An Example of Polynomial Expansion: The Reaction of 3(5)-Methyl-1H-Pyrazole with Chloroform and Characterization of the Four Isomers
Abstract
1. Introduction
2. Results and Discussion
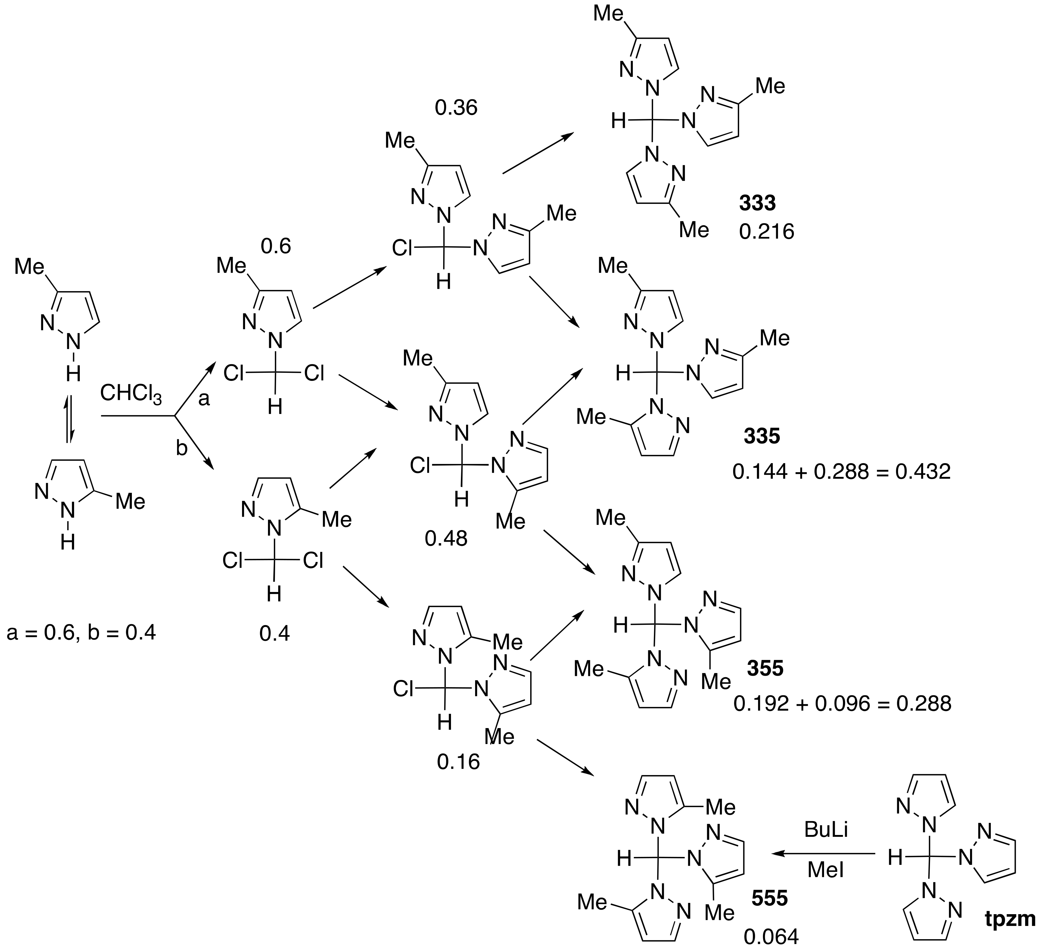
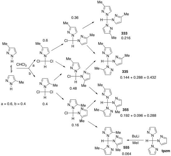
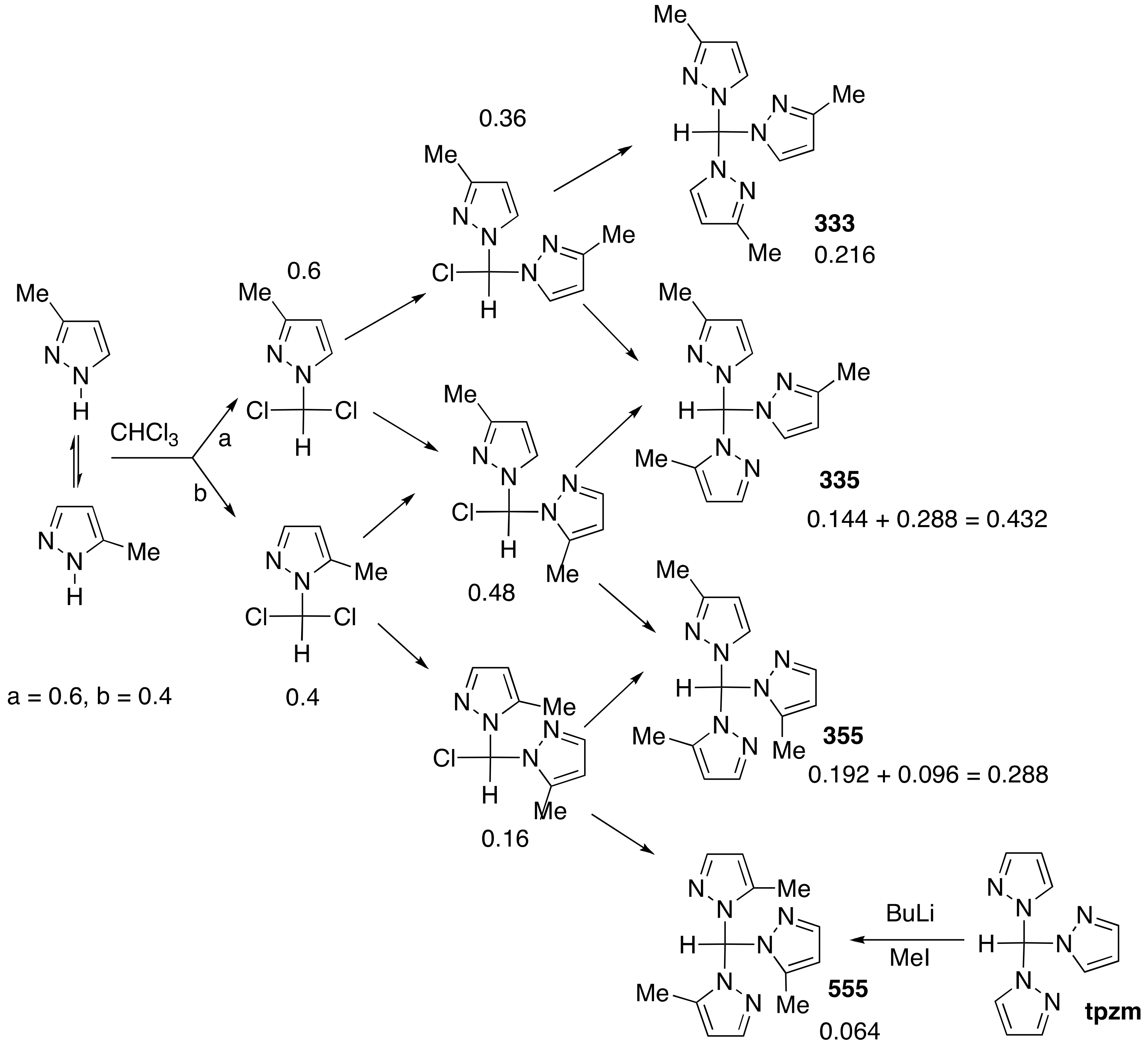
2.1. Chemistry
2.2. NMR Studies
2.3. Crystallography
2.4. Theoretical Calculations
3. Materials and Methods
3.1. Experimental
3.2. Chemistry
3.3. NMR Spectroscopy
3.4. Crystallography
3.5. Theoretical Calculations
4. Conclusions
Supplementary Materials
Author Contributions
Funding
Acknowledgments
Conflicts of Interest
References
- Alkorta, I.; Claramunt, R.M.; Díez-Barra, E.; Elguero, J.; de la Hoz, A.; López, C. The organic chemistry of poly(1H-pyrazol-1-yl)methanes. Coord. Chem. Rev. 2017, 339, 153–182. [Google Scholar] [CrossRef]
- Trofimenko, S. Scorpionates: The Coordination Chemistry of Polypyrazolylborate Ligands; Imperial College Press: London, UK, 1999; ISBN 1860941729. [Google Scholar]
- Juliá, S.; del Mazo, J.M.; Ávila, L.; Elguero, J. Improved synthesis of polyazolylmethanes under solid-liquid phase-transfer catalysis. Org. Prep. Proc. Int. 1984, 16, 299–307. [Google Scholar] [CrossRef]
- Foces-Foces, C.; Cano, F.H.; Martínez Ripoll, M.; Faure, R.; Roussel, C.; Claramunt, R.M.; López, C.; Sanz, D.; Elguero, J. Complete energy profile of a chiral propeller compound: Tris-(2′-methylbenzimidazol-1′-yl) Methane (TMBM). Chromatographic resolution on triacetyl cellulose, x-ray structures of the racemic and one enantiomer, and dynamiC-NMR study. Tetrahedron Asymm. 1990, 1, 65–86. [Google Scholar] [CrossRef]
- Alkorta, I.; Elguero, J. A theoretical analysis of the conformational space of tris(2-methylbenzimidazol-1-yl)methane. Tetrahedron Asymm. 2010, 21, 437–442. [Google Scholar] [CrossRef]
- Alkorta, I.; Elguero, J.; García, M.A.; López, C.; Claramunt, R.M.; Andrade, G.A.; Yap, G.P.A. A tris(pyrazol-1-yl)methane bearing carboxylic acid groups at position 4: {1-[bis(4-carboxy-3,5-dimethyl-1H-pyrazol-1-yl)methyl]-3,5-dimethyl-1H-pyrazole-4-carboxylato}sodium dihydrate. Acta Crystallogr. Ser. C 2013, 69, 972–976. [Google Scholar] [CrossRef] [PubMed]
- Pettinari, C.; Pellei, M.; Cingolani, A.; Martini, D.; Drozdov, A.; Troyanov, S.; Panzeri, W.; Mele, A. Synthesis, spectroscopic, and X-ray diffraction structural studies of tin(IV) derivatives with tris(pyrazol-1-yl)methanes. Inorg. Chem. 1999, 38, 5777–5787. [Google Scholar] [CrossRef]
- Goodman, M.A.; Nazarenko, A.Y.; Casavant, B.J.; Li, Z.; Brennesel, W.W.; DeMarco, M.J.; Long, G.; Goodman, M.S. Tris(5-methylpyrazolyl)methane: Synthesis and properties of its iron(II) complex. Inorg. Chem. 2012, 51, 1084–1093. [Google Scholar] [CrossRef]
- Goodman, M.A.; DeMarco, M.J.; Tarasek, S.E.; Nazarenko, A.Y.; Brennessel, W.; Goodman, M.S. Iron complexes of tris(pyrazolyl)ethane ligands methylated in the 3-, 4-, and 5-positions. Inorg. Chim. Acta 2014, 423, 358–368. [Google Scholar] [CrossRef]
- Stuhl, C.; Maichle-Mössmer, C.; Anwander, R. Magnesium Stung by Nonclassical Scorpionate Ligands: Synthesis and Cone-Angle Calculations. Chem. Eur. J. 2018, 24, 14254–14268. [Google Scholar] [CrossRef]
- Avila, L.; Elguero, J.; Juliá, S.; del Mazo, J.M. N-Polyazolymethanes. IV. Reaction of Benzotriazole with Methylene Chloride and Chloroform under Phase Transfer Conditions. Heterocycles 1983, 20, 1787–1792. [Google Scholar] [CrossRef]
- Claramunt, R.M.; Santa María, M.D.; Elguero, J.; Trofimenko, S. Isomer distribution in thallium hydrotris(polymethylenepyrazol-1-yl)borates (thallium scorpionates): A multinuclear NMR study. Polyhedron 2004, 23, 2985–2991. [Google Scholar] [CrossRef]
- Schofield, K.; Grimmett, M.R.; Keene, B.R.T. Heteroaromatic Nitrogen Compounds: The Azoles; Cambridge University Press: Cambridge, UK, 1976; p. 75, ISBN-10 0521205190; ISBN-13 978-0521205191. [Google Scholar]
- Elguero, J. Pyrazoles and Their Benzo Derivatives. In Comprehensive Heterocyclic Chemistry; Potts, K.T., Katritzky, A.R., Rees, C.W., Eds.; Pergamon Press: Oxford, UK, 1984; Volume 5, p. 229. [Google Scholar]
- Grimmett, M.R.; Lim, K.H.R.; Weavers, R.T. The N-Alkylation and N-arylation of unsymmetrical pyrazoles. Austr. J. Chem. 1979, 32, 2203–2213. [Google Scholar] [CrossRef]
- Elguero, J.; Ochoa, C.; Stud, M.; Esteban-Calderon, C.; Martínez-Ripoll, M.; Fayet, J.-P.; Vertut, M.-C. Synthesis and physicochemical properties of 1,2,6-thiadiazine 1,1-dioxides. A comparative study with pyrazoles. J. Org. Chem. 1982, 47, 536–544. [Google Scholar] [CrossRef]
- Ouk, S.; Thiébaud, S.; Borredon, E.; Chabaud, B. N-Methylation of nitrogen-containing heterocycles with dimethyl carbonate. Synth. Commun. 2005, 35, 3021–3026. [Google Scholar] [CrossRef]
- Almena, I.; Díez-Barra, E.; de la Hoz, A.; Ruíz, J.; Sánchez-Migallón, A. Alkylation and arylation of pyrazoles under solvent-free conditions: Conventional heating versus microwave irradiation. J. Heterocycl. Chem. 1998, 35, 1263–1268. [Google Scholar] [CrossRef]
- Paulsen, H.; Duelund, L.; Zimmermann, A.; Averseng, F.; Gerdan, M.; Winkler, H.; Toftlund, H.; Trautwein, A.X. Substituent Effects on the Spin-Transition Temperature in Complexes with Tris(pyrazolyl) Ligands. Monatsh. Chem. 2003, 134, 295–306. [Google Scholar] [CrossRef]
- Goodman, M.A.; Goodman, M.S.; Nazarenko, A.Y.; Patel, E.N. Crystal structure of tris-(3-methyl-1H-pyrazol-1-yl)methane. Acta Crystallogr. Sect. E 2015, 71, o816. [Google Scholar] [CrossRef]
- Groom, C.R.; Bruno, I.J.; Lightfoot, M.P.; Ward, S.C. The Cambridge Structural Database, Acta Crystallogr. Sect. B 2016, 72, 171–179. [Google Scholar] [CrossRef]
- Elguero, J.; Jacquier, R.; Tien Duc, H.C.N. Recherches sans la série des azoles. XIII. Spectres RMN de pyrazoles. Bull. Soc. Chim. Fr. 1966, 63, 3727–3743. [Google Scholar]
- Elguero, J.; Jacquier, R. Recherches dans la série des azoles. VII. Attribution des signaux RMN de pyrazoles N-substitués. J. Chim. Phys. 1966, 63, 1242–1246. [Google Scholar] [CrossRef]
- Bruix, M.; de Mendoza, J.; Elguero, J. The 1H and 13C n.m.r. rules for the assignment of 1, 3- and 1, 5-disubstituted pyrazoles: A revision. Tetrahedron 1987, 43, 4663–4668. [Google Scholar] [CrossRef]
- Bruker. APEX2, SAINT and SADABS; Bruker AXS Inc.: Madison, WI, USA, 2013. [Google Scholar]
- Dolomanov, O.V.; Bourhis, L.J.; Gildea, R.J.; Howard, J.A.K.; Puschmann, H. OLEX2: A complete structure solution, refinement and analysis program. J. Appl. Cryst. 2009, 42, 339–341. [Google Scholar] [CrossRef]
- Sheldrick, G.M. A short history of SHELX. Acta Crystallogr. Sect. A 2008, 64, 112–122. [Google Scholar] [CrossRef] [PubMed]
- Sheldrick, G.M. Crystal structure refinement with SHELXL. Acta Crystallogr. Sect. C 2015, 71, 3–8. [Google Scholar] [CrossRef] [PubMed]
- Macrae, C.F.; Bruno, I.J.; Chisholm, J.A.; Edgington, P.R.; McCabe, P.; Pidcock, E.; Rodriguez-Monge, L.; Taylor, R.; van de Streek, J.; Wood, P.A. Mercury CSD 2.0—New features for the visualization and investigation of crystal structures. J. Appl. Cryst. 2008, 41, 466–470. [Google Scholar] [CrossRef]
- Becke, A.D. Density-functional thermochemistry. III. The role of exact exchange. J. Chem. Phys. 1993, 98, 5648–5652. [Google Scholar] [CrossRef]
- Lee, C.; Yang, W.; Parr, R.G. Development of the Colle-Salvetti correlation-energy formula into a functional of the electron density. Phys. Rev. B 1988, 37, 785–789. [Google Scholar] [CrossRef]
- Miehlich, B.; Savin, A.; Stoll, H.; Preuss, H. Results obtained with the correlation energy density functionals of Becke and Lee, Yang and Parr. Chem. Phys. Lett. 1989, 157, 200–206. [Google Scholar] [CrossRef]
- Ditchfield, R.; Hehre, W.J.; Pople, J.A. Self-consistent molecular-orbital methods. IX. An extended Gaussian-type basis for molecular-orbital studies of organic molecules. J. Chem. Phys. 1971, 54, 724–728. [Google Scholar] [CrossRef]
- Frisch, M.J.; Pople, J.A.; Binkley, J.S. Self-consistent molecular orbital methods 25. Supplementary functions for Gaussian basis sets. J. Chem. Phys. 1984, 80, 3265–3269. [Google Scholar] [CrossRef]
- London, F. Quantum theory of interatomic currents in aromatic compounds. J. Phys. Radium 1937, 8, 397–409. [Google Scholar] [CrossRef]
- Ditchfield, R. Self-consistent perturbation theory of diamagnetism. Mol. Phys. 1974, 27, 789–807. [Google Scholar] [CrossRef]
- Frisch, M.J.; Trucks, G.W.; Schlegel, H.B.; Scuseria, G.E.; Robb, M.A.; Cheeseman, J.R.; Scalmani, G.; Barone, V.; Mennucci, B.; Petersson, G.A.; et al. Gaussian 09; Revision D.01; Gaussian, Inc.: Wallingford, CT, USA, 2009. [Google Scholar]
- Silva, A.M.S.; Sousa, R.M.S.; Jimeno, M.L.; Blanco, F.; Alkorta, I.; Elguero, J. Experimental measurements and theoretical calculations of the chemical shifts and coupling constants of three azines (benzalazine, acetophenoneazine and cinnamaldazine). Magn. Reson. Chem. 2008, 46, 859–864. [Google Scholar] [CrossRef] [PubMed]
- Blanco, F.; Alkorta, I.; Elguero, J. Spectral assignments and reference data—Statistical analysis of 13C and 15N-NMR chemical shifts from GIAO/B3LYP/6-311++G∗∗ calculated absolute shieldings. Magn. Reson. Chem. 2007, 45, 797–800. [Google Scholar] [CrossRef] [PubMed]
- Compendium of Chemical Terminology. Available online: http://goldbook.iupac.org (accessed on 03 February 2019).









| Isomer | 3-Methyl | 5-Methyl | CH |
|---|---|---|---|
| 333 | H4: 6.11 (d, 3JH4H5 = 2.5) H5: 7.38 (d, 3JH5H4 = 2.5) CH3: 2.27 (s) | ---- | 8.12 8.11 [8] |
| 335 | H4: 6.11 (d, 3JH4H5 = 2.5) H5: 7.33 (d, 3JH5H4 = 2.5) CH3: 2.27 (s) | H3: 7.55 (d, 3JH3H4 = 1.5) H4: 6.11 (dq, 3JH4H3 = 1.5, 4JH4Me = 0.4) CH3: 2.39 (d, 4JMeH4 = 0.4) | 8.21 8.21 [8] |
| 355 | H4: 6.12 (dq, 3JH4H5 = 2.5, 4JMeH4 = 0.4) H5: 7.33 (d, 3JH5H4 = 2.5) CH3: 2.29 (d) | H3: 7.37 (dq,3JH3H4 = 1.7, 5J H3Me = 0.4) H4: 5.72 (dq, 3JH4H3 = 1.7, 4JH4Me = 0.8) CH3: 2.23 (dd, 4JMeH4 = 0.8, 5JMeH3 = 0.4) | 8.26 (s) 8.26 [8] |
| 555 | ---- | H3: 7.51 (ddq, 3JH3H4 = 1.6, 5JMeH3 = 0.4) H4: 5.80 (dq, 3JH4H3 = 1.7, 4JH4Me = 0.8) CH3: 2.09 (dd, 4JMeH4 = 0.8, 5JMeH3 = 0.4) | 8.31 (s) 8.33 [8] |
| Isomer | 3-Methyl | 5-Methyl | CH |
|---|---|---|---|
| 333 | N1: –173.3 N2: –79.5 | ---- | ---- |
| C3: 150.9 C4: 107.1, 1J = 175.3, 2J = 6.8, 3J = 3.4 C5: 130.6, 1J = 188.5, 2J = 9.5, 3J = 2.5 CH3: 14.0, 1J = 127.3 | ---- | 83.8 1J = 166.4 | |
| H4: 5.76 (d, 3JH4H5 = 2.5) H5: 7.27 (d, 3JH5H4 = 2.5) CH3: 2.08 (s) | ---- | 8.22 | |
| 335 | N1: –172.8 N2: –77.9 | N1: –171.4 N2: –80.4 | ---- |
| C3: 150.5 C4: 107.3, 1J = 175.0, 2J = 8.3, 3J = 3.3 C5: 130.3, 1J = 189.3, 2J = 9.5, 3J = 2.6 CH3: 13.9, 1J = 127.2 | C3: 141.2, 1J = 185.2, 2J = 5.7 C4: 107.0, 1J = 175.1, 2J = 10.6, 3J = 3.8 C5: 140.3 CH3: 10.5, 1J = 128.5 | 81.4 1J = 164.2 | |
| H4: 5.82 (d, 3JH4H5 = 2.5) H5: 7.56 (d, 3JH5H4 = 2.5) CH3: 2.11 (s) | H3: 7.36 (d, 3JH3H4 = 1.7) H4: 5.62 (dq, 3JH4H3 = 1.7, 4JH4Me = 0.8) CH3: 1.82 (d, 4JMeH4 = 0.8) | 8.40 (s) | |
| 355 | N1: –175.6 N2: –78.8 | N1: –171.3 N2: –76.5 | ---- |
| C3: 151.0 C4: 106.8, 1J = 175.3 C5: 131.3,1J = 190.3, 2J = 9.9 CH3: 14.0, 1J = 127.3 | C3: 140.7, 1J = 185.1, 2J = 5.8 C4: 107.8, 1J = 174.8 C5: 140.5 CH3: 10.9, 1J = 129.1 | 81.6 1J = 164.6 | |
| H4: 5.82 (3JH4H5 = 2.5) H5: 7.28 (3JH5H4 = 2.5) CH3: 2.14(s) | H3: 7.37 (3JH3H4 = 1.7) H4: 5.72 (dq, 3JH4H3 = 1.7, 4JH4Me = 0.8) CH3: 1.87 (m) | 8.46 (s) | |
| 555 | ---- | N1: –173.4 N2: –75.4 | ---- |
| ---- | C3: 140.1, 1J = 185.0, J = 5.8 C4: 108.1, 1J = 174.7 (m) C5: 140.5 CH3: 10.9, 1J = 128.6 | 82.1 1J = 163.1 | |
| ---- | H3: 7.37 (3JH3H4 = 1.7, H3) H4: 5.80 (dq, 3JH4H3 = 1.7, 4JH4Me = 0.8) CH3: 1.84 (m) | 8.43 (s) |
| Comp | Conformation | Erel | 1H | 13C | 15N | X-ray |
|---|---|---|---|---|---|---|
| 333 | ddd | 37.1 | ddd | |||
| udd | 11.2 | udd | ||||
| uud | 0.0 | uud | uud | uud | uud: TUYZEU | |
| uuu | 2.4 | uuu | ||||
| 335 | ddd | 37.4 | ||||
| ddu | 15.1 | ddu | ||||
| duu | 17.3 | duu | ||||
| udd | 12.6 | udd | udd | |||
| uud | 0.0 | uud | uud | uud: this work | ||
| uuu | 12.1 | |||||
| 355 | ddd | 23.2 | ||||
| ddu | 0.0 | ddu | udd | |||
| duu | 2.5 | duu | ||||
| udd | 4.1 | udd | ||||
| uud | 9.9 | |||||
| uuu | 10.7 | uuu | ||||
| 555 | ddd | 19.3 | ||||
| udd | 0.0 | udd | udd | udd | ||
| uud | 5.9 | uud | uud | uud | ||
| uuu | 18.5 |
| 333uud (TUYZEU) | 335uud | |||||
|---|---|---|---|---|---|---|
| pz_A | pz_B | pz_C | pz_A | pz_B | pz_C | |
| N1-N2 | 1.359 | 1.362 | 1.355 | 1.359(5) | 1.364(5) | 1.346(6) |
| N2-C3 | 1.330 | 1.328 | 1.335 | 1.328(6) | 1.332(5) | 1.351(7) |
| C3-C4 | 1.401 | 1.402 | 1.395 | 1.375(7) | 1.383(6) | 1.338(8) |
| C4-C5 | 1.361 | 1.362 | 1.357 | 1.360(7) | 1.343(6) | 1.339(7) |
| N1-C5 | 1.349 | 1.351 | 1.347 | 1.326(5) | 1.350(5) | 1.402(6) |
| C1-N1 | 1.445 | 1.444 | 1.440 | 1.453(5) | 1.455(5) | 1.483(6) |
| C5-N1-N2 | 111.8 | 112.1 | 112.5 | 111.2(4) | 111.8(3) | 112.0(4) |
| N1-N2-C3 | 104.8 | 104.6 | 104.3 | 105.1(4) | 104.1(3) | 105.0(4) |
| N2-C3-C4 | 110.9 | 111.0 | 110.7 | 110.5(4) | 110.9(4) | 108.8(5) |
| C3-C4-C5 | 105.5 | 105.8 | 106.2 | 106.1(4) | 106.9(4) | 112.1(5) |
| C4-C5-N1 | 107.0 | 106.5 | 106.2 | 107.2(4) | 106.4(4) | 102.1(5) |
| C1-N1-N2 | 117.5 | 117.4 | 121.5 | 117.0(3) | 118.3(3) | 119.6(3) |
| N2/1-C3/5-C6 | 120.2 | 120.4 | 120.6 | 120.8(5) | 120.5(4) | 120.5(5) |
| C4-C3/5-C6 | 128.9 | 128.5 | 128.7 | 128.6(5) | 128.7(4) | 137.5(5) |
| H1-C1-N1-N2 | 24.5 | 28.0 | −170.9 | 39.0(6) | 17.6(7) | −168.1(3) |
| H1-C1-N1-C5 | −164.8 | −160.0 | 10.8 | −150.3(5) | −163.4(5) | 15.3(5) |
| C1-N1-N2-C3 | 173.4 | 173.6 | −178.4 | 172.6(4) | 179.9(4) | −177.7(4) |
| Compound | Conformation | Relative Energy, Conformations | Relative Energy, Isomers |
|---|---|---|---|
| 333 | ddd | 37.1 | |
| udd | 11.2 | ||
| uud | 0.0 | 0.0 | |
| uuu | 2.4 | ||
| TUYZEU | uud | 0.0 | |
| 335 | ddd | 37.4 | 39.1 |
| ddu | 15.1 | 16.8 | |
| duu | 17.3 | 19.0 | |
| udd | 12.6 | 14.2 | |
| uud | 0.0 | 1.7 | |
| uuu | 12.1 | 13.8 | |
| 355 | ddd | 23.2 | 41.0 |
| ddu | 0.0 | 17.9 | |
| duu | 2.5 | 20.4 | |
| udd | 4.1 | 22.0 | |
| uud | 9.9 | 27.8 | |
| uuu | 10.7 | 28.6 | |
| 555 | ddd | 19.3 | 43.1 |
| udd | 0.0 | 23.8 | |
| uud | 5.9 | 29.7 | |
| uuu | 18.5 | 42.3 |
| Compound | Conformation | 8-7-1-23 | 13-12-1-23 | 3-2-1-23 |
|---|---|---|---|---|
| 333 | ddd | 145.3 | 145.3 | 145.3 |
| udd | −5.5 | 177.7 | 159.1 | |
| uud | −32.9 | −28.1 | 174.4 | |
| uuu | −40.5 | −40.5 | −40.5 | |
| TUYZEU | uud | −32.9 | −28.2 | 174.4 |
| X-ray | uud | −27.97 | −24.48 | 170.87 |
| 335 | ddd | −143.4 | −149.9 | −136.1 |
| ddu | −173.0 | −85.7 | 12.3 | |
| duu | 145.3 | −38.6 | −26.9 | |
| udd | −170.1 | 4.7 | −151.7 | |
| uud | −31.7 | −26.7 | 174.9 | |
| uuu | −52.1 | −41.1 | −29.0 | |
| X-ray | uud | −39.0(6) | −17.4(7) | 168.2(3) |
| 355 | ddd | −136.2 | −147.6 | −139.6 |
| ddu | −173.0 | −85.7 | 12.3 | |
| duu | 145.3 | −38.6 | −26.9 | |
| udd | −170.1 | 4.7 | −151.7 | |
| uud | −57.9 | 162.3 | −22.9 | |
| uuu | −43.3 | −43.1 | −34.4 | |
| 555 | ddd | 139.2 | 139.2 | 139.2 |
| udd | −18.4 | 129.3 | 151.6 | |
| uud | −24.2 | −50.0 | 156.1 | |
| uuu | −40.2 | −40.2 | −40.2 |
© 2019 by the authors. Licensee MDPI, Basel, Switzerland. This article is an open access article distributed under the terms and conditions of the Creative Commons Attribution (CC BY) license (http://creativecommons.org/licenses/by/4.0/).
Share and Cite
Silva, V.L.M.; Silva, A.M.S.; Claramunt, R.M.; Sanz, D.; Infantes, L.; Martínez-López, Á.; Reviriego, F.; Alkorta, I.; Elguero, J. An Example of Polynomial Expansion: The Reaction of 3(5)-Methyl-1H-Pyrazole with Chloroform and Characterization of the Four Isomers. Molecules 2019, 24, 568. https://doi.org/10.3390/molecules24030568
Silva VLM, Silva AMS, Claramunt RM, Sanz D, Infantes L, Martínez-López Á, Reviriego F, Alkorta I, Elguero J. An Example of Polynomial Expansion: The Reaction of 3(5)-Methyl-1H-Pyrazole with Chloroform and Characterization of the Four Isomers. Molecules. 2019; 24(3):568. https://doi.org/10.3390/molecules24030568
Chicago/Turabian StyleSilva, Vera L. M., Artur M. S. Silva, Rosa M. Claramunt, Dionisia Sanz, Lourdes Infantes, Ángela Martínez-López, Felipe Reviriego, Ibon Alkorta, and José Elguero. 2019. "An Example of Polynomial Expansion: The Reaction of 3(5)-Methyl-1H-Pyrazole with Chloroform and Characterization of the Four Isomers" Molecules 24, no. 3: 568. https://doi.org/10.3390/molecules24030568
APA StyleSilva, V. L. M., Silva, A. M. S., Claramunt, R. M., Sanz, D., Infantes, L., Martínez-López, Á., Reviriego, F., Alkorta, I., & Elguero, J. (2019). An Example of Polynomial Expansion: The Reaction of 3(5)-Methyl-1H-Pyrazole with Chloroform and Characterization of the Four Isomers. Molecules, 24(3), 568. https://doi.org/10.3390/molecules24030568

