yield, mp: 252–254 °C. IR (KBr, cm−1): 3278 (N-H); 1750, 1693, 1660 (C=O); 1H-NMR (DMSO-d6, δ ppm): 4.51 (2H, s, CH2); 7.50 (5H, s, -Ph proton); 7.54 (2H, d, J = 6 Hz, H2″ & H6″); 7.65 (2H, d, J = 7.2 Hz, H2′ & H6′); 7.98 (1H, s, CH=C); 10.52 (1H, s, NH); 13C-NMR (DMSO-d6, δ ppm); 44.5 (CH2CONH); 115. 8, 121.4, 121.6, 129.9, 130.7, 131.3, 132.2, 133.3, 134.1, 138.2; 164.5, 165.7, 167.5 (CO). Anal. Calc for C18H13BrN2O3S (417.28): C, 51.81; H, 3.14; N, 6.71; Found: C, 51.98; H, 3.23; N, 6.92. LC/MS (ESI): 418.51 [M + H]+.
3.3.10. N-(4-Bromophenyl)-2-(5-(3-methoxybenzylidene)-2,4-dioxothiazolidine-3-yl) acetamide (4j)
The product was obtained as a white powder from ethyl acetate-ethanol (2:1) in yield, mp: 253–255 °C. IR (KBr, cm−1): 3330 (N-H); 1748, 1688, 1609 (CO); 1H-NMR (DMSO-d6, δ ppm): 3.79 (3H, s, OCH3); 4.50 (2H, s, CH2); 7.07–7.49 (8H, m, aromatic proton); 7.94 (1H, s, CH=C); 10.54 (1H, s, NH); 13C-NMR (DMSO-d6, δ ppm): 44.5 (CH2CONH); 55.7 (OCH3); 115.8, 116.0, 117.2, 121.6, 121.7, 122.4, 132.0, 132.2, 134.1, 134.6, 138.1, 160.1; 164.4, 165.64, 167.5 (CO). Anal. Calc for for C19H15BrN2O4S (447.30): C, 51.02; H, 3.38; N, 6.26; Found: C, 51.33; H, 3.51; N, 6.43. LC/MS (ESI): 448.21 [M + H]+.
3.3.11. 2-(5-(4-Bromobenzylidene)-2,4-dioxothiazolidine-3-yl)-N-(4-bromophenyl)acetamide (4k)
The product was obtained as a white powder from ethyl acetate-ethanol (2:1) in 96% yield, mp: 286–288 °C. IR (KBr, cm−1): 3259 (NH); 1748 & 1691 (CO); 1H-NMR (DMSO-d6, δ ppm): 4.50 (2H, s, CH2CO); 7.49 (4H, s, H2″, H3″, H5″ & H6″); 7.57 (2H, s, H2′ & H6′), 7.73 (2H, s, H3′ & H5′), 7.94 (1H, s, CH=C); 10.53 (1 H, s, NH); 13C-NMR (DMSO-d6; δ ppm): 44.5 (CH2CO NH); 115.8, 121.6, 122.2, 124.8, 132.2, 132.4, 132.5, 132.8, 132.9, 138.1 (C-sp2); 164.4, 165.6, 167.3 (CO). Anal. Calc for C18H12Br2N2O3S (496.17): C, 43.57; H, 2.44; N, 5.65; Found: C, 43.71; H, 2.61; N, 5.80. LC/MS (ESI): 497.21 [M + H]+.
3.3.12. N-(4-Bromophenyl)-2-(5-(4-methoxybenzylidene)-2,4-dioxothiazolidine-3-yl)acetamide (4l)
The product was obtained as a yellowish white powder from ethyl acetate-ethanol (2:1) in 98% yield, mp: 260–262 °C. IR (KBr, cm−1): 3267 (NH); 1740 & 1689 (C=O); 1H-NMR (DMSO-d6, δ ppm): 3.81 (3H, s, OCH3); 4.49 (2H, s, CH2CO); 7.09 (2H, d, J = 6.6 Hz, H3′ & H5′); 7.48 (4H, d, J = 7.8 Hz, H2″, H3″, H5″, H6″), 7.60 (2H, s, H2′ & H6′); 7.92 (1H, s, CH=C); 10.52 (1H, s, NH); 13C-NMR (DMSO-d6, δ ppm): 44.4 (CH2CONH); 56.0 (OCH3); 115.5, 115.8, 118.0, 121.5, 125.7, 132.1, 132.8, 134.1, 138.2, 161.8; 164.5, 165.8, 167.6 (CO). Anal. Calc for C19H15BrN2O4S (447.30): C, 51.02; H, 3.38; N, 6.26; Found: C, 51.22; H, 3.47; N, 6.50. LC/MS (ESI): 448.51 [M + H]+.
3.3.13. 2-(5-Benzylidene-2,4-dioxothiazolidine-3-yl)-N-(2-morpholinoethyl)acetamide (4m)
The product was obtained as a white powder from ethanol in 89% yield, mp: 180–182 °C. IR (KBr, cm−1): 3308 (NH); 2941 (CH-aliphatic); 1748, 1691, 1658 (CO); 1H-NMR (DMSO-d6, δ ppm): 2.33 (6H, d, J = 6 Hz), (CH2NCH2 & CH2CH2N); 3.18 (2H, s, NHCH2CH2); 3.54 (4H, s, CH2OCH2); 4.25 (2H, s, NCH2CO); 7.49 (5H, m, -Ph proton); 7.93 (1H, s, CH=C); 8.21 (1H, s, NH); 13C-NMR (DMSO-d6, δ ppm): 36.6 (NHCH2); 43.9 (CH2CO); 53.7 (CH2NCH2); 57.6 (CH2CH2N); 66.6 (CH2OCH2); 121.6, 129.9, 130.6, 131.2, 133.3, 133.7; 165.4, 165.7, 167.5 (CO). Anal. Calc for C18H21N3O4S (375.44): C, 57.58; H, 5.64; N, 11.19; Found: C, 57.69; H, 5.74; N, 11.33. LC/MS (ESI): 376.62 [M + H]+.
3.3.14. 2-(5-(2-Chlorobenzylidene)-2,4-dioxothiazolidine-3-yl)-N-(2-morpholinoethyl)acetamide (4n)
The product was obtained as a white powder from ethanol in 95% yield, mp: 177–179 °C. IR (KBr, cm−1): 3307 (NH); 2958 (CH-aliphatic); 1751, 1703 and 1657 (CO); 1H-NMR (DMSO-d6, δ ppm): 2.33 (6H, s, CH2NCH2 & CH2CH2N); 3.18 (2H, s, NHCH2CH2); 3.54 (4H, s, CH2OCH2; 4.26 (2H, s, NCH2C=O); 7.51 (2H, s, H4′ & H5′);7.59 (1H, d, J = 9 Hz, H6′);7.63 (1H, s, H3′); 8.03 (1H, s, CH=C); 8.24 (1H, s, NH); 13C-NMR (DMSO-d6, δ ppm): 36.6 (NH CH2); 44.0 (CH2-CO); 53.7 (CH2NCH2); 57.6 (CH2CH2N); 66.6 (CH2OCH2); 125.3, 128.6, 128.8, 129.4, 130.8, 131.3, 132.6, 134.9; 165.3, 165.3, 167.3 (CO). Anal. Calc for C18H20ClN3O4S (409.9): C, 52.75; H, 4.92; N, 10.25; Found: C, 52.93; H, 5.01; N, 10.41. LC/MS (ESI): 411.21 [M + H]+.
3.3.15. 2-(5-(4-Bromobenzylidene)-2,4-dioxothiazolidine-3-yl)-N-(2-morpholinoethyl)acetamide (4o)
The product was obtained as a white powder from ethanol in 95% yield, mp: 224–226 °C. IR (KBr, cm−1): 3298 (NH); 2931 (CH-aliphatic); 1751, 1693, 1664 (CO); 1H-NMR (DMSO-d6, δ ppm): 2.34 (6H, s, CH2NCH2 and CH2CH2N); 3.18 (2H, s, NHCH2CH2); 3.54 (4H, s, CH2OCH2); 4.25 (2H, s, NCH2CO); 7.56 (2H, s, H3′ & H5′); 7.73 (2H, s, H2′ & H6′); 7.91 (1H, s, CH=C); 8.21 (1H, s, NH); 13C-NMR (DMSO-d6, δ ppm): 36.6 (NHCH2); 43.9 (CH2CO); 53.7 (CH2NCH2); 57.6 (CH2CH2N); 66.6 (CH2OCH2); 122.5, 124.7, 132.4, 132.5, 132.9; 165.3, 165.6, 167.3 (CO). Anal. Calc for C18H20BrN3O4S (454.3): C, 47.59; H, 4.44; N, 9.25; Found: C, 47.77; H, 4.52; N, 9.49. LC/MS (ESI): 454.3 [M + H]+.
3.3.16. 2-(5-(4-Methylbenzylidene)-2,4-dioxothiazolidine-3-yl)-N-(2-morpholinoethyl)acetamide (4p)
The product was obtained as a white powder from ethanol in 95% yield, mp: 212–214 °C. IR (KBr, cm−1): 3291 (NH); 2933 (CH-aliphatic); 1747, 1696, 1657 (CO); 1H-NMR (DMSO-d6, δ ppm): 2.34 (9H, s, CH2NCH2, CH2CH2N & CH3); 3.18 (2H, s, NHCH2 CH2); 3.54 (4H, s, CH2OCH2); 4.24 (2H, s, NCH2CO); 7.34 (2H, s, H3′ & H5′);7.51 (2H, s, H2′ & H6′); 7.89 (1H, s, CH=C); 8.20 (1H, s, NH); 13C-NMR (DMSO-d6, δ ppm); 21.5 (CH3); 36.6 (NHCH2); 43.9 (CH2CO); 53.7 (CH2NCH2); 57.6 (CH2CH2N); 66.6 (CH2OCH2); 120.4, 130.5, 130.6, 130.7, 133.8 & 141.6; 165.4, 165.8, 167.6 (CO). Anal. Calc for C19H23N3O4S (389.5): C, 58.59; H, 5.95; N, 10.79. Found: 58.71; H, 6.09; N, 10.98. LC/MS (ESI): 390.12[M + H]+.
3.3.17. 2-(5-(4-Methoxylbenzylidene)-2,4-dioxothiazolidine-3-yl)-N-(2-morpholinoethyl)acetamide (4q)
The product was obtained as a white powder from ethanol in 95% yield, mp: 231–233 °C. IR (KBr, cm−1): 3290 (NH); 2933 (CH-aliphatic); 1739, 1691 & 1660 (CO); 1H-NMR (DMSO-d6, δ ppm): 2.33 (6H, d, CH2-N-CH2 & CH2CH2N-); 3.17 (2H, d, J = 4.8 Hz, NHCH2CH2); 3.53 (4H, s, CH2OCH2); 3.81 (3H, t, J = 1.2 Hz, OCH3); 4.24 (2H, s, NCH2CO); 7.09 (1H, s, H3′ & H5′); 7.58 (2H, s, H2′ & H6′); 7.87 (1H, s, CH=CS); 8.20 (1H, s, NH); 13C-NMR (DMSO-d6, δ ppm): 36.6 (NH CH2); 43.8 (CH2CO); 53.7 (CH2NCH2; 56.0 (OCH3); 57.6 (CH2CH2N); 66.6 (CH2OCH2; 115.4, 118.3, 125.8, 132.7, 133.7; 161.7, 165.5, 165.9 & 167.6 (CO). Anal. Calc for C19H23N3O5S (405.47): C, 56.28; H, 5.72; N, 10.36; Found: C, 56.44; H, 5.91; N, 10.55. LC/MS (ESI): 406.81[M + H]+.
3.3.18. 2-(5-(4-Chlorobenzylidene)-2,4-dioxothiazolidine-3-yl)-N-(2-morpholinoethyl)acetamide (4r)
The product was obtained as a white powder from ethanol in 94% yield, mp: 222–224 °C. IR (KBr, cm−1): 3294 (NH); 2930 (CH-aliphatic); 1751, 1693, 1662 (CO). 1H-NMR (DMSO-d6, δ ppm): 2.33 (6H, s, CH2NCH2 & CH2CH2N); 3.17 (2H, s, NHCH2 CH2); 3.53 (4H, s, CH2OCH2); 4.25 (2H, s, NCH2CO); 7.59 (2H, d, J = 1.2 Hz, H3′ & H5′); 7.63 (2H, s, H2′ & H6′); 7.92 (1H, s, CH=C); 8.21 (1H, s, NH); 13C-NMR (DMSO-d6, δ ppm): 36.59 (NH CH2); 43.9 (CH2CO); 53.7 (CH2N-CH2); 57.6 (NHCH2CH2); 66.5 (CH2OCH2); 122.4, 129.9, 132.2, 132.4, 135.8; 165.3; 165.6, 167.3 (CO). Anal. Calc for C18H20ClN3O4S (409.9): C, 52.75; H, 4.92; N, 10.25; Found: C, 52.99; H, 5.10; N, 10.47. LC/MS (ESI): 411.51 [M + H]+.
3.3.19. 2-(5-(3-Methoxybenzylidene)-2,4-dioxothiazolidine-3-yl)-N-(2-morpholinoethyl)acetamide (4s)
The product was obtained as a white powder from ethanol in 95% yield, mp: 164–166 °C. IR (KBr, cm−1): 3296 (NH); 2943 (CH-aliphatic); 1748, 1693, 1659 (CO); 1H-NMR (DMSO-d6, δ ppm): 2.33 (6H, d, J = 6 Hz, (CH2NCH2 & CH2CH2N); 3.18 (2H, s, NHCH2 CH2); 3.53 (4H, s, CH2OCH2); 3.79 (3H, s, OCH3); 4.25 (2H, s, NCH2CO); 7.06 (1H, s, H4′); 7.18 (2H, s, H2′ & H6′); 7.45 (1H, d, J = 6.6 Hz, H5′); 7.91 (1H, s, CH=C); 8.21 (1H, s, NH); 13C-NMR (DMSO-d6, δ ppm): 36.6 (NHCH2); 43.9 (CH2CO); 53.7 (CH2NCH2); 55.8 (OCH3); 57.6 (CH2CH2N); 66.6 (CH2OCH2); 115.9, 117.1, 122.0 122.4, 131.0, 133.7, 134.7 & 160.1; 165. 4, 165.7, 167.5 (CO). Anal. Calc for C19H23N3O5S (405.47): C, 56.28; H, 5.72; N, 10.36; Found: C, 56.45; H, 5.91; N, 10.53. LC/MS (ESI): 406.12 [M + H]+.
3.4. General Procedure for the Synthesis of Amino Acid Ester Derivatives 5a–o
Compounds 5a–o were prepared using the method mentioned above for the preparation of 4a–s, employing OxymaPure/DIC as a coupling reagent in the presence of diisopropylamine (DIEA) as a base to neutralize the amino acid ester hydrochloride salt.
3.4.1. 2-(5-Benzylidene-2,4-dioxothiazolidine-3-yl) acetyl)glycinate (5a)
The product was obtained as a white powder from ethanol in 97% yield, mp: 177–179 °C. IR (KBr, cm−1): 3312 (NH); 1745, 1662, 1698, 1609 (CO); 1H-NMR (DMSO-d6, δ ppm): 3.61 (3H, s, CH3); 3.87 (2H, s, NHCH2CO); 4.31 (2H, s, CH2CONH); 7.47–7.61 (5H, m, aromatic); 7.93 (1H, s, CH=C); 8.74 (1H, s, NH); 13C-NMR (DMSO-d6, δ ppm): 41.1 (NHCH2COO); 43.7 (NCH2CO); 52.2 (COOCH3); 121.5, 129.8, 130.6, 131.2, 133.3, 133.8; 165.6, 166.1, 167.5, 170.4 (CO). Anal. Calc for C15H14N2O5S (334.35): C, 53.89; H, 4.22; N, 8.38; Found: C, 53.11; H, 4.40; N, 8.54. LC/MS (ESI): 335.67 [M + H]+.
3.4.2. Methyl-(2-(5-(4-chlorobenzylidene)-2,4-dioxothiazolidine-3-yl)acetyl)glycinate (5b)
The product was obtained as a white powder from ethanol in 96% yield, mp: 236–238 °C. IR (KBr, cm−1): 3294 (NH); 1751, 1694, 1663, 1610 (CO). 1H-NMR (DMSO-d6, δ ppm): 3.61 (3H, s, OCH3); 3.87 (2H, s, NHCH2COO); 4.31 (2H, s, NCH2CONH); 7.58 (2H, s, H2′ & H6′); 7.63 (2H, s, H3′ & H5′); 7.93 (1H, s, CH=CS); 8.74 (1H, s, NH); 13C-NMR (DMSO-d6, δ ppm): 41.1 (NHCH2COO); 43.7 (CH2CONH); 52.2 (COOCH3); 122.3, 129.9, 132.2, 132.5, 135.8; 165.5, 166.1, 167.2, 170.3 (CO). Anal. Calc for C15H13Cl N2O5S (368.79): C, 48.85; H, 3.55; N, 7.60; Found: C, 48.01; H, 3.56; N, 7.82. LC/MS (ESI): 370.12 [M + H]+.
3.4.3. Methyl-(2-(5-(4-bromobenzylidene)-2,4-dioxothiazolidine-3-yl) acetyl)glycinate (5c)
The product was obtained as a white powder from ethanol in 96% yield, mp: 239–241 °C. IR (KBr, cm−1): 3294 (NH); 1751, 1693, 1664, 1607 (CO); 1H-NMR (DMSO-d6, δ ppm): 3.60 (3H, s, OCH3); 3.87 (2H, s, NHCH2COO); 4.31 (2H, s, CH2CONH); 7.56 (2H, s, H2′ & H5′); 7.72 (2H, s, H3′ & H5′); 7.91 (1H, s, CH=CS); 8.74 (1H, s, NH). 13C-NMR (DMSO-d6, δ ppm): 41.2 (NHCH2COO); 43.7 (CH2CONH); 52.2 (COOCH3); 122.4, 124.7, 132.4, 132.5, 132.6, 132.8; 165.5, 166.1, 167.2, 170.3 (CO). Anal. Calc for C15H13BrN2O5S (413.24): C, 43.60; H, 3.17; N, 6.78. Found: C, 43.81; H, 3.31; N, 6.91. LC/MS (ESI): 415.41 [M + H]+.
3.4.4. Methyl-4-(2-(5-benzylidene-2,4-dioxothiazolidine-3-yl)acetamido)butanoate (5d)
The product was obtained as a white powder from ethanol in 98% yield, mp: 169–171 °C. IR (KBr, cm−1): 3306 (NH); 1734, 1692, 1660 & 1607 (CO); 1H-NMR (DMSO-d6, δ ppm): 1.62 (2H, m, CH2CH2CH2); 2.28 (2H, s, CH2CH2CO); 3.05 (2H, s, NHCH2); 3.55 (3H, s, OCH3); 4.22 (2H, s, NCH2CO); 7.48–7.49 (3H, m, H3′, H4′ & H5′); 7.61 (2H, s, H2′ & H6′);7.93 (1H, s, CH=CS); 8.26 (1H, s, NH); 13C-NMR (DMSO-d6, δ ppm): 24.8 (CH2CH2CH2); 31.0 (CH2CH2CO); 38.5 (NHCH2CH2); 43.9 (NCH2CO); 51.7 (COOCH3); 121.6, 129.8, 130.6, 131.2, 133.3, 133.7; 165.4, 165.7, 167.5, 173.5 (CO). Anal. Calc for C17H18N2O5S (362.40): C, 56.34; H, 5.01; N, 7.73; Found: C, 56.56; H, 5.19; N, 7.98. LC/MS (ESI): 363.41 [M + H]+.
3.4.5. Methyl-4-(2-(5-(4-chlorobenzylidene)-2,4-dioxothiazolidine-3-yl)acetamide)butanoate (5e)
The product was obtained as a white powder from ethanol in 97% yield, mp: 192–194 °C. IR (KBr, cm−1): 3304 (NH); 1743, 1692, 1662, 1609 (CO); 1H-NMR (DMSO-d6, δ ppm): 1.62 (2H, s, CH2CH2CH2); 2.28 (2H, s, CH2CH2CO); 3.05 (2H, s, NHCH2CH2); 3.56 (3H, s, OCH3); 4.22 (2H, s, NCH2CO); 7.59 (2H, s, H3′ & H5′); 7.64 (2H, s, H2′ & H6′); 7.93 (1H, s, CH=CS); 8.25 (1H, s, NH); 13C-NMR (DMSO-d6, δ ppm): δ 24.8 (CH2CH2CH2); 31.0 (CH2CH2CO); 38.5 (NHCH2CO); 44.0 (NCH2CO); 51.7 (COOCH3); 122.4, 129.9, 132.2, 132.4, 135.8; 165.3, 165.6, 167.3, 173.5 (CO). Anal. Calc for C17H17ClN2O5S (396.84): C, 51.45; H, 4.32; N, 7.06; Found: C, 51.61; H, 4.44; N, 7.28. LC/MS (ESI): 398.12 [M + H]+.
3.4.6. Methyl-4-(2-(5-(4-bromobenzylidene)-2,4-dioxothiazolidine-3-yl)acetamido)butanoate (5f)
The product was obtained as a white powder from ethanol in 95% yield, mp: 191–193 °C. IR (KBr, cm−1): 3293 (NH); 1744, 1690, 1659, 1608 (CO); 1H-NMR (DMSO-d6, δ ppm): 1.63 (2H, s, CH2CH2CH2); 2.28 (2H, s, CH2CH2CO); 3.06 (2H, s, NHCH2CH2); 3.55 (3H, s, OCH3); 4.22 (2H, s, NCH2CO); 7.54 (2H, d, J = 2.4 Hz, H2′ & H6′); 7.70 (2H, s, H3′ & H5′); 7.89 (1H, s, CH=CS); 8.27 (1H, s, NH); 13C-NMR (DMSO-d6, δ ppm): 24.8 (CH2CH2CH2); 31.0 (CH2CH2CO); 38.5 (NHCH2CO); 43.9 (NCH2CO); 51.7 (COOCH3); 122.4, 124.7, 132.3, 132.5, 132.8; 165.3, 165.6, 167.3, 173.4 (CO). Anal. Calc for C17H17BrN2O5S (441.30): C, 46.27; H, 3.88; N, 6.35. Found: C, 46.44; H, 4.05; N, 6.58. LC/MS (ESI): 442.52 [M + H]+.
3.4.7. Methyl-2-(5-benzylidene-2,4-dioxothiazolidine-3-yl)acetyl)valinate (5g)
The product was obtained as a white powder from ethanol in 98% yield, mp: 186–188 °C. IR (KBr, cm−1): 3300 (NH); 1749, 1697, 1662 (CO); 1H-NMR (DMSO-d6, δ ppm): δ 0.84 (6H, s, 2 CH3); 2.00 (1H, s, CH(CH3)2); 3.61 (3H, s, OCH3); 4.18 (1H, s, NHCHCO); 4.34 (2H, s, NCH2CO); 7.51–7.60 (5H, m, -Ph proton); 7.92 (1H, s, CH=CS); 8.64 (1H, s, NH); 13C-NMR (DMSO-d6, δ ppm): δ 18.5, 19.3 (2CH3); 30.6 (CH (CH3)2); 43.6 (NCH2CO); 52.2 (COOCH3); 58.0 (CH CO); 121.4, 129.8,130.6, 131.2, 133.3, 133.8; 165.6, 165.8, 167.4, 172.1 (CO). Anal. Calc for C18H20N2O5S (376.43): C, 57.43; H, 5.36; N, 7.44; Found: C, 57.66; H, 5.51; N, 7.61. LC/MS (ESI): 377.92 [M + H]+.
3.4.8. Methyl-(2-(5-(4-chlorobenzylidene)-2,4-dioxothiazolidine-3-yl)acetyl)valinate (5h)
The product was obtained as a yellowish white powder from ethanol in 97% yield, mp: 193–195 °C. IR (KBr, cm−1): 3278 (NH), 1745, 1688, 1658, 1606 (CO); 1H-NMR (DMSO-d6, δ ppm): 0.84 (6H, s, 2CH3); 2.00 (1H, s, CH(CH3)2); 3.62 (3H, s, OCH3); 4.19 (1H, s, NHCHCO); 4.35 (2H, s, NCH2CO); 7.55 (2H, d, J = 9.6 Hz, H2′ & H6′); 7.61 (2H, s, H3′ & H5′); 7.91 (1H, s, CH=CS); 8.65 (1H, s, NH); 13C-NMR (DMSO-d6, δ ppm): 18.5, 19.3 (2CH3); 30.6 (CH (CH3)2); 43.6 (NCH2CO); 52.2 (COOCH3); 57.9 (CH CO); 121.2, 129.9, 132.2, 132.5, 135.8; 165.5, 165.8, 167.1, 172.1 (CO). Anal. Calc for C18H19ClN2O5S (410.87): C, 52.62; H, 4.66; N, 6.82; Found: C, 52.81; H, 4.72; N, 6.63. LC/MS (ESI): 412.33 [M + H]+.
3.4.9. Methyl-2-(5-(4-bromobenzylidene)-2,4-dioxothiazolidine-3-yl)acetyl)valinate (5i)
The product was obtained as a yellowish white powder from ethylacetate-ethanol (2:1) in 96% yield, mp: 222–224 °C. IR (KBr, cm−1): 3280 (NH), 1744, 1688, 1658, 1606 (CO); 1H-NMR (DMSO-d6, δ ppm): 0.84 (6H, d, 2CH3); 2.01 (1H, d, CH(CH3)2); 3.62 (3H, s, OCH3); 4.19 (1H, s, CHCO); 4.35 (2H, s, NCH2CO); 7.53 (2H, s, H2′ & H6′); 7.70 (2H, s, H3′ & H5′); 7.89 (1H, s, CH=CS); 8.65 (1H, s, NH); 13C-NMR (DMSO-d6, δ ppm): 18.5, 19.3 (2CH3); 30.6 (CH (CH3)2); 43.6 (-NCH2CO); 52.2 (COOCH3); 57.9 (CHCO); 122.3, 124.7, 132.3, 132.5, 132.6, 132.8; 165.5, 165.8, 167.1, 172.2 (CO). Anal. Calc for C18H19BrN2O5S (455.32): C, 47.48; H, 4.21; N, 6.15; Found: C, 47.67; H, 4.39; N, 6.31. LC/MS (ESI): 456.43 [M + H]+.
3.4.10. Methyl-2-(5-benzylidene-2,4-dioxothiazolidine-3-yl)acetyl)alaninate (5j)
The product was obtained as a white powder from ethanol and 2 drops dimethylformamide in 97% yield, mp: 202–204 °C. IR (KBr, cm−1): 3304 (NH); 1743, 1691, 1663, 1607 (CO); 1H-NMR (DMSO-d6, δ ppm): 1.26 (3H, s, CH3); 3.59 (3H, s, OCH3); 4.27, 4.28 (3H, d, NCH2COCHCOO); 7.47–7.61 (5H, m, -Ph proton); 7.93 (1H, s, CH=CS); 8.74 (1H, s, NH); 13C-NMR (DMSO-d6, δ ppm): δ 17.5 (CH3); 43.6 (NCH2CO); 48.2 (NHCHCO); 52.4 (COOCH3); 121.5, 129.8, 130.6, 131.2, 133.3, 133.8; 165.4, 165.6, 167.4, 173.1 (CO). Anal. Calc for C16H16N2O5S (348.37): C, 55.16; H, 4.63; N, 8.04; Found: C, 55.33; H, 4.78; N, 8.24. LC/MS (ESI): 349.56 [M + H]+.
3.4.11. Methyl-2-(5-(4-chlorobenzylidene)-2,4-dioxothiazolidine-3-yl)acetyl)alaninate (5k)
The product was obtained as a yellowish white powder from ethylacetate-ethanol (2:1) in 95% yield, mp: 233–235 °C. IR (KBr, cm−1): 3295 (NH); 1748, 1693, 1660, 1608 (CO); 1H-NMR (DMSO-d6, δ ppm): δ 1.25 (3H, s, CH3); 3.59 (3H, s, OCH3); 4.27, 4.28 (3H, d, NCH2COCHCOO); 7.58 (2H, s, H2′ & H6′); 7.62 (2H, s, H3′ & H5′); 7.92 (1H, s, CH=CS); 8.74 (1H, s, NH); 13C-NMR DMSO-d6, δ ppm): δ 17.5 (CH3); 43.6 (NCH2CO); 48.2 (NHCHCOO); 52.4 (COOCH3); 122.2, 129.9, 132.2, 132.5, 135.8 (C-sp2); 165.3, 165.5, 167.2, 173.1 (CO). Anal. Calc for C16H15ClN2O5S (382.82): C, 50.20; H, 3.95; N, 7.32; Found: C, 50.41; H, 4.12; N, 7.51. LC/MS (ESI): 384.22[M + H]+.
3.4.12. Methyl-2-(5-(4-bromobenzylidene)-2,4-dioxothiazolidine-3-yl) acetyl)alaninate (5l)
The product was obtained as a white powder from ethylacetate-ethanol (2:1) in 94% yield, mp: 220–222 °C. IR (KBr, cm−1): 3300 (NH); 1745, 1692, 1661, 1606 (CO); 1H-NMR (DMSO-d6, δ ppm): 1.26 (3H, s, CH3); 3.60 (3H, s, OCH3); 4.28 (3H, s, NCH2COCHCOO); 7.55 (2H, s, H2′ & H6′); 7.71 (2H, s, H3′ & H5′); 7.90 (1H, s, CH=CS); 8.74 (1H, s, NH); 13C-NMR (DMSO-d6, δ ppm): δ 17.5 (CH3); 43.6 (-NCH2CO); 48.2 (NHCH-CO); 52.4 (COOCH3); 122.3, 124.7, 132.4, 132.5, 132.6, 132.8 (C-sp2); 165.3, 165.5, 167.1, 173.1 (CO). Anal. Calc for C16H15BrN2O5S (427.27): C, 44.98; H, 3.54; N, 6.56. Found: C, 45.12; H, 3.66; N, 6.73. LC/MS (ESI): 42,854 [M + H]+.
3.4.13. Methyl-(2-(5-benzylidene-2,4-dioxothiazolidine-3-yl) acetyl)phenylalaninate (5m)
The product was obtained as a white powder from ethanol in 96% yield, mp: 164–166 °C. IR (KBr, cm−1): 3329 (NH); 1740, 1693, 1662 & 1609 (CO); 1H-NMR (DMSO-d6, δ ppm): 2.92 (2H, t, CH2ph); 3.31 (3H, s, COOCH3); 4.26 (2H, s, NCH2CONH); 4.32 (1H, s, NHCHCOO), 7.19–7.61 (10H, m, 2 -Ph proton); 7.93 (1H, s, CH=CS); 8.68 (1H, s, NH); 13C-NMR (DMSO-d6, δ ppm): δ 37.3 (CH2ph); 43.6 (CH2CONH); 54.9 (COOCH3); 81.4 (CHCOOCH3), 121.5, 127.0, 128.6, 129.7, 129.8, 130.6, 131.2, 133.3, 133.8, 137.3; 165.4, 165.6, 167.4, 170.5 (CO). Anal. Calc for C22H20N2O5S (424.47): C, 62.25; H, 4.75; N, 6.60; Found: C, 62.41; H, 4.87; N, 6.80. LC/MS (ESI): 425.82 [M + H]+.
3.4.14. Methyl-2-(5-(4-chlorobenzylidene)-2,4-dioxothiazolidine-3yl)acetyl)phenylalaninate (5n)
The product was obtained as a white powder from ethanol and 2 drops dimethylformamide 94% yield, mp: 164–166 °C. IR (KBr, cm−1): 3341 (NH); 1741, 1685, 1607 (CO); 1H-NMR (DMSO-d6, δ ppm): 2.91 (2H, t, -CH2ph); 3.32 (3H, s, COOCH3); 4.26 (2H, s, CH2CONH), 4.32 (1H, d, J = 4.2 Hz, NHCHCOOCH3), 7.19–7.25 (5H, m, -Ph proton); 7.58 (2H, s, H2′ & H6′); 7.63 (2H, s, H3′ & H5′); 7.93 (1H, s, CH=CS); 8.68 (1H, s, NH); 13C-NMR (DMSO-d6, δ ppm): 37.3 (CH2ph); 43.7 (CH2CONH); 54.9 (COOCH3); 81.4 (CHCOOCH3); 122.3, 127.0, 128.6, 129.7, 129.9, 132.2, 132.5, 135.8, 137.3; 165.4, 165.5, 167.1, 170.5 (CO). Anal. Calc for C22H19ClN2O5S (458.91): C, 57.58; H, 4.17; N, 6.10; Found: C, 57.77; H, 4.32; N, 6.29. LC/MS (ESI): 410.10 [M + H]+.
3.4.15. Methyl-(2-(5-(4-bromobenzylidene)-2,4-dioxothiazolidine-3-yl)acetyl)phenylalaninate (5o)
The product was obtained as a white powder from ethanol in 94% yield, mp: 161–163 °C. IR (KBr, cm−1): 3341 (NH); 1741, 1683, 1606 (CO); 1H-NMR (DMSO-d6, δ ppm): 2.91 (2 H, t, CH2ph); 3.31 (3H, s, COOCH3); 4.26 (2H, s, CH2CONH); 4.32 (1H, d, J = 4.2 Hz, NHCHCOOCH3), 7.19–7.25 (5H, m, -Ph proton); 7.55 (2H, s, H2′ & H6′); 7.71 (2H, s, H3′ & H5′); 7.91 (1H, s, CH=CS); 8.69 (1H, s, NH). 13C-NMR (DMSO-d6, δ ppm): 37.3 (CH2ph); 43.7 (CH2CONH); 54.9 (COOCH3); 81.3 (CHCOOCH3), 122.4, 124.7, 127.0, 128.6, 129.7, 132.2, 132.4, 132.5, 132.6, 132.8, 137.3; 165.4, 165.5, 167.1, 170.5 (CO). Anal. Calc for C22H19BrN2O5S (503.37): C, 52.49; H, 3.80; N, 5.57; Found: C, 52.64; H, 4.01; N, 5.71. LC/MS (ESI): 503.54 [M + H]+.
3.5. Antimicrobial Activity
3.5.1. Microbial Preparation
All tested organisms were pre-cultured on Nutrient agar plates (Oxoid, Lenexa, KS, USA) incubated at 37 °C for 18–24 h, and microbial suspensions of each of the pure isolates, following pre culture, were prepared in nutrient broth tubes with 0.5 McFarland turbidity needed for the in vivo antimicrobial test. We tested two gram-positive bacteria, namely Staphylococcus aureus ATCC 29213 and Bacillus subtilis ATCC 10400, two-gram negative bacteria, namely Escherichia coli ATCC 25922 and Pseudomonas aeruginosa ATCC 27853, and one fungal isolate, Candida albicans ATCC 10231.
3.5.2. Well Diffusion Technique
Before applying the in vivo antimicrobial test, 20 mg of each chemical compound was dissolved in 1 mL DMSO and mixed thoroughly to form a solution. Mueller Hinton plates were prepared for the sensitivity test. Next, each microbial suspension was spread on the surface of the plates using a sterile cotton swab. Equidistant holes with a diameter of 6 mm were then made using a sterile cork borer. One hundred µL of each chemical compound was added to the corresponding well. Plates were incubated at 37 °C for 18–24 h. Antimicrobial activity was determined by measuring the inhibition zone around each well in mm. Inhibition zones above 8 mm in diameter indicated susceptibility of the micro-organism to the specific compound used. Data were compared to the positive control standard impenem 10 μg antibiotic discs, sulfamethoxazole trimethoprim for the bacterial isolates, and fluconazole for the Candida isolate. Tests were repeated three times and the average of the inhibition zone was recorded (Table 1).
4. Conclusions
Novel thiazolidine-2,4-diones carboxamide and amino acid derivatives were synthesized in excellent yield and purity using OxymaPure/DIC coupling methodology and were characterized by IR, NMR (1H and 13C), elemental analysis, and LC-MS. The presence of the OxymaPure as additive during the coupling facilitates this reaction, which is not straightforward due to the poor reactivity of the carboxylic moiety.
Interestingly, some compounds from the three series showed weak activity against E. coli, while most of the prepared compounds showed weak to moderate activity against gram-negative bacteria P. aeruginosa and antifungal activity against C. albicans. On the other hand, none of the prepared compounds showed any any antimicrobial activity against Gram-positive bacteria (S. aureus and B. subtilis) except compound 3g that gave good activity against S. aureus. These results are of special relevance because to the lack of new antibiotic drugs against Gram-negative resistant strains.
Finally, the type of substituent at the thiazolidine ring and at carboxylic moiety (carboxamide or amino acid ester derivatives) has a great impact on the antimicrobial activity of the compound. Based on these results, the preparation of a new series of compounds with different thiazolidine derivatives are currently carrying out in our laboratories with the objective of finding compounds with better antimicrobial activity against Gram-negative bacteria.
Supplementary Materials
The following are available online, Figures S1–S37 represent the NMR (1H and 13C) spectra for the prepared compounds.
Author Contributions
Chemistry part was carried out by R.A.A. and the series were designed and supervised by A.E.-F., Z.A., B.G.d.l.T., and F.A. the antimicrobial part was carried by S.I.B. all authors were contributed in the explanation of the results. The first draft of the manuscript was prepared by R.A.A., Z.A., and S.I.B. and all authors were contributed in the final version. All authors have read and agreed to the published version of the manuscript.
Funding
This research received no external funding.
Acknowledgments
This work was funded in part by the following: the International Scientific Partnership Program ISPP at King Saud University (ISPP# 0061) (Saudi Arabia); National Research Foundation (NRF) and the University of KwaZulu-Natal (South Africa); MINECO, (RTI2018-093831-B-100), and the Generalitat de Catalunya (2017 SGR 1439) (Spain).
Conflicts of Interest
The authors declare no conflict of interest.
References
- Asati, V.; Mahapatra, D.K.; Bharti, S.K. Thiazolidine-2,4-diones as multi-targeted scaffold in medicinal chemistry: Potential anticancer agents. Eur. J. Med. Chem. 2014, 87, 814–833. [Google Scholar] [CrossRef] [PubMed]
- Chadha, N.; Bahia, M.S.; Kaur, M.; Silakari, O. Thiazolidine-2,4-dione derivatives: Programmed chemical weapons for key protein targets of various pathological conditions. Bioorg. Med. Chem. 2015, 23, 2953–2974. [Google Scholar] [CrossRef] [PubMed]
- Jain, V.S.; Vora, D.K.; Ramaa, C.S. Thiazolidine-2,4-diones: Progress towards multifarious applications. Bioorg. Med. Chem. 2013, 21, 1599–1620. [Google Scholar] [CrossRef] [PubMed]
- Ayhan-Kilcigil, G.; Altanlar, N. Synthesis of 3-substituted phenacyl-5-[2-phenyl-4H-4-oxo-1-benzopyran-6-yl)methylenyl]-thiazolidine-2,4-diones and evaluation of their antimicrobial activity. Arzneim. Forsch. Drug Res. 2000, 50, 154. [Google Scholar] [CrossRef]
- Tuncbilek, M.; Altanlar, N. Synthesis of new 3-(pubstituted phenacyl)-5-[3′-(4H-4-oxo-1-benzopyran-2-yl)-benzylidene]-2,4-thiazolidinediones and their antimicrobial activity. Arch. Pharm. Chem. Life Sci. 2006, 339, 213–216. [Google Scholar] [CrossRef] [PubMed]
- Bozdağ-Dundar, O.; Ozen, O.; Arzu, M.; Nurten, A.; Onur, A.; Engin, K.; Rahmiye, E. Synthesis and antimicrobial activity of some new thiazolyl thiazolidine-2,4-dione derivatives. Bioorg. Med. Chem. 2007, 15, 6012–6017. [Google Scholar] [CrossRef] [PubMed]
- Alegaon, S.G.; Alagawadi, K.R.; Pawar, S.M.; Vinod, D.; Rajput, U. Synthesis, characterization, and biological evaluation of thiazolidine-2,4-dione derivatives. Med. Chem. Res. 2014, 23, 987–994. [Google Scholar] [CrossRef]
- Khan, F.A.K.; Patil, R.H.; Shinde, D.B.; Sangshett, J.N. Design and synthesis of 4′-((5-benzylidene-2,4-dioxothiazolidin-3-yl)methyl)biphenyl-2-carbonitrile analogs as bacterial Peptide deformylase inhibitors. Chem. Biol. Drug. Des. 2016, 88, 938–944. [Google Scholar] [CrossRef]
- Trotsko, N.; Kosikowska, U.; Paneth, A.; Plech, T.; Malm, A.; Wujec, M. Synthesis and antibacterial activity of New Thiazolidine-2,4-dione-based chlorophenylthiosemi carbazone hybrids. Molecules 2018, 23, 1023. [Google Scholar] [CrossRef]
- Moorthy, P.; Ekambaram, S.P.; Perumal, S.S. Synthesis, characterization and antimicrobial evaluation of imidazolylthiazolidinedione derivatives. Arabian J. Chem. 2014, 8, 1–7. [Google Scholar]
- Alagawadi, K.R.; Alegaon, S.G. Synthesis, characterization and antimicrobial activity evaluation of new 2,4-Thiazolidinediones bearing Imidazo [2, 1-b] [1, 3, 4] thiadiazole moiety. Arabian J. Chem. 2011, 4, 465–472. [Google Scholar] [CrossRef]
- Aneja, D.K.; Lohan, P.; Arora, S.; Sharma, C.; Aneja, K.R.; Prakash, O. Synthesis of new pyrazolyl-2,4-thiazolidinediones as antibacterial and antifungal agents. Org. Med. Chem. Lett. 2011, 1, 1–15. [Google Scholar] [CrossRef] [PubMed]
- Mori, M.; Takagi, M.; Noritake, C.; Kagabu, S. 2,4-Dioxo-1,3-thiazolidine derivatives as a lead for new fungicides. J. Pestic. Sci. 2008, 33, 357–363. [Google Scholar] [CrossRef]
- Barros, C.D.; Amato, A.A.; de Oliveira, T.B.; Iannini, K.B.R.; da Silva, A.L.; da Silva, T.G.; Leite, E.S.; Hernandes, M.Z.; de Lima, M.D.A.; Galdino, S.L.; et al. Synthesis and anti-inflammatory activity of new arylidene-thiazolidine-2,4-diones as PPARγ ligands. Bioorg. Med. Chem. 2010, 18, 3805–3811. [Google Scholar] [CrossRef]
- Maccari, R.; Vitale, R.M.; Ottanà, R.; Rocchiccioli, M.; Marrazzo, A.; Cardile, V.; Graziano, A.C.E.; Amodeo, P.; Mura, U.; Corso, A.D. Structure-activity relationships and molecular modelling of new 5-arylidene-4-thiazolidinone derivatives as aldose reductase inhibitors and potential anti-inflammatory agents. Eur. J. Med. Chem. 2014, 81, 1–14. [Google Scholar] [CrossRef]
- Youssef, M.; White, M.S.; Villanueva, E.B.; El-Ashmawy, I.M.; Klegeris, A. Synthesis and biological evaluation of novel pyrazolyl-2,4-thiazolidinediones as anti-inflammatory and neuroprotective agents. Bioorg. Med. Chem. 2010, 18, 2019–2028. [Google Scholar] [CrossRef]
- Ottanà, R.; Maccari, R.; Giglio, M.; Del Corso, A.; Cappiello, M.; Mura, U.; Cosconati, S.; Marinelli, L.; Novellino, E.; Sartini, S.; et al. Identification of 5-arylidene-4-thiazolidinone derivatives endowed with dual activity as aldose reductase inhibitors and antioxidant agents for the treatment of diabetic complications. Eur. J. Med. Chem. 2011, 46, 2797–2806. [Google Scholar] [CrossRef]
- Pandey, J.; Ali, A.; Gupta, A.K. Synthesis and evaluation of some new 2-(5-(4-benzamidobenzylidene)-2,4-dioxothiazolidin-3-yl) acetic acid analogs as aldose reductase inhibitors. Asian J. Pharm. Clin. Res. 2017, 10, 62–66. [Google Scholar]
- Kumar, K.S.; Reddy, B.M.; Babu, V.H. Synthesis of some novel 2,4-thiazolidinedione incorporated pyrazole derivatives as anti-cancer agent. Int. J. Pharm. Pharm. Sci. 2014, 6, 831–834. [Google Scholar]
- Trotsko, N.; Przekora, A.; Zalewska, J.; Ginalska, G.; Paneth, A.; Wujec, M. Synthesis and in vitro antiproliferative and antibacterial activity of new thiazolidine-2,4-dione derivatives. J. Enzyme. Inhib. Med. Chem. 2017, 33, 17–24. [Google Scholar] [CrossRef]
- Ozen, C.; C-Unlusoy, M.; Aliary, N.; Ozturk, M.; B-Dundar, O. Thiazolidinedione or Rhodanine: A study on synthesis and anti-cancer activity comparison of novel thiazole derivatives. J. Pharm. Sci. 2017, 20, 415–427. [Google Scholar] [CrossRef] [PubMed]
- Asati, V.; Bharti, S.K. Design, synthesis and molecular modeling studies of novel thiazolidine-2,4-dione derivatives as potential anti-cancer agents. J. Mol. Structure. 2018, 1154, 406–417. [Google Scholar] [CrossRef]
- Pavase1, L.S.; Mane, D.V. Synthesis and anticancer studies of 1-4-(2,4-Dioxo-thiazolidin-5-ylidenemethyl)-benzenesulfonyl]-pyrrolidine-2-carboxylic acid derivatives. Chem. Biol. Inter. 2017, 7, 183–194. [Google Scholar]
- Liu, K.; Rao, W.; Parikh, H.; Li, Q.; Guo, T.; Grant, S.; Kellogg, G.; Zhang, S. 3,5-Disubstituted-thiazolidine-2,4-dione analogs as anticancer agents: Design, synthesis and biological characterization. Eur. J. Med. Chem. 2012, 47, 125–137. [Google Scholar] [CrossRef] [PubMed]
- Sharma, P.; Reddy, T.S.; Kumar, N.P.; Senwar, K.R.; Bhargava, S.K.; Shankaraiah, N. Conventional and microwave-assisted synthesis of new 1H-benzimidazole-thiazolidinedione derivatives: A potential anticancer scaffold. Eur. J. Med. Chem. 2017, 138, 234–245. [Google Scholar] [CrossRef]
- Sharma, R.K.; Younis, Y.; Mugumbate, G.; Njoroge, M.; Gut, J.; Rosenthal, P.J.; Chibale, K. Synthesis and structure reactivity-relationship studies of thiazolidinediones as antiplasmodial inhibitors of the Plasmodium falciparum cysteine protease falcipain-2. Eur. J. Med. Chem. 2015, 90, 507–518. [Google Scholar] [CrossRef]
- Datar, P.A.; Aher, S.B. Design and synthesis of novel thiazolidine-2,4-diones as hypoglycemic agents. J. Saudi Chem. Soc. 2016, 20, 196–201. [Google Scholar] [CrossRef]
- Shrivastava, S.K.; Batham, A.; Sinha, S.K.; Parida, T.K.; Garabadu, D.; Choubey, P.K. Design, synthesis and evaluation of novel thiazolidinedione derivatives as anti-hyperglycemic and anti-hyperlipidemic agents. Med. Chem. Res. 2016, 25, 2258–2266. [Google Scholar] [CrossRef]
- Naim, M.J.; Alam, M.J.; Nawaz, F.; Naidu, V.G.M.; Aaghaz, S.; Sahu, M.; Siddiqui, N.; Alam, O. Synthesis, molecular docking and anti-diabetic evaluation of 2,4-thiazolidinedione based amide derivatives. Bioorg. Chem. 2017, 73, 24–36. [Google Scholar] [CrossRef]
- Bhat, B.A.; Ponnala, S.; Sahu, D.P.; Tiwari, P.; Tripathi, B.K.; Srivastava, A.K. Synthesis and anti-hyperglycemic activity profiles of novel thiazolidinedione derivatives. Bioorg. Med. Chem. 2004, 12, 5857–5864. [Google Scholar] [CrossRef]
- Mahapatra, M.K.; Kumar, R.; Kumar, M. Exploring sulfonate esters of 5-arylidene thiazolidine-2,4-diones as PTP1B inhibitors with anti-hyperglycemic activity. Med. Chem. Res. 2018, 27, 476–487. [Google Scholar] [CrossRef]
- Yoshioka, T.; Fujita, T.; Kanai, T.; Aizava, Y.; Kurumada, T.; Hasegava, K.; Horikoshi, H. Studies on hindered phenols and analogues. 1. Hypolipidemic and hypoglycemic agents with ability to inhibit lipid peroxidation. J. Med. Chem. 1989, 32, 421–428. [Google Scholar] [CrossRef] [PubMed]
- Rakowitz, D.; Maccari, R.; Ottaná, R.; Vigorita, M.G. In vitro aldose reductase inhibitory activity of 5-benzyl-2,4-thiazolidinediones. Bioorg. Med. Chem. 2006, 14, 567–574. [Google Scholar] [CrossRef] [PubMed]
- Momose, Y.; Maekawa, T.; Odaka, H.; Ikeda, H.; Sohdad, T. Novel 5-Substituted-1H-tetrazole derivatives as potent glucose and lipid lowering agents. Chem. Pharm. Bull. 2002, 50, 100–111. [Google Scholar] [CrossRef] [PubMed]
- Kumar, B.R.P.; Karvekar, M.D.; Adhikary, L.; Nanjan, N.J.; Suresh, B. Microwave induced synthesis of the thiazolidine-2,4-dione motif and the efficient solvent free-solid phase parallel syntheses of 5-Benzylidene-thiazolidine-2,4-dione and 5-benzylidene-2-thioxo-thiazolidine-4-one compounds. J. Hetero. Chem. 2006, 43, 897–903. [Google Scholar] [CrossRef]
- S-Funosas, R.; Prohens, R.; Barbas, R.; El-Faham, A.; Albericio, F. Oxyma: An Efficient additive for peptide synthesis to replace the benzotriazole-based HOBt and HOAt with a lower risk of explosion. Chem. Eur. J. 2009, 15, 9394–9403. [Google Scholar] [CrossRef]
- El-Faham, A.; Almarhoon, Z.; Ab-Megeed, A.; Albericio, F. OxymaPure/DIC: An efficient reagent for the synthesis of a novel series of 4-[2-(2-Acetylaminophenyl)-2-oxo-acetylamino] benzoyl amino acid ester derivatives. Molecules 2013, 18, 14747–14759. [Google Scholar] [CrossRef]
- Romagnoli, R.; Baraldi, P.G.; Kimatrai Salvador, M.; Camacho, M.E.; Balzarini, J.; Bermejo, J.; Estévez, F. Anticancer activity of novel hybrid molecules containing 5-benzylidene thiazolidine-2,4-dione. Eur. J. Med. Chem. 2013, 63, 544–557. [Google Scholar] [CrossRef]
- Azevedo, M.M.; Ramalho, P.; Silva, A.P.; T.-Santos, R.; P.-Vaz, C.; Rodrigues, A.G. Polyethyleneimine (PEI) and PEI-based nanoparticles: Novel bacterial and yeast biofilm inhibitors. J. Med. Microbiol. 2014, 63, 1167–1173. [Google Scholar] [CrossRef]
- Maccari, R.; Ottana, R.; Curinga, C.; Vigorita, M.G.; Rakowitz, D.; Steindl, T.; Langer, T. Structure–activity relationships and molecular modelling of 5-arylidene-2,4-thiazolidinediones active as aldose reductase inhibitors. Bioorg. Med. Chem. 2005, 13, 2809–2823. [Google Scholar] [CrossRef]
Sample Availability: Samples of the compounds 4a–s and 5a–o are available from the authors. |
© 2019 by the authors. Licensee MDPI, Basel, Switzerland. This article is an open access article distributed under the terms and conditions of the Creative Commons Attribution (CC BY) license (http://creativecommons.org/licenses/by/4.0/).


