Evaluation of the Strain Bacillus amyloliquefaciens YP6 in Phoxim Degradation via Transcriptomic Data and Product Analysis
Abstract
1. Introduction
2. Results and Discussion
2.1. The Growth and Phoxim Degradation of Strain YP6 in Different Culture Media
2.2. Optimal Condition for the Degradation of Phoxim by Strain YP6
2.3. Identification of Metabolites of Phoxim by Strain YP6
2.4. Transcriptome Analysis
2.5. qRT-PCR Validation
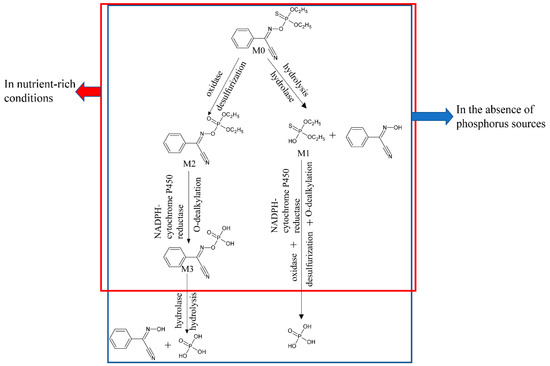
2.6. Biodegradation Pathway of Phoxim by Strain YP6
3. Materials and Methods
3.1. Pesticides, Strain and Cultivation Medium
3.2. The Growth and Phoxim Degradation of Strain YP6 in Different Culture Media
3.3. Response Surface Experimental Design for Phoxim Degradation
3.4. HPLC Analytical Methods
3.5. Identification of Metabolites of Phoxim by HPLC-MS
3.6. RNA-seq Transcriptomic Analysis
3.7. qRT-PCR Analysis
3.8. Statistical Analysis
4. Conclusions
Supplementary Materials
Author Contributions
Funding
Acknowledgments
Conflicts of Interest
References
- Lin, B.X.; Yu, Y.; Hu, X.G.; Deng, D.Y.; Zhu, L.C.; Wang, W.J. Degradation mechanisms of phoxim in river water. J. Agric. Food Chem. 2011, 59, 312–321. [Google Scholar] [CrossRef] [PubMed]
- Han, Y.; Song, S.J.; Guo, Y.P.; Zhang, J.Z.; Ma, E.B. ace-3 plays an important role in phoxim resistance in Caenorhabditis elegans. Ecotoxicology 2016, 25, 835–844. [Google Scholar] [CrossRef] [PubMed]
- Liang, P.; Guo, L.; Liu, Y.; Liu, S.; Zhang, T.Z. Application of liquid-phase microextraction for the determination of phoxim in water samples by high performance liquid chromatography with diode array detector. Microchem. J. 2005, 80, 19–23. [Google Scholar] [CrossRef]
- Chao, M.Y.; Chen, M.F. Electrochemical determination of phoxim in food samples employing a graphene-modified glassy carbon electrode. Food Anal. Methods 2014, 7, 1729–1736. [Google Scholar] [CrossRef]
- He, M.; Yu, P.Z.; Jia, C.H.; Zhao, E.C.; Chen, L.; Jing, J.J.; Zheng, Y.Q. Simultaneous determination of tebufenozide and phoxim in chinese cabbage and soil using ultrahigh-performance liquid chromatography tandem mass spectrometry. Food Anal. Methods 2016, 9, 3107–3116. [Google Scholar] [CrossRef]
- Marican, A.; Durán-Lara, E.F. A review on pesticide removal through different processes. Environ. Sci. Pollut. Res. 2018, 25, 2051–2064. [Google Scholar] [CrossRef]
- Singh, B.K.; Walker, A. Microbial degradation of organophosphorus compounds. FEMS Microbiol. Rev. 2006, 30, 428–471. [Google Scholar] [CrossRef]
- Yang, J.; Yang, C.; Qiao, C. Overexpression of protein disulfide isomerase DsbA enhanced detoxification of organophosphates and enhanced detectability in the environment following degradation of pesticide residues. World J. Microbiol. Biotechnol. 2011, 27, 785–790. [Google Scholar] [CrossRef]
- Zhang, R.F.; Zhu, W.; Cui, Z.L.; Li, S.P. Isolation, identification and characters of phoxim degrading bacterium. Acta Sci. Circumst. 2003, 23, 411–413. [Google Scholar] [CrossRef]
- Li, F.; Huang, S.F.; Liu, B. Degradation of phoxim by Paecilomyces lilaciuns. Chin. J. Appl. Environ. Biol. 2006, 12, 104–107. [Google Scholar] [CrossRef]
- Shen, Y.J.; Hong, Y.F.; Hong, Q.; Jiang, X.; Li, S.P. Isolation, identification and characteristics of a phoxim-degrading bacterium XSP-1. Environ. Sci. 2007, 28, 2833–2837. [Google Scholar] [CrossRef]
- Shen, Y.J.; Lu, P.; Mei, H.; Yu, H.J.; Hong, Q.; Li, S.P. Isolation of a methyl parathion-degrading strain Stenotrophomonas sp. SMSP-1 and cloning of the ophc2 gene. Biodegradation 2010, 21, 785–792. [Google Scholar] [CrossRef] [PubMed]
- Wang, F.Y.; Shi, Z.Y.; Tong, R.J.; Xu, X.F. Dynamics of phoxim residues in green onion and soil as influenced by arbuscular mycorrhizal fungi. J. Hazard. Mater. 2011, 185, 112–116. [Google Scholar] [CrossRef] [PubMed]
- Yu, T.; Hou, C.M.; Wang, H.R.; An, M.; Yu, Y.M. Characteristics in degradation of phoxim by siderophore producing bacterium Bacillus subtilis Bs-15. Chin. J. Appl. Environ. Biol. 2014, 20, 179–184. [Google Scholar] [CrossRef]
- Deng, S.; Chen, Y.; Wang, D.; Shi, T.; Wu, X.; Ma, X.; Li, X.; Hua, R.; Tang, X.; Li, Q. Rapid biodegradation of organophosphorus pesticides by Stenotrophomonas sp. G1. J. Hazard. Mater. 2015, 297, 17–24. [Google Scholar] [CrossRef] [PubMed]
- Shafi, J.; Tian, H.; Ji, M.S. Bacillus species as versatile weapons for plant pathogens: A review. Biotechnol. Biotechnol. Equip. 2017, 31, 446–459. [Google Scholar] [CrossRef]
- Kuebutornye, F.K.A.; Abarike, E.D.; Lu, Y. A review on the application of Bacillus as probiotics in aquaculture. Fish Shellfish Immunol. 2019, 87, 820–828. [Google Scholar] [CrossRef]
- Amin, M.; Rakhisi, Z.; Ahmady, A.Z. Isolation and identification of Bacillus species from soil and evaluation of their antibacterial properties. Avicenna J. Clin. Microbiol. Infect. 2015, 2, 10–13. [Google Scholar] [CrossRef]
- Lakshmi, C.V.; Kumar, M.; Khanna, S. Biotransformation of chlorpyrifos and bioremediation of contaminated soil. Int. Biodeterior. Biodegrad. 2008, 62, 204–209. [Google Scholar] [CrossRef]
- Ahmad, F.; Iqbal, S.; Anwar, S.; Afzal, M.; Islam, E.; Mustafa, T.; Khan, Q.M. Enhanced remediation of chlorpyrifos from soil using ryegrass (Lollium multiflorum) and chlorpyrifos-degrading bacterium Bacillus pumilus C2A1. J. Hazard. Mater. 2012, 237, 110–115. [Google Scholar] [CrossRef]
- El-Helow, E.R.; Badawy, M.E.; Mabrouk, M.E.; Mohamed, E.A.; El-Beshlawy, Y.M. Biodegradation of chlorpyrifos by a newly isolated Bacillus subtilis strain, Y242. Bioremediat. J. 2013, 17, 113–123. [Google Scholar] [CrossRef]
- Jiang, W.; Wu, Q.L.; Dou, X.; Guan, Z.B.; Cai, Y.J.; Liao, X.R. Characterization of a phosphorus-solubilizing alkaline phosphatase AP3 cloned from Bacillus amyloliquefaciens YP6. Microbiol. China 2018, 45, 1408–1425. [Google Scholar] [CrossRef]
- Meng, D.; Jiang, W.; Li, J.; Huang, L.; Zhai, L.X.; Zhang, L.Y.; Guan, Z.B.; Cai, Y.J.; Liao, X.R. An alkaline phosphatase from Bacillus amyloliquefaciens YP6 of new application in biodegradation of five broad-spectrum organophosphorus pesticides. J. Environ. Sci. Health Part B 2019, 54, 336–343. [Google Scholar] [CrossRef] [PubMed]
- Meng, D.; Zhai, L.X.; Tian, Q.P.; Guan, Z.B.; Cai, Y.J.; Liao, X.R. Complete genome sequence of Bacillus amyloliquefaciens YP6, a plant growth rhizobacteria efficiently degrading a wide range of organophosphorus pesticides. J. Integr. Agric. 2019. [Google Scholar] [CrossRef]
- Tian, J.; Dong, Q.F.; Yu, C.L.; Zhao, R.X.; Wang, J.; Chen, L.Z. Biodegradation of the organophosphate trichlorfon and its major degradation products by a novel Aspergillus sydowii PA F-2. J. Agric. Food Chem. 2016, 64, 4280–4287. [Google Scholar] [CrossRef] [PubMed]
- Duraisamy, K.; Muthusamy, S.; Balakrishnan, S. An eco-friendly detoxification of chlorpyrifos by Bacillus cereus MCAS02 native isolate from agricultural soil, Namakkal, Tamil Nadu, India. Biocatal. Agric. Biotechnol. 2018, 13, 283–290. [Google Scholar] [CrossRef]
- Zhao, X.Y.; Wang, L.; Ma, F.; Bai, S.W.; Yang, J.X.; Qi, S.S. Pseudomonas sp. ZXY-1, a newly isolated and highly efficient atrazine-degrading bacterium, and optimization of biodegradation using response surface methodology. J. Environ. Sci. 2017, 54, 152–159. [Google Scholar] [CrossRef]
- Cycoń, M.; Mrozik, A.; Piotrowska-Seget, Z. Bioaugmentation as a strategy for the remediation of pesticide-polluted soil: A review. Chemosphere 2016, 172, 52–71. [Google Scholar] [CrossRef]
- Liu, R.F.; Liu, X.; Liu, X.Y.; Fan, W.T.; Zhao, D.D.; Shi, W.R.; Zhu, Y.T.; Li, H. Identification of metabolites and pathway in liver microsomes of phoxim in crucian carp by high performance liquid chromatography and liquid chromatography electrospray ionization tandem mass spectrometry. Chin. J. Anal. Chem. 2013, 6, 893–898. [Google Scholar] [CrossRef]
- Cheng, Y.; Zang, H.L.; Wang, H.L.; Li, D.P.; Li, C.Y. Global transcriptomic analysis of Rhodococcus erythropolis D310-1 in responding to chlorimuron-ethyl. Ecotoxicol. Environ. Saf. 2018, 157, 111–120. [Google Scholar] [CrossRef]
- Chu, Y.H.; Li, Y.; Wang, Y.T.; Li, B.; Zhang, Y.H. Investigation of interaction modes involved in alkaline phosphatase and organophosphorus pesticides via molecular simulations. Food Chem. 2018, 254, 80–86. [Google Scholar] [CrossRef] [PubMed]
- Thengodkar, R.R.M.; Sivakami, S. Degradation of chlorpyrifos by an alkaline phosphatase from the cyanobacterium Spirulina Platensis. Biodegradation 2010, 21, 637–644. [Google Scholar] [CrossRef] [PubMed]
- Gao, Y.; Chen, S.H.; Hu, M.Y.; Hu, Q.B.; Luo, J.J.; Li, Y.N. Purification and characterization of a novel chlorpyrifos hydrolase from Cladosporium cladosporioides Hu-01. PLoS ONE 2012, 7, e38137. [Google Scholar] [CrossRef] [PubMed]
- Lu, P.; Li, Q.F.; Liu, H.M.; Feng, Z.Z.; Yan, X.; Hong, Q.; Li, S.P. Biodegradation of chlorpyrifos and 3,5,6-trichloro-2-pyridinol by Cupriavidus sp. DT-1. Bioresour. Technol. 2013, 127, 337–342. [Google Scholar] [CrossRef] [PubMed]
- Mangas, I.; Estevez, J.; Vilanova, E.; França, T.C.C. New insights on molecular interactions of organophosphorus pesticides with esterases. Toxicology 2017, 376, 30–43. [Google Scholar] [CrossRef]
- Hajjar, N.P.; Hodgson, E. Sulfoxidation of thioether-containing pesticides by the flavin-adenine dinucleotide-dependent monooxygenase of pig liver microsomes. Biochem. Pharmacol. 1982, 31, 745–752. [Google Scholar] [CrossRef]
- Fujisawa, T.; Katagi, T. Oxidative Activation and Degradation of Organophosphorus Pesticides Mediated by Iron Porphyrins. J. Pestic. Sci. 2005, 30, 103–110. [Google Scholar] [CrossRef][Green Version]
- Zhuang, X.M.; Wei, X.; Tan, Y.; Xiao, W.B.; Yang, H.Y.; Xie, J.W.; Lu, C.; Li, H. Contribution of carboxylesterase and cytochrome P450 to the bioactivation and detoxification of isocarbophos and its enantiomers in human liver microsomes. Toxicol. Sci. 2014, 140, 40–48. [Google Scholar] [CrossRef]
- Khmelevtsova, L.E.; Sazykin, I.S.; Sazykina, M.A.; Seliverstova, E.Y. Prokaryotic cytochromes P450. Appl. Biochem. Microbiol. 2017, 53, 401–409. [Google Scholar] [CrossRef]
- Bernhardt, R. Cytochromes P450 as versatile biocatalysts. J. Biotechnol. 2006, 124, 128–145. [Google Scholar] [CrossRef]
- Choi, K.Y.; Park, H.Y.; Kim, B.G. Characterization of bi-functional CYP154 from Nocardia farcinica IFM10152 in the O-dealkylation and ortho-hydroxylation of formononetin. Enzyme Microb. Technol. 2010, 47, 327–334. [Google Scholar] [CrossRef]
- Liu, D.; Zhou, X.J.; Li, M.; Zhu, S.Y.; Qiu, X.H. Characterization of NADPH–cytochrome P450 reductase gene from the cotton bollworm, Helicoverpa armigera. Gene 2014, 545, 262–270. [Google Scholar] [CrossRef] [PubMed]
- Shi, W. Effects of Imazethapyr on Soil Microorganism, Enzyme Activity and Isolation of Imazethapyr Degrading Fungi. Master’s Thesis, Chinese Academy Agricultural Sciences, Beijing, China, 2010. [Google Scholar]
- Wang, Y.H.; Gu, Z.Y.; Wang, J.M.; Sun, S.S.; Wang, B.B.; Jin, Y.Q.; Shen, W.D.; Li, B. Changes in the activity and the expression of detoxification enzymes in silkworms (Bombyx mori) after phoxim feeding. Pestic. Biochem. Physiol. 2013, 105, 13–17. [Google Scholar] [CrossRef] [PubMed]
- Li, B.; Sun, Q.Q.; Yu, X.H.; Xie, Y.; Hong, J.; Zhao, X.Y.; Sang, X.Z.; Shen, W.D.; Hong, F.S. Molecular mechanisms of silk gland damage caused by phoxim exposure and protection of phoxim-induced damage by cerium chloride in Bombyx mori. Environ. Toxicol. 2015, 30, 1102–1111. [Google Scholar] [CrossRef] [PubMed]
- Li, F.; Hu, J.; Tian, J.; Xu, K.; Ni, M.; Wang, B.; Shen, W.; Li, B. Effects of phoxim on nutrient metabolism and insulin signaling pathway in silkworm midgut. Chemosphere 2016, 146, 478–485. [Google Scholar] [CrossRef] [PubMed]
- Li, Y.Y.; Jiang, W.; Gao, R.J.; Cai, Y.J.; Guan, Z.B.; Liao, X.R. Fe(III)-based immobilized metal–affinity chromatography (IMAC) method for the separation of the catechol siderophore from Bacillus tequilensis CD36. 3 Biotech 2018, 8, 392. [Google Scholar] [CrossRef]
- Robinson, M.D.; Mccarthy, D.J.; Smyth, G.K. edgeR: A Bioconductor package for differential expression analysis of digital gene expression data. Bioinformatics 2009, 26, 139–140. [Google Scholar] [CrossRef]
Sample Availability: Not available. |





| Run | A (Temperature, °C) | B (pH) | C (Initial Inoculum, v/v, %) | R1 (Degradation, %) |
|---|---|---|---|---|
| 1 | 30 | 5 | 5 | 74.9 ± 0.5 |
| 2 | 40 | 7 | 5 | 95.3 ± 0.2 |
| 3 | 30 | 7 | 3 | 85.6 ± 1.1 |
| 4 | 30 | 9 | 1 | 76.0 ± 0.4 |
| 5 | 40 | 5 | 3 | 86.8 ± 0.9 |
| 6 | 30 | 7 | 3 | 85.1 ± 1.4 |
| 7 | 30 | 7 | 3 | 84.6 ± 0.6 |
| 8 | 30 | 5 | 1 | 73.0 ± 0.5 |
| 9 | 40 | 7 | 1 | 92.4 ± 0.3 |
| 10 | 30 | 7 | 3 | 85.5 ± 0.5 |
| 11 | 20 | 9 | 3 | 67.1 ± 0.2 |
| 12 | 20 | 7 | 1 | 73.7 ± 0.7 |
| 13 | 30 | 9 | 5 | 78.6 ± 0.8 |
| 14 | 30 | 7 | 3 | 85.6 ± 1.3 |
| 15 | 20 | 7 | 5 | 71.4 ± 0.4 |
| 16 | 40 | 9 | 3 | 89.4 ± 0.7 |
| 17 | 20 | 5 | 3 | 64.3 ± 0.9 |
| Source | Sum of Squares | Freedom | Mean Square | F Value | p Value | |
|---|---|---|---|---|---|---|
| Model | 1273.56 | 9 | 141.51 | 285.83 | <0.0001 | significant |
| A | 954.84 | 1 | 954.84 | 1928.70 | <0.0001 | |
| B | 18.30 | 1 | 18.30 | 36.97 | 0.0005 | |
| C | 3.25 | 1 | 3.25 | 6.57 | 0.0374 | |
| AB | 0.01 | 1 | 0.01 | 0.02 | 0.8910 | |
| AC | 6.76 | 1 | 6.76 | 13.65 | 0.0077 | |
| BC | 0.12 | 1 | 0.12 | 0.25 | 0.6341 | |
| A2 | 0.68 | 1 | 0.68 | 1.38 | 0.2789 | |
| B2 | 267.96 | 1 | 267.96 | 541.26 | <0.0001 | |
| C2 | 11.85 | 1 | 11.85 | 23.93 | 0.0018 | |
| Residual | 3.47 | 7 | 0.50 | |||
| Lack of Fit | 2.72 | 3 | 0.91 | 4.84 | 0.0808 | not significant |
| Pure error | 0.75 | 4 | 0.19 | |||
| Cor Total | 1277.02 | 16 |
| Annotation | Gene ID | Gene Length (bp) | Log2 Ratio | p-Value | False Discovery Rate (FDR) | KEGG | GO |
|---|---|---|---|---|---|---|---|
| Alkaline phosphatase | gene2812 | 1704 | 3.3402 | 8.19 × 10−6 | 9.52 × 10−5 | - | Catalytic activity |
| Alkaline phosphatase | gene0296 | 1752 | 2.3702 | 0.001386 | 0.006986 | Aminobenzoate degradation… | Catalytic activity, cellular process, metabolic process |
| Hydrolase | gene3280 | 822 | 2.5297 | 0.001637 | 0.007887 | - | Metabolic process, hydrolase activity |
| Hydrolase | gene3724 | 681 | 2.6083 | 0.002753 | 0.011817 | - | Catalytic activity, membrane, membrane part, cellular process, metabolic process, single-organism process |
| Hydrolase | gene0396 | 1152 | 2.0757 | 0.004794 | 0.01811 | - | Catalytic activity, metabolic process |
| Esterase | gene1642 | 780 | 2.0589 | 0.017248 | 0.048692 | - | Catalytic activity, cellular process, metabolic process, single-organism process |
| Aldehyde dehydrogenase | gene4167 | 1338 | 1.7844 | 0.017696 | 0.049755 | Chloroalkane and chloroalkene degradation…, | |
| Monooxygenase | gene0949 | 1137 | 2.5757 | 0.000289 | 0.002002 | … | Catalytic activity, metabolic process, single-organism process |
| Monooxygenase | gene0391 | 1323 | 2.3294 | 0.002035 | 0.009346 | - | Catalytic activity, metabolic process, single-organism process |
| Monooxygenase | gene3517 | 1329 | 2.0024 | 0.005881 | 0.021023 | - | Catalytic activity, metabolic process, single-organism process |
| NADPH-cytochrome P450 reductase | gene0765 | 3186 | 1.6887 | 0.014603 | 0.042848 | Aminobenzoate degradation… | Catalytic activity, binding, metabolic process, single-organism process |
| Glycosyltransferase | gene3605 | 843 | 3.5212 | 1.86 × 10−5 | 0.000197 | - | Catalytic activity |
| Glycosyltransferase | gene3602 | 1038 | 3.6099 | 0.000124 | 0.000985 | - | Catalytic activity |
| Glycosyltransferase | gene3604 | 1137 | 2.9008 | 0.000162 | 0.001233 | - | Catalytic activity |
| Glycosyltransferase | gene1749 | 1704 | 2.6475 | 0.000421 | 0.002651 | - | Catalytic activity |
| Glycosyltransferase | gene3606 | 1140 | 2.3595 | 0.001376 | 0.006966 | - | Catalytic activity |
| Glycosyltransferase | gene3242 | 846 | 2.3983 | 0.002447 | 0.010743 | - | Catalytic activity |
| Glycosyltransferase | gene0462 | 1263 | 1.8593 | 0.012085 | 0.037201 | - | Catalytic activity, membrane, membrane part |
| Glycosyltransferase | gene3982 | 807 | 2.1159 | 0.012498 | 0.038173 | - | Catalytic activity |
| Glycosyltransferase | gene3600 | 1035 | 2.1363 | 0.012623 | 0.038501 | - | Catalytic activity |
© 2019 by the authors. Licensee MDPI, Basel, Switzerland. This article is an open access article distributed under the terms and conditions of the Creative Commons Attribution (CC BY) license (http://creativecommons.org/licenses/by/4.0/).
Share and Cite
Meng, D.; Zhang, L.; Meng, J.; Tian, Q.; Zhai, L.; Hao, Z.; Guan, Z.; Cai, Y.; Liao, X. Evaluation of the Strain Bacillus amyloliquefaciens YP6 in Phoxim Degradation via Transcriptomic Data and Product Analysis. Molecules 2019, 24, 3997. https://doi.org/10.3390/molecules24213997
Meng D, Zhang L, Meng J, Tian Q, Zhai L, Hao Z, Guan Z, Cai Y, Liao X. Evaluation of the Strain Bacillus amyloliquefaciens YP6 in Phoxim Degradation via Transcriptomic Data and Product Analysis. Molecules. 2019; 24(21):3997. https://doi.org/10.3390/molecules24213997
Chicago/Turabian StyleMeng, Di, Liyuan Zhang, Jie Meng, Qiaopeng Tian, Lixin Zhai, Zhikui Hao, Zhengbing Guan, Yujie Cai, and Xiangru Liao. 2019. "Evaluation of the Strain Bacillus amyloliquefaciens YP6 in Phoxim Degradation via Transcriptomic Data and Product Analysis" Molecules 24, no. 21: 3997. https://doi.org/10.3390/molecules24213997
APA StyleMeng, D., Zhang, L., Meng, J., Tian, Q., Zhai, L., Hao, Z., Guan, Z., Cai, Y., & Liao, X. (2019). Evaluation of the Strain Bacillus amyloliquefaciens YP6 in Phoxim Degradation via Transcriptomic Data and Product Analysis. Molecules, 24(21), 3997. https://doi.org/10.3390/molecules24213997
