Next Article in Journal
Two-Step Azidoalkenylation of Terminal Alkenes Using Iodomethyl Sulfones
Next Article in Special Issue
Neuroprotective Effect of CR-777, a Glutathione Derivative of Withaferin A, Obtained through the Bioconversion of Withania somnifera (L.) Dunal Extract by the Fungus Beauveria bassiana
Previous Article in Journal
Current Trends on Seaweeds: Looking at Chemical Composition, Phytopharmacology, and Cosmetic Applications
 
 
Due to scheduled maintenance work on our servers, there may be short service disruptions on this website between 11:00 and 12:00 CEST on March 28th.
Font Type:
Arial Georgia Verdana
Font Size:
Aa Aa Aa
Line Spacing:
Column Width:
Background:
Article

Optimization of Ultrasound-Assisted Extraction Conditions Followed by Solid Phase Extraction Fractionation from Orthosiphon stamineus Benth (Lamiace) Leaves for Antiproliferative Effect on Prostate Cancer Cells

by
Siti Hasyimah Suhaimi
1,2,
Rosnani Hasham
1,2,*,
Mohamad Khairul Hafiz Idris
1,2,
Hassan Fahmi Ismail
3,
Nor Hazwani Mohd Ariffin
1,2 and
Fadzilah Adibah Abdul Majid
3
1
Institute of Bioproduct Development, Universiti Teknologi Malaysia, 81310 Johor Bahru, Johor, Malaysia
2
School of Chemical and Energy Engineering, Universiti Teknologi Malaysia, 81310 Johor Bahru, Johor, Malaysia
3
Institute of Marine Biotechnology, Universiti Malaysia Terengganu, 21030 Kuala Terengganu, Terengganu, Malaysia
*
Author to whom correspondence should be addressed.
Molecules 2019, 24(22), 4183; https://doi.org/10.3390/molecules24224183
Submission received: 9 October 2019 / Revised: 30 October 2019 / Accepted: 30 October 2019 / Published: 18 November 2019
(This article belongs to the Special Issue Current Trends in the Analysis of Medicinal Plants)

Abstract

Primarily, optimization of ultrasonic-assisted extraction (UAE) conditions of Orthospihon stamineus was evaluated and verified using a central composite design (CCD) based on three factors including extraction time (minutes), ultrasound amplitude (A), and solvent concentration (%). The response surface methodology (RSM) was performed to develop an extraction method with maximum yield and high rosmarinic acid content. The optimal UAE conditions were as follows: extraction time 21 min, ultrasound amplitudes 62 A, and solvent composition 70% ethanol in water. The crude extract was further fractionated using solid-phase extraction (SPE), where six sequential fractions that varied in polarity (0–100% Acetonitrile in water) were obtained. Next, the six fractions were evaluated for their antioxidant and anti-cancer properties. This study found that Fraction 2 (F2) contained the highest rosmarinic acid content and showed the strongest antioxidant activity. Additionally, F2 showed an anti-proliferative effect against prostate cancer (DU145) with no harmful effect on normal cells.

1. Introduction

Prostate cancer is a lethal disease occuring in men. The development of this disease is influenced by various factors such as androgen level, obesity, chronic inflammation, genetics, age, and ethnicity [1]. Clinical treatments of cancer are available, which include hormonal therapy, chemotherapy, radiation therapy, and chemotherapie drugs [2]. However, natural chemotherapy drugs from herbal plants, which may induce apoptosis in cancer cells, can serve as chemotherapeutic agents [3]. Besides that, natural compounds that have high antioxidants have been demonstrated to have a protective effect against cancer development [4].
Orthosiphon stamineus (OS) is a well-known herb in South East Asia belonging to the Lamiaceae family. The leaves of OS have traditionally been used in treating inflammation, eruptive fever, rheumatism, diabetes, and jaundice [5]. Numerous scientific studies have been conducted to explore the antiproliferative effect of OS. Sahib et al. [6] discovered that the methanolic extract of OS could improve the activity of Tamoxifen against human responsive breast cancer cells in vitro. The chloroform extract of OS was found to have an anti-proliferative effect against cancer cell lines such as HeLa cervical adenocarcinoma and K562 chronic myelogenous leukemia cell lines [7]. Al-Suede et al. [8] investigated the effect of OS against human prostate cancer (PC3) in vitro and discovered that OS produced selective toxicity against PC3 and was non-toxic to the normal cell line. A high content of phenolic acids such as rosmarinic acid (RA) and a flavonoid content such as sinensetin, eupatorin, and 3′-hydroxy-5,6,7,4′-tetramethoxyflavone (TMF) were found in the OS leaves [9]. RA was reported to exhibit many therapeutic properties such as antioxidant, anti-microbial, and anti-inflammatory properties [10]. Additionally, eupatorin is a powerful inhibitor for in vitro proliferation in breast cancer [11]. Meanwhile, a study conducted by Dong, et al. [12] found that sinensetin prevented the growth of gastric cancer cells and caused apoptosis.
All of these useful phytochemicals can be extracted through various techniques, from simple maceration to the latest technology of supercritical fluid extraction. Handa et al., [13] defined extraction as a separation of the medicinally active portion of plants using selective solvents through standard procedure. Choosing a suitable solvent system is an essential step to extract plant material. Among the commonly used solvents such as methanol, ethanol, propanol, acetone, and ethyl acetate, it was found that ethanol is safer for human consumption, from a toxicological point of view, and is compatibile with the food system [14]. Meanwhile, Thoo et al. [15] reported that the binary-solvent system is better than the mono-solvent system in the extraction of phenolic compounds. Thus, considering these reasons, the binary solvent system (ethanol–water) was employed for this study.
Ultrasound-assisted extraction (UAE) has gained popularity owing to the ultrasound irradiation that can increase reproducibility, shorten extraction times, reduce solvent consumption, lower energy input, and lower temperature as compared with other extraction methods [16]. The cavitation bubbles from the ultrasonic waves allow greater penetration of the solvent into the plant cell wall, which is strong enough to release the intracellular products of the plant [17]. Additionally, the ultrasound probe gives higher efficiency extraction by focusing on a localized sample zone [18]. Among several extraction parameters employed by UAE, ethanol concentration, extraction time, and amplitude are the most investigated parameters [19,20,21].
Subsequent to the extraction process, extract is usually fractionated into several groups of different properties. According to WHO [22], fractionation is a separation process of complex mixture into smaller fractions to obtain a high amount of the desired target compound. It is known that crude herbal extract is very complex because it has thousands of phytochemicals with various chemical properties [23]. Therefore, fractionating herbal extract can enhance its quality according to its chemical characteristic based on solvent property. Solid-phase extraction (SPE) is one of the fractionation techniques used for the separation of desired compounds from the crude extract. SPE is favorable because the process is fast, and can be viewed as a cost-effective technique because it significantly reduces the usage of solvent compared with the liquid–liquid extraction technique [24]. Furthermore, this technique offered numerous types of sorbent such as reversed-phase, normal-phase, and ion-exchanged sorbent [25].
Nevertheless, to the best of our knowledge, no study has been performed to investigate the effect of different fractions separated from OS leaf extract on the anti-proliferative effect against the prostate cancer cell line. The objective of this study was to identify the active fraction that has anti-cancer properties against in vitro prostate cancer. Initially, prior to fractionation by the SPE technique, bioactive compounds of OS leaves were extracted using the optimized UAE conditions. The optimized conditions for UAE were developed through a response surface methodology (RSM) method based on yield and phytochemical compounds extracted. Subsequently, these fractions were subjected to antioxidant assay and in-vitro anti-cancer assay.

2. Results and Discussion

2.1. Preliminary Study

2.1.1. Effect of Extraction Time on Total Yield and Yield of Rosmarinic Acid

Extraction time is a crucial parameter in solvent extraction as it can reduce time and save cost. The effects of extraction time on the total yield of OS extract and yield of rosmarinic acid are depicted in Figure 1. An increased extraction time led to an increase in the total yield of OS. However, it was observed that the total yield of OS was not significantly changed after 20 min. This circumstance can be explained using Fick’s second law of diffusion, which predicts that, after a certain time, there will be a final equilibrium between the solute in the solid matrix (plant material) and the bulk solution (extraction solvent) [26]. The yield of rosmarinic acid increased with the increased extraction time from 5 min to 20 min. However, it fell at 25 min onwards. Prolonged extraction time may cause the oxidation of phenolics [27], as well as intensify the loss of solvent through vaporization, and thus may affect the solvent to solid ratio [28]. Therefore, the suitable range for extraction time is from 15 to 25 min.

2.1.2. Effect of Ethanol Concentration on Total Yield and Yield of Rosmarinic Acid

According to Figure 2, the total yield of extract was decreased when the concentration of ethanol increased, which might be because of the decrease in solvent polarity; thus, RA, which is a major compound of OS and is a polar compound, was eluted first with a more polar solvent. This contributes to the decrease in total yield. Five hydroxyl groups were found in RA, which is a hydrophilic compound. The hydroxyl groups interact with the solvent system by hydrogen interaction for better solubility [29] (Lau and Chua, 2019). Meanwhile, the yield RA increased with the increasing concentration of ethanol. However, the yield of RA started to decline when the percentage of ethanol was higher than 70%. This circumstance happens because of a lack of water. The presence of water, which acts as a swelling agent, can enhance the extraction efficiency [30] by increasing the contact surface area of the plant material and the solvent [31]. This demonstrates that binary solvent system (ethanol–water) is more efficient compared with a single solvent system (100% ethanol), as the binary solvent system produced a greater yield of RA. Therefore, the range selected for optimization is between 60% and 80% of the ethanol concentration.

2.1.3. Effect of Amplitude on Total Yield and Yield of Rosmarinic Acid

Figure 3 shows the effect of amplitude on the total yield and yield of RA. The main driving force behind UAE is the acoustic cavitation force, which is proficient at inducing a series of compression and rarefactions in the molecules of the solvent, thus causing the formation of bubbles on the surface of the plant matrix [32]. Amplitude indicates the height of the waves. A huge amplitude of the sonication probe means a high intensity of sonication is transmitted to the plant extract [33], which explains the increase of the total yield and yield of rosmarinic acid as the amplitude increased from 20 A to 60 A. Generally, the high amplitude may enhance extraction efficiency, because an increase in amplitude causes an increase in the number of compression and rarefaction cycles of ultrasonic waves. Thus, it causes higher delivery of the compounds [34]. This study is in agreement with research conducted by Dey and Rathod [35], who found that the extraction yield of β-carotene increased as the amplitude of the waves increased. Entezari et al. [36] stated that when amplitude is increased, this causes a large amount of energy to be transferred for the cavitation phenomena to take places. Thus, the cavities form and explode more energetically. This promotes significant penetration of the solvent into the plant matrix and increases the mass transfer rate. However, at 80 A onwards, the yield of rosmarinic acid decreased. A similar trend was observed from the study conducted by Singh et al. [37], who found that when increasing the amplitude over a particular value, the yield was decreased. They concluded that high amplitude generates the formation of bubbles, which in turn hinder the propagation of the pressure waves. Meanwhile, Filgueiras et al. [38] reported that higher amplitude creates a greater number of cavitation bubbles, which might damage more cell walls of the plant. Thus, the optimum range selected for amplitude is 40–80 A.

2.2. Optimization of Extraction Conditions OS using Response Surface Methodology

2.2.1. Analysis of Variance (ANOVA)

In order to evaluate the adequacy and fitness of the model, the significance of the regression model, coefficient of determination (R2), adjusted R2, lack of fit, and coefficient of variation (CV) were used. Generally, a good model must be significant, and the lack of fit must be insignificant. R2 is a statistical measurement of the closeness of data to the fitted regression line [39]. Thus, the value of R2 should be as close as possible to 1 [18] and R2 should be at least 0.80 to ensure a good fit of the model [40]. Adjusted R2 is a corrected value of R2 after the elimination of the additional model terms. The adjusted R2 is considerably smaller than the R2 if many non-significant terms were included in the model [41]. Thus, an adjusted R2 with a higher value than R2 resulted in a more prominent model [42]. The CV measures the expression of standard deviation as a percentage of the mean. A smaller CV indicates better reproducibility. Therefore, a high value of CV indicates an unsatisfactory response model. The value of lack of fit must be non-significant (p > 0.05).
The p-value, as shown in Table 1 and Table 2, indicates that all models are significant, which is desirable as it shows that the terms in the model have a significant effect on the response. The lack of fit is also insignificant. In this study, a good fit model was obtained for the total yield and yield of rosmarinic acid, with R2 values of 0.9726 and 0.9763, respectively, where all the values were close to 1. The CVs for the total yield and yield of rosmarinic acid gave low values, which were 6.27% and 7.49%, respectively, indicating that the experiment was well performed. This means that the model has excellent accuracy and less dispersion. Table 1 and Table 2 summarize the ANOVA analysis for the total yield and yield of rosmarinic acid, respectively.

2.2.2. Effect of Process Variables on Total Yield of Crude Extract

Figure 4a shows the effect of extraction time (A) and amplitude (B). Both parameters (A and B) give a significant effect on the yield of crude extract. Also, the quadratic (A2 and B2) was significant. However, the interaction between these parameters (AB) was found to be not significant (p > 0.05). The deeper the red color, the higher the total yield, and the highest point represents the maximum total yield produced by the two factors (A and B). The total yield reached the highest at 20 min and 60 A. From the surface plot, a longer extraction time increased and then decreased the yield of extract. This happened because the plant cell is damaged owing to acoustic cavitation by ultrasound as time prolonged [38]. The yield of OS extract increased as the amplitude increased. The higher amplitude of sonication gives a higher intensity of the sonication transmitted to the plant extract, which increases the sonication effect [32]. The effect of extraction time (A) and ethanol concentration (C) on the total yield is shown in Figure 4b. A, C, A2, and B2 exhibit a significant (p < 0.05) effect towards total yield. Meanwhile, the interaction between AB is not significant (p > 0.05). An extraction time of 20 min and 70% ethanol concentration contribute to the maximum value of total yield. The solvent is one of the most crucial factors that affect the performance of the extraction process, because solvent will affect the dissolution and diffusion of phytochemicals from plant materials into bulk medium [43]. The graph shows that the total yield of OS extract decreased as the ethanol concentration was further increased from 70% to 100%. The presence of water content creates a greater interaction between the solvent and the internal wall of plant tissue, which increases the yield of extract [44]. Meanwhile, Figure 4c describes the interaction effect between the amplitude (A) and percentage of solvent (B). Both parameters significantly (p < 0.05) affect the total yield. The total yield reached the highest when the concentration of ethanol was 70% and the amplitude was 60 A.

2.2.3. Effect of Process Variables on Total Yield of Crude Extract and Yield of Rosmarinic Acid

Figure 5a shows the three-dimensional surface plot of extraction time (A) and amplitude (B) on the yield of rosmarinic acid. Factor A and AB did not have a significant effect (p > 0.05) on the yield of RA, while factor B is significant (p < 0.05) towards the yield of RA. The yield of RA reached the maximum value at an extraction time of 20 min and amplitude of 60 A. Figure 5b shows the effect of extraction time (A) and percentage of solvent (C) on the yield of RA. The interaction between A and C (AC) is significant. At 20 min of extraction time and 70% ethanol concentration, the yield of RA is at its maximum value. Figure 5c describes the effect of factor B and C. The linear (B and C) and quadratic (B2 and C2) effects on the yield of RA were significant. However, the interaction (BC) was not significant. When amplitude, extraction time, and percentage of solvent increase, the yield of RA increases. A longer extraction time aids the disruption of the cell walls and the release of rosmarinic acid into the solvent. Amplitude represents the height of the waves, which plays an essential role in the intensification of extraction. Increasing the amplitude leads to an increase in the number of compression and rarefaction cycles of ultrasonic waves. Thus, there is a higher delivery of the compound [32]. However, as they keep increasing, the yield of RA decreases. The value of RA decreased because of the sensitivity of RA towards the ultrasonic amplitude power. This phenomenon occurred because the bubbles collapse more violently at a high amplitude of ultrasonic waves [45]. RA is a major compound in OS and is a phenolic compound. Ethanol and water were used in this study as a binary solvent system because it was reported that a binary solvent or multiple solvent system gives a higher yield of phenolic compounds than a single solvent system [24]. There is also a study reporting that a portion of water is vital in the extraction solvent to increase the diffusion of phenolic compounds through plant cells [46]. The yield of RA increased rapidly at 60% to 70% of ethanol and decreased gradually with the increasing percentage of solvent. This might be owing to the decrease in the polarity of the solvent as rosmarinic acid is a polar compound. Following the principle of “like dissolve like”, solvents would only extract those compounds that have a similar polarity to the solvents [47].

2.2.4. The Optimal Condition and Validation of Model

The optimization of OS using UAE was completed using CCD. In this study, the optimization was carried out to achieve the maximum yield of OS extract and yield of rosmarinic acid. Table 3 shows the optimum condition given by the software.
Validation of the model was performed (Table 4) to prove the capability of RSM through the predicted value given by the Design-Expert software.

2.3. Fractionation of OS by Solid Phase Extraction (SPE)

A reversed-phase column, C18, was employed for fractionation of OS using acetonitrile–water at different concentrations (0–100%) as the elution solvent system. The crude extract of OS and its various fractions were investigated by HPLC. Rosmarinic acid, eupatorin, TMF, and sinensetin were used as active analytical marker and their polarities are summarized in Figure 6. Total analytical marker content of each fraction was calculated based on the result obtained from HPLC analysis (Equation (1)).
w w %   =   C o n c e n t r a t i o n   p p m × 0.01 S o l i d   c o n t e n t   g × 1000 × 100
Rosmarinic acid, which is the most polar compound, was eluted in the first three fractions, Fraction 1 (F1), Fraction 2 (F2), and Fraction 3 (F3). C18 is known as a reversed-phase column where the stationary phase is non-polar and the mobile phase is polar [48]. The non-polar stationary phase retained the non-polar compound, hence most polar compounds elute first. This is because of the Van Der Waals interaction forces between the sorbent, mobile phase, and compound of the sample [49]. As the percentage of acetonitrile increases, the polarity of the elution solvent is reduced. Thus, this explains why Fraction 4 (F4) and Fraction 5 (F5) contained no rosmarinic acid. According to Table 5, the present study shows that rosmarinic acid is most abundant in F2 (148.62 ± 0.46 mg/g), eupatorin, (114.24 ± 0.40 mg/g), TMF (89.88 ± 0.45 mg/g), and sinensetin (45.88 ± 0.40 mg/g) quantities are the highest in F4. The total content of rosmarinic acid was increased from 196.14 mg/g of the crude extract to 216.66 mg/g of the total fraction. Eupatorin was increased from 168.54 mg/g of crude extract to 188.61 mg/g of total fractions, while TMF was increased from 11.38 mg/g of crude extract to 117.06 mg/g, and lastly, sinensetin was increased from 18.87 mg/g of the crude extract to 45.88 mg/g of total fractions. This study shows that fractionation of the crude extract enhanced the concentration of the compounds. A similar trend was found by research conducted by Chua et. al. [50], who found that there is an increment in concentration of Rutin from Labisia Pumila var. Alata extract after the fractionation process was applied.

2.4. Antioxidant Activity

An antioxidant is known as any substance that can delay oxidative damage to the target molecule. Plant structure is rich with phenolic compounds and polyphenols. Normally, these antioxidant compounds are in the phenolic form [51]. ABTS assay was used because it is rapid, robust, and accurate for analyzing the antioxidant capacity of extracts and plant materials. However, the use of at least two methods for determining antioxidant properties was also considered, as suggested by Schlesier et al. [52]. Thus, in this study, ABTS and DPPH assays were chosen because they are more accurate and reliable than the FRAP assay for assessing antioxidant capacities of plant extracts [53].
The results of ABTS and DPPH radical scavenging are shown in Table 6 and Figure 7. The radical scavenging was observed at different concentrations of 3.125 µg/mL, 6.25 µg/mL, 12.5 µg/mL, 25 µg/mL, 50 µg/mL, and 100 µg/mL, which was prepared by serial dilution. Overall, F2 was revealed to possess the best antioxidant properties, which led to more potent radical scavenging effects, mainly associated with the high content of phenolic compound. Fraction F2 was found to have the highest rosmarinic acid compared with other fractions and crude. Moreover, RA has more hydroxyl groups compared with eupatorin, TMF, and sinensetin. Pavithra et al. [54] reported that free radical scavenging activity is highly related to the availability of a hydroxyl group in the phenolic compound. The phenolic hydroxyl group is a good hydrogen donor that reacts with radical species, halting the cycle of radicals’ productions [55]. Ho et al. [56] reported that radical scavenging of OS is related to their high content of rosmarinic acid. F5 and F6 were found to have no 50% radical scavenging capacity (IC50).

2.5. Antiproliferative Effect of OS and Its Fractions

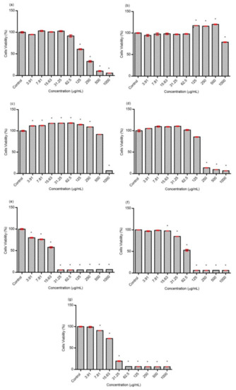
The antiproliferative effect of different fractions of OS on prostate cancer (DU145) is shown in Figure 8. The crude extract of OS and F2 significantly decreased the cell viability at a concentration of 31.25 µg/mL to 1000 µg/mL. F1 significantly reduced the cell viability at a concentration ranging from 62.25 to 1000 µg/mL. As for F3, the cell viability decreased substantially at a concentration of 250 to 1000 µg/mL. F4 was found to significantly reduce cell viability at a concentration between 15.63 and 1000 µg/mL. F5 exhibited a significant anti-proliferative effect at a concentration of 7.81 µg/mL until 1000 µg/mL and, lastly, F6 showed a remarkable decreased in cell viability at a concentration of 3.81 µg/mL to 1000 µg/mL.
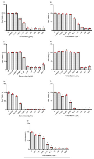
In order to determine the toxicity of crude OS and its fractions, a toxicity study on a normal cell line, human skin fibroblast (HSF 1184), was conducted. Figure 9 depicts the cytotoxic effect of the samples. The IC50 values of samples in both DU145 and HSF 1184 are shown in Table 7. Among all fractions, F4 shows a more pronounced antiproliferative effect against DU145 cell line with an IC50 of 12.38 µg/mL. However, F4 exhibits the lowest IC50 value (14.47 µg/mL) compared with other fractions on a normal cell line (HSF 1184), which suggests that F4 gives an adverse toxic effect on the normal cell line. As stated by Galati and O’Brien [57], an effective anti-cancer agent must cause no harmful effects on the normal cell line. Therefore, this study found that F2 exhibited a promising anti-cancer property by considering the IC50 from both cell lines (DU145 and HSF 1184). Additionally, our finding is in agreement with a study conducted by Al-Suede et al. [8], in the aspect of the anti-cancer potential of OS. They reported that OS extract, using the supercritical fluid extraction technique, exhibits an anti-cancer property on the PC3 prostate cancer cell line. Concurrently, our result also showed potent anti-cancer activity on the DU145 prostate cancer cell line.
As discussed in Section 3.3, F2 is rich in rosmarinic acid. Rosmarinic acid is a phenolic compound that has five hydroxyl groups. Several studies have investigated the therapeutic potential of rosmarinic acid such as anti-cancer activity both in vitro and in vivo. Xavier et al. [58] found that rosmarinic acid significantly inhibits the action of the COX-2 pathway, consequently preventing cancer. Han et al. [59] discovered that rosmarinic acid is a potential therapeutic agent against colorectal cancer. Recently, rosmarinic acid has been reported to have an anti-proliferative effect against prostate cancer cell lines [60].

3. Materials and Methods

3.1. Materials

The powdered form of OS was purchased from a local supplier (Ethno Resources, Sungai Buloh, Selangor Malaysia) with a particle size of 40 meshes and stored at room temperature in a dark environment. Dulbecco’s modified Eagle’s medium (DMEM), fetal bovine serum (FBS), penicillin strep (PS), and trypsin were purchased from Gibco, Life Technologies (Rockville, MD, USA). Ethanol, acetonitrile, methanol, formic acid, and dimethyl sulfoxide (DMSO) were purchased from QRec Asia (Selangor, Malaysia). 2,2-Diphenyl-1-picrylhydrazyl (DPPH), 2,2’-Azino-bis(3-Ethylbenzothiazoline-6-sulphonic acid) (ABTS), standard rosmarinic acid, eupatorin, sinensetin, and 3′-hydroxy-5,6,7,4′-tetramethoxyflavone were acquired from Sigma-Aldrich, Taufkirchen, Germany. Trolox and ascorbic acid were purchased from Merck, Darmstadt Germany.

3.2. Ultrasound-Assisted Extraction (UAE)

UAE was performed using a sonicator (Fisher Scientific, Waltham, MA, USA). A quantity of 3 g of dried OS was extracted at a particular ethanol concentration (50–100%), amplitude (20–100 A), and extraction time (5–30 min). The pulse on and pulse off was set to 5 min to reduce electrical consumption and prevent overheating. The extract was filtered, dried in an oven (45 °C), and weighted before being stored at 4 °C.

3.3. Total Yield

The average percentage of yield was calculated using Equation (2):
T o t a l   y i e l d = W 1 W 0   × 100 ,
where W1 is sample weight and W0 is weight measured before extraction.

3.4. High-Performance Liquid Chromatography (HPLC)

Quantification of the selected phytochemicals by HPLC was conducted according to Saidan et al. [61] with slight modifications. A C18 column (Phenomenex, Torrance, CA, USA) was used as a stationary phase, while the mobile phase was 0.1% formic acid solution (A) and acetonitrile (B) utilizing a gradient elution system, as depicted in Table 8. The flow rate was set at 1 mL/min with 0.005 mL injection volume and 18 min separation time. The wavelength was set at 325 nm and data were analyzed by Empower 3 software (Waters).

3.5. Experimental Design

Response surface methodology (RSM) was carried out to develop a second-order polynomial model for total yield and yield of rosmarinic acid, respectively. Design-Expert Software package (version 7.1.5, State-Ease Inc., Minneapolis, MN, USA) was utilized in this study. Central composite design (CCD) was employed as a tool to optimize the OS extraction condition parameter using UAE. The three independent variables were sonication time (X1), amplitude (X2), and ethanol concentration (X3), while the dependent variables were total yield (Y1) and yield of rosmarinic acid (Y2). A total of 17 runs and 3 center points were generated according to the software. The level of extraction parameters (independent variables) was obtained from the preliminary study conducted. Table 9 exhibits the level of extraction parameters.

3.6. Verification of the Models

The optimal conditions for the extraction of OS were obtained using CCD. The experimental and predicted values of the total yield of OS and yield of rosmarinic acid were compared in order to determine the validity of the model. The percentage error was calculated using Equation (3). The experiment was carried out in triplicate to ensure the accuracy of the model.
E r r o r   %   =   E x p e r i m e n t a l   v a l u e P r e d i c t e d   v a l u e P r e d i c t e d   v a l u e   × 100

3.7. Solid-Phase Extraction (SPE)

The SPE process was conducted following the method from Lau et al. [24], with slight modifications. Chromabond C18 SPE cartridge (6 mL/1000 mg) was fixed to the port of the SPE vacuum manifold. First, the cartridge was conditioned using methanol (12 mL) and then equilibrated by 6 mL of 0.5% formic acid in water. Then, 1 mL of crude extract, which was dissolved in 60% methanol, was loaded onto the SPE column. Next, SPE was conducted using gradient elution. In this study, a bi-solvent system (water-acetonitrile) was utilized. Table 10 summarizes the elution solvent used.

3.8. Antioxidant Activities

3.8.1. ABTS Assay

ABTS radical scavenging activity was evaluated according to Re et al. [62], with slight modifications. ABTS solution was prepared in water at 7 mM from its powder. Next, ABTS radical was produced by reacting ABTS stock solution with 2.45 mM potassium persulfate. The mixture was incubated in the dark, at room temperature, for 12–16 h. After incubation, the ABTS radicals were diluted with methanol until the absorbance reading was 0.7 ± 0.1 at 750 nm. Subsequently, the reaction mixture was prepared by adding 100 µL of ABTS radicals with 100 µL of the samples. This was followed by incubation at room temperature for 6 min. Afterwards, the optical density of the reaction mixture was measured at 750 nm using ELx800 Absorbance Microplate Reader (Biotek Instrument, Winooski, VT, USA). Trolox (3.125–100 µg/mL) was used as the positive control, while ABTS solution in the absence of the sample was used as the negative control.

3.8.2. DPPH Assay

Scavenging activity of DPPH radical was conducted according to Brand-Williams et al., [63] with slight modifications. DPPH solution was prepared in methanol at 0.2 mM. Then, 100 µL samples were mixed with 100 µL of DPPH solution. The sample mixture was kept at room temperature in a dark place for 30 min. The absorbance was measured at 515 nm using ELx800 Absorbance Microplate Reader (Biotek Instrument, USA). Ascorbic acid (3.125–100 µg/mL) was used as a standard. The negative control for this analysis was the DPPH solution in the absence of sample. The percentage of free radical scavenging for both the DPPH and ABTS radical scavenging assay was calculated using Equation (4).
R a d i c a l   s c a v e n g i n g   a c t i v i t y   % =   1 A b s o r b a n c e   o f   s a m p l e A b s o r b a n c e   o f   c o n t r o l   × 100

3.9. Cell Culture Maintenance

Prostate cancer cell line (DU145) and normal fibroblast cell line (HSF 1184) were purchased from American Type Culture Collection (ATCC), Rockville, USA. The cells were maintained in DMEM supplemented by 10% FBS and 1% PS.

3.10. Antiproliferation Study

Antiproliferation study was conducted via MTT assay (Mosmann, 1983). Galati and O’Brien [57] stated that the acceptable and potent anti-cancer agent should be non-toxic to normal cells. In this study, the analyses were performed on both prostate cancer cells (DU145) and normal fibroblast cells (HSF 1184). Cells were seeded at density 5 × 103 cells per well and incubated overnight. Treatment was initiated by adding extracts at a concentration ranging from 0 to 1000 µg/mL. After 24 h of incubation, MTT solution was added and incubated for 4 h. Developed MTT formazan was then dissolved in DMSO and measured at 570 nm.

3.11. Statistical Analysis

All data were presented as mean ± standard deviation and all tests were done at least in triplicate. The statistical significance was conducted using GraphPad Prism 6.0 (GraphPad Software, Inc., San Diego, CA, USA) and analysis of variance (ANOVA) was conducted using design expert software version 7.1.5 (STAT-EASE Inc., Minneapolis, MN, USA).

4. Conclusions

UAE was found to have a significant effect on the yield and rosmarinic acid from OS leaves. CCD was employed to optimize the extraction condition of OS leaves. The optimum point predicted by the software was at 21 min of extraction time, 62 A amplitude, and 70% ethanol. F2, which has the highest RA content (148.62 ± 0.46 mg/g), was selected as the most potent fraction that exhibits significant antiproliferative activity against DU145 prostate cancer line, and offered no adverse effect on the normal cell line. Also, it shows the lowest IC50 in the ABTS (11.29 µg/mL) and DPPH (5.975 µg/mL) radical scavenging assays.

Author Contributions

R.H. organized and revising the written manuscript. S.H.S. writing the original draft of manuscript, designed the experiments (with supervision from R.H.); performed ultrasonic assisted extraction, fractionation of crude extract by solid phase extraction, HPLC analysis, and TPC analysis; and. M.K.H.I. experimented on in vitro study on prostate cancer. H.F.I. performed in vitro study on normal cell line. N.H.M.A., is responsible for conducting antioxidant activity and manuscript submission process. F.A.A.M. is responsible for revising to improve the manuscript.

Funding

This research was funded by HICOE Research Grant Ref number R.J130000.7846.4J266 and The APC was also funded by grant HICOE Research Grant Ref number R.J130000.7846.4J266.

Acknowledgments

This work is supported by the research university grant HICOE Research Grant Ref number R.J130000.7846.4J266 under Universiti Teknologi Malaysia.

Conflicts of Interest

The authors declare no conflict of interest.

References

  1. Azevedo, A.; Cunha, V.; Teixeira, A.L.; Medeiros, R. IL-6/IL-6R as a potential key signaling pathway in prostate cancer development. World J. Clin. Oncol. 2011, 2, 384. [Google Scholar] [CrossRef] [PubMed]
  2. Turan, I.; Demir, S.; Kilinc, K.; Burnaz, N.A.; Yaman, S.O.; Akbulut, K.; Mentese, A.; Aliyazicioglu, Y.; Deger, O. Antiproliferative and apoptotic effect of Morus nigra extract on human prostate cancer cells. Saudi Pharm. J. 2017, 25, 241–248. [Google Scholar] [CrossRef] [PubMed]
  3. Shahneh, F.; Baradaran, B.; Majidi, J.; Babaloo, Z. Echinophora platyloba DC (Apiaceae) crude extract induces apoptosis in human prostate adenocarcinoma cells (PC 3). Biomed. J. 2014, 37, 298–304. [Google Scholar] [PubMed]
  4. Kocyigit, A.; Guler, E.M.; Dikilitas, M. Role of antioxidant phytochemicals in prevention, formation and treatment of cancer. In Reactive Oxygen Species (ROS) in Living Cells; IntechOpen Limited: London, UK, 2017; pp. 22–75. [Google Scholar]
  5. Ameer, O.Z.; Salman, I.M.; Asmawi, M.Z.; Ibraheem, Z.O.; Yam, M.F. Orthosiphon stamineus: Traditional uses, phytochemistry, pharmacology, and toxicology: A review. J. Med. Food 2012, 15, 1–13. [Google Scholar] [CrossRef] [PubMed]
  6. Sahib, H.B.; Ismail, Z.; Othman, N.H.; Majid, A.A. Orthosiphon stamineus Benth. methanolic extract enhances the anti-proliferative effects of tamoxifen on human hormone dependent breast cancer. IJP Int. J. Pharmacol. 2009, 5, 273–276. [Google Scholar]
  7. Dolečková, I.; Rárová, L.; Grúz, J.; Vondrusová, M.; Strnad, M.; Kryštof, V. Antiproliferative and antiangiogenic effects of flavone eupatorin, an active constituent of chloroform extract of Orthosiphon stamineus leaves. Fitoterapia 2012, 83, 1000–1007. [Google Scholar] [CrossRef]
  8. Al-Suede, F.S.R.; Ahamed, K.; Mohamed, B.; Ajid, M.A.; Aman, S.; Baharetha, H.M.; Hassan, L.E.; Kadir, M.O.A.; Nassar, Z.D.; Majid, A.; et al. Optimization of cat’s whiskers tea (orthosiphon stamineus) using supercritical carbon dioxide and selective chemotherapeutic potential against prostate cancer cells. Evid. Based Complement. Altern. Med. 2014, 2014, 1–15. [Google Scholar] [CrossRef]
  9. Akowuah, G.; Zhari, I.; Norhayati, I.; Sadikun, A.; Khamsah, S. Sinensetin, euparotin, 3′-hydroxy-5,6,7,4′-tetramethoxyflavone and rosmarinic acid contents and oxidative effect of Orthosiphon stamineus from Malaysia. Food Chem. 2004, 87, 559–566. [Google Scholar] [CrossRef]
  10. Almatar, M.; Ekal, H.; Rahmat, Z. A glance on medical applications of Orthosiphon stamineus and some of its oxidative compounds. Int. J. Pharm. Sci. Rev. Res. 2014, 24, 83–88. [Google Scholar]
  11. Androutsopoulos, V.; Arroo, R.R.; Hall, J.F.; Surichan, S.; Potter, G.A. Antiproliferative and cytostatic effects of the natural product eupatorin on MDA-MB-468 human breast cancer cells due to CYP1-mediated metabolism. Breast Cancer Res. 2008, 10, R39. [Google Scholar] [CrossRef]
  12. Dong, Y.; Ji, G.; Cao, A.; Shi, J.; Shi, H.; Xie, J.; Wu, D. Effects of sinensetin on proliferation and apoptosis of human gastric cancer AGS cells. Zhongguo Zhong yao za zhi. China J. Chin. Mater. Med. 2011, 36, 790–794. [Google Scholar]
  13. Handa, S.S.; Khanuja, S.P.S.; Longo, G.; Rakesh, D.D. Extraction Technologies for Medicinal and Aromatic Plants (1 stedn); No. 66; United Nations Industrial Development Organization and the International Centre for Science and High Technology: Trieste, Italy, 2008. [Google Scholar]
  14. Oktay, M.; Gülçin, İ.; Küfrevioğlu, Ö.İ. Determination of in vitro antioxidant activity of fennel (Foeniculum vulgare) seed extracts. LWT Food Sci. Technol. 2003, 36, 263–271. [Google Scholar] [CrossRef]
  15. Thoo, Y.Y.; Ho, S.K.; Liang, J.Y.; Ho, C.W.; Tan, C.P. Effects of binary solvent extraction system, extraction time and extraction temperature on phenolic antioxidants and antioxidant capacity from mengkudu (Morinda citrifolia). Food Chem. 2010, 120, 290–295. [Google Scholar] [CrossRef]
  16. Bimakr, M.; Rahman, R.A.; Taip, F.S.; Mohd Adzahan, N.; Sarker, M.D.I.; Ganjiloo, A. Optimization of ultrasound assisted extraction of crude oil from winter melon (Benincasa hispida) seed using response surface methodology and evaluation of its antioxidant activity, total phenolic content and fatty acid composition. Molecules 2012, 17, 11748–11762. [Google Scholar] [CrossRef] [PubMed]
  17. Lee, M.H.; Lin, C.C. Comparison techniques for extraction of isoflavones from the root of Radix Puerariae: Ultrasonic and pressurized solvent extractions. Food Chem. 2007, 105, 223–228. [Google Scholar] [CrossRef]
  18. Fan, G.; Ham, Y.; Gu, Z.; Chen, D. Optimizing conditions for anthocyanins extraction from purple sweet potato using response surface methodology. Food Sci. Technol. 2008, 41, 155–160. [Google Scholar] [CrossRef]
  19. Thoo, Y.Y.; Ng, S.Y.; Khoo, M.Z.; Aida, W.W.; Ho, C.W. A binary solvent extraction system for phenolic antioxidants and its application to the estimation of antioxidant capacity in Andrographis paniculata extracts. Int. Food Res. J. 2013, 20, 1103–1111. [Google Scholar]
  20. Medina-Torres, N.; Ayora-Talavera, T.; Espinosa-Andrews, H.; Sánchez-Contreras, A.; Pacheco, N. Ultrasound assisted extraction for the recovery of phenolic compounds from vegetable sources. Agronomy 2017, 7, 47. [Google Scholar] [CrossRef]
  21. Bimakr, M.; Rahman, R.A.; Saleena Taip, F.; Adzahan, N.M.; Islam Sarker, Z. Ultrasound-assisted extraction of valuable compounds from winter melon (Benincasa hispida) seeds. Int. Food Res. J. 2013, 20, 331–338. [Google Scholar]
  22. WHO. WHO Guidelines on Good Herbal Processing Practices (GHPP) for Herbal Medicines; WHO: Geneva, Switzerland, 2017. [Google Scholar]
  23. Ngo, Y.L.; Lau, C.H.; Chua, L.S. Review on rosmarinic acid extraction, fractionation and its anti-diabetic potential. Food Chem. Toxicol. 2018, 121, 687–700. [Google Scholar] [CrossRef]
  24. Lau, C.H.; Chua, L.S.; Lee, C.T.; Aziz, R. Fractionation of rosmarinic acid from crude extract of Orthosiphon stamineus by solid phase extraction. J. Eng. Sci. Technol. 2015, 10, 104–112. [Google Scholar]
  25. Ku, Y.R.; Liu, Y.C.; Lin, J.H. Solid-phase extraction and high-performance liquid chromatographic analysis of prednisone adulterated in a foreign herbal medicine. J. Food Drug Anal. 2001, 9, 150–152. [Google Scholar]
  26. Silva, E.M.; Rogez, H.; Larondelle, Y. Optimization of extraction of phenolics from Inga edulis leaves using response surface methodology. Sep. Purif. Technol. 2007, 55, 381–387. [Google Scholar] [CrossRef]
  27. Naczk, M.; Shahidi, F. Extraction and analysis of phenolics in food. J. Chromatogr. A 2004, 1054, 95–111. [Google Scholar] [CrossRef]
  28. Al-Farsi, M.A.; Lee, C.Y. Optimization of phenolics and dietary fibre extraction from date seeds. Food Chem. 2008, 108, 977–998. [Google Scholar] [CrossRef] [PubMed]
  29. Lau, C.H.; Chua, L.S. Solubility Models for the Recovery of Rosmarinic Acid from Orthosiphon Aristatus Extract Using Solid Phase Extraction. ChemEngineering 2019, 3, 64. [Google Scholar] [CrossRef]
  30. Şahin, S.; Şamlı, R. Optimization of olive leaf extract obtained by ultrasound-assisted extraction with response surface methodology. Ultrason. Sonochem. 2013, 20, 595–602. [Google Scholar] [CrossRef]
  31. Hemwimon, S.; Pavasant, P.; Shotipruk, A. Microwave-assisted extraction of antioxidative anthraquinones from roots of Morinda citrifolia. Sep. Purif. Technol. 2007, 54, 44–50. [Google Scholar] [CrossRef]
  32. Shirsath, S.R.; Sonawane, S.H.; Gogate, P.R. Intensification of extraction of natural products using ultrasonic irradiations—A review of current status. Chem. Eng. Process. Process Intensif. 2012, 53, 10–23. [Google Scholar] [CrossRef]
  33. Ho, S.K.; Tan, C.P.; Thoo, Y.Y.; Abas, F.; Ho, C.W. Ultrasound assisted extraction of antioxidants in misai kucing (orthosiphon stamineus). Molecules 2014, 19, 12640–12659. [Google Scholar] [CrossRef]
  34. Al-Dhabi, N.A.; Ponmurugan, K.; Jeganathan, P.M. Development and validation of ultrasound-assisted solid-liquid extraction of phenolic compounds from waste spent coffee grounds. Ultrason. Sonochem. 2017, 34, 206–213. [Google Scholar] [CrossRef] [PubMed]
  35. Dey, S.; Rathod, V.K. Ultrasound assisted extraction of β-carotene from Spirulina platensis. Ultrason. Sonochem. 2013, 20, 271–276. [Google Scholar] [CrossRef] [PubMed]
  36. Entezari, M.H.; Nazary, S.H.; Khodaparast, M.H. The direct effect of ultrasound on the extraction of date syrup and its micro-organisms. Ultrason. Sonochem. 2004, 11, 379–384. [Google Scholar] [CrossRef] [PubMed]
  37. Singh, Y.; Azumder, M.A.; Giri, A.; Mishra, H.N. Optimization of ultrasound-assisted extraction of β-carotene from chlorella biomass (MCC7) and its use in fortification of apple jam. J. Food Process. Eng. 2017, 40, e12321. [Google Scholar] [CrossRef]
  38. Filgueiras, A.V.; Capello, J.L.; Lavilla, I.; Bendicho, C. Comparison of ultrasound assisted extraction and microwave assisted digestion for determination of magnesium, manganese, and zinc in plant samples by flame atomic absorption spectrometry. Talanta 2000, 53, 433–441. [Google Scholar] [CrossRef]
  39. Ong, L.J.; Mamat, A.S.; Aslam, S.M.; Ahmad, M.S. Optimization of Ficus deltoidea using ultrasound assisted extraction by box behken statistical design. Recent Adv. Biol. Med. 2016, 2, 71–78. [Google Scholar] [CrossRef]
  40. Gan, H.E.; Karim, R.; Muhamad, S.K.S.; Bakar, J.A.; Hashim, D.M.; Abd Rahman, R. Optimization of the basic formulation of a traditional baked cassava cake using response surface methodology. Food Sci. Technol. 2007, 40, 611–618. [Google Scholar] [CrossRef]
  41. Myers, R.H.; Montgomery, D.C.; Anderson-Cook, C.M. Response Surface Methodology: Process and Product Optimization Using Designed Experiments; John Wiley & Sons: Hoboken, NJ, USA, 2016. [Google Scholar]
  42. Singh, A.; Arindam, K.; Geeranjali, Y.; Banerjee, R. Process optimization for the extraction of polyphenols from okara. Food Technol. Biotechnol. 2011, 49, 322–328. [Google Scholar]
  43. Harbourne, N.; Marete, E.; Jacquier, J.; O’Riordan, D. Handbook of Plant Food Phytochemicals; John wiley & Sons Ltd.: Hoboken, NJ, USA, 2013. [Google Scholar]
  44. Huang, W.; Xue, A.; Niu, H.; Jia, Z.; Wang, J. Optimisation ultrasonic assisted extraction of flavonoids from Folium eucommiae and evaluation of anti-oxidant activity in multi test system in vitro. Food Chem. 2009, 114, 1147–1154. [Google Scholar] [CrossRef]
  45. Herrera, M.C.; De Castro, M.L. Ultrasound-assisted extraction of phenolic compounds from strawberries prior to liquid chromatographic separation and photodiode array ultraviolet detection. J. Chromatogr. A 2005, 1100, 1–7. [Google Scholar] [CrossRef]
  46. Altıok, E.; Bayçın, D.; Bayraktar, O.; Ülkü, S. Isolation of polyphenols from the extracts of olive leaves (Olea europaea L.) by adsorption on silk fibroin. Sep. Purif. Technol. 2008, 62, 342–348. [Google Scholar]
  47. Yang, Y.; Zhang, F. Ultrasound-assisted extraction of rutin and quercetin from Euonymus alatus (Thunb) Sieb. Ultrason. Sonochem. 2008, 15, 308–313. [Google Scholar] [CrossRef] [PubMed]
  48. Ciborowski, P.; Silberring, J. (Eds.) Proteomic Profiling and Analytical Chemistry: The Crossroads; Elsevier: Amsterdam, The Netherlands, 2016. [Google Scholar]
  49. Abdah, S.N.M.; Sarmidi, M.R.; Yaakob, H.; Ware, I. Fractionation of labisia pumila using solid-phase extraction for extraction of gallic acid. J. Teknol. 2014, 69, 6568. [Google Scholar]
  50. Chua, L.S.; Ruzlan, N.N.; Sarmidi, M.R. Recovery of rutin from Labisia pumila extract using solid phase extraction. Acta Chim. Slov. 2017, 64, 888–894. [Google Scholar] [CrossRef] [PubMed][Green Version]
  51. Aksoy, L.; Kolay, E.; Ağılönü, Y.; Aslan, Z.; Kargıoğlu, M. Free radical scavenging activity, total phenolic content, total antioxidant status, and total oxidant status of endemic Thermopsis turcica. Saudi J. Biol. Sci. 2013, 20, 235–239. [Google Scholar] [CrossRef]
  52. Schlesier, K.; Harwat, M.; Böhm, V.; Bitsch, R. Assessment of antioxidant activity by using different in vitro methods. Free Radic. Res. 2002, 36, 177–187. [Google Scholar] [CrossRef]
  53. Surveswaran, S.; Cai, Y.Z.; Corke, H.; Sun, M. Systematic evaluation of natural phenolic antioxidants from 133 Indian medicinal plants. Food Chem. 2007, 102, 938–953. [Google Scholar] [CrossRef]
  54. Pavithra, K.; Vadivukkarasi, S. Evaluation of free radical scavenging activity of various extracts of leaves from Kedrostis foetidissima (Jacq.) Cogn. Food Sci. Hum. Wellness 2015, 4, 42–46. [Google Scholar] [CrossRef]
  55. Pereira, D.; Valentão, P.; Pereira, J.; Andrade, P. Phenolics: From chemistry to biology. Molecules 2009, 14, 2202–2211. [Google Scholar] [CrossRef]
  56. Ho, C.H.; Noryati, I.; Sulaiman, S.F.; Rosma, A. In vitro antibacterial and antioxidant activities of Orthosiphon stamineus Benth. extracts against food-borne bacteria. Food Chem. 2010, 122, 1168–1172. [Google Scholar] [CrossRef]
  57. Galati, G.; O’Brien, P.J. Potential toxicity of flavonoids and other dietary phenolics: Significance for their chemopreventive and anticancer properties. Free Radic. Biol. Med. 2004, 37, 287–303. [Google Scholar] [CrossRef] [PubMed]
  58. Xavier, C.P.; Lima, C.F.; Fernandes-Ferreira, M.; Pereira-Wilson, C. Salvia fruticosa, Salvia officinalis, and rosmarinic acid induce apoptosis and inhibit proliferation of human colorectal cell lines: The role in MAPK/ERK pathway. Nutr. Cancer 2009, 61, 564–571. [Google Scholar] [CrossRef] [PubMed]
  59. Han, Y.H.; Kee, J.Y.; Hong, S.H. Rosmarinic acid activates AMPK to inhibit metastasis of colorectal cancer. Front. Pharmacol. 2018, 9, 68. [Google Scholar] [CrossRef] [PubMed]
  60. Jang, Y.G.; Hwang, K.A.; Choi, K.C. Rosmarinic Acid, a component of rosemary tea, induced the cell cycle arrest and apoptosis through modulation of HDAC2 expression in prostate cancer cell lines. Nutrients 2018, 10, 1784. [Google Scholar] [CrossRef]
  61. Saidan, N.H.; Aisha, A.F.; Hamil, M.S.R.; Majid, A.M.S.A.; Ismail, Z. A novel reverse phase high-performance liquid chromatography method for standardization of Orthosiphon stamineus leaf extracts. Pharmacogn. Res. 2005, 7, 23. [Google Scholar]
  62. Re, R.; Pellegrini, N.; Proteggente, A.; Pannala, A.; Yang, M.; Rice-Evans, C. Antioxidant activity applying an improved ABTS radical cation decolorization assay. Free Radic. Biol. Med. 1999, 26, 1231–1237. [Google Scholar] [CrossRef]
  63. Brand-Williams, W.; Cuvelier, M.E.; Berset, C.L.W.T. Use of a free radical method to evaluate antioxidant activity. LWT Food Sci. Technol. 1995, 28, 25–30. [Google Scholar] [CrossRef]
Sample Availability: Samples of the compounds (Orthosiphon staminues)are available from the authors.
Figure 1. Effect of extraction time on total yield and yield of rosmarinic acid (RA). Data were generated from three experiments (n = 3) and presented as mean with standard deviation as error bars.
Figure 1. Effect of extraction time on total yield and yield of rosmarinic acid (RA). Data were generated from three experiments (n = 3) and presented as mean with standard deviation as error bars.
Molecules 24 04183 g001
Figure 2. Effect of ethanol concentration on total yield and yield of rosmarinic acid. Experiment was conducted in triplicates (n = 3).
Figure 2. Effect of ethanol concentration on total yield and yield of rosmarinic acid. Experiment was conducted in triplicates (n = 3).
Molecules 24 04183 g002
Figure 3. Effect of amplitude on total yield and the yield of rosmarinic acid. Data were generated from three experiments (n = 3) and presented as the mean with standard deviation as error bars.
Figure 3. Effect of amplitude on total yield and the yield of rosmarinic acid. Data were generated from three experiments (n = 3) and presented as the mean with standard deviation as error bars.
Molecules 24 04183 g003
Figure 4. Surface plot of total yield of Orthosiphon stamineus (OS) extract: (a) extraction time and amplitude, (b) extraction time and percentage of solvent, (c) amplitude and percentage of solvent.
Figure 4. Surface plot of total yield of Orthosiphon stamineus (OS) extract: (a) extraction time and amplitude, (b) extraction time and percentage of solvent, (c) amplitude and percentage of solvent.
Molecules 24 04183 g004
Figure 5. Surface plot of the yield of rosmarinic acid: (a) extraction time and amplitude, (b) extraction time and percentage of solvent, (c) amplitude and percentage of solvent.
Figure 5. Surface plot of the yield of rosmarinic acid: (a) extraction time and amplitude, (b) extraction time and percentage of solvent, (c) amplitude and percentage of solvent.
Molecules 24 04183 g005
Figure 6. Polarity of the markers of OS. TMF, 3′-hydroxy-5,6,7,4′-tetramethoxyflavone.
Figure 6. Polarity of the markers of OS. TMF, 3′-hydroxy-5,6,7,4′-tetramethoxyflavone.
Molecules 24 04183 g006
Figure 7. Activity of OS and its fractions in two different assays: (a) 2,2′-Azino-bis(3-Ethylbenzothiazoline-6-sulphonic acid) (ABTS) scavenging activity (%) and (b) 2,2-Diphenyl-1-picrylhydrazyl (DPPH) scavenging activity (%). Each data represent the mean (n = 3) with standard deviation.
Figure 7. Activity of OS and its fractions in two different assays: (a) 2,2′-Azino-bis(3-Ethylbenzothiazoline-6-sulphonic acid) (ABTS) scavenging activity (%) and (b) 2,2-Diphenyl-1-picrylhydrazyl (DPPH) scavenging activity (%). Each data represent the mean (n = 3) with standard deviation.
Molecules 24 04183 g007
Figure 8. Antiproliferative effect of OS and its fractions on DU145 cell line after 24 h of treatment. (a) Crude extract, (b) F1, (c) F2, (d), F3, (e) F4, (f) F5, and (g) F6. The data represent the mean ± SD of three experiments. * represents significant results (p < 0.05) compared with control (untreated DU145 cells).
Figure 8. Antiproliferative effect of OS and its fractions on DU145 cell line after 24 h of treatment. (a) Crude extract, (b) F1, (c) F2, (d), F3, (e) F4, (f) F5, and (g) F6. The data represent the mean ± SD of three experiments. * represents significant results (p < 0.05) compared with control (untreated DU145 cells).
Molecules 24 04183 g008
Figure 9. Cytotoxicity analysis of OS and its fractions on the HSF 1184 cell line after 24 h of treatment. (a) Crude extract, (b) F1, (c) F2, (d), F3, (e) F4, (f) F5, and (g) F6. The data represent the mean ± SD of three experiments. * represents significant results (p < 0.05) compared with the control (untreated HSF 1184 cells).
Figure 9. Cytotoxicity analysis of OS and its fractions on the HSF 1184 cell line after 24 h of treatment. (a) Crude extract, (b) F1, (c) F2, (d), F3, (e) F4, (f) F5, and (g) F6. The data represent the mean ± SD of three experiments. * represents significant results (p < 0.05) compared with the control (untreated HSF 1184 cells).
Molecules 24 04183 g009
Table 1. Analysis of variance (ANOVA) for the total yield. A: extraction time, B: amplitude, C: ethanol concentration.
Table 1. Analysis of variance (ANOVA) for the total yield. A: extraction time, B: amplitude, C: ethanol concentration.
SourceSum of SquareDegree of FreedomMean SquareF-Valuep-Value (prob > F)Significance
Total Yield (R2 = 0.9726)
Model0.4490.04927.590.0001Significant
A0.05310.05329.780.0009
B0.08810.08849.440.0002
C0.1110.1161.680.0001
AB2.379 × 10−312.379 × 10−31.340.2846
AC1.605 × 10−311.605 × 10−30.910.3730
BC9.625 × 10−419.625 × 10−40.540.4851
A20.06110.06134.530.0006
B20.09410.09453.290.0002
C20.1310.1373.92<0.0001
Residual 0.01271.773 × 10−3
Lack of fit0.01052.064 × 10−31.880.3824Not significant
Pure error2.175 × 10−321.088 × 10−3
Table 2. Analysis of variance (ANOVA) for the yield of rosmarinic acid (RA). A: extraction time, B: amplitude, C: ethanol concentration.
Table 2. Analysis of variance (ANOVA) for the yield of rosmarinic acid (RA). A: extraction time, B: amplitude, C: ethanol concentration.
SourceSum of SquareDegree of FreedomMean SquareF-Valuep-ValueSignificance
Yield of Rosmarinic Acid (R2 = 0.9763)
Model2807.119311.9032.100.0001Significant
A17.11117.111.760.2261
B251.191251.1925.860.0014
C1372.3411372.34141.26<0.0001
AB13.13113.131.350.2831
AC95.50195.509.830.0165
BC1.3111.310.130.7243
A2552.741552.7456.890.0001
B2252.921252.9226.030.0014
C2781.621781.6280.45<0.0001
Residual 68.0179.72
Lack of fit65.37513.079.920.0941Not significant
Pure error2.6421.32
Table 3. Optimum conditions of the extraction.
Table 3. Optimum conditions of the extraction.
Independent VariablesDependent Variables
Extraction time (minutes)Amplitude (A)Percentage of ethanol in water (%)Total yield (%)Yield of rosmarinic acid (mg/g)
21 min6271%0.90856.48
Table 4. Validation between predicted value and experimental value.
Table 4. Validation between predicted value and experimental value.
ResponsesPredicted ValueExperimental Value% Error
Total yield (%)0.9080.8723.96
Yield of rosmarinic acid (mg/g)56.4859.14.43
Table 5. Concentration of biomarkers collected for each fraction and crude extract. TMF, 3′-hydroxy-5,6,7,4′-tetramethoxyflavone; OS, Orthosiphon stamineus.
Table 5. Concentration of biomarkers collected for each fraction and crude extract. TMF, 3′-hydroxy-5,6,7,4′-tetramethoxyflavone; OS, Orthosiphon stamineus.
SamplesRA (mg/g)Eupatorin (mg/g)TMF (mg/g)Sinensetin (mg/g)
Crude OS196.14 ± 0.33168.54 ± 0.2811.38 ± 0.2818.87 ± 0.12
F165.62 ± 0.44
F2148.62 ± 0.46
F32.42 ± 0.2230.02 ± 0.33
F4 114.24 ± 0.4089.88 ± 0.4545.88 ± 0.40
F5 23.03 ± 0.1627.18 ± 0.54
F6 21.32 ± 0.15
Table 6. IC50 values for 2,2′-Azino-bis(3-Ethylbenzothiazoline-6-sulphonic acid) (ABTS) and 2,2-Diphenyl-1-picrylhydrazyl (DPPH) radical scavenging.
Table 6. IC50 values for 2,2′-Azino-bis(3-Ethylbenzothiazoline-6-sulphonic acid) (ABTS) and 2,2-Diphenyl-1-picrylhydrazyl (DPPH) radical scavenging.
SamplesIC50 Value (µg/mL)
ABTSDPPH
Crude67.3123.03
F138.3915.86
F211.295.975
F324.849.958
F486.9967.10
F5N/AN/A
F6 N/AN/A
Trolox3.407-
Ascorbic acid 3.047
Table 7. IC50 values of crude OS and its fractions on HSF 1184 and DU145. IC50 represents the half maximal inhibitory concentration to determine the potency of the samples in inhibiting a biological function.
Table 7. IC50 values of crude OS and its fractions on HSF 1184 and DU145. IC50 represents the half maximal inhibitory concentration to determine the potency of the samples in inhibiting a biological function.
SamplesIC50 (µg/mL)
Normal Cell Line (HSF 1184)Prostate Cancer Cell Line (DU145)
Crude OS169.426.99
F1Not converge (>1000)101.8
F2695.143.01
F3175.9229.8
F414.4712.38
F562.0726.63
F620.6018.68
Table 8. Gradient elution system for high-performance liquid chromatography (HPLC) analysis.
Table 8. Gradient elution system for high-performance liquid chromatography (HPLC) analysis.
TimeFlow Rate (mL/min)Solvent Ratio
A (0.1% Formic Acid)B (Acetonitrile)
018515
118515
1213565
1518515
1818515
Table 9. Level of extraction parameters.
Table 9. Level of extraction parameters.
Independent VariablesLevel
−1+1
Extraction time (minutes)1525
Amplitude (A)4080
Percentage of solvent (%)6080
Table 10. Elution solvent ratio (water–acetonitrile).
Table 10. Elution solvent ratio (water–acetonitrile).
FractionSolvent Ratio (%)
WaterAcetonitrile
11000
28020
36040
44060
52080
60100

Share and Cite

MDPI and ACS Style

Suhaimi, S.H.; Hasham, R.; Hafiz Idris, M.K.; Ismail, H.F.; Mohd Ariffin, N.H.; Abdul Majid, F.A. Optimization of Ultrasound-Assisted Extraction Conditions Followed by Solid Phase Extraction Fractionation from Orthosiphon stamineus Benth (Lamiace) Leaves for Antiproliferative Effect on Prostate Cancer Cells. Molecules 2019, 24, 4183. https://doi.org/10.3390/molecules24224183

AMA Style

Suhaimi SH, Hasham R, Hafiz Idris MK, Ismail HF, Mohd Ariffin NH, Abdul Majid FA. Optimization of Ultrasound-Assisted Extraction Conditions Followed by Solid Phase Extraction Fractionation from Orthosiphon stamineus Benth (Lamiace) Leaves for Antiproliferative Effect on Prostate Cancer Cells. Molecules. 2019; 24(22):4183. https://doi.org/10.3390/molecules24224183

Chicago/Turabian Style

Suhaimi, Siti Hasyimah, Rosnani Hasham, Mohamad Khairul Hafiz Idris, Hassan Fahmi Ismail, Nor Hazwani Mohd Ariffin, and Fadzilah Adibah Abdul Majid. 2019. "Optimization of Ultrasound-Assisted Extraction Conditions Followed by Solid Phase Extraction Fractionation from Orthosiphon stamineus Benth (Lamiace) Leaves for Antiproliferative Effect on Prostate Cancer Cells" Molecules 24, no. 22: 4183. https://doi.org/10.3390/molecules24224183

APA Style

Suhaimi, S. H., Hasham, R., Hafiz Idris, M. K., Ismail, H. F., Mohd Ariffin, N. H., & Abdul Majid, F. A. (2019). Optimization of Ultrasound-Assisted Extraction Conditions Followed by Solid Phase Extraction Fractionation from Orthosiphon stamineus Benth (Lamiace) Leaves for Antiproliferative Effect on Prostate Cancer Cells. Molecules, 24(22), 4183. https://doi.org/10.3390/molecules24224183

Article Metrics

Back to TopTop