Extraction Optimization, Physicochemical Characteristics, and Antioxidant Activities of Polysaccharides from Kiwifruit (Actinidia chinensis Planch.)
Abstract
:1. Introduction
2. Results and Discussions
2.1. Extraction Optimization of Polysaccharides from Kiwifruit
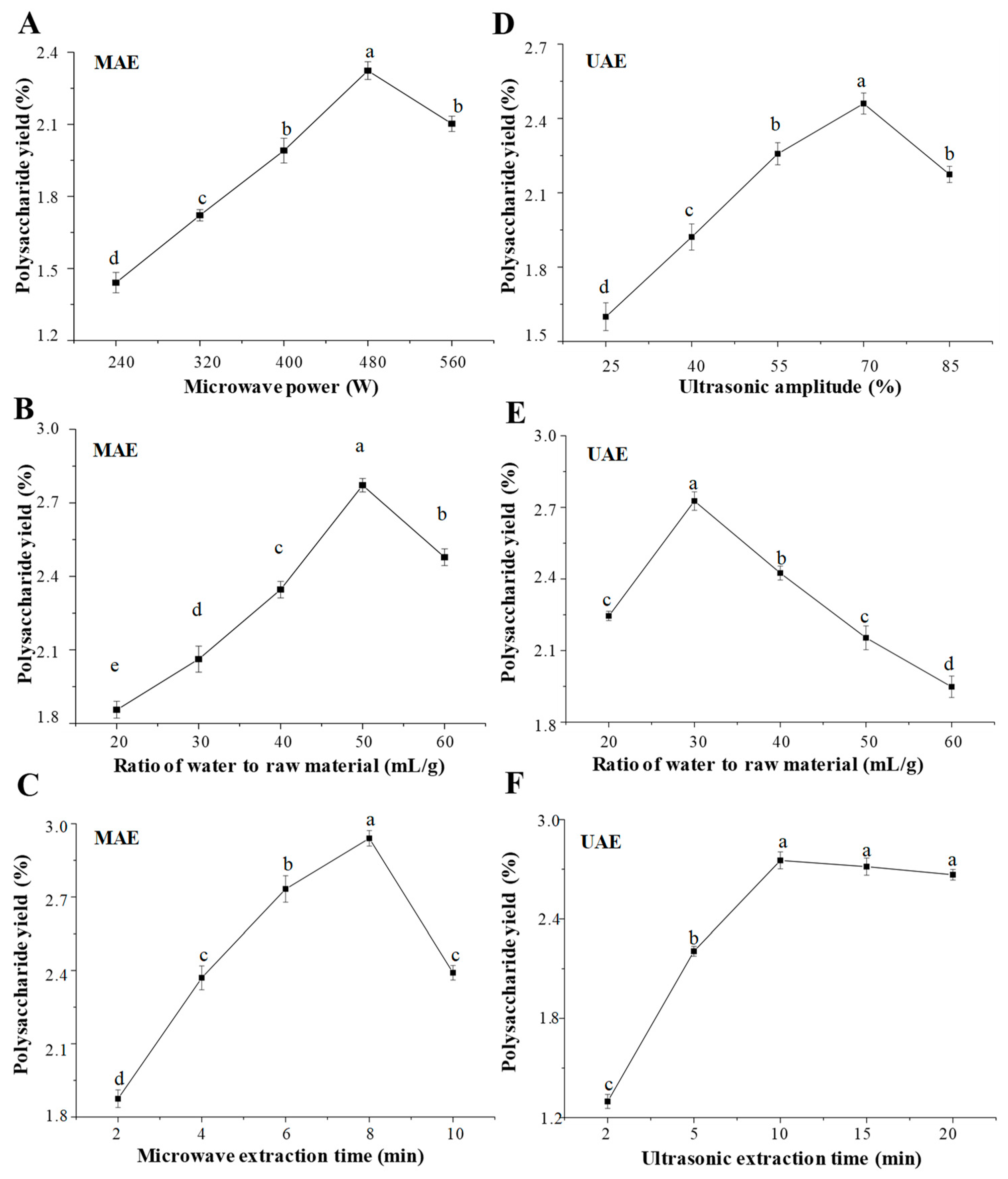
2.1.1. Microwave-Assisted Extraction of KPS
2.1.2. Ultrasonic-Assisted Extraction of KPS
2.2. Preliminary Characterization of KPS
2.2.1. Chemical Composition of KPS
2.2.2. Molecular Weights and Constituent Monosaccharides of KPS
2.2.3. FT-IR Spectra and Degree of Esterification of KPS
2.3. Antioxidant Activities of KPS
3. Materials and Methods
3.1. Material and Chemicals
3.2. Extraction of Polysaccharides from Kiwifruit
3.2.1. Microwave-Assisted Extraction of KPS
3.2.2. Ultrasonic-Assisted Extraction of KPS
3.2.3. Hot Water Extraction of KPS
3.3. Characterization of KPS
3.3.1. Physicochemical Properties Analysis
3.3.2. Determination of Molecular Weights
3.3.3. Determination of Constituent Monosaccharides
3.3.4. Fourier Transform Infrared (FT-IR) Spectroscopy Analysis
3.4. Evaluation of Antioxidant Activities of Polysaccharides from Kiwifruit
3.4.1. DPPH Radical Scavenging Activity
3.4.2. ABTS Radical Cation Scavenging Activity
3.4.3. Reducing Power
3.5. Statistical Analysis
4. Conclusions
Author Contributions
Funding
Conflicts of Interest
References
- Anraku, M.; Gebicki, J.M.; Iohara, D.; Tomida, H.; Uekama, K.; Maruyama, T.; Hirayama, F.; Otagiri, M. Antioxidant activities of chitosans and its derivatives in in vitro and in vivo studies. Carbohydr. Polym. 2018, 199, 141–149. [Google Scholar] [CrossRef] [PubMed]
- Liang, X.X.; Gao, Y.Y.; Pan, Y.; Zou, Y.F.; He, M.; He, C.L.; Li, L.X.; Yin, Z.Q.; Lv, C. Purification, chemical characterization and antioxidant activities of polysaccharides isolated from Mycena dendrobii. Carbohydr. Polym. 2019, 203, 45–51. [Google Scholar] [CrossRef] [PubMed]
- Senthil Kumar, C.; Sivakumar, M.; Ruckmani, K. Microwave-assisted extraction of polysaccharides from Cyphomandra betacea and its biological activities. Int. J. Biol. Macromol. 2016, 92, 682–693. [Google Scholar]
- Ma, T.; Sun, X.; Zhao, J.; You, Y.; Lei, Y.; Gao, G.; Zhan, J. Nutrient compositions and antioxidant capacity of kiwifruit (Actinidia) and their relationship with flesh color and commercial value. Food Chem. 2017, 218, 294–304. [Google Scholar] [CrossRef] [PubMed]
- Li, H.Y.; Yuan, Q.; Yang, Y.L.; Han, Q.H.; He, J.L.; Zhao, L.; Zhang, Q.; Liu, S.X.; Lin, D.R.; Wu, D.T.; et al. Phenolic Profiles, Antioxidant Capacities, and Inhibitory Effects on Digestive Enzymes of Different Kiwifruits. Molecules 2018, 23, 2957. [Google Scholar] [CrossRef] [PubMed]
- Richardson, D.P.; Ansell, J.; Drummond, L.N. The nutritional and health attributes of kiwifruit: A review. Eur. J. Nutr. 2018, 57, 2659–2676. [Google Scholar] [CrossRef] [PubMed]
- Wang, Y.; Li, L.; Liu, H.; Zhao, T.; Meng, C.; Liu, Z.; Liu, X. Bioactive compounds and in vitro antioxidant activities of peel. Int. J. Food Sci. Technol. 2018, 53, 2239–2245. [Google Scholar] [CrossRef]
- Parkar, S.G.; Redgate, E.L.; Wibisono, R.; Luo, X.; Koh, E.T.H.; Schröder, R. Gut health benefits of kiwifruit pectins: Comparison with commercial functional polysaccharides. J. Funct. Food. 2010, 2, 210–218. [Google Scholar] [CrossRef]
- Dong, H.; Zhang, Q.; Li, Y.; Li, L.; Lan, W.; He, J.; Li, H.; Xiong, Y.; Qin, W. Extraction, characterization and antioxidant activities of polysaccharides of Chuanminshen violaceum. Int. J. Biol. Macromol. 2016, 86, 224–232. [Google Scholar] [CrossRef] [PubMed]
- Ren, B.; Chen, C.; Li, C.; Fu, X.; You, L.; Liu, R.H. Optimization of microwave-assisted extraction of Sargassum thunbergii polysaccharides and its antioxidant and hypoglycemic activities. Carbohydr. Polym. 2017, 173, 192–201. [Google Scholar] [CrossRef] [PubMed]
- Guo, X.; Shang, X.; Zhou, X.; Zhao, B.; Zhang, J. Ultrasound-assisted extraction of polysaccharides from Rhododendron aganniphum: Antioxidant activity and rheological properties. Ultrason. Sonochem. 2017, 38, 246–255. [Google Scholar] [CrossRef] [PubMed]
- Wang, J.L.; Zhang, J.; Zhao, B.T.; Wang, X.F.; Wu, Y.Q.; Yao, J. A comparison study on microwave-assisted extraction of Potentilla anserina L. polysaccharides with conventional method: Molecule weight and antioxidant activities evaluation. Carbohydr. Polym. 2010, 80, 84–93. [Google Scholar] [CrossRef]
- Dong, H.; Lin, S.; Zhang, Q.; Chen, H.; Lan, W.; Li, H.; He, J.; Qin, W. Effect of extraction methods on the properties and antioxidant activities of Chuanminshen violaceum polysaccharides. Int. J. Biol. Macromol. 2016, 93, 179–185. [Google Scholar] [CrossRef] [PubMed]
- Chen, S.; Shang, H.; Yang, J.; Li, R.; Wu, H. Effects of different extraction techniques on physicochemical properties and activities of polysaccharides from comfrey (Symphytum officinale L.) root. Ind. Crop. Prod. 2018, 121, 18–25. [Google Scholar] [CrossRef]
- Yan, Y.; Li, X.; Wan, M.; Chen, J.; Li, S.; Cao, M.; Zhang, D. Effect of extraction methods on property and bioactivity of water-soluble polysaccharides from Amomum villosum. Carbohydr. Polym. 2015, 117, 632–635. [Google Scholar] [CrossRef] [PubMed]
- Wu, D.T.; Lam, S.C.; Cheong, K.L.; Feng, W.; Lin, P.C.; Long, Z.R.; Lv, X.J.; Jing, Z.; Ma, S.C.; Li, S.P. Simultaneous determination of molecular weights and contents of water-soluble polysaccharides and their fractions from Lycium barbarum collected in China. J. Pharm. Biomed. Anal. 2016, 129, 210–218. [Google Scholar] [CrossRef] [PubMed]
- Jing, C.; Yuan, Y.; Tang, Q.; Zou, P.; Li, Y.; Zhang, C. Extraction optimization, preliminary characterization and antioxidant activities of polysaccharides from Glycine soja. Int. J. Biol. Macromol. 2017, 103, 1207–1216. [Google Scholar] [CrossRef]
- Wang, W.; Li, X.; Bao, X.; Gao, L.; Tao, Y. Extraction of polysaccharides from black mulberry fruit and their effect on enhancing antioxidant activity. Int. J. Biol. Macromol. 2018, 120, 1420–1429. [Google Scholar] [CrossRef]
- Jia, X.; Zhang, C.; Hu, J.; He, M.; Bao, J.; Wang, K.; Li, P.; Chen, M.; Wan, J.; Su, H.; et al. Ultrasound-Assisted Extraction, Antioxidant and Anticancer Activities of the Polysaccharides from Rhynchosia minima Root. Molecules 2015, 20, 20901–20911. [Google Scholar] [CrossRef]
- Raza, A.; Li, F.; Xu, X.; Tang, J. Optimization of ultrasonic-assisted extraction of antioxidant polysaccharides from the stem of Trapa quadrispinosa using response surface methodology. Int. J. Biol. Macromol. 2017, 94, 335. [Google Scholar] [CrossRef]
- Zheng, Y.; Li, Y.; Wang, W.D. Optimization of ultrasonic-assisted extraction and in vitro antioxidant activities of polysaccharides from Trametes orientalis. Carbohydr. Polym. 2014, 111, 315–323. [Google Scholar] [CrossRef] [PubMed]
- Yuan, Q.; Xie, Y.; Wang, W.; Yan, Y.; Ye, H.; Jabbar, S.; Zeng, X. Extraction optimization, characterization and antioxidant activity in vitro of polysaccharides from mulberry (Morus alba L.) leaves. Carbohydr. Polym. 2015, 128, 52–62. [Google Scholar] [CrossRef] [PubMed]
- Wu, D.T.; Guo, H.; Lin, S.; Lam, S.C.; Zhao, L.; Lin, D.R.; Qin, W. Review of the structural characterization, quality evaluation, and industrial application of Lycium barbarum polysaccharides. Trends Food Sci. Technol. 2018, 79, 171–183. [Google Scholar] [CrossRef]
- Yuliarti, O.; Matia-Merino, L.; Goh, K.K.; Mawson, J.; Williams, M.A.; Brennan, C. Characterization of gold kiwifruit pectin from fruit of different maturities and extraction methods. Food Chem. 2015, 166, 479–485. [Google Scholar] [CrossRef]
- He, L.A.; Yan, X.T.; Liang, J.; Li, S.J.; He, H.R.; Xiong, Q.P.; Lai, X.P.; Hou, S.Z.; Huang, S. Comparison of different extraction methods for polysaccharides from Dendrobium officinale stem. Carbohydr. Polym. 2018, 198, 101–108. [Google Scholar] [CrossRef] [PubMed]
- Zhang, W.; Zeng, G.; Pan, Y.; Chen, W.; Huang, W.; Chen, H.; Li, Y. Properties of soluble dietary fiber-polysaccharide from papaya peel obtained through alkaline or ultrasound-assisted alkaline extraction. Carbohydr. Polym. 2017, 172, 102–112. [Google Scholar] [CrossRef] [PubMed]
- Kpodo, F.M.; Agbenorhevi, J.K.; Alba, K.; Bingham, R.J.; Oduro, I.N.; Morris, G.A.; Kontogiorgos, V. Pectin isolation and characterization from six okra genotypes. Food Hydrocoll. 2017, 72, 323–330. [Google Scholar] [CrossRef]
- Chen, C.; You, L.J.; Abbasi, A.M.; Fu, X.; Liu, R.H. Optimization for ultrasound extraction of polysaccharides from mulberry fruits with antioxidant and hyperglycemic activity in vitro. Carbohydr. Polym. 2015, 130, 122–132. [Google Scholar] [CrossRef]
- Xue, H.Y.; Li, J.R.; Liu, Y.G.; Gao, Q.; Wang, X.W.; Zhang, J.W.; Tanokura, M.; Xue, Y.L. Optimization of the ultrafiltration-assisted extraction of Chinese yam polysaccharide using response surface methodology and its biological activity. Int. J. Biol. Macromol. 2019, 121, 1186–1193. [Google Scholar] [CrossRef]
- Hosseini, S.S.; Khodaiyan, F.; Yarmand, M.S. Optimization of microwave assisted extraction of pectin from sour orange peel and its physicochemical properties. Carbohydr. Polym. 2016, 140, 59–65. [Google Scholar] [CrossRef]
- Wai, W.W.; Alkarkhi, A.F.M.; Easa, A.M. Effect of extraction conditions on yield and degree of esterification of durian rind pectin: An experimental design. Food Bioprod. Process. 2010, 88, 209–214. [Google Scholar] [CrossRef]
- Zhang, Z.; Lv, G.; He, W.; Shi, L.; Pan, H.; Fan, L. Effects of extraction methods on the antioxidant activities of polysaccharides obtained from Flammulina velutipes. Carbohydr. Polym. 2013, 98, 1524–1531. [Google Scholar] [CrossRef] [PubMed]
- Chai, Z.; Huang, W.Y.; Zhao, X.; Wu, H.; Zeng, X.X.; Li, C.Y. Preparation, characterization, antioxidant activity and protective effect against cellular oxidative stress of polysaccharide from Cynanchum auriculatum Royle ex Wight. Int. J. Biol. Macromol. 2018, 119, 1068–1076. [Google Scholar] [CrossRef] [PubMed]
- Wang, J.; Hu, S.; Nie, S.; Yu, Q.; Xie, M. Reviews on Mechanisms of In Vitro Antioxidant Activity of Polysaccharides. Oxid. Med. Cell Longev. 2016, 2016, 5692852. [Google Scholar] [CrossRef] [PubMed]
- Kelishomi, Z.H.; Goliaei, B.; Mandavi, H.; Nikoofar, A.; Rahimi, M.; Moosavi-Movahedi, A.A.; Mamashli, F.; Bigdeli, B. Antioxidant activity of low molecular weight alginate produced by thermal treatment. Food Chem. 2016, 196, 897–902. [Google Scholar] [CrossRef] [PubMed]
- Mzoughi, Z.; Abdelhamid, A.; Rihouey, C.; Le Cerf, D.; Bouraoui, A.; Majdoub, H. Optimized extraction of pectin-like polysaccharide from Suaeda fruticosa leaves: Characterization, antioxidant, anti-inflammatory and analgesic activities. Carbohydr. Polym. 2018, 185, 127–137. [Google Scholar] [CrossRef]
- Yan, J.K.; Wu, L.X.; Qiao, Z.R.; Cai, W.D.; Ma, H.L. Effect of different drying methods on the product quality and bioactive polysaccharides of bitter gourd (Momordica charantia L.) slices. Food Chem. 2019, 271, 588–596. [Google Scholar] [CrossRef]
- Dubois, M.; Gilles, K.A.; Hamilton, J.K.; Rebers, P.A.; Smith, F. Colorimetric method for determination of sugars and related substances. Anal. Chem. 1956, 28, 350–356. [Google Scholar] [CrossRef]
- Filisetticozzi, T.M.; Carpita, N.C. Measurement of uronic acids without interference from neutral sugars. Anal. Biochem. 1991, 197, 157–162. [Google Scholar] [CrossRef]
- Bradford, M. A rapid and sensitive method for quantitation of microgram quantities of protein utilizing the principle of proteindye binding. Anal. Biochem. 1976, 72, 248–254. [Google Scholar] [CrossRef]
- Cheong, K.L.; Wu, D.T.; Zhao, J.; Li, S.P. A rapid and accurate method for the quantitative estimation of natural polysaccharides and their fractions using high performance size exclusion chromatography coupled with multi-angle laser light scattering and refractive index detector. J. Chromatogr. A 2015, 1400, 98–106. [Google Scholar] [CrossRef] [PubMed]
- Sun, X.; Wang, H.; Han, X.; Chen, S.; Zhu, S.; Dai, J. Fingerprint analysis of polysaccharides from different Ganoderma by HPLC combined with chemometrics methods. Carbohydr. Polym. 2014, 114, 432–439. [Google Scholar] [CrossRef] [PubMed]
- Kyomugasho, C.; Christiaens, S.; Shpigelman, A.; Loey, A.M.V.; Hendrickx, M.E. FT-IR spectroscopy, a reliable method for routine analysis of the degree of methylesterification of pectin in different fruit- and vegetable-based matrices. Food Chem. 2015, 176, 82–90. [Google Scholar] [CrossRef] [PubMed]
- Abdenor, F.; Padmesh, A.; Markr, W.; Martinak, W. Determining the degree of methylesterification of pectin by ATR/FT-IR: Methodology optimisation and comparison with theoretical calculations. Carbohydr. Polym. 2009, 78, 847–853. [Google Scholar]
- Lin, S.; Guo, H.; Gong, J.D.B.; Lu, M.; Lu, M.Y.; Wang, L.; Zhang, Q.; Wu, D.T.; Qin, W. Phenolic profiles, β-glucan contents, and antioxidant capacities of colored Qingke (Tibetan hulless barley) cultivars. J. Cereal Sci. 2018, 81, 69–75. [Google Scholar] [CrossRef]
Sample Availability: Samples of the raw material of kiwifruits are available from the authors. |





| Runs | Levels of Independent Factors (MAE) a | Extraction Yield % | Levels of Independent Factors (UAE) b | Extraction Yield % | ||||
|---|---|---|---|---|---|---|---|---|
| X11 (W) | X12 (min) | X13 (mL/g) | X21 (%) | X22 (mL/g) | X23 (min) | |||
| 1 | 1(560) | 0(50) | 1(10) | 2.10 | 0(70) | 1(40) | −1(5) | 1.80 |
| 2 | 1(560) | −1(40) | 0(8) | 2.46 | −1(55) | 0(30) | 1(15) | 2.49 |
| 3 | 0(480) | 1(60) | 1(10) | 2.04 | 1(85) | 1(40) | 0(10) | 1.98 |
| 4 | −1(400) | −1(40) | 0(8) | 2.19 | 1(85) | −1(20) | 0(10) | 1.76 |
| 5 | 1(560) | 1(60) | 0(8) | 2.51 | 0(70) | 0(30) | 0(10) | 2.60 |
| 6 | 0(480) | −1(40) | 1(10) | 2.10 | −1(55) | 0(30) | −1(5) | 1.89 |
| 7 | −1(400) | 1(60) | 0(8) | 2.46 | 0(70) | −1(20) | 1(15) | 2.22 |
| 8 | 0(480) | 0(50) | 0(8) | 3.00 | −1(55) | −1(20) | 0(10) | 1.92 |
| 9 | 0(480) | 0(50) | 0(8) | 2.96 | 0(70) | 0(30) | 0(10) | 2.75 |
| 10 | 0(480) | 0(50) | 0(8) | 2.87 | 0(70) | 1(40) | 1(15) | 2.31 |
| 11 | −1(400) | 0(50) | −1(6) | 2.19 | 0(70) | −1(20) | −1(5) | 1.82 |
| 12 | 1(560) | 0(50) | −1(6) | 2.51 | 0(70) | 0(30) | 0(10) | 2.78 |
| 13 | 0(480) | 0(50) | 0(8) | 2.98 | −1(55) | 1(40) | 0(10) | 2.01 |
| 14 | 0(480) | 1(60) | −1(6) | 2.75 | 1(85) | 0(30) | 1(15) | 1.94 |
| 15 | 0(480) | 0(50) | 0(8) | 2.96 | 0(70) | 0(30) | 0(10) | 2.70 |
| 16 | 0(480) | −1(40) | −1(6) | 2.25 | 0(70) | 0(30) | 0(10) | 2.82 |
| 17 | −1(400) | 0(50) | 1(10) | 2.16 | −1(55) | 0(30) | −1(5) | 2.01 |
| Source a | MAE | UAE | ||||||||
|---|---|---|---|---|---|---|---|---|---|---|
| Sum of Squares | df b | Mean Square | F-Value | p-Value c | Sum of Squares | df b | Mean Square | F-Value | p-Value c | |
| Model | 0.87 | 9 | 0.097 | 44.36 | <0.0001 ** | 1.06 | 9 | 0.12 | 37.34 | <0.0001 ** |
| X11 (X21) | 0.018 | 1 | 0.018 | 8.25 | 0.0239 * | 0.022 | 1 | 0.022 | 7.04 | 0.0328 * |
| X12 (X22) | 0.031 | 1 | 0.031 | 14.30 | 0.0069 ** | 8.21 × 10−3 | 1 | 8.21 × 10−3 | 2.59 | 0.1513 |
| X13 (X23) | 0.092 | 1 | 0.092 | 41.99 | 0.0003 ** | 0.12 | 1 | 0.12 | 36.59 | 0.0005 ** |
| X11X12 (X21X22) | 6.28 × 10−3 | 1 | 6.28 × 10−3 | 2.88 | 0.1336 | 2.11 × 10−3 | 1 | 2.11 × 10−3 | 0.66 | 0.4417 |
| X11X13 (X21X23) | 0.016 | 1 | 0.016 | 7.18 | 0.0315 * | 0.049 | 1 | 0.049 | 15.46 | 0.0057 ** |
| X12X13 (X22X23) | 0.036 | 1 | 0.036 | 16.29 | 0.0050 ** | 1.08 × 10−3 | 1 | 1.08 × 10−3 | 0.34 | 0.5777 |
| X112 (X212) | 0.16 | 1 | 0.16 | 75.50 | <0.0001 ** | 0.28 | 1 | 0.28 | 89.51 | <0.0001 ** |
| X122 (X222) | 0.12 | 1 | 0.12 | 54.39 | 0.0002 ** | 0.36 | 1 | 0.26 | 112.54 | <0.0001 ** |
| X132 (X232) | 0.32 | 1 | 0.32 | 147.8 | <0.0001 ** | 0.14 | 1 | 0.14 | 43.83 | 0.0003 ** |
| Residual error | 0.013 | 7 | 2.18 × 10−3 | 0.02 | 7 | 3.17 × 10−3 | ||||
| Lack of fit | 0.015 | 3 | 3.70 × 10−3 | 3.55 | 0.1265 | 0.016 | 3 | 5.33 × 10−3 | 3.46 | 0.1308 |
| Pure error | 4.17 × 10−3 | 4 | 1.04 × 10−3 | 6.16 × 10−3 | 4 | 1.54 × 10−3 | ||||
| Correlation total | 0.89 | 16 | 1.09 | 16 | ||||||
| KPS-M | KPS-U | KPS-H | |
|---|---|---|---|
| Extraction yield (%) | 2.92 ± 0.08 a | 2.82 ± 0.10 a | 2.86 ± 0.13 a |
| Total carbohydrate (%) | 78.21 ± 1.42 a | 74.80 ± 1.60 c | 76.18 ± 1.46 b |
| Total uronic acid (%) | 43.88 ± 0.65 b | 43.32 ± 0.73 b | 45.7 ± 0.98 a |
| Protein content (%) | 3.50 ± 0.12 c | 6.08 ± 0.15a | 4.28 ± 0.09 b |
| Mw × 105 (Da, error) | 1.689 (±0.65%) c | 1.769 (±0.63%) b | 1.955 (±0.48%) a |
| Mw/Mn (error) | 1.827 (±1.04%) | 1.724 (±0.91%) | 1.833 (±0.70%) |
| Degree of esterification (%) | 43.33 c | 48.38 b | 55.02 a |
| Constituent Monosaccharides and Molar Ratios | |||
| Mannose | 0.36 | 0.77 | 0.25 |
| Rhamnose | 0.23 | 0.47 | 0.35 |
| Galacturonic acid | 3.28 | 5.16 | 4.07 |
| Glucose | 1.00 | 1.00 | 1.00 |
| Galactose | 1.69 | 2.91 | 1.24 |
| Xylose | 0.24 | 0.36 | 0.24 |
| Arabinose | 0.93 | 1.86 | 1.01 |
© 2019 by the authors. Licensee MDPI, Basel, Switzerland. This article is an open access article distributed under the terms and conditions of the Creative Commons Attribution (CC BY) license (http://creativecommons.org/licenses/by/4.0/).
Share and Cite
Han, Q.-H.; Liu, W.; Li, H.-Y.; He, J.-L.; Guo, H.; Lin, S.; Zhao, L.; Chen, H.; Liu, Y.-W.; Wu, D.-T.; et al. Extraction Optimization, Physicochemical Characteristics, and Antioxidant Activities of Polysaccharides from Kiwifruit (Actinidia chinensis Planch.). Molecules 2019, 24, 461. https://doi.org/10.3390/molecules24030461
Han Q-H, Liu W, Li H-Y, He J-L, Guo H, Lin S, Zhao L, Chen H, Liu Y-W, Wu D-T, et al. Extraction Optimization, Physicochemical Characteristics, and Antioxidant Activities of Polysaccharides from Kiwifruit (Actinidia chinensis Planch.). Molecules. 2019; 24(3):461. https://doi.org/10.3390/molecules24030461
Chicago/Turabian StyleHan, Qiao-Hong, Wen Liu, Hong-Yi Li, Jing-Liu He, Huan Guo, Shang Lin, Li Zhao, Hong Chen, Yao-Wen Liu, Ding-Tao Wu, and et al. 2019. "Extraction Optimization, Physicochemical Characteristics, and Antioxidant Activities of Polysaccharides from Kiwifruit (Actinidia chinensis Planch.)" Molecules 24, no. 3: 461. https://doi.org/10.3390/molecules24030461
APA StyleHan, Q.-H., Liu, W., Li, H.-Y., He, J.-L., Guo, H., Lin, S., Zhao, L., Chen, H., Liu, Y.-W., Wu, D.-T., Li, S.-Q., & Qin, W. (2019). Extraction Optimization, Physicochemical Characteristics, and Antioxidant Activities of Polysaccharides from Kiwifruit (Actinidia chinensis Planch.). Molecules, 24(3), 461. https://doi.org/10.3390/molecules24030461

