Modeling Solid State Stability for Speciation: A Ten-Year Long Study
Abstract
1. Introduction
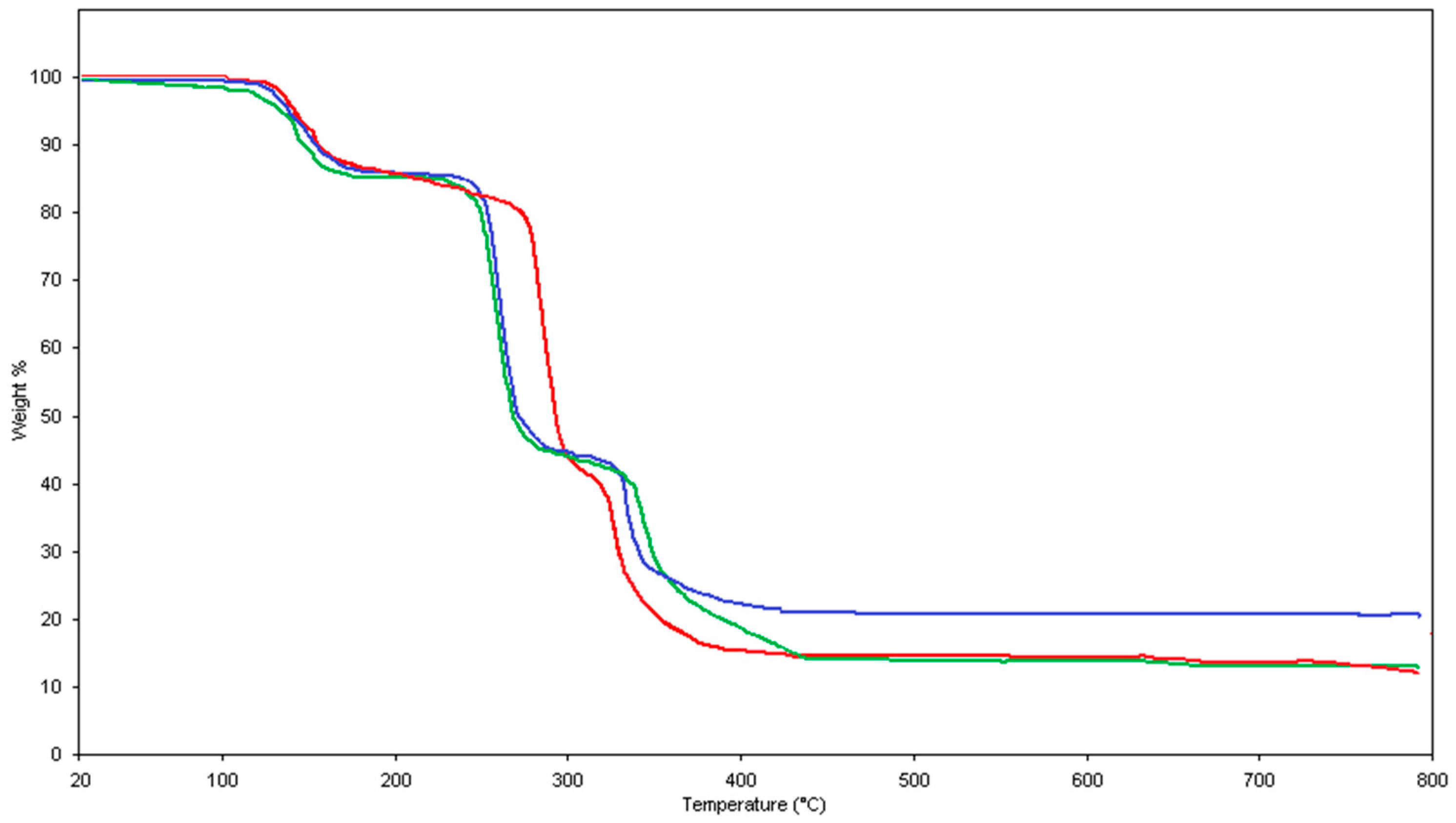
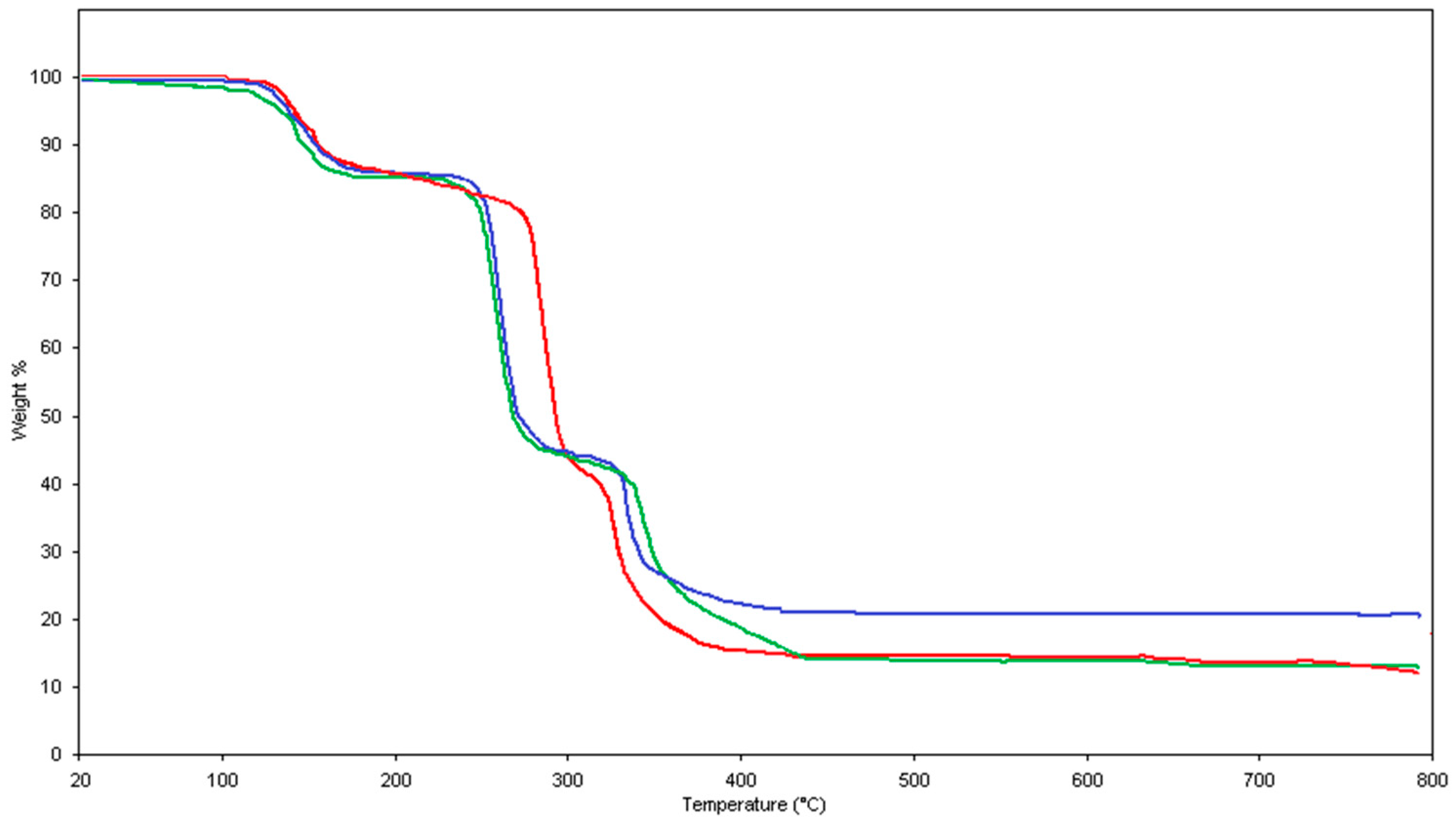
- The rupture of side chains, to give a five- or six-member ring as intermediate, compatibly with the percent weight loss and the TI-EGA-MS information. This behavior was recorded with ligands, such as N,N′-bis-(2-hydroxybenzylidene)-1,1-diaminobutane, 2-aminomethyl-benzimidazole, imidazole-4,5-dicarboxylic acid, and similar structures;
- The total loss of substitutions, with an imidazole 1:2 or 1:4 complex remaining as intermediate, before the last decomposition step involving the metal oxide. This behavior was recorded with ligands, such as (1-methylimidazol-2-yl)ketone, dopamine, and derived structures. All these studies are described in the references [57,58,59,60,61,62,63,64,65,66,67,68] and are the experimental evidences on which the proposed model is based. This thermally induced behavior, and the consequently derived model, is proposed as a tool to provide stability information on the complexes to be related to speciation studies.
2. Results and Discussion
3. Experimental and Methods
3.1. Materials
3.2. Instrumental
4. Conclusions
Author Contributions
Funding
Conflicts of Interest
References
- Rajendiran, T.M.; Kirk, M.L.; Setyawati, I.A.; Caudle, M.T.; Kampf, J.W.; Pecoraro, V.W. Isolation of the first ferromagnetically coupled Mn(III/IV) complex. Chem. Commun. 2003, 824–825. [Google Scholar] [CrossRef]
- Bayon, J.C.; Net, G.; Rasmussen, P.G.; Kolowich, J.B. Dinuclear rhodium and iridium complexes of dicarboxyimidazolates; crystal structure of [NBu4][(cod)Rh(dcbi)Rh(cod)]·2PriOH. J. Chem. Soc. Dalton Trans. 1987, 3003–3007. [Google Scholar] [CrossRef]
- Zou, R.-Q.; Sakurai, H.; Xu, Q. Preparation, Adsorption Properties, and Catalytic Activity of 3D Porous Metal–Organic Frameworks Composed of Cubic Building Blocks and Alkali-Metal Ions. Angew. Chem. Int. Ed. 2006, 45, 2542. [Google Scholar] [CrossRef] [PubMed]
- Marchetti, L.; Sabbieti, M.G.; Materazzi, S.; Hurley, M.M.; Menghi, G. Effects of phthalate esters on actin cytoskeleton of Py1a rat osteoblasts. Histol. Histopathol. 2002, 17, 1061–1066. [Google Scholar] [CrossRef] [PubMed]
- Liu, Y.; Cheng, D.; Li, Y.-X.; Zhang, J.-D.; Yang, H.-X. A new one-dimensional CdII coordination polymer incorporating 2,2′-(1,2-phenylene)bis(1H-imidazole-4,5-dicarboxylate). Acta Crystallogr. Sect. C Struct. Chem. 2018, 74, 1128–1132. [Google Scholar] [CrossRef] [PubMed]
- Liu, Y.; Kravtsov, V.C.; Eddaoudi, M. Template-Directed Assembly of Zeolite-like Metal–Organic Frameworks (ZMOFs): A usf-ZMOF with an Unprecedented Zeolite Topology. Angew. Chem. Int. Ed. 2008, 47, 8446. [Google Scholar] [CrossRef]
- Wang, W.; Wang, R.; Liu, L.; Wu, B. Coordination Frameworks Containing Magnetic Single Chain of Imidazoledicarboxylate-Bridged Cobalt(II)/Nickel(II): Syntheses, Structures, and Magnetic Properties. Cryst. Growth Des. 2018, 18, 3449–3457. [Google Scholar] [CrossRef]
- Wang, R.; Liu, L.; Lv, L.; Wang, X.; Chen, R.; Wu, B. Synthesis, Structural Diversity, and Properties of Cd Metal–Organic Frameworks Based on 2-(5-Bromo-pyridin-3-yl)-1H-imidazole-4,5-dicarboxylate and N-Heterocyclic Ancillary Ligands. Cryst. Growth Des. 2017, 17, 3616–3624. [Google Scholar] [CrossRef]
- Wang, S.; Zhang, L.; Li, G.; Huo, Q.; Liu, Y. Assembly of two 3-D metal–organic frameworks from Cd(II) and 4,5-imidazoledicarboxylic acid or 2-ethyl-4,5-imidazoledicarboxylic acid. Cryst. Eng. Comm. 2008, 10, 1662. [Google Scholar] [CrossRef]
- Bai, X.-Y.; Ji, W.-J.; Li, S.-N.; Jiang, Y.-C.; Hu, M.-C.; Zhai, Q.-G. Nonlinear Optical Rod Indium-Imidazoledicarboxylate Framework as Room-Temperature Gas Sensor for Butanol Isomers. Cryst. Growth Des. 2017, 17, 423–427. [Google Scholar] [CrossRef]
- Catauro, M.; Tranquillo, E.; Risoluti, R.; Vecchio Ciprioti, S. Sol-Gel Synthesis, Spectroscopic and Thermal Behavior Study of SiO2/PEG Composites Containing Different Amount of Chlorogenic Acid. Polymers 2018, 10, 682. [Google Scholar] [CrossRef] [PubMed]
- Gangu, K.K.; Maddila, S.; Mukkamala, S.B.; Jonnalagadda, S.B. Synthesis, characterisation and catalytic activity of 4, 5-imidazoledicarboxylate ligated Co(II) and Cd(II) metal-organic coordination complexes. J. Mol. Struct. 2017, 1143, 153–162. [Google Scholar] [CrossRef]
- Catauro, M.; Naviglio, D.; Risoluti, R.; Vecchio Ciprioti, S. Sol-gel synthesis and thermal behavior of bioactive ferrous citrate-silica hybrid materials. J. Therm. Anal. Calorim. 2018, 133, 1085–1092. [Google Scholar] [CrossRef]
- Fei, H.; Lin, Y.; Xu, T. Cobalt imidazoledicarboxylate coordination complex microspheres: Stable intercalation materials for lithium and sodium-ion batteries. Ionics 2017, 23, 1949–1954. [Google Scholar] [CrossRef]
- Song, Y.; Lin, C.-S.; Wei, Q.; Wu, Z.-F.; Huang, X.-Y. Three-Dimensional Non-Centrosymmetric Ba(II)/Li(I)–Imidazolecarboxylate Coordination Polymers: Second Harmonic Generation and Blue Fluorescence. Cryst. Growth Des. 2016, 16, 6654–6662. [Google Scholar] [CrossRef]
- Jing, X.-M.; Xiao, L.-W.; Wei, L.; Dai, F.-C.; Ren, L.-L. Solvent directed assembly of two zinc(II)-2-(4-pyridyl)-4,5-imidazoledicarboxylate frameworks. Inorg. Chem. Commun. 2016, 71, 78–81. [Google Scholar] [CrossRef]
- Perrino, C.; Marconi, E.; Tofful, L.; Farao, C.; Materazzi, S.; Canepari, S. Thermal stability of inorganic and organic compounds in atmospheric particulate matter. Atmos. Environ. 2012, 54, 36. [Google Scholar] [CrossRef]
- Jia, Y.; Li, Y.; Zhou, R.; Song, J. The Advance of Imidazoledicarboxylate Derivatives-Based Coordination Polymers. Prog. Chem. 2016, 28, 482–496. [Google Scholar] [CrossRef]
- Pang, Q.; Tu, B.; Ning, E.; Li, Q.; Zhao, D. Distinct Packings of Supramolecular Building Blocks in Metal–Organic Frameworks Based on Imidazoledicarboxylic Acid. Inorg. Chem. 2015, 54, 9678–9680. [Google Scholar] [CrossRef] [PubMed]
- Liu, Y.; Kravtsov, V.; Walsh, R.D.; Poddar, P.; Srikanthc, H.; Eddaoudi, M. Directed assembly of metal–organic cubes from deliberately predesigned molecular building blocks. Chem. Commun. 2004, 2806–2807. [Google Scholar] [CrossRef] [PubMed]
- Dai, C.; Zhou, X.; Jing, X.; Li, G.; Huo, Q.; Liu, Y. Assembly of two Cu-based coordination polymers from 2-(pyridine-3-yl)-1H-4,5-imidazoledicarboxylate ligand. Inorg. Chem. Commun. 2015, 52, 69–72. [Google Scholar] [CrossRef]
- Sabbieti, M.G.; Agas, D.; Santoni, G.; Materazzi, S.; Menghi, G.; Marchetti, L. Involvement of p53 in phthalate effects on mouse and rat osteoblasts. J. Cell. Biochem. 2009, 107, 316–327. [Google Scholar] [CrossRef] [PubMed]
- Li, S.-M.; Cao, W.; Zheng, X.-J.; Jin, L.-P. Self-assembly and characterization of Ca–Zn heterometallic MOFs with 4,5-imidazoledicarboxylate. Polyhedron 2014, 83, 122–129. [Google Scholar] [CrossRef]
- Liu, L.; Zhang, Z.; Zhao, Z.; Niu, S.; Song, A.; Peng, Y. Syntheses, Crystal Structures, and Luminescent Properties of Two Cadmium(II) Complexes with CdS Network and (3,4)-Connected Topology. Anorg. Allg. Chem. 2014, 640, 2520–2524. [Google Scholar] [CrossRef]
- Sergi, M.; Gentili, A.; Perret, D.; Marchese, S.; Materazzi, S.; Curini, R. MSPD Extraction of Sulphonamides from Meat followed by LC Tandem MS Determination. Chromatographia 2007, 65, 757–761. [Google Scholar] [CrossRef]
- Luo, Z.-R.; Yin, X.-H.; Zhao, J.-H.; Gao, P. Coordination Polymers with the Ligand (2-propyl-4,5-imidazoledicarboxylic acid): Synthesis, Structural Characteristics, and Properties Studies. Synth. React. Inorg. Met. Org. Nano Met. Chem. 2013, 43, 662–670. [Google Scholar] [CrossRef]
- Yue, S.; Li, N.; Bian, J.; Hou, T.; Ma, J. Synthesis, crystal structure and luminescent properties of transition metals complexes based on imidazole derivatives. Synth. Met. 2012, 162, 247. [Google Scholar] [CrossRef]
- Gentili, A.; Caretti, F.; D’Ascenzo, G.; Mainero Rocca, L.; Marchese, S.; Materazzi, S.; Perret, D. Simultaneous Determination of Trichothecenes A, B, and D in Maize Food Products by LC-MS-MS. Chromatographia 2007, 66, 669–676. [Google Scholar] [CrossRef]
- Liu, Y.; Kravtsov, V.; Larsena, R.; Eddaoudi, M. Molecular building blocks approach to the assembly of zeolite-like metal–organic frameworks (ZMOFs) with extra-large cavities. Chem. Commun. 2006, 1488–1490. [Google Scholar] [CrossRef]
- Migliorati, V.; Ballirano, P.; Gontrani, L.; Materazzi, S.; Ceccacci, F.; Caminiti, R. A Combined Theoretical and Experimental Study of Solid Octyl and Decylammonium Chlorides and of Their Aqueous Solutions. J. Phys. Chem. B 2013, 117, 7806. [Google Scholar] [CrossRef]
- Nouar, F.; Eckert, J.; Eubank, J.F.; Forster, P.; Eddaoudi, M. Zeolite-like Metal−Organic Frameworks (ZMOFs) as Hydrogen Storage Platform: Lithium and Magnesium Ion-Exchange and H2-(rho-ZMOF) Interaction Studies. J. Am. Chem. Soc. 2009, 131, 2864. [Google Scholar] [CrossRef] [PubMed]
- Rumyantseva, M.; Nasriddinov, A.; Vladimirova, S.; Tokarev, S.; Fedorova, O.; Krylov, I.; Drozdov, K.; Baranchikov, A.; Gaskov, A. Photosensitive Organic-Inorganic Hybrid Materials for Room Temperature Gas Sensor Applications. Nanomaterials 2018, 8, 671. [Google Scholar] [CrossRef] [PubMed]
- Silva, M.O.D.; Carneiro, M.L.B.; Siqueira, J.L.N.; Báo, S.N.; Souza, A.R. Development of a Promising Antitumor Compound Based on Rhodium(II) Succinate Associated with Iron Oxide Nanoparticles Coated with Lauric Acid/Albumin Hybrid: Synthesis, Colloidal Stability and Cytotoxic Effect in Breast Carcinoma Cells. J. Nanosci. Nanotechnol. 2018, 18, 3832–3843. [Google Scholar] [CrossRef] [PubMed]
- Shahbazi, S.; Stratz, S.A.; Auxier, J.D.; Hanson, D.E.; Marsh, M.L.; Hall, H.L. Characterization and thermogravimetric analysis of lanthanide hexafluoroacetylacetone chelates. J. Radioanal. Nucl. Chem. 2017, 311, 617–626. [Google Scholar] [CrossRef] [PubMed]
- Liu, N.; Guo, X.; Navrotsky, A.; Shi, L.; Wu, D. Thermodynamic complexity of sulfated zirconia catalysts. J. Catal. 2016, 342, 158–163. [Google Scholar] [CrossRef]
- Veselá, P.; Slovák, V.; Zelenka, T.; Koštejn, M.; Mucha, M. The influence of pyrolytic temperature on sorption ability of carbon xerogel based on 3-aminophenol-formaldehyde polymer for Cu(II) ions and phenol. J. Anal. Appl. Pyrolysis 2016, 121, 29–40. [Google Scholar] [CrossRef]
- Baksi, A.; Cocke, D.L.; Gomes, A.; Gossage, J.; Riggs, M.; Beall, G.; McWhinney, H. Characterization of Copper-Manganese-Aluminum-Magnesium Mixed Oxyhydroxide and Oxide Catalysts for Redox Reactions. Charact. Miner. Met. Mater. 2016, 2016, 151–158. [Google Scholar] [CrossRef]
- Aiello, D.; Materazzi, S.; Risoluti, R.; Thangavel, H.; Di Donna, L.; Mazzotti, F.; Casadonte, F.; Siciliano, C.; Sindona, G.; Napoli, A. A major allergen in rainbow trout (Oncorhynchus mykiss): Complete sequences of parvalbumin by MALDI tandem mass spectrometry. Mol. BioSyst. 2015, 11, 2373–2382. [Google Scholar] [CrossRef]
- Oliani, W.L.; Komatsu, L.G.H.; Lugao, A.B.; Rangari, V.K.; Parra, D.F. Natural Aging Effects in HMS-Polypropylene Synthesized by Gamma Radiation in Acetylene Atmosphere. In TMS Annual Meeting & Exhibition; Springer: Cham, Switzerland, 2016; pp. 151–158. [Google Scholar]
- Duemichen, E.; Braun, U.; Senz, R.; Fabian, G.; Sturm, H. Assessment of a new method for the analysis of decomposition gases of polymers by a combining thermogravimetric solid-phase extraction and thermal desorption gas chromatography mass spectrometry. J. Chromatogr. A 2014, 1354, 117–128. [Google Scholar] [CrossRef]
- Dovgaliuk, I.; Ban, V.; Sadikin, Y.; Černý, R.; Aranda, L.; Casati, N.; Devillers, M.; Filinchuk, Y. The First Halide-Free Bimetallic Aluminum Borohydride: Synthesis, Structure, Stability, and Decomposition Pathway. J. Phys. Chem. C 2014, 118, 145–153. [Google Scholar] [CrossRef]
- Szymańska, I.B.; Piszczek, P.; Szłyk, E. Gas phase studies of new copper(I) carboxylates compounds with vinylsilanes and their application in Chemical Vapor Deposition (CVD). Polyhedron 2009, 28, 721–728. [Google Scholar] [CrossRef]
- Risoluti, R.; Fabiano, M.A.; Gullifa, G.; Vecchio Ciprioti, S.; Materazzi, S. FTIR-evolved gas analysis in recent thermoanalytical investigations. Appl. Spectr. Rev. 2017, 52, 39. [Google Scholar] [CrossRef]
- Materazzi, S.; Risoluti, R. Evolved Gas Analysis by Mass Spectrometry. Appl. Spectr. Rev. 2014, 49, 635. [Google Scholar] [CrossRef]
- Humphrie, T.D.; Sheppard, D.A.; Li, G.; Rowles, M.R. Complex hydrides as thermal energy storage materials: Characterisation and thermal decomposition of Na2Mg2NiH6. J. Mater. Chem. A 2018, 6, 9099–9108. [Google Scholar] [CrossRef]
- Lin, Y.; Zheng, M.; Ye, C.; Power, I.M. Thermogravimetric analysis–mass spectrometry (TGA–MS) of hydromagnesite from Dujiali Lake in Tibet, China. J. Therm. Anal. Calorim. 2018, 133, 1429–1437. [Google Scholar] [CrossRef]
- Fernández-Alonso, S.; Corrales, T.; Pablos, J.L.; Catalina, F. A Switchable fluorescence solid sensor for Hg2+ detection in aqueous media based on a photocrosslinked membrane functionalized with (benzimidazolyl)methyl-piperazine derivative of 1,8-naphthalimide. Sens. Actuators B Chem. 2018, 270, 256–262. [Google Scholar] [CrossRef]
- Kumar, A.; Chae, P.S. Fluorescence tunable thiophene-bis(benzimidazole)-based probes for cascade trace detection of Hg2+ and lysine: A molecular switch mimic. J. Nanosci. Nanotechnol. 2018, 18, 3832–3843. [Google Scholar] [CrossRef]
- Zhang, H.; Zheng, J.; Chao, Y.; Zhang, K.; Zhu, Z. Surface engineering of FeCo-based electrocatalysts supported on carbon paper by incorporating non-noble metals for water oxidation. New J. Chem. 2018, 42, 7254–7261. [Google Scholar] [CrossRef]
- Materazzi, S.; Risoluti, R.; Gullifa, G.; Fabiano, M.A.; Frati, P.; Santurro, A.; Scopetti, M.; Fineschi, V. New frontiers in thermal analysis. A TG/Chemometrics approach for postmortem interval estimation in vitreous humor. J. Therm. Anal. Calorim. 2017, 130, 549–557. [Google Scholar] [CrossRef]
- Risoluti, R.; Materazzi, S.; Sorrentino, F.; Maffei, L.; Caprari, P. Thermogravimetric analysis coupled with chemometrics as a powerful predictive tool for ß-thalassemia screening. Talanta 2016, 159, 425. [Google Scholar] [CrossRef] [PubMed]
- Risoluti, R.; Gregori, A.; Schiavone, S.; Materazzi, S. “Click and Screen” Technology for the Detection of Explosives on Human Hands by a Portable MicroNIR–Chemometrics Platform. Anal. Chem. 2018, 90, 4288. [Google Scholar] [CrossRef] [PubMed]
- Materazzi, S.; Peluso, G.; Ripani, L.; Risoluti, R. High-throughput prediction of AKB48 in emerging illicit products by NIR spectroscopy and chemometrics. Microchem. J. 2017, 134, 277. [Google Scholar] [CrossRef]
- Materazzi, S.; Risoluti, R.; Pinci, S.; Romolo, F.S. New insights in forensic chemistry: NIR/Chemometrics analysis of toners for questioned documents examination. Talanta 2017, 174, 673. [Google Scholar] [CrossRef] [PubMed]
- Materazzi, S.; Gregori, A.; Ripani, L.; Apriceno, A.; Risoluti, R. Cocaine profiling: Implementation of a predictive model by ATR-FTIR coupled with chemometrics in forensic chemistry. Talanta 2017, 166, 328. [Google Scholar] [CrossRef] [PubMed]
- Risoluti, R.; Materazzi, S.; Gregori, A.; Ripani, L. Early detection of emerging street drugs by near infrared spectroscopy and chemometrics. Talanta 2016, 153, 407. [Google Scholar] [CrossRef] [PubMed]
- Materazzi, S.; Risoluti, R.; Napoli, A. EGA-MS study to characterize the thermally induced decomposition of Co(II), Ni(II), Cu(II) and Zn(II) complexes with 1,1-diaminobutane-Schiff base. Thermochim. Acta 2015, 606, 90. [Google Scholar] [CrossRef]
- Materazzi, S.; Risoluti, R.; Finamore, J.; Napoli, A. Divalent Transition Metal Complexes of 2-(Pyridin-2-yl)imidazole: Evolved Gas Analysis Predicting Model to Provide Characteristic Coordination. Microchem. J. 2014, 115, 27. [Google Scholar] [CrossRef]
- Materazzi, S.; Napoli, A.; Finamore, J.; Risoluti, R.; D’Arienzo, S. Characterization of thermally induced mechanisms by mass spectrometry-evolved gas analysis (EGA-MS): A study of divalent cobalt and zinc biomimetic complexes with N-heterocyclic dicarboxylic ligands. Int. J. Mass Spectrom. 2014, 365/366, 372. [Google Scholar] [CrossRef]
- Materazzi, S.; Foti, C.; Crea, F.; Risoluti, R.; Finamore, J. Biomimetic complexes of divalent cobalt and zinc with N-heterocyclic dicarboxylic ligands. Thermochim. Acta 2014, 580, 7. [Google Scholar] [CrossRef]
- Papadopoulos, C.; Cristóvão, B.; Ferenc, W.; Hatzidimitriou, A.; Vecchio Ciprioti, S.; Risoluti, R.; Lalia-Kantouri, M. Thermoanalytical, magnetic and structural investigation of neutral Co(II) complexes with 2,2′-dipyridylamine and salicylaldehydes. J. Therm. Anal. Calorim. 2016, 123, 717. [Google Scholar] [CrossRef]
- Risoluti, R.; Piazzese, D.; Napoli, A.; Materazzi, S. Study of [2-(2′-pyridyl)imidazole] complexes to confirm two main characteristic thermoanalytical behaviors of transition metal complexes based on imidazole derivatives. J. Anal. Appl. Pyrolysis 2016, 117, 82. [Google Scholar] [CrossRef]
- Risoluti, R.; Gullifa, G.; Fabiano, M.A.; Iona, R.; Zuccatosta, F.; Wo, L.W.; Materazzi, S. Divalent Transition Metal Complexes of 2-(Pyridin-2-yl)imidazole: Evolved Gas Analysis Predicting Model to Provide Characteristic Coordination. Russ. J. Gen. Chem. 2017, 87, 2915. [Google Scholar] [CrossRef]
- Risoluti, R.; Gullifa, G.; Fabiano, M.A.; Wo, L.W.; Materazzi, S. Biomimetic complexes of Cd(II), Mn(II), and Zn(II) with 1,1-diaminobutane–Schiff base. EGA/MS study of the thermally induced decomposition. Russ. J. Gen. Chem. 2017, 87, 564. [Google Scholar] [CrossRef]
- Risoluti, R.; Gullifa, G.; Fabiano, M.A.; Wo, L.W.; Materazzi, S. Biomimetic complexes of Cd(II), Mn(II), and Zn(II) with 2-aminomethylbenzimidazole. EGA/MS characterization of the thermally induced decomposition. Russ. J. Gen. Chem. 2017, 87, 300. [Google Scholar] [CrossRef]
- Risoluti, R.; Gullifa, G.; Fabiano, M.A.; Materazzi, S. Biomimetic complexes of Co(II), Mn(II), and Ni(II) with 2-propyl-4,5-imidazoledicarboxylic acid. EGA–MS characterization of the thermally induced decomposition. Russ. J. Gen. Chem. 2015, 85, 2374. [Google Scholar] [CrossRef]
- Materazzi, S.; Curini, R.; D’Ascenzo, G. Thermoanalytical study of benzimidazole complexes with transition metal ions: Copper (II) complexes. Thermochim. Acta 1996, 286, 1–15. [Google Scholar] [CrossRef]
- Materazzi, S.; Vecchio, S.; Wo, L.W.; De Angelis Curtis, S. TG–MS and TG–FTIR studies of imidazole-substituted coordination compounds: Co(II) and Ni(II)-complexes of bis(1-methylimidazol-2-yl)ketone. Thermochim. Acta 2012, 543, 183. [Google Scholar] [CrossRef]
- De Angelis Curtis, S.; Kurdziel, K.; Materazzi, S.; Vecchio, S. Crystal structure and thermoanalytical study of a manganese(II) complex with 1-allylimidazole. J. Therm. Anal. Calorim. 2008, 92, 109. [Google Scholar] [CrossRef]
- Yang, Z.; Chen, N.; Wang, C.; Yan, L.; Li, G. Syntheses, Crystal Structures, and Properties of Four Complexes Constructed from 2-Propyl-1H-Imidazole-4,5- Dicarboxylic Acid. Synth. React. Inorg. Met. Org. Nano Met. Chem. 2012, 42, 336. [Google Scholar] [CrossRef]
- Bretti, C.; Crea, F.; De Stefano, C.; Foti, C.; Materazzi, S.; Vianelli, G. Thermodynamic Properties of Dopamine in Aqueous Solution. Acid–Base Properties, Distribution, and Activity Coefficients in NaCl Aqueous Solutions at Different Ionic Strengths and Temperatures. J. Chem. Eng. Data 2013, 58, 2835–2847. [Google Scholar] [CrossRef]
Sample Availability: Samples of the compounds are not available from the authors. |



| Complex | C/% | H/% | N/% | Metal/% | |||||||
|---|---|---|---|---|---|---|---|---|---|---|---|
| Found | Calculated | Found | Calculated | Found | Calculated | Found | Calculated | ||||
| Cu(H2PIDC)2(H2O)2 | 39.1 | 39.3 | 4.7 | 4.5 | 11.8 | 11.4 | 12.2 | 12.1 | |||
| Zn(H2PIDC)2(H2O)2 | 39.3 | 39.3 | 4.7 | 4.5 | 11.5 | 11.4 | 11.9 | 12.1 | |||
| Cd(H2PIDC)2(H2O)2 | 27.2 | 27.4 | 4.5 | 4.0 | 7.9 | 8.0 | 21.1 | 21.3 | |||
| Complex | First TG Step 100–190 °C Weight Loss % | Second TG Step 230–300 °C Weight Loss % | Third TG Step 300–450 °C Weight Loss % | |||||
|---|---|---|---|---|---|---|---|---|
| Found | Calculated | Found | Calculated | Found | Calculated | |||
| Cu(H2PIDC)2(H2O)2 | 13.3 | 13.1 | 45.0 | 45.8 | 25.7 | 26.0 | ||
| Zn(H2PIDC)2(H2O)2 | 13.0 | 13.1 | 46.9 | 45.8 | 24.0 | 26.0 | ||
| Cd(H2PIDC)2(H2O)2 | 11.6 | 11.2 | 43.0 | 43.3 | 24.3 | 24.2 | ||
© 2019 by the authors. Licensee MDPI, Basel, Switzerland. This article is an open access article distributed under the terms and conditions of the Creative Commons Attribution (CC BY) license (http://creativecommons.org/licenses/by/4.0/).
Share and Cite
Risoluti, R.; Gullifa, G.; Carcassi, E.; Buiarelli, F.; Wo, L.W.; Materazzi, S. Modeling Solid State Stability for Speciation: A Ten-Year Long Study. Molecules 2019, 24, 3013. https://doi.org/10.3390/molecules24163013
Risoluti R, Gullifa G, Carcassi E, Buiarelli F, Wo LW, Materazzi S. Modeling Solid State Stability for Speciation: A Ten-Year Long Study. Molecules. 2019; 24(16):3013. https://doi.org/10.3390/molecules24163013
Chicago/Turabian StyleRisoluti, Roberta, Giuseppina Gullifa, Elena Carcassi, Francesca Buiarelli, Li W. Wo, and Stefano Materazzi. 2019. "Modeling Solid State Stability for Speciation: A Ten-Year Long Study" Molecules 24, no. 16: 3013. https://doi.org/10.3390/molecules24163013
APA StyleRisoluti, R., Gullifa, G., Carcassi, E., Buiarelli, F., Wo, L. W., & Materazzi, S. (2019). Modeling Solid State Stability for Speciation: A Ten-Year Long Study. Molecules, 24(16), 3013. https://doi.org/10.3390/molecules24163013

